Production of Low Molecular Weight Chitosan and Chitooligosaccharides (COS): A Review
Abstract
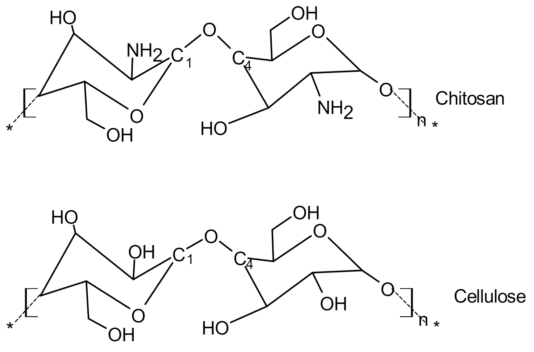
:1. Introduction
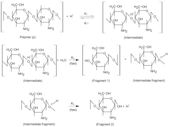
2. Acid Hydrolysis
2.1. Principal Acids for Hydrolysis
2.2. Effect of Acid Concentration
2.3. Effect of Time
2.4. Effect of Temperature
2.5. Influence of the Degree of Deacetylation and Initial Molecular Weight of Chitosan
2.6. Antimicrobial and Antioxidant Properties of Chitosan Oligomers
3. Gamma Radiation Hydrolysis
3.1. Effect of Radiation Intensity
3.2. Hydrolysis Solution
3.3. Macroscopic Changes
3.4. Antioxidant and Antimicrobial Properties of Chitosan Oligomers
4. Microwave Hydrolysis
4.1. Microwaves versus Conventional Heating
4.2. Hydrolysis Solution
4.3. Effect of Time
4.4. Power during Hydrolysis
5. Oxidative Hydrolysis with Hydrogen Peroxide
5.1. Concentration of Hydrogen Peroxide
5.2. Association with Other Types of Hydrolysis
5.3. Association with Other Reagents
5.4. Effect of Time
5.5. Effect of Temperature
6. Enzymatic Hydrolysis
6.1. Hydrolysis of Chitosan by Different Enzymes
6.2. Products of Enzymatic Hydrolysis
6.3. Effect of Temperature on Enzymatic Hydrolysis of Chitosan
6.4. Effect of Time on Enzymatic Hydrolysis of Chitosan
6.5. Effect of pH on Enzymatic Hydrolysis of Chitosan
6.6. Influence of the Enzyme/Substrate Ratio
6.7. Properties of Chitosan Oligomers
7. Conclusions
Author Contributions
Funding
Data Availability Statement
Acknowledgments
Conflicts of Interest
Appendix A
| Country | Articles (Amount of Participation) |
|---|---|
| Algeria | 1 |
| Canada | 3 |
| China | 27 |
| Czech Republic | 1 |
| Egypt | 2 |
| France | 1 |
| India | 3 |
| Indonesia | 1 |
| Iran | 1 |
| Japan | 1 |
| Korea | 1 |
| Malaysia | 2 |
| Mexico | 1 |
| Pakistan | 1 |
| Republic of Korea | 1 |
| Romania | 1 |
| Russia | 1 |
| Saudi Arabia | 1 |
| South Korea | 1 |
| Spain | 2 |
| Switzerland | 1 |
| Taiwan | 5 |
| Thailand | 1 |
| Turkey | 1 |
| United Kingdom | 3 |
| United States | 4 |
| Vietnam | 2 |
References
- Vo, T.-S.; Ngo, D.-H.; Kang, K.-H.; Jung, W.-K.; Kim, S.-K. The beneficial properties of marine polysaccharides in alleviation of allergic responses. Mol. Nutr. Food Res. 2014, 59, 129–138. [Google Scholar] [CrossRef] [PubMed]
- Thakur, V.K.; Thakur, M.K. Recent advances in graft copolymerization and applications of chitosan: A review. ACS Sustain. Chem. Eng. 2014, 2, 2637–2652. [Google Scholar] [CrossRef]
- Mourya, V.K.; Inamdar, N.N.; Choudhari, Y.M. Chitooligosaccharides: Synthesis, characterization and applications. Polym. Sci. Ser. A 2011, 53, 583–612. [Google Scholar] [CrossRef]
- Santoso, J.; Adiputra, K.C.; Soerdirga, L.C.; Tarman, K. Effect of acetic acid hydrolysis on the characteristics of water soluble chitosan. IOP Conf. Ser. Earth Environ. Sci. 2020, 414, 012021. [Google Scholar] [CrossRef]
- Xia, W.; Liu, P.; Zhang, J.; Chen, J. Biological activities of chitosan and chitooligosaccharides. Food Hydrocoll. 2011, 25, 170–179. [Google Scholar] [CrossRef]
- Chang, S.-H.; Wu, C.-H.; Tsai, G.-J. Effects of chitosan molecular weight on its antioxidant and antimutagenic properties. Carbohydr. Polym. 2018, 181, 1026–1032. [Google Scholar] [CrossRef] [PubMed]
- El-Sawy, N.M.; El-Rehim, H.A.A.; Elbarbary, A.M.; Hegazy, E.-S.A. Radiation-induced degradation of chitosan for possible use as a growth promoter in agricultural purposes. Carbohydr. Polym. 2010, 79, 555–562. [Google Scholar] [CrossRef]
- Khan, A.; Mehmood, S.; Shafiq, M.; Yasin, T.; Akhter, Z.; Ahmad, S. Structural and antimicrobial properties of irradiated chitosan and its complexes with zinc. Radiat. Phys. Chem. 2013, 91, 138–142. [Google Scholar] [CrossRef]
- Li, K.; Xing, R.; Liu, S.; Li, R.; Qin, Y.; Meng, X.; Li, P. Separation of chito-oligomers with several degrees of polymerization and study of their antioxidant activity. Carbohydr. Polym. 2012, 88, 896–903. [Google Scholar] [CrossRef]
- Liang, T.-W.; Chen, Y.-J.; Yen, Y.-H.; Wang, S.-L. The antitumor activity of the hydrolysates of chitinous materials hydrolyzed by crude enzyme from Bacillus amyloliquefaciens V656. Process. Biochem. 2007, 42, 527–534. [Google Scholar] [CrossRef]
- Muley, A.B.; Shingote, P.R.; Patil, A.P.; Dalvi, S.G.; Suprasanna, P. Gamma radiation degradation of chitosan for application in growth promotion and induction of stress tolerance in potato (Solanum tuberosum L.). Carbohydr. Polym. 2019, 210, 289–301. [Google Scholar] [CrossRef]
- Wu, S.-J.; Pan, S.-K.; Wang, H.-B.; Wu, J.-H. Preparation of chitooligosaccharides from cicada slough and their antibacterial activity. Int. J. Biol. Macromol. 2013, 62, 348–351. [Google Scholar] [CrossRef]
- Roman, D.L.; Roman, M.; Som, C.; Schmutz, M.; Hernandez, E.; Wick, P.; Casalini, T.; Perale, G.; Ostafe, V.; Isvoran, A. Computational assessment of the pharmacological profiles of degradation products of chitosan. Front. Bioeng. Biotechnol. 2019, 7, 214. [Google Scholar] [CrossRef]
- Liaqat, F.; Eltem, R. Chitooligosaccharides and their biological activities: A comprehensive review. Carbohydr. Polym. 2018, 184, 243–259. [Google Scholar] [CrossRef]
- Li, D.-D.; Tao, Y.; Shi, Y.-N.; Han, Y.-B.; Yang, N.; Xu, X.-M. Effect of re-acetylation on the acid hydrolysis of chitosan under an induced electric field. Food Chem. 2020, 309, 125767. [Google Scholar] [CrossRef]
- Xia, Z.; Wu, S.; Chen, J. Preparation of water soluble chitosan by hydrolysis using hydrogen peroxide. Int. J. Biol. Macromol. 2013, 59, 242–245. [Google Scholar] [CrossRef] [PubMed]
- Xing, R.; Liu, Y.; Li, K.; Yu, H.; Liu, S.; Yang, Y.; Chen, X.; Li, P. Monomer composition of chitooligosaccharides obtained by different degradation methods and their effects on immunomodulatory activities. Carbohydr. Polym. 2017, 157, 1288–1297. [Google Scholar] [CrossRef] [PubMed]
- Chen, Q.; Xiao, W.; Zhou, L.; Wu, T.; Wu, Y. Hydrolysis of chitosan under microwave irradiation in ionic liquids promoted by sulfonic acid-functionalized ionic liquids. Polym. Degrad. Stab. 2012, 97, 49–53. [Google Scholar] [CrossRef]
- He, Y.; Zhang, M.; Shan, M.; Zeng, P.; Li, X.; Hao, C.; Dou, H.; Yang, D.; Feng, N.; Zhang, L. Optimizing microwave-assisted hydrolysis conditions for monosaccharide composition analyses of different polysaccharides. Int. J. Biol. Macromol. 2018, 118, 327–332. [Google Scholar] [CrossRef] [PubMed]
- Mahmud, M.; Naziri, M.I.; Yacob, N.; Talip, N.; Abdullah, Z. Degradation of chitosan by gamma ray with presence of hydrogen peroxide. AIP Conf. Proc. 2014, 1584, 136–140. [Google Scholar] [CrossRef]
- El-Sayed, S.T.; Ali, A.M.; Omar, N.I. A comparative evaluation of antimicrobial activity of chitooligosaccharides with broad spectrum antibiotics on growth of some pathogenic microorganisms. Biocatal. Agric. Biotechnol. 2019, 22, 101382. [Google Scholar] [CrossRef]
- Xu, W.; Mohan, A.; Pitts, N.L.; Udenigwe, C.; Mason, B. Bile acid-binding capacity of lobster shell-derived chitin, chitosan and chitooligosaccharides. Food Biosci. 2020, 33, 100476. [Google Scholar] [CrossRef]
- Benhabiles, M.; Salah, R.; Lounici, H.; Drouiche, N.; Goosen, M.; Mameri, N. Antibacterial activity of chitin, chitosan and its oligomers prepared from shrimp shell waste. Food Hydrocoll. 2012, 29, 48–56. [Google Scholar] [CrossRef]
- Kasaai, M.R.; Arul, J.; Charlet, G. Fragmentation of chitosan by acids. Sci. World J. 2013, 2013, 1–11. [Google Scholar] [CrossRef] [Green Version]
- Yan, X.; Evenocheck, H.M. Chitosan analysis using acid hydrolysis and HPLC/UV. Carbohydr. Polym. 2012, 87, 1774–1778. [Google Scholar] [CrossRef]
- Zhang, Z.; Li, C.; Wang, Q.; Zhao, Z.K. Efficient hydrolysis of chitosan in ionic liquids. Carbohydr. Polym. 2009, 78, 685–689. [Google Scholar] [CrossRef]
- Aljbour, N.D.; Beg, M.D.; Gimbun, J. Acid hydrolysis of chitosan to oligomers using hydrochloric acid. Chem. Eng. Technol. 2019, 42, 1741–1746. [Google Scholar] [CrossRef]
- Feng, T.; Du, Y.; Li, J.; Hu, Y.; Kennedy, J.F. Enhancement of antioxidant activity of chitosan by irradiation. Carbohydr. Polym. 2008, 73, 126–132. [Google Scholar] [CrossRef]
- Dung, P.D.; Hung, L.T.; Ha, T.L.T.; Luan, L.Q.; Van Le, B.; Thang, N.T. Study on the biological effects of oligochitosan fractions, prepared by synergistic degradation method, on capsicum. Int. J. Polym. Sci. 2018, 2018, 1–9. [Google Scholar] [CrossRef] [Green Version]
- Wasikiewicz, J.M.; Yeates, S.G. “Green” molecular weight degradation of chitosan using microwave irradiation. Polym. Degrad. Stab. 2013, 98, 863–867. [Google Scholar] [CrossRef]
- Águila-Almanza, E.; Salgado-Delgado, R.; Vargas-Galarza, Z.; García-Hernández, E.; Hernández-Cocoletzi, H. Enzymatic depolimerization of chitosan for the preparation of functional membranes. J. Chem. 2019, 2019, 1–8. [Google Scholar] [CrossRef] [Green Version]
- Roncal, T.; Oviedo, A.; Armentia, I.L.; Fernández, L.; Villarán, M.C. High yield production of monomer-free chitosan oligo-saccharides by pepsin catalyzed hydrolysis of a high deacetylation degree chitosan. Carbohydr. Res. 2007, 342, 2750–2756. [Google Scholar] [CrossRef]
- Xie, Y.; Wei, Y.; Hu, J. Depolymerization of chitosan with a crude cellulase preparation from Aspergillus niger. Appl. Biochem. Biotechnol. 2009, 160, 1074–1083. [Google Scholar] [CrossRef]
- Laokuldilok, T.; Potivas, T.; Kanha, N.; Surawang, S.; Seesuriyachan, P.; Wangtueai, S.; Phimolsiripol, Y.; Regenstein, J.M. Physicochemical, antioxidant, and antimicrobial properties of chitooligosaccharides produced using three different enzyme treatments. Food Biosci. 2017, 18, 28–33. [Google Scholar] [CrossRef]
- Il’Ina, A.V.; Varlamov, V.P. Hydrolysis of chitosan in lactic acid. Appl. Biochem. Microbiol. 2004, 40, 300–303. [Google Scholar] [CrossRef]
- Jia, Z.; Shen, D. Effect of reaction temperature and reaction time on the preparation of low-molecular-weight chitosan using phosphoric acid. Carbohydr. Polym. 2002, 49, 393–396. [Google Scholar] [CrossRef]
- Li, B.; Zhang, J.; Bu, F.; Xia, W. Determination of chitosan with a modified acid hydrolysis and HPLC method. Carbohydr. Res. 2013, 366, 50–54. [Google Scholar] [CrossRef] [PubMed]
- Sun, Y.; Qing, M.; Chen, L.; Liu, L.; Zhong, F.; Jiang, P.; Wang, G.; Zhuang, L. Chitosan dissolution with sulfopropyl imidazolium Brönsted acidic ionic liquids. J. Mol. Liq. 2019, 293, 111533. [Google Scholar] [CrossRef]
- Zhuang, L.; Zhong, F.; Qin, M.; Sun, Y.; Tan, X.; Zhang, H.; Kong, M.; Hu, K.; Wang, G. Theoretical and experimental studies of ionic liquid-urea mixtures on chitosan dissolution: Effect of cationic structure. J. Mol. Liq. 2020, 317, 113918. [Google Scholar] [CrossRef]
- Hien, N.Q.; Van Phu, D.; Duy, N.N.; Lan, N.T.K. Degradation of chitosan in solution by gamma irradiation in the presence of hydrogen peroxide. Carbohydr. Polym. 2012, 87, 935–938. [Google Scholar] [CrossRef]
- Choi, W.-S.; Ahn, K.-J.; Lee, D.-W.; Byun, M.-W.; Park, H.-J. Preparation of chitosan oligomers by irradiation. Polym. Degrad. Stab. 2002, 78, 533–538. [Google Scholar] [CrossRef]
- Kang, B.; Dai, Y.-D.; Zhang, H.-Q.; Chen, D. Synergetic degradation of chitosan with gamma radiation and hydrogen peroxide. Polym. Degrad. Stab. 2007, 92, 359–362. [Google Scholar] [CrossRef]
- Wasikiewicz, J.; Yoshii, F.; Nagasawa, N.; Wach, R.A.; Mitomo, H. Degradation of chitosan and sodium alginate by gamma radiation, sonochemical and ultraviolet methods. Radiat. Phys. Chem. 2005, 73, 287–295. [Google Scholar] [CrossRef]
- Kim, H.B.; Lee, Y.J.; Oh, S.H.; Kang, P.H.; Jeun, J.P. Molecular weight control of chitosan using gamma ray and electron beam irradiation. J. Radiat. Ind. 2013, 7, 51–54. [Google Scholar]
- Shao, J.; Yang, Y.; Zhong, Q. Studies on preparation of oligoglucosamine by oxidative degradation under microwave irra-diation. Polym. Degrad. Stab. 2003, 82, 395–398. [Google Scholar] [CrossRef]
- Tishchenko, G.; Šimůnek, J.; Brus, J.; Netopilík, M.; Pekárek, M.; Walterová, Z.; Koppová, I.; Lenfeld, J. Low-molecular-weight chitosans: Preparation and characterization. Carbohydr. Polym. 2011, 86, 1077–1081. [Google Scholar] [CrossRef]
- Xing, R.; Liu, S.; Yu, H.; Guo, Z.; Wang, P.; Li, C.; Li, Z.; Li, P. Salt-assisted acid hydrolysis of chitosan to oligomers under microwave irradiation. Carbohydr. Res. 2005, 340, 2150–2153. [Google Scholar] [CrossRef]
- Wang, S.-M.; Huang, Q.-Z.; Wang, Q.-S. Study on the synergetic degradation of chitosan with ultraviolet light and hydrogen peroxide. Carbohydr. Res. 2005, 340, 1143–1147. [Google Scholar] [CrossRef]
- Tian, F.; Liu, Y.; Hu, K.; Zhao, B. Study of the depolymerization behavior of chitosan by hydrogen peroxide. Carbohydr. Polym. 2004, 57, 31–37. [Google Scholar] [CrossRef]
- Huang, Q.Z.; Wang, S.M.; Huang, J.F.; Zhuo, L.H.; Guo, Y.C. Study on the heterogeneous degradation of chitosan with hydrogen peroxide under the catalysis of phosphotungstic acid. Carbohydr. Polym. 2007, 68, 761–765. [Google Scholar] [CrossRef]
- Qin, C.; Du, Y.; Xiao, L. Effect of hydrogen peroxide treatment on the molecular weight and structure of chitosan. Polym. Degrad. Stab. 2002, 76, 211–218. [Google Scholar] [CrossRef]
- Chang, S.-H.; Lin, H.-T.V.; Wu, G.-J.; Tsai, G.J. pH Effects on solubility, zeta potential, and correlation between antibacterial activity and molecular weight of chitosan. Carbohydr. Polym. 2015, 134, 74–81. [Google Scholar] [CrossRef] [PubMed]
- Lin, S.-B.; Lin, Y.-C.; Chen, H.-H. Low molecular weight chitosan prepared with the aid of cellulase, lysozyme and chitinase: Characterisation and antibacterial activity. Food Chem. 2009, 116, 47–53. [Google Scholar] [CrossRef]
- Liu, J.; Xia, W.S. Purification and characterization of a bifunctional enzyme with chitosanase and cellulase activity from comercial cellulase. Biochem. Eng. J. 2006, 30, 82–87. [Google Scholar] [CrossRef]
- Pan, A.-D.; Zeng, H.-Y.; Foua, G.B.; Alain, C.; Li, Y.-Q. Enzymolysis of chitosan by papain and its kinetics. Carbohydr. Polym. 2016, 135, 199–206. [Google Scholar] [CrossRef] [PubMed]
- Qin, Z.; Chen, Q.; Lin, S.; Luo, S.; Qiu, Y.; Zhao, L. Expression and characterization of a novel cold-adapted chitosanase suitable for chitooligosaccharides controllable preparation. Food Chem. 2018, 253, 139–147. [Google Scholar] [CrossRef]
- Santos-Moriano, P.; Kidibule, P.E.; Alleyne, E.; Ballesteros, A.O.; Heras, A.; Fernandez-Lobato, M.; Plou, F.J. Efficient conversion of chitosan into chitooligosaccharides by a chitosanolytic activity from Bacillus thuringiensis. Process. Biochem. 2018, 73, 102–108. [Google Scholar] [CrossRef]
- Tsai, G.-J.; Zhang, S.-L.; Shieh, P.-L. Antimicrobial activity of a low-molecular-weight chitosan obtained from cellulase digestion of chitosan. J. Food Prot. 2004, 67, 396–398. [Google Scholar] [CrossRef]
- Xie, Y.; Hu, J.; Wei, Y.; Hong, X. Preparation of chitooligosaccharides by the enzymatic hydrolysis of chitosan. Polym. Degrad. Stab. 2009, 94, 1895–1899. [Google Scholar] [CrossRef]
- Xia, W.; Liu, P.; Liu, J. Advance in chitosan hydrolysis by non-specific cellulases. Bioresour. Technol. 2008, 99, 6751–6762. [Google Scholar] [CrossRef]
- Omari, K.W.B.; Besaw, J.E.; Kerton, F.M. Hydrolysis of chitosan to yield levulinic acid and 5-hydroxymethylfurfural in water under microwave irradiation. Green Chem. 2012, 14, 1480–1487. [Google Scholar] [CrossRef] [Green Version]
- Peterson, M.; Daniel, R.M.; Danson, M.J.; Eisenthal, R. The dependence of enzyme activity on temperature: Determination and validation of parameters. Biochem. J. 2007, 402, 331–337. [Google Scholar] [CrossRef] [PubMed]




| Reference | Chitosan | Solvent | Solvent Concentration | Temperature | Time | Mw/DP |
|---|---|---|---|---|---|---|
| [4] | 5% | CH3COOH | 1–5% | 30–60 °C | 30–90 min | 166.3–592.8 kDa |
| [9] | 3.33% | HCl | 6 M | 70 °C | 2 h | 2–12 DP |
| [15] | 0.8% | HCl | 0.15 and 1.5 M | 25–45 °C | 0–60 h | 20–90 kDa |
| [23] | 2% | HCl | 6.27 M | 56 °C | 3 h | - |
| [24] | 1% | HCl | 0.1–5 M | 65 °C | 13–2160 min | 73.8–1076 kDa |
| [25] | 0.5% | HCl | 8, 10, and 12 M | 90 and 105 °C | 0–10 h | - |
| [26] | 255 mg | ([C4mim] Cl 1 or [C4mim]Br 2) + (H2SO4 or HCl or HNO3) + (Water) | (4g) + (290–600 mg)+ (27–108 mg) | 100 °C | 190–540 min | - |
| [27] | 1% | HCl | 2 M | - | 0.5–24 h | 1.5–29 kDa |
| [35] | 1% | C3H6O3 | 1% | 8, 22, and 37 °C | 10, 20, 30, 60, and 90 days | - |
| [36] | 5% | H3PO4 | 85% | Ambient; (40, 60, and 80 °C) | 35 days; (1–15 h) | 19–164 kDa |
| [37] | 0.2% | HCl:H3PO4 | 100:0, 75:25, 50:50, 25:75, 0:100 (6M H+) 75:25 (4, 6, 8, and 10 M H+) | 110 °C | 0–36 h | - |
| Reference | Chitosan | Solvent | Solvent Concentration | Radiation Doses (kGy) | Rate (kGy/h) | Mw (kDa) |
|---|---|---|---|---|---|---|
| [7] | - | (NH4)2S2O8 or K2S2O8 or H2O2 | 10% | 20 to 200 | 6.7 | 130–3000 |
| [8] | dry/wet/solution | wet (H2O)/solution (CH3COOH/H2O2) | 1% | 15 to150 | 1.02 | 10–180 |
| [11] | 2% | CH3COOH | 1% | 25 to 100 | - | 82.2–337.73 |
| [20] | 1:6 (chitosan:water) | H2O2 | 1–5% | 6 | - | 8–14 |
| [28] | 2% | CH3COOH | 1% | 2, 10 and 20 | 3.35 | 2.1–35.2 |
| [29] | 5% | CH3COOH/H2O2 | 0.2 M/1% | 0 to 150 | 3 | 6–100 |
| [40] | 5% | C3H6O3/H2O2 | 3%/1% | 4 to 16 | 1.33 | 2.7–8.6 |
| [41] | 2% | CH3COOH | 2% | 2 to 200 | - | - |
| [42] | 20% | H2O2 | 2%, 10%, and 30% | 10 to 100 | 10 | 1–300 |
| [43] | 0.1–2% | CH3COOH | 0.1 M | 0.5 to 200 | 10 | 0.97–67 |
| Reference | Chitosan | Solvent | Solvent Concentration | Other Solutions | Power | Time | Temperature | Mw (kDa) |
|---|---|---|---|---|---|---|---|---|
| [17] | 3% | CH3COOH; H2O2 | 2%, 1% | - | 800 W | 25 min | 80 °C | 1.46 |
| [18] | 3% | AmimCl a: HmimCl b | (9:1) | 15 mg (H2O) + DMSO c e SFILs d | 160, 320, 640, 800 W | 30, 60, 90, 120 s | 120, 125, 130, 146, and 155 °C | 0.45–24 |
| [19] | 1% | HCl | 3 M | - | 80–100 W | 5, 10, and 15 min | 80 and 100 °C | - |
| [30] | 1% | CH3COOH | 0.1 M | - | 10–100 W | 5–80 min | - | 25–42 |
| [45] | 3 e 4% | H2O2 | 5, 10 e 15% | - | 700 W | 3, 4, and 5 min | - | 0.9–1 |
| [46] | - | acidified | - | - | 650 or 390 W | 10, 20, 30, and 60 min | 98–100 °C | 79.2–142.2 |
| [47] | - | CH3COOH or HCl | 2% | NaCl, KCl, CaCl2 (0.15 mol/L [Cl−1] | 480–800 W | 0.5–25 min | 100 °C | 30–105 |
| Reference | Chitosan | Solvent | Solvent Concentration | Temperature | Time | Mw/DP |
|---|---|---|---|---|---|---|
| [12] | 1% | H2O2; CH3COOH | 0.5–3%; 1% | 50–75 °C | 1–6 h | 2–7 DP |
| [16] | 1% | H2O2; CH3COOH; H3PW12O40 | 0.5–3%; 1%; 0.04–0.14% | 50–75 °C | 10–60 min | 7 DP |
| [17] | 3% | H2O2; CH3COOH | 3%; 2% | 80 °C | 180 min | 1.36 kDa |
| [46] | 1% | H2O2; CH3COOH | 5.7, 2.8, 1.9, and 1.7 (molar ratio) | 50 °C | 8 h | 6.61–9.97 kDa |
| [48] | 2% | H2O2; CH3COOH | 2%; 1% | 40 °C | 30–180 min | - |
| [49] | 2% | H2O2; HCl | (0.5, 1.0, 1.5, 2.0 M)/0.5% | 25, 40, 50, 70 °C | 1, 2, 3 h | 11–1200 kDa |
| [50] | 7.5% | H2O2; H3PW12O40 | 4.5%; 0.1% | 70 °C | 30–120 min | 4.3–4.7 kDa |
| [51] | - | H2O2; HCl | 0–5%; 0–9% | 10–90 °C | 0.5–8 h | 5–200 kDa |
| Reference | Enzime | Enzyme Concentration 1 | Chitosan 2 | Solution | pH | Temperature | Time | Mw/DP |
|---|---|---|---|---|---|---|---|---|
| [6] | Cellulase | 10 U/g of chitosan | 1% | Sodium acetate 0.5 M | 5.2 | 55 °C | 1–24 h | 2.2–156 kDa |
| [10] | Not identified | 20% 2 | 1% | Phosphate 0.05 M | 5.0 | 37 °C | 1–24 h | 1–6 DP |
| [21] | Chitosanase | 0.95 U/mg | Sodium acetate | 5.6 | 55 °C | 1.5 h | 1–100 kDa | |
| [22] | Pepsin + papain | 4% | 1% | Sodium acetate 0.2 M | 4.8 | 50 °C | 0–24 h | 0.6–150 kDa |
| [31] | Celuzyme® XB (cellulase/xylanase/β-glucanase) | 0–2.5 × 10−3 mg/mL | 0.5% | Acetic acid-sodium acetate 0.2 M | 3.5–6.5 | 25–75 °C | 25–250 min | 64–152 kDa |
| [32] | Chitosanase, cellulase, hemicellulase, papain, bromelain, pepsin, protease type XIV, lysozyme, and lipase A. | 0.1–10% | 1% | Sodium acetate 0.1 M | 3.0–5.0 | 30–50 °C | 0–20 h | - |
| [33] | Cellulase | 5–20% | 0.5–4% | Acetic acid | 2.0–6.0 | 40–60 °C | 5 min–24 h | 85.8–1.13 kDa |
| [46] | Pectinase + cellulase + papain | 15+15+2% | 2% | Phosphate 1 M | 5.3 | 39 °C | 24 h | 14.6–34 kDa |
| [52] | Cellulase | 10 U/g of chitosan | - | Acetate-bicarbonate 0.5 M | 5.2 | 55 °C | 1–18 h | 3.3–156 kDa |
| [34] | Papain/lysozyme/cellulase | 0.003% | 1% | Sodium acetate 0.1 M | 4.0 | 40/30/37 °C | 1–16 h | 4.3–800 kDa |
| [53] | Chitinase, cellulase, or lysozyme | 10% 2 | 2.2% | Sodium acetate 0.1 M | 4.0 | 42 °C | 0–180 h | 6–38 kDa |
| [54] | Cellulase | 0.5 mL | 1% | Sodium acetate 0.02 M | 5.2 | 60 °C | 0.5–12 h | 2–4 DP |
| [55] | Papain | 0.08–0.12 g/g of chitosan | 6–10 g/L | Sodium acetate 0.2 M | 4.0–5.0 | 40–50 °C | 15–120 min | 35–155 kDa |
| [56] | Chitosanase | 1.5 U/mL | 1% | Sodium acetate 0.02 M | 5.5 | 30 °C | 0.5–6 h | 2–7 DP |
| [57] | Not identified | 0.05 U/mL | 1% | Sodium acetate 0.05 M | 5.0 | 60 ºC | - | 2–5 DP |
| [58] | Cellulase | 10 U/g of chitosan | 4.5% | Acetic acid-bicarbonate 0.5 M | 5.2 | 55 °C | 18 h | 12 kDa/2–8 DP |
| [59] | Cellulase | 20% | 5% | Acetic acid 1% | 5.6 | 50 °C | 24 h | 3–11 DP |
Publisher’s Note: MDPI stays neutral with regard to jurisdictional claims in published maps and institutional affiliations. |
© 2021 by the authors. Licensee MDPI, Basel, Switzerland. This article is an open access article distributed under the terms and conditions of the Creative Commons Attribution (CC BY) license (https://creativecommons.org/licenses/by/4.0/).
Share and Cite
Gonçalves, C.; Ferreira, N.; Lourenço, L. Production of Low Molecular Weight Chitosan and Chitooligosaccharides (COS): A Review. Polymers 2021, 13, 2466. https://doi.org/10.3390/polym13152466
Gonçalves C, Ferreira N, Lourenço L. Production of Low Molecular Weight Chitosan and Chitooligosaccharides (COS): A Review. Polymers. 2021; 13(15):2466. https://doi.org/10.3390/polym13152466
Chicago/Turabian StyleGonçalves, Cleidiane, Nelson Ferreira, and Lúcia Lourenço. 2021. "Production of Low Molecular Weight Chitosan and Chitooligosaccharides (COS): A Review" Polymers 13, no. 15: 2466. https://doi.org/10.3390/polym13152466
APA StyleGonçalves, C., Ferreira, N., & Lourenço, L. (2021). Production of Low Molecular Weight Chitosan and Chitooligosaccharides (COS): A Review. Polymers, 13(15), 2466. https://doi.org/10.3390/polym13152466

