Enhancing Physicochemical Properties and Single Cell Performance of Sulfonated Poly(arylene ether) (SPAE) Membrane by Incorporation of Phosphotungstic Acid and Graphene Oxide: A Potential Electrolyte for Proton Exchange Membrane Fuel Cells
Abstract
:1. Introduction
2. Experimental
2.1. Materials
2.2. Synthesis of Polymers
2.2.1. Synthesis of Poly(arylene ether) Block Copolymers
2.2.2. Sulfonation of Poly(arylene ether) Block Copolymers
2.2.3. Fabrication of SPAE/GO/PWA Composite Membranes
2.3. Chraterizations
2.4. Preparation of Membrane Electrode Assembly and Measurement of Single-Cell Performance
3. Results and Discussion
3.1. Structural Characterization
3.2. Thermal Stability
3.3. XRD Analysis
3.4. Morphologies of the Composite Membranes
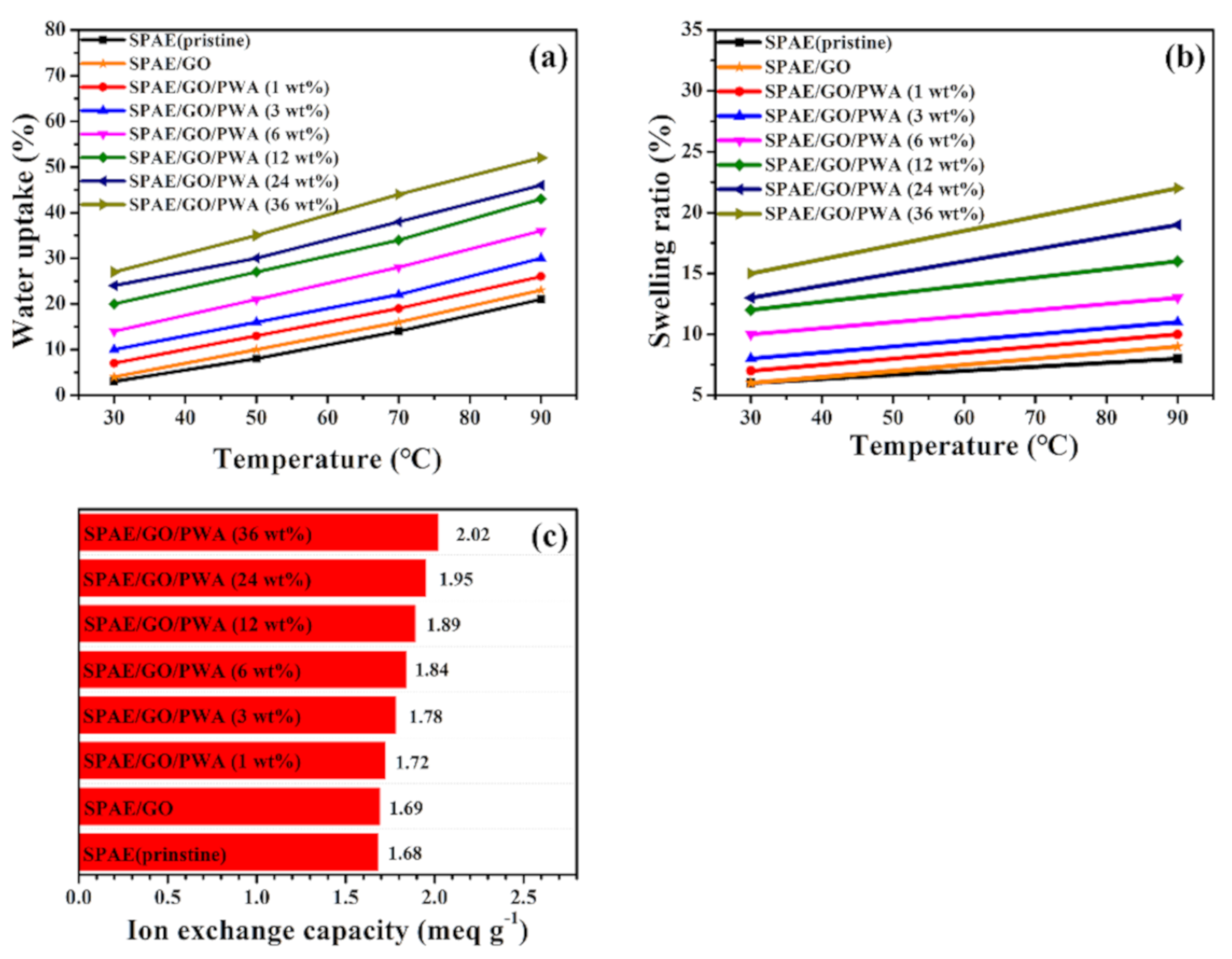
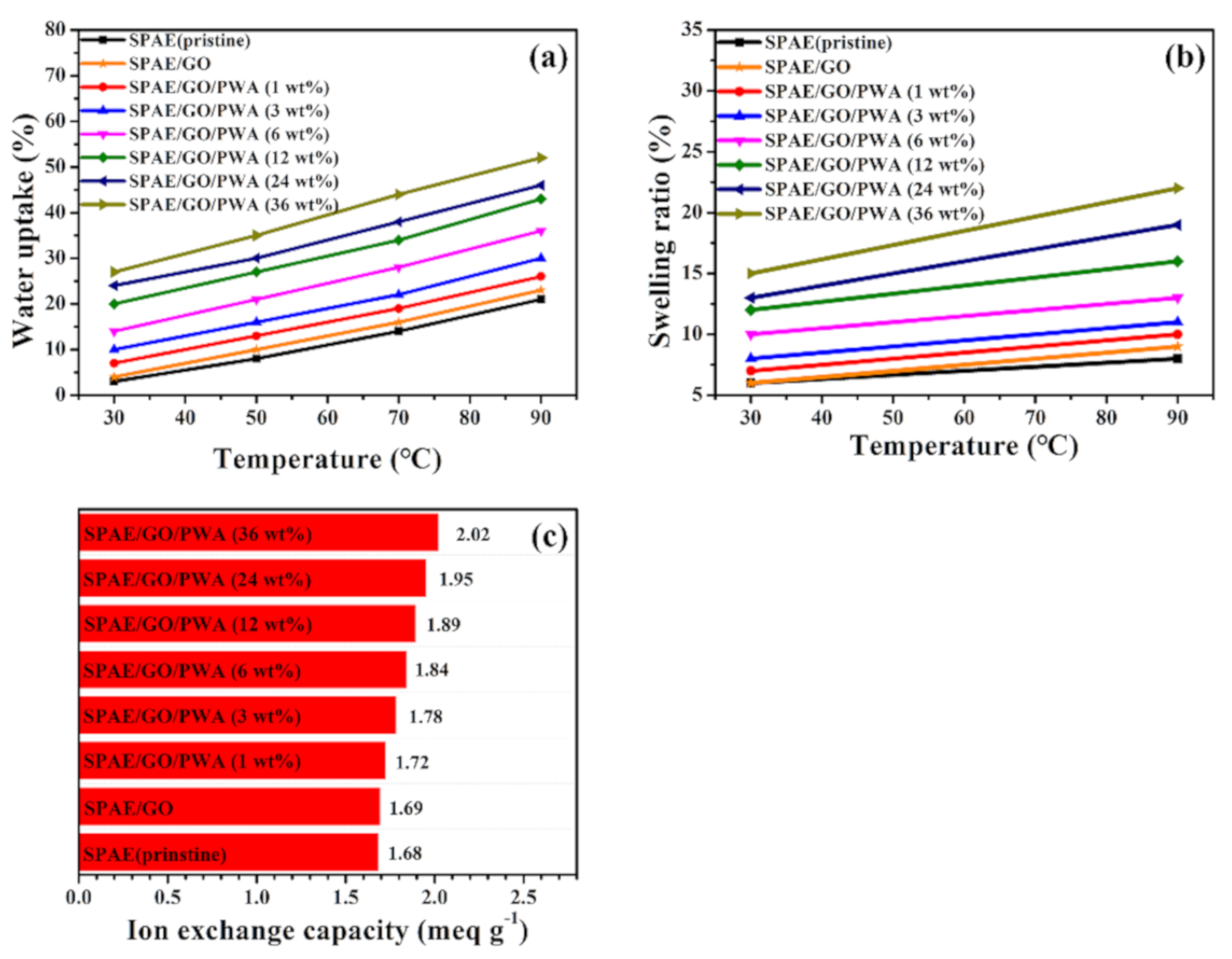
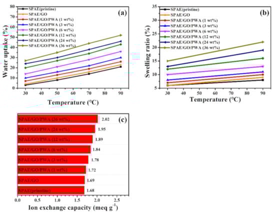
3.5. Water Uptake, Swelling Ratio, and Ion Exchange Capacity (IEC)
3.6. Water Contact Angle and Mechanical Properties
3.7. Proton Conductivity and Activation Energy
3.8. Unit Cell Performance
4. Conclusions and Discussion
Supplementary Materials
Author Contributions
Funding
Data Availability Statement
Conflicts of Interest
References
- Nanadegani, F.S.; Lay, E.N.; Sunden, B. Computational analysis of the impact of a micro porous layer (MPL) on the characteristics of a high temperature PEMFC. Electrochim. Acta 2020, 333, 13552–13561. [Google Scholar] [CrossRef]
- Zhang, X.; Liu, Q.; Xia, L.; Huang, D.; Fu, X.; Zhang, R.; Hu, S.; Zhao, F.; Li, X.; Bao, X. Poly(2,5-benzimidazole)/sulfonated sepiolite composite membranes with low phosphoric acid doping levels for PEMFC applications in a wide temperature range. J. Membr. Sci. 2019, 574, 282–298. [Google Scholar] [CrossRef] [Green Version]
- Kim, A.R.; Vinothkannan, M.; Yoo, D.J. Artificially designed, low humidifying organic–inorganic (SFBC-50/FSiO2) composite membrane for electrolyte applications of fuel cells. Compos. Part B Eng. 2017, 130, 103–118. [Google Scholar] [CrossRef]
- Corbo, P.; Migliardini, F.; Veneri, O. Experimental analysis and management issues of a hydrogen fuel cell system for stationary and mobile application. Energy Convers. Manag. 2017, 48, 2365–2374. [Google Scholar] [CrossRef]
- Chaudhari, H.D.; Illathvalappil, R.; Kurungot, S.; Kharul, U.K. Preparation and investigations of ABPBI membrane for HT-PEMFC by immersion precipitation method. J. Membr. Sci. 2018, 564, 211–217. [Google Scholar] [CrossRef]
- Alizadeh, E.; Khorshidian, M.; Saadat, S.H.M.; Rahgoshay, S.M.; Rahimi-Esbo, M. The experimental analysis of a dead-end H2/O2 PEM fuel cell stack with cascade type design. Int. J. Hydrogen Energy 2017, 42, 11662–11672. [Google Scholar] [CrossRef]
- Oh, B.H.; Kim, A.R.; Yoo, D.J. Profile of extended chemical stability and mechanical integrity and high hydroxide ion conductivity of poly(ether imide) based membranes for anion exchange membrane fuel cells. Int. J. Hydrogen Energy 2019, 44, 4281–4291. [Google Scholar] [CrossRef]
- Barzegari, M.M.; Rahgoshay, S.M.; Mohammadpour, L.; Toghraie, D. Performance prediction and analysis of a dead-end PEMFC stack using data-driven dynamic model. Energy 2019, 188, 106049–106056. [Google Scholar] [CrossRef]
- Teixeira, F.C.; Sả, A.I.; Teixeira, A.P.S.; Ortiz-Martínez, V.M.; Ortiz, A.; Ortiz, I.; Rangel, C.M. New modified Nafion-bisphosphonic acid composite membranes for enhanced proton conductivity and PEMFC performance. Int. J. Hydrogen Energy 2021, 46, 17562–17571. [Google Scholar] [CrossRef]
- Kim, T.H.; Yi, J.Y.; Jung, C.Y.; Jeong, E.; Yi, S.C. Solvent effect on the Nafion agglomerate morphology in the catalyst layer of the proton exchange membrane fuel cells. Int. J. Hydrogen Energy 2017, 42, 478–485. [Google Scholar] [CrossRef]
- Li, Z.; Guan, Z.; Wang, C.; Quan, B.; Zhao, L. Addition of modified hollow mesoporous organosilica in anhydrous SPEEK/IL composite membrane enhances its proton conductivity. J. Membr. Sci. 2021, 620, 118897–118906. [Google Scholar] [CrossRef]
- Wu, Z.; Tang, Y.; Sun, D.; Zhang, S.; Xu, Y.; Wei, H.; Gong, C. Multi-sulfonated polyhedral oligosilsesquioxane (POSS) grafted poly(arylene ether sulfone)s for proton conductive membranes. Polymer 2017, 123, 21–29. [Google Scholar] [CrossRef]
- Siu, A.; Pivovar, B.; Horsfall, J.; Lovell, K.V.; Holdcroft, S. Dependence of methanol permeability on the nature of water and the morphology of graft copolymer proton exchange membranes. J. Polym. Sci. Part B Polym. Phys. 2006, 44, 2240–2252. [Google Scholar] [CrossRef]
- Vinothkannan, M.; Kim, A.R.; Nahm, K.S.; Yoo, D.J. Ternary hybrid (SPEEK/SPVdF-HFP/GO) based membrane electrolyte for the applications of fuel cells: Profile of improved mechanical strength, thermal stability and proton conductivity. RSC Adv. 2016, 6, 108851–108863. [Google Scholar] [CrossRef]
- Munavalli, B.B.; Kariduraganavar, M.Y. Enhancement of fuel cell performance of sulfonated poly(arylene ether ketone) membrane using different crosslinkers. J. Membr. Sci. 2018, 556, 383–395. [Google Scholar] [CrossRef]
- Li, J.; Wang, S.; Xu, J.; Xu, L.; Liu, F.; Tian, X.; Wang, Z. Organic-inorganic composite membrane based on sulfonated poly(arylene ether ketone sulfone) with excellent long-term stability for proton exchange membrane fuel cells. J. Membr. Sci. 2017, 529, 243–251. [Google Scholar] [CrossRef]
- Haragirimana, A.; Li, N.; Ingabire, P.B.; Hu, Z.; Chen, S. Multi-component organic/inorganic blend proton exchange membranes based on sulfonated poly(arylene ether sulfone)s for fuel cells. Polymer 2020, 210, 123015–123024. [Google Scholar] [CrossRef]
- Gutru, R.; Peera, S.G.; Bhat, S.D.; Sahu, A.K. Synthesis of sulfonated poly(bis(phenoxy)phosphazene) based blend membranes and its effect as electrolyte in fuel cells. Solid State Ionics 2016, 296, 127–136. [Google Scholar] [CrossRef]
- Farrokhi, M.; Abdollahi, M. Enhancing medium/high temperature proton conductivity of poly(benzimidazole)-based proton exchange membrane via blending with poly(vinyl imidazole-co-vinyl phosphonic acid) copolymer: Proton conductivity-copolymer microstructure relationship. Eur. Polym. J. 2020, 131, 109691–109699. [Google Scholar] [CrossRef]
- Yang, J.; Jiang, H.; Gao, L.; Wang, J.; Xu, Y.; He, R. Fabrication of crosslinked polybenzimidazole membranes by trifunctional crosslinkers for high temperature proton exchange membrane fuel cells. Int. J. Hydrogen Energy 2018, 43, 3299–3307. [Google Scholar] [CrossRef]
- Haragirimana, A.; Ingabire, P.B.; Zhu, Y.; Lu, Y.; Li, N.; Hu, Z.; Chen, S. Four-polymer blend proton exchange membranes derived from sulfonated poly(aryl ether sulfone)s with various sulfonation degrees for application in fuel cells. J. Membr. Sci. 2019, 583, 209–219. [Google Scholar] [CrossRef]
- Parnian, M.J.; Rowshanzamir, S.; Gashoul, F. Comprehensive investigation of physicochemical and electrochemical properties of sulfonated poly(ether ether ketone) membranes with different degrees of sulfonation for proton exchange membrane fuel cell applications. Energy 2017, 125, 614–628. [Google Scholar] [CrossRef]
- Yagizatli, Y.; Ulas, B.; Cali, A.; Sahin, A.; Ar, I. Improved fuel cell properties of Nano-TiO2 doped Poly(Vinylidene fluoride) and phosphonated Poly(Vinyl alcohol) composite blend membranes for PEM fuel cells. Int. J. Hydrogen Energy 2020, 45, 35130–35138. [Google Scholar] [CrossRef]
- Ranjania, M.; Yoo, D.J.; Gnaan Kumar, G. Sulfonated Fe3O4@SiO2 nanorods incorporated sPVdF nanocomposite membranes for DMFC applications. J. Membr. Sci. 2018, 555, 497–506. [Google Scholar] [CrossRef]
- Moradi, M.; Moheb, A.; Javanbakht, M.; Hooshyari, K. Experimental study and modeling of proton conductivity of phosphoric acid doped PBI-Fe2TiO5 nanocomposite membranes for using in high temperature proton exchange membrane fuel cell (HT-PEMFC). Int. J. Hydrogen Energy 2016, 41, 2896–2910. [Google Scholar] [CrossRef]
- Sanchez-Ballester, S.C.; Soria, V.; Rydzek, G.; Ariga, K.; Ribes-Greus, A. Synthesis and characterization of bisulfonated poly(vinyl alcohol)/graphene oxide composite membranes with improved proton exchange capabilities. Polym. Test. 2020, 91, 106752–106761. [Google Scholar] [CrossRef]
- Wu, Y.; He, G.; Wu, X.; Yuan, Q.; Gong, X.; Zhen, D.; Sun, B. Confinement of functionalized graphene oxide in sulfonated poly(ether ether ketone) nanofibers by coaxial electrospinning for polymer electrolyte membranes. Int. J. Hydrogen Energy 2019, 44, 7494–7504. [Google Scholar] [CrossRef]
- Selva kumar, K.; Rajendran, S.; Prabhu, M.R. A Study of influence on sulfonated TiO2-Poly(Vinylidene fluoride-co-hexafluoropropylene) nano composite membranes for PEM Fuel cell application. Appl. Surf. Sci. 2017, 418, 64–71. [Google Scholar] [CrossRef]
- Lee, K.H.; Chu, J.Y.; Kim, A.R.; Yoo, D.J. Effect of functionalized SiO2 toward proton conductivity of composite membranes for PEMFC application. Int. J. Energy Res. 2019, 43, 5333–5345. [Google Scholar] [CrossRef]
- Vinothkannan, M.; Kannan, R.; Kim, A.R.; Gnana Kumar, G.; Nahm, K.S.; Yoo, D.J. Facile enhancement in proton conductivity of sulfonated poly(ether ether ketone) using functionalized graphene oxide—Synthesis, characterization, and application towards proton exchange membrane fuel cells. Colloid Polym. Sci. 2016, 294, 1197–1207. [Google Scholar] [CrossRef]
- Kim, A.R.; Park, C.J.; Vinothkannan, M.; Yoo, D.J. Sulfonated poly ether sulfone/heteropoly acid composite membranes as electrolytes for the improved power generation of proton exchange membrane fuel cells. Compos. Part B Eng. 2018, 155, 272–281. [Google Scholar] [CrossRef]
- Akbari, S.; Mosavian, M.T.H.; Moosavi, F.; Ahmadpour, A. Atomistic simulation of proton transfer ability of Isopoly acid (IPA)/Heteropoly acid (HPA) doped Nafion® 117 for high-temperature fuel cell applications. Compos. Part B Eng. 2019, 161, 402–410. [Google Scholar] [CrossRef]
- Amirinejad, M.; Madaeni, S.S.; Lee, K.S.; Ko, U.; Rafieec, E.; Lee, J.S. Sulfonated poly(arylene ether)/heteropolyacids nanocomposite membranes for proton exchange membrane fuel cells. Electrochim. Acta 2012, 62, 227–233. [Google Scholar] [CrossRef]
- Lee, K.H.; Chu, J.Y.; Kim, A.R.; Nahm, K.S.; Kim, C.J.; Yoo, D.J. Densely sulfonated block copolymer composite membranes containing Phosphotungstic acid for fuel cell membranes. J. Membr. Sci. 2013, 434, 35–43. [Google Scholar] [CrossRef]
- Lu, J.L.; Fang, Q.H.; Li, S.L.; Jiang, S.P. A novel phosphotungstic acid impregnated meso-Nafion multilayer membrane for proton exchange membrane fuel cells. J. Membr. Sci. 2013, 427, 101–107. [Google Scholar] [CrossRef]
- Zhang, J.; Chen, S.; Bai, H.; Lu, S.; Xiang, Y.; Jiang, S.P. Effects of phosphotungstic acid on performance of phosphoric acid doped polyethersulfone-polyvinylpyrrolidone membranes for high temperature fuel cells. Int. J. Hydrogen Energy 2021, 46, 11104–11114. [Google Scholar] [CrossRef]
- Wang, Z.; Ni, H.; Zhao, C.; Li, X.; Fu, T.; Na, H. Investigation of sulfonated poly(ether ether ketone sulfone)/heteropolyacid composite membranes for high temperature fuel cell applications. J. Polym. Sci. Part B Polym. Phys. 2006, 44, 1967–1978. [Google Scholar] [CrossRef]
- Schuster, M.; Kreuer, K.D.; Andersen, H.T.; Maier, J. Sulfonated poly(phenylene sulfone) polymers as hydrolytically and thermooxidatively stable proton conducting ionomers. Macromolecules 2007, 40, 598–607. [Google Scholar] [CrossRef]
- Bae, B.C.; Miyatake, K.; Watanabe, M. Sulfonated poly(arylene ether sulfone) ionomers containing fluorenyl groups for fuel cell applications. J. Membr. Sci. 2008, 310, 110–118. [Google Scholar] [CrossRef]
- Sun, F.; Qin, L.L.; Zhou, J.; Wang, Y.K.; Rong, J.Q.; Chen, Y.J.; Ayaz, S.; Hai-Yin, Y.U.; Liu, L. Friedel-crafts self-crosslinking of sulfonated poly(etheretherketone) composite proton exchange membrane doped with phosphotungstic acid and carbon-based nanomaterials for fuel cell applications. J. Membr. Sci. 2020, 611, 118381–118390. [Google Scholar] [CrossRef]
- Peng, Q.; Li, Y.; Qiu, M.; Shi, B.; He, X.; Fan, C.; Mao, X.; Wu, H.; Jiang, Z. Enhancing proton conductivity of sulfonated poly(ether ether ketone) based membranes by incorporating phosphotungstic acid coupled graphene oxide. Ind. Eng. Chem. Res. 2021, 60, 4460–4470. [Google Scholar] [CrossRef]
- Erkartal, M.; Aslan, A.; Erkilic, U.; Dadi, S.; Yazaydin, O.; Usta, H.; Sen, U. Anhydrous proton conducting poly(vinyl alcohol) (PVA)/ poly(2-acrylamido-2-methylpropane sulfonic acid) (PAMPS)/1,2,4-triazole composite membrane. Int. J. Hydrogen Energy 2016, 41, 11321–11330. [Google Scholar] [CrossRef]
- Chen, P.; Li, H.; Song, S.; Weng, X.; He, D.; Zhao, Y. Adsorption of dodecylamine hydrochloride on graphene oxide in water. Results Phys. 2017, 7, 2281–2288. [Google Scholar] [CrossRef]
- Zhang, Q.; Wei, F.; Li, Q.; Huang, J.; Feng, Y.; Zhang, Y. Mesoporous Ag1(NH4)2PW12O40 heteropolyacids as effective catalysts for the esterification of oleic acid to biodiesel. RCS Adv. 2017, 7, 51090–51095. [Google Scholar] [CrossRef] [Green Version]
- Kim, T.H.; Yoo, J.H.; Maiyalagan, T.; Yi, S.C. Influence of the Nafion agglomerate morphology on the water-uptake behavior and fuel cell performance in the proton exchange membrane fuel cells. Appl. Surf. Sci. 2019, 481, 777–784. [Google Scholar] [CrossRef]
- Gandhimathi, S.; Krishnan, H.; Paradesi, D. New series of organic–inorganic polymer nanocomposite membranes for fuel cell applications. High Perform. Polym. 2020, 32, 296–305. [Google Scholar] [CrossRef]
- Che, Q.; Chen, N.; Yu, J.; Cheng, S. Sulfonated poly(ether ether) ketone/polyurethane composites doped with phosphoric acids for proton exchange membranes. Solid State Ionics 2016, 289, 199–206. [Google Scholar] [CrossRef]
- Yoo, T.H.; Aziz, M.A.; Oh, K.J.; Shanmugam, S. Modified sulfonated Poly(arylene ether) multiblock copolymers containing highly sulfonated blocks for polymer electrolyte membrane fuel cells. J. Membr. Sci. 2017, 542, 102–109. [Google Scholar] [CrossRef]
- Zhang, B.; Cao, Y.; Li, Z.; Wu, H.; Yin, Y.; Cao, L.; He, X.; Jiang, Z. Proton exchange nanohybrid membranes with high phosphotungstic acid loading within metal-organic frameworks for PEMFC applications. Electrochim. Acta 2017, 240, 186–194. [Google Scholar] [CrossRef]
- Kim, A.R.; Vinothkannan, M.; Kim, J.S.; Yoo, D.J. Proton-conducting phosphotungstic acid/sulfonated fluorinated block copolymer composite membrane for polymer electrolyte fuel cells with reduced hydrogen permeability. Polym. Bull. 2018, 75, 2779–2804. [Google Scholar] [CrossRef]













| Tensile Strength (MPa) | Strain (%) | Young’s Modulus (GPa) | Contact Angle (Angle) | ||
|---|---|---|---|---|---|
| SPAE (pristine) | 13.2 | 2.2 | 650 | 72.67 | |
| SPAE/GO | 15.1 | 2.4 | 654 | 71.03 | |
| SPAE/GO/PWA (12 wt%) | 18.3 | 3.5 | 523 | 64.68 | |
| SPAE/GO/PWA (36 wt%) | 20.4 | 4.1 | 486 | 61.55 | |
Publisher’s Note: MDPI stays neutral with regard to jurisdictional claims in published maps and institutional affiliations. |
© 2021 by the authors. Licensee MDPI, Basel, Switzerland. This article is an open access article distributed under the terms and conditions of the Creative Commons Attribution (CC BY) license (https://creativecommons.org/licenses/by/4.0/).
Share and Cite
Ryu, S.K.; Kim, A.R.; Vinothkannan, M.; Lee, K.H.; Chu, J.Y.; Yoo, D.J. Enhancing Physicochemical Properties and Single Cell Performance of Sulfonated Poly(arylene ether) (SPAE) Membrane by Incorporation of Phosphotungstic Acid and Graphene Oxide: A Potential Electrolyte for Proton Exchange Membrane Fuel Cells. Polymers 2021, 13, 2364. https://doi.org/10.3390/polym13142364
Ryu SK, Kim AR, Vinothkannan M, Lee KH, Chu JY, Yoo DJ. Enhancing Physicochemical Properties and Single Cell Performance of Sulfonated Poly(arylene ether) (SPAE) Membrane by Incorporation of Phosphotungstic Acid and Graphene Oxide: A Potential Electrolyte for Proton Exchange Membrane Fuel Cells. Polymers. 2021; 13(14):2364. https://doi.org/10.3390/polym13142364
Chicago/Turabian StyleRyu, Sung Kwan, Ae Rhan Kim, Mohanraj Vinothkannan, Kyu Ha Lee, Ji Young Chu, and Dong Jin Yoo. 2021. "Enhancing Physicochemical Properties and Single Cell Performance of Sulfonated Poly(arylene ether) (SPAE) Membrane by Incorporation of Phosphotungstic Acid and Graphene Oxide: A Potential Electrolyte for Proton Exchange Membrane Fuel Cells" Polymers 13, no. 14: 2364. https://doi.org/10.3390/polym13142364
APA StyleRyu, S. K., Kim, A. R., Vinothkannan, M., Lee, K. H., Chu, J. Y., & Yoo, D. J. (2021). Enhancing Physicochemical Properties and Single Cell Performance of Sulfonated Poly(arylene ether) (SPAE) Membrane by Incorporation of Phosphotungstic Acid and Graphene Oxide: A Potential Electrolyte for Proton Exchange Membrane Fuel Cells. Polymers, 13(14), 2364. https://doi.org/10.3390/polym13142364

