Theoretical Characterization of New Frustrated Lewis Pairs for Responsive Materials
Abstract
1. Introduction
2. Materials and Methods
3. Results and Discussion
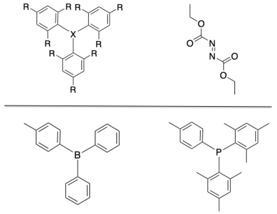
3.1. Acidity of TPB Derivatives and Basicity of TPP Derivatives
3.2. Interaction of Frustrated Lewis Pairs With DEAD
3.2.1. Interaction Energies between FLPs and DEAD
3.2.2. Natural Bond Orbital (NBO) and Energy Decomposition Analysis (EDA)
4. Conclusions
Supplementary Materials
Author Contributions
Funding
Institutional Review Board Statement
Informed Consent Statement
Acknowledgments
Conflicts of Interest
References
- Zhang, Z.P.; Rong, M.Z.; Zhang, M.Q. Polymer engineering based on reversible covalent chemistry: A promising innovative pathway towards new materials and new functionalities. Prog. Polym. Sci. 2018, 80, 39–93. [Google Scholar] [CrossRef]
- Frenette, M.; Aliaga, C.; Font-Sanchís, E.; Scaiano, J.C. Bond dissociation energies for radical dimers derived from highly stabilized carbon-centered radicals. Org. Lett. 2004, 6, 2579–2582. [Google Scholar] [CrossRef] [PubMed]
- Imato, K.; Nishihara, M.; Kanehara, T.; Amamoto, Y.; Takahara, A.; Otsuka, H. Self-healing of chemical gels cross-linked by diarylbibenzofuranone-based trigger-free dynamic covalent bonds at room temperature. Angew. Chem. Int. Ed. 2012, 51, 1138–1142. [Google Scholar] [CrossRef]
- Ying, H.; Zhang, Y.; Cheng, J. Dynamic urea bond for the design of reversible and self-healing polymers. Nat. Commun. 2014, 5, 3218. [Google Scholar] [CrossRef] [PubMed]
- Zhang, Z.P.; Rong, M.Z.; Zhang, M.Q.; Yuan, C. Alkoxyamine with reduced homolysis temperature and its application in repeated autonomous self-healing of stiff polymers. Polym. Chem. 2013, 4, 4648–4654. [Google Scholar] [CrossRef]
- Zhang, Z.P.; Rong, M.Z.; Zhang, M.Q. Room temperature self-healable epoxy elastomer with reversible alkoxyamines as crosslinkages. Polymer 2014, 55, 3936–3943. [Google Scholar] [CrossRef]
- Manouras, T.; Vamvakaki, M. Field responsive materials: Photo-, electro-, magnetic- and ultrasound-sensitive polymers. Polym. Chem. 2017, 8, 74–96. [Google Scholar] [CrossRef]
- Hager, M.D.; Greil, P.; Leyens, C.; van der Zwaag, S.; Schubert, U.S. Self-healing materials. Adv. Mater. 2010, 22, 5424–5430. [Google Scholar] [CrossRef]
- Zhang, M.Q.; Rong, M.Z. Intrinsic self-healing of covalent polymers through bond reconnection towards strength restoration. Polym. Chem. 2013, 4, 4878–4884. [Google Scholar] [CrossRef]
- Billiet, S.; Hillewaere, X.K.D.; Teixeira, R.F.A.; Du Prez, F.E. Chemistry of crosslinking processes for self-healing polymers. Macromol. Rapid. Commun. 2013, 34, 290–309. [Google Scholar] [CrossRef] [PubMed]
- Wu, D.Y.; Meure, S.; Solomon, D. Self-healing polymeric materials: A review of recent developments. Prog. Polym. Sci. 2008, 33, 479–522. [Google Scholar] [CrossRef]
- Rowan, S.J.; Cantrill, S.J.; Cousins, G.R.; Sanders, J.K.M.; Stoddart, J.F. Dynamic covalent chemistry. Angew. Chem. Int. Ed. 2002, 41, 898–952. [Google Scholar] [CrossRef]
- Roy, N.; Bruchmann, B.; Lehn, J.M. DYNAMERS: Dynamic polymers as self-healing materials. Chem. Soc. Rev. 2015, 44, 3786–3807. [Google Scholar] [CrossRef] [PubMed]
- Kamplain, J.W.; Bielawski, C.W. Dynamic covalent polymers based upon carbene dimerization. Chem. Commun. 2006, 2006, 1727–1729. [Google Scholar] [CrossRef]
- Ruff, Y.; Lehn, J.M. Glycodynamers: Dynamic analogs of arabinofuranoside oligosaccharides. Biopolymers 2008, 89, 486–496. [Google Scholar] [CrossRef] [PubMed]
- Otsuka, H.; Muta, T.; Sakada, M.; Maeda, T.; Takahara, A. Scrambling reaction between polymers prepared by step-growth and chain-growth polymerizations: Macromolecular cross-metathesis between 1,4-polybutadiene and olefin-containing polyester. Chem. Commun. 2009, 2009, 1073–1075. [Google Scholar] [CrossRef] [PubMed]
- Amamoto, Y.; Maeda, T.; Kikuchi, M.; Otsuka, H.; Takahara, A. Rational approach to star-like nanogels with different arm lengths: Formation by dynamic covalent exchange and their imaging. Chem. Commun. 2009, 2009, 689–691. [Google Scholar] [CrossRef]
- Maeda, T.; Otsuka, H.; Takahara, A. Dynamic covalent polymers: Reorganizable polymers with dynamic covalent bonds. Prog. Polym. Sci. 2009, 34, 581–604. [Google Scholar] [CrossRef]
- Hillewaere, X.K.D.; Du Prez, F.E. Fifteen chemistries for autonomous external self-healing polymers and composites. Prog. Polym. Sci. 2015, 49–50, 121–153. [Google Scholar] [CrossRef]
- Zou, W.; Dong, J.; Luo, Y.; Zhao, Q.; Xie, T. Dynamic covalent polymer networks: From old chemistry to modern day innovations. Adv. Mater. 2017, 29, 1606100. [Google Scholar] [CrossRef] [PubMed]
- Dahlke, J.; Zechel, S.; Hager, M.D.; Schubert, U.S. How to design a self-healing polymer: General concepts of dynamic covalent bonds and their application for intrinsic healable materials. Adv. Mater. Interfaces 2018, 5, 1800051. [Google Scholar] [CrossRef]
- Chen, X.; Dam, M.A.; Ono, K.; Mal, A.K.; Shen, H.; Nutt, S.R.; Sheran, K.; Wudl, F. A thermally re-mendable cross-linked polymeric material. Science 2002, 295, 1698–1702. [Google Scholar] [CrossRef] [PubMed]
- Chen, X.; Wudl, F.; Mal, A.K.; Shen, H.; Nutt, S.R. New thermally remendable highly cross-linked polymeric materials. Macromolecules 2003, 36, 1802–1807. [Google Scholar] [CrossRef]
- Liu, Y.L.; Chen, Y.W. Thermally reversible cross-linked polyamides with high toughness and self-repairing ability from maleimide- and furan-functionalized aromatic polyamides. Macromol. Chem. Phys. 2007, 208, 224–232. [Google Scholar] [CrossRef]
- Rekondo, A.; Martin, R.; Ruiz de Luzuriaga, A.; Cabañero, G.; Grande, H.J.; Odriozola, I. Catalyst-free room-temperature self-healing elastomers based on aromatic disulfide metathesis. Mater. Horiz. 2014, 1, 237–240. [Google Scholar] [CrossRef]
- Azcune, I.; Odriozola, I. Aromatic disulfide crosslinks in polymer systems: Self-healing, reprocessability, recyclability and more. Eur. Polym. J. 2016, 84, 147–160. [Google Scholar] [CrossRef]
- Martin, R.; Rekondo, A.; Ruiz de Luzuriaga, A.; Casuso, P.; Dupin, D.; Cabañero, G.; Grande, H.J.; Odriozola, I. Dynamic sulfur chemistry as a key tool in the design of self-healing polymers. Smart Mater. Struct. 2016, 25, 084017. [Google Scholar] [CrossRef]
- Matxain, J.M.; Asua, J.M.; Ruipérez, F. Design of new disulfide-based organic compounds for the improvement of self-healing materials. Phys. Chem. Chem. Phys. 2016, 18, 1758–1770. [Google Scholar] [CrossRef] [PubMed]
- Nevejans, S.; Ballard, N.; Miranda, J.I.; Reck, B.; Asua, J.M. The underlying mechanisms for self-healing of poly(disulfide)s. Phys. Chem. Chem. Phys. 2016, 18, 27577–27583. [Google Scholar] [CrossRef]
- Ruipérez, F.; Galdeano, M.; Gimenez, E.; Matxain, J.M. Sulfenamides as building blocks for efficient disulfide-based self-healing materials. A quantum chemical study. ChemistryOpen 2018, 7, 248–255. [Google Scholar] [CrossRef]
- Irigoyen, M.; Fernández, A.; Ruiz, A.; Ruipérez, F.; Matxain, J.M. Diselenide bonds as an alternative to outperform the efficiency of disulfides in self-healing materials. J. Org. Chem. 2019, 84, 4200–4210. [Google Scholar] [CrossRef]
- Irigoyen, M.; Matxain, J.M.; Ruipérez, F. Effect of molecular structure in the chain mobility of dichalcogenide-based polymers with self-healing capacity. Polymers 2019, 11, 1960. [Google Scholar] [CrossRef]
- Zheng, P.; McCarthy, T.J. A surprise from 1954: Siloxane equilibration is a simple, robust, and obvious polymer self-healing mechanism. J. Am. Chem. Soc. 2012, 134, 2024–2027. [Google Scholar] [CrossRef] [PubMed]
- Montarnal, D.; Capelot, M.; Tournilhac, F.; Leibler, L. Silica-like malleable materials from permanent organic networks. Science 2011, 334, 965–968. [Google Scholar] [CrossRef] [PubMed]
- Fortman, D.J.; Brutman, J.P.; Cramer, C.J.; Hillmyer, M.A.; Dichtel, W.R. Mechanically activated, catalyst-free polyhydroxyurethane vitrimers. J. Am. Chem. Soc. 2015, 137, 14019–14022. [Google Scholar] [CrossRef] [PubMed]
- Denissen, W.; Rivero, G.; Nicolaÿ, R.; Leibler, L.; Winne, J.M.; Du Prez, F.E. Vinylogous urethane vitrimers. Adv. Funct. Mater. 2015, 25, 2451–2457. [Google Scholar] [CrossRef]
- Yuan, C.; Rong, M.; Zhang, M.; Zhang, Z.; Yuan, Y. Self-healing of polymers via synchronous covalent bond fission/radical recombination. Chem. Mater. 2011, 23, 5076–5081. [Google Scholar] [CrossRef]
- Burattini, S.; Colquhoun, H.M.; Fox, J.D.; Friedmann, D.; Greenland, B.W.; Harris, P.J.F.; Hayes, W.; Mackay, M.E.; Rowan, S.J. A self-repairing, supramolecular polymer system: Healability as a consequence of donor–acceptor π-π stacking interactions. Chem. Commun. 2009, 2009, 6717–6719. [Google Scholar] [CrossRef]
- Burattini, S.; Greenland, B.W.; Hermida-Merino, D.; Weng, W.; Seppala, J.; Colquhoun, H.M.; Hayes, W.; Mackay, M.E.; Hamley, I.W.; Rowan, S.J. A healable supramolecular polymer blend based on aromatic π-π stacking and hydrogen-bonding interactions. J. Am. Chem. Soc. 2010, 132, 12051–12058. [Google Scholar] [CrossRef]
- Burattini, S.; Greenland, B.W.; Hayes, W.; Mackay, M.E.; Rowan, S.J.; Colquhoun, H.M. A supramolecular polymer based on tweezer-type π-π stacking interactions: Molecular design for healability and enhanced toughness. Chem. Mater. 2011, 23, 6–8. [Google Scholar] [CrossRef]
- Cordier, P.; Tournilhac, F.; Soulié-Ziakovic, C.; Leibler, L. Self-healing and thermoreversible rubber from supramolecular assembly. Nature 2008, 451, 977–980. [Google Scholar] [CrossRef] [PubMed]
- Blight, B.A.; Hunter, C.A.; Leigh, D.A.; McNab, H.; Thomson, P.I.T. An AAAA–DDDD quadruple hydrogen-bond array. Nat. Chem. 2011, 3, 244–248. [Google Scholar] [CrossRef]
- Chen, Y.; Kushner, A.M.; Williams, G.A.; Guan, Z. Multiphase design of autonomic self-healing thermoplastic elastomers. Nat. Chem. 2012, 4, 467–472. [Google Scholar] [CrossRef]
- Cortese, J.; Soulié-Ziakovic, C.; Tencé-Girault, S.; Leibler, L. Suppression of mesoscopic order by complementary interactions in supramolecular polymers. J. Am. Chem. Soc. 2012, 134, 3671–3674. [Google Scholar] [CrossRef] [PubMed]
- Herbst, F.; Seiffert, S.; Binder, W.H. Dynamic supramolecular poly(isobutylene)s for self-healing materials. Polym. Chem. 2012, 3, 3084–3092. [Google Scholar] [CrossRef]
- Giuseppone, N.; Lehn, J.M. Constitutional dynamic self-sensing in a zincII/polyiminofluorenes system. J. Am. Chem. Soc. 2004, 126, 11448–11449. [Google Scholar] [CrossRef] [PubMed]
- Hofmeier, H.; Schubert, U.S. Recent developments in the supramolecular chemistry of terpyridine–metal complexes. Chem. Soc. Rev. 2004, 33, 373–399. [Google Scholar] [CrossRef]
- Chow, C.F.; Fujii, S.; Lehn, J.M. Metallodynamers: Neutral dynamic metallosupramolecular polymers displaying transformation of mechanical and optical properties on constitutional exchange. Angew. Chem. Int. Ed. 2007, 46, 5007–5010. [Google Scholar] [CrossRef] [PubMed]
- Bergman, S.D.; Wudl, F. Mendable polymers. J. Mater. Chem. 2008, 18, 41–62. [Google Scholar] [CrossRef]
- Burnworth, M.; Tang, L.M.; Kumpfer, J.R.; Duncan, A.J.; Beyer, F.L.; Fiore, G.L.; Rowan, S.J.; Weder, C. Optically healable supramolecular polymers. Nature 2011, 472, 334–337. [Google Scholar] [CrossRef] [PubMed]
- Kumpfer, J.R.; Rowan, S.J. Thermo-, photo-, and chemo-responsive shape-memory properties from photo-cross-linked metallo-supramolecular polymers. J. Am. Chem. Soc. 2011, 133, 12866–12874. [Google Scholar] [CrossRef] [PubMed]
- Zhang, M.Q.; Rong, M.Z. Theoretical consideration and modeling of self-healing polymers. J. Polym. Sci. Part B Polym. Phys. 2012, 50, 229–241. [Google Scholar] [CrossRef]
- Guimard, N.K.; Oehlenschlaeger, K.K.; Zhou, J.; Hilf, S.; Schmidt, F.G.; Barner-Kowollik, C. Current trends in the field of self-healing materials. Macromol. Chem. Phys. 2012, 213, 131–143. [Google Scholar] [CrossRef]
- Wang, M.; Nudelman, F.; Matthesa, R.R.; Shaver, M.P. Frustrated Lewis pair polymers as responsive self-healing gels. J. Am. Chem. Soc. 2017, 139, 14232–14236. [Google Scholar] [CrossRef] [PubMed]
- Welch, G.C.; San Juan, R.R.; Masuda, J.D.; Stephan, D.W. Reversible, metal-free hydrogen activation. Science 2006, 314, 1124–1126. [Google Scholar] [CrossRef]
- Stephan, D.W. “Frustrated Lewis pairs”: A concept for new reactivity and catalysis. Org. Biomol. Chem. 2008, 6, 1535–1539. [Google Scholar] [CrossRef]
- Stephan, D.W.; Erker, G. Frustrated Lewis pair chemistry: Development and perspectives. Angew. Chem. Int. Ed. 2015, 54, 6400–6441. [Google Scholar] [CrossRef] [PubMed]
- Stephan, D.W. The broadening reach of frustrated Lewis pair chemistry. Science 2016, 354, aaf7229. [Google Scholar] [CrossRef]
- Yolsal, U.; Wang, M.; Royer, J.R.; Shaver, M.P. Rheological characterization of polymeric frustrated Lewis pair networks. Macromolecules 2019, 52, 3417–3425. [Google Scholar] [CrossRef]
- Chen, L.; Liu, R.; Yan, Q. Polymer meets frustrated Lewis pair: Second-generation CO2-responsive nanosystem for sustainable CO2 conversion. Angew. Chem. Int. Ed. 2018, 57, 9336–9340. [Google Scholar] [CrossRef]
- Chen, L.; Liu, R.; Hao, X.; Yan, Q. CO2-cross-linked frustrated Lewis networks as gas-regulated dynamic covalent materials. Angew. Chem. Int. Ed. 2018, 58, 264–268. [Google Scholar] [CrossRef] [PubMed]
- Mömming, C.; Otten, E.; Kehr, G.; Frölich, R.; Grimme, S.; Stephan, D.W.; Erker, G. Reversible metal-free carbon dioxide binding by frustrated Lewis pairs. Angew. Chem. Int. Ed. 2009, 48, 6643–6646. [Google Scholar] [CrossRef]
- Steiner, T. The hydrogen bond in the solid state. Angew. Chem. Int. Ed. 2002, 41, 48–76. [Google Scholar] [CrossRef]
- Hohenberg, P.; Kohn, W. Inhomogeneous electron gas. Phys. Rev. B 1964, 136, B864. [Google Scholar] [CrossRef]
- Kohn, W.; Sham, L.J. Self-consistent equations including exchange and correlation effects. Phys. Rev. 1965, 140, A1133. [Google Scholar] [CrossRef]
- Frisch, M.J.; Trucks, G.W.; Schlegel, H.B.; Scuseria, G.E.; Robb, M.A.; Cheeseman, J.R.; Scalmani, G.; Barone, V.; Petersson, G.A.; Nakatsuji, H.; et al. Gaussian 16 Revision A.03; Gaussian Inc.: Wallingford, CT, USA, 2016. [Google Scholar]
- Tao, J.; Perdew, J.P.; Staroverov, V.N.; Scuseria, G.E. Climbing the density functional ladder: Nonempirical meta–generalized gradient approximation designed for molecules and solids. Phys. Rev. Lett. 2003, 91, 146401. [Google Scholar] [CrossRef]
- Weigend, F.; Ahlrichs, R. Balanced basis sets of split valence, triple zeta valence and quadruple zeta valence quality for H to Rn: Design and assessment of accuracy. Phys. Chem. Chem. Phys. 2005, 7, 3297–3305. [Google Scholar] [CrossRef] [PubMed]
- Weigend, F. Accurate Coulomb-fitting basis sets for H to Rn. Phys. Chem. Chem. Phys. 2006, 8, 1057–1065. [Google Scholar] [CrossRef] [PubMed]
- Grimme, S.; Ehrlich, S.; Goerigk, L. Effect of the damping function in dispersion corrected density functional theory. J. Comput. Chem. 2011, 32, 1456–1465. [Google Scholar] [CrossRef] [PubMed]
- Schirmer, B.; Grimme, S. Quantum chemistry of FLPs and their activation of small molecules: Methodological aspects. In Frustrated Lewis Pairs I. Topics in Current Chemistry; Erker, G., Stephan, D., Eds.; Springer: Berlin/Heidelberg, Germany, 2013; pp. 213–230. [Google Scholar]
- Simon, S.; Duran, M.; Dannenberg, J.J. How does basis set superposition error change the potential surfaces for hydrogen-bonded dimers? J. Chem. Phys. 1996, 105, 11024–11031. [Google Scholar] [CrossRef]
- Boys, S.F.; Bernardi, F. The calculation of small molecular interactions by the differences of separate total energies. Some procedures with reduced errors. Mol. Phys. 1970, 19, 553–566. [Google Scholar] [CrossRef]
- Reed, A.E.; Weinstock, R.B.; Weinhold, F. Natural population analysis. J. Chem. Phys. 1985, 83, 735–746. [Google Scholar] [CrossRef]
- Reed, A.E.; Weinhold, F. Natural localized molecular orbitals. J. Chem. Phys. 1985, 83, 1736–1740. [Google Scholar] [CrossRef]
- Reed, A.E.; Curtiss, L.A.; Weinhold, F. Intermolecular interactions from a natural bond orbital, donor-acceptor viewpoint. Chem. Rev. 1988, 88, 899–926. [Google Scholar] [CrossRef]
- Ziegler, T.; Rauk, A. Carbon monoxide, carbon monosulfide, molecular nitrogen, phosphorus trifluoride, and methyl isocyanide as σ donors and π acceptors. A theoretical study by the Hartree-Fock-Slater transition-state method. Inorg. Chem. 1979, 18, 1755–1759. [Google Scholar] [CrossRef]
- Van Hopffgarten, M.; Frenking, G. Energy decomposition analysis. WIREs Comput. Mol. Sci. 2012, 2, 43–62. [Google Scholar] [CrossRef]
- Morokuma, K.J. Molecular orbital studies of hydrogen bonds. III. C=O···H–O hydrogen bond in H2CO···H2O and H2CO···2H2O. J. Chem. Phys. 1971, 55, 1236–1244. [Google Scholar] [CrossRef]
- Becke, A.D. Density-functional exchange-energy approximation with correct asymptotic behavior. Phys. Rev. A 1988, 38, 3098–3100. [Google Scholar] [CrossRef] [PubMed]
- Perdew, J.P. Density-functional approximation for the correlation energy of the inhomogeneous electron gas. Phys. Rev. B 1986, 33, 8822–8824. [Google Scholar] [CrossRef] [PubMed]
- Te Velde, G.; Bickelhaupt, F.M.; Baerends, E.J.; Fonseca Guerra, C.; van Gisbergen, S.J.A.; Snijders, J.G.; Ziegler, T. Chemistry with ADF. J. Comput. Chem. 2001, 22, 931–967. [Google Scholar] [CrossRef]
- Gázquez, J.L.; Cedillo, A.; Vela, A. Electrodonating and electroaccepting powers. J. Phys. Chem. A 2007, 111, 1966–1970. [Google Scholar] [CrossRef]
- Partihar, S.; Roy, S. Nucleophilicity and site selectivity of commonly used arenes and heteroarenes. J. Org. Chem. 2010, 75, 4957–4963. [Google Scholar] [CrossRef] [PubMed]
- Gutmann, V. Solvent effects on the reactivities of organometallic compounds. Coord. Chem. Rev. 1976, 18, 225–255. [Google Scholar] [CrossRef]
- Grabowski, S.J.; Sokalski, W.A.; Dyguda, E.; Leszczyński, J. Quantitative classification of covalent and noncovalent H-Bonds. J. Phys. Chem. B 2006, 110, 6444–6446. [Google Scholar] [CrossRef] [PubMed]
- Grabowski, S.J. What is the covalency of hydrogen bonding? Chem. Rev. 2011, 111, 2597–2625. [Google Scholar] [CrossRef] [PubMed]




| R | TPB acidity | TPP basicity | ||||||
|---|---|---|---|---|---|---|---|---|
| HA | PA | |||||||
| H | −90.48 | 0.049 | 35.28 | −0.0948 | 240.27 | 3.293 | −0.1925 | |
| CH | −87.42 | 0.056 | 16.04 | −0.0885 | 253.88 | 2.957 | −0.1690 | |
| EDG | NH | −77.66 | 0.007 | 20.15 | −0.0610 | 274.43 | 3.792 | −0.1435 |
| OH | −74.67 | 0.002 | 16.39 | −0.0602 | 267.92 | 2.555 | −0.1504 | |
| OCH | −73.89 | 0.003 | 25.35 | −0.0547 | 274.94 | 2.944 | −0.1421 | |
| OCOCH | −126.32 | 0.321 | 43.85 | −0.1385 | 232.98 | 2.847 | −0.2160 | |
| F | −109.56 | 0.130 | 32.10 | −0.1195 | 228.16 | 3.360 | −0.2130 | |
| 5F a | −125.43 | 0.248 | 36.34 | −0.1452 | 212.87 | 3.364 | −0.2363 | |
| CF | −127.89 | 0.337 | 44.21 | −0.1595 | 218.54 | 2.992 | −0.2321 | |
| EWG | CN | −150.90 | 0.542 | 47.56 | −0.1935 | 199.95 | 3.126 | −0.2636 |
| NO | −138.57 | — | −0.1229 | 202.58 | — | −0.2562 | ||
| SOH | — | — | — | — | 212.11 | 2.810 | −0.2517 | |
| Reference | −89.45 | 0.034 | 35.13 | −0.0913 | 252.13 | 3.132 | −0.1736 | |
| Acid | Base | FLP | FLP–DEAD | |||||
|---|---|---|---|---|---|---|---|---|
| H | R(B-P) | H | R(B-N) | R(N-N) | R(N-P) | |||
| FLP | NH | CN | −8.27 | 5.691 | — | — | — | — |
| FLP | OCH | CF | −9.33 | 6.396 | — | — | — | — |
| FLP | NH | H | −10.81 | 5.861 | −43.54 | 3.586 | 1.416 | 1.703 |
| FLP | OCH | H | −15.74 | 3.430 | −32.37 | 1.700 | 1.414 | 1.721 |
| FLP | NH | NH | −21.41 | 5.687 | −48.58 | 4.176 | 1.432 | 1.731 |
| FLP | OCH | OCH | −11.40 | 5.860 | −4.95 | 1.709 | 1.436 | 1.763 |
| FLP | H | CN | −9.23 | 5.455 | −6.25 | 1.702 | 1.421 | 1.718 |
| FLP | H | CF | −6.09 | 5.689 | 28.18 | 1.723 | 1.425 | 1.722 |
| FLP | H | H | −18.90 a | 2.112 | — | — | — | — |
| FLP | H | OCH | −14.95 a | 2.267 | — | — | — | — |
| FLP | H | NH | −10.80 | 5.418 | −57.47 | 1.694 | 1.428 | 1.789 |
| FLP | CN | CN | −9.58 | 7.171 | 0.39 | 1.663 | 1.450 | 1.786 |
| FLP | CF | CF | −8.95 | 7.820 | — | — | — | — |
| FLP | CN | H | −9.31 | 5.686 | −56.72 | 1.647 | 1.433 | 1.752 |
| FLP | CF | H | −9.25 | 6.123 | 14.13 | 1.654 | 1.437 | 1.814 |
| FLP | CN | NH | — | — | −50.87 | 1.646 | 1.446 | 1.879 |
| FLP | CF | OCH | −9.29 | 6.212 | 26.17 | 1.687 | 1.448 | 1.877 |
| Reference | −13.09 | 3.811 | −43.45 | 1.678 | 1.425 | 1.743 | ||
| Acid | Base | FLP | FLP–DEAD | |||||
|---|---|---|---|---|---|---|---|---|
| LP | LP | LP | LP | |||||
| FLP | OCH | H | 0.302 | 1.774 | 1.958 | 1.965 | 1.666 | 1.722 |
| FLP | OCH | OCH | 0.283 | 1.844 | 1.955 | 1.959 | 1.667 | 1.729 |
| FLP | H | CF | 0.271 | 1.781 | 1.949 | 1.959 | 1.630 | 1.732 |
| FLP | CF | H | 0.212 | 1.870 | 1.964 | 1.948 | 1.690 | 1.774 |
| FLP | CF | OCH | 0.235 | 1.855 | 1.953 | 1.937 | 1.690 | 1.776 |
| Reference | 0.282 | 1.810 | 1.933 | 1.962 | 1.690 | 1.740 | ||
| Acid | Base | E | E | E | Ea | E | E | |
|---|---|---|---|---|---|---|---|---|
![]() | ||||||||
| FLP | OCH | H | −68.05 | 215.88 | -118.41 (41.7%) | 97.47 | −114.11 (40.2%) | −51.44 (18.2%) |
| FLP | OCH | OCH | −67.68 | 211.41 | −109.07 (39.1%) | 102.34 | −116.10 (41.6%) | −53.95 (19.3%) |
| FLP | H | CF | −55.75 | 161.49 | −92.39 (42.5%) | 69.10 | −88.28 (40.6%) | −36.58 (16.8%) |
| FLP | CF | H | −96.11 | 229.26 | −139.18 (42.8%) | 90.08 | −138.56 (42.6%) | −47.64 (14.6%) |
| FLP | CF | OCH | −107.17 | 216.50 | −133.17 (41.1%) | 83.34 | −138.50 (42.8%) | −52.02 (16.1%) |
| Reference | −73.34 | 175.17 | −107.01 (43.1%) | 68.16 | −105.35 (42.4%) | −36.16 (14.6%) | ||
![]() | ||||||||
| FLP | OCH | H | −119.91 | 592.84 | −282.42 (39.6%) | 310.43 | −393.95 (55.2%) | −36.39 (5.1%) |
| FLP | OCH | OCH | −86.04 | 521.46 | −235.17 (38.7%) | 286.29 | −327.17 (53.9%) | −45.19 (7.4%) |
| FLP | H | CF | −86.68 | 636.17 | −303.47 (41.9%) | 332.70 | −376.63 (52.1%) | −42.77 (5.9%) |
| FLP | CF | H | −134.95 | 485.87 | −230.11 (37.1%) | 255.76 | −357.59 (57.6%) | −33.13 (5.4%) |
| FLP | CF | OCH | −109.05 | 408.32 | −188.80 (36.5%) | 219.51 | −283.62 (54.8%) | −44.97 (8.7%) |
| Reference | −139.90 | 549.10 | −256.80 (37.3%) | 292.30 | −396.57 (57.6%) | −35.65 (5.2%) | ||
Publisher’s Note: MDPI stays neutral with regard to jurisdictional claims in published maps and institutional affiliations. |
© 2021 by the authors. Licensee MDPI, Basel, Switzerland. This article is an open access article distributed under the terms and conditions of the Creative Commons Attribution (CC BY) license (https://creativecommons.org/licenses/by/4.0/).
Share and Cite
Galdeano, M.; Ruipérez, F.; Matxain, J.M. Theoretical Characterization of New Frustrated Lewis Pairs for Responsive Materials. Polymers 2021, 13, 1573. https://doi.org/10.3390/polym13101573
Galdeano M, Ruipérez F, Matxain JM. Theoretical Characterization of New Frustrated Lewis Pairs for Responsive Materials. Polymers. 2021; 13(10):1573. https://doi.org/10.3390/polym13101573
Chicago/Turabian StyleGaldeano, Maialen, Fernando Ruipérez, and Jon M. Matxain. 2021. "Theoretical Characterization of New Frustrated Lewis Pairs for Responsive Materials" Polymers 13, no. 10: 1573. https://doi.org/10.3390/polym13101573
APA StyleGaldeano, M., Ruipérez, F., & Matxain, J. M. (2021). Theoretical Characterization of New Frustrated Lewis Pairs for Responsive Materials. Polymers, 13(10), 1573. https://doi.org/10.3390/polym13101573



