Chemistry, Processing, Properties, and Applications of Rubber Foams
Abstract
1. Introduction
2. Structural Features
2.1. Open and Closed Cell Structures
2.2. Cell Size, Cell Density and Cell Wall Thickness
3. Rubber Foaming Formulation
3.1. Type and Amount of Foaming Agents
3.1.1. Physical Foaming Agent (PFA)
3.1.2. Chemical Foaming Agent (CFA)
3.2. Type of Rubbers
3.3. Type and Amount of Accelerators
3.4. Type and Amount of Fillers
4. Chemistry of Foams
5. Foaming Technology
5.1. Batch Foaming
5.2. Foam Extrusion
5.3. Foam Injection Molding
6. Foam Morphology
6.1. Thermodynamics of Nucleation
6.2. Foaming Process
6.2.1. Temperature
6.2.2. Pressure
6.2.3. Number of Stages
6.3. Curing Process
- Mi: the initial torque indicates the stiffness (or shear modulus) of the unvulcanized rubber.
- Mu: the ultimate torque indicates the stiffness of the fully vulcanized rubber which is related to the crosslink density of the rubber.
- ΔM = Mu − Mi: the difference between the ultimate and initial torque.
- ts: the time to reach 5% of M90 (scorch time).
- t90: the optimum cure time, which is defined as the time to reach 90% of curing.
6.3.1. Curing Temperature
6.3.2. Precuring Process
6.3.3. Crosslink Density (CLD)
7. Properties of Rubber Foams
7.1. Mechanical Properties
7.2. Acoustic Properties
7.3. Thermal Insulation Properties
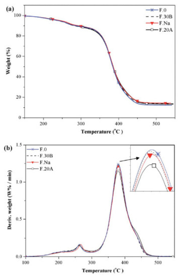
7.4. Thermal Degradation Stability
7.5. Electrical Properties
8. Applications of Rubber Foams
8.1. Energy Absorption Applications
8.2. Pressure Sensor Applications
8.3. Bioapplications
8.4. Absorbent Applications
9. Conclusions
9.1. General Conclusions
9.2. Opening for Future Work
Author Contributions
Funding
Institutional Review Board Statement
Informed Consent Statement
Data Availability Statement
Conflicts of Interest
References
- Gibson, L.J.; Ashby, M.F.; Harley, B.A. Cellular Materials in Nature and Medicine; Cambridge University Press: Cambridge, UK, 2010. [Google Scholar]
- Gong, L.; Kyriakides, S.; Jang, W.-Y. Compressive response of open-cell foams. Part I: Morphology and elastic properties. Int. J. Solids Struct. 2005, 42, 1355–1379. [Google Scholar] [CrossRef]
- Di Maio, E.; Kiran, E. Foaming of polymers with supercritical fluids and perspectives on the current knowledge gaps and challenges. J. Supercrit. Fluids 2018, 134, 157–166. [Google Scholar] [CrossRef]
- Liu, S.; Duvigneau, J.; Vancso, G.J. Nanocellular polymer foams as promising high performance thermal insulation materials. Eur. Polym. J. 2015, 65, 33–45. [Google Scholar] [CrossRef]
- Singh, H.; Jain, A. Ignition, combustion, toxicity, and fire retardancy of polyurethane foams: A comprehensive review. J. Appl. Polym. Sci. 2009, 111, 1115–1143. [Google Scholar] [CrossRef]
- Chayaphan, P.; Dangtungee, R. Effects of Tourmaline Concentration on Natural Rubber Foam. In Key Engineering Materials; Trans Tech Publications: Stafa, Switzerland, 2019; pp. 127–132. [Google Scholar]
- Sasaki, T.; Ito, T.; Toyota, Y.; Kumagai, N. Flexible Polyurethane Foam, Process for Its Production, and Seat for Automobile Using the Flexible Polyurethane Foam. U.S. 7759403B2, 20 July 2010. [Google Scholar]
- Wegst, U.G.; Bai, H.; Saiz, E.; Tomsia, A.P.; Ritchie, R.O. Bioinspired structural materials. Nat. Mater. 2015, 14, 23–36. [Google Scholar] [CrossRef]
- Peng, L.; Lei, L.; Liu, Y.; Du, L. Improved Mechanical and Sound Absorption Properties of Open Cell Silicone Rubber Foam with NaCl as the Pore-Forming Agent. Materials 2021, 14, 195. [Google Scholar] [CrossRef]
- Lee, L.J.; Zeng, C.; Cao, X.; Han, X.; Shen, J.; Xu, G. Polymer nanocomposite foams. Compos. Sci. Technol. 2005, 65, 2344–2363. [Google Scholar] [CrossRef]
- Sendijarevic, V.; Klempner, D. Handbook of Polymeric Foams and Foam Technology; Hanser Publishers: München, Germany, 2004. [Google Scholar]
- Badiche, X.; Forest, S.; Guibert, T.; Bienvenu, Y.; Bartout, J.-D.; Ienny, P.; Croset, M.; Bernet, H. Mechanical properties and non-homogeneous deformation of open-cell nickel foams: Application of the mechanics of cellular solids and of porous materials. Mater. Sci. Eng. A 2000, 289, 276–288. [Google Scholar] [CrossRef]
- Amran, Y.M.; Farzadnia, N.; Ali, A.A. Properties and applications of foamed concrete; a review. Constr. Build. Mater. 2015, 101, 990–1005. [Google Scholar] [CrossRef]
- Wang, P.; Aliheidari, N.; Zhang, X.; Ameli, A. Strong ultralight foams based on nanocrystalline cellulose for high-performance insulation. Carbohydr. Polym. 2019, 218, 103–111. [Google Scholar] [CrossRef]
- Zeng, Z.; Shahabadi, S.I.S.; Che, B.; Zhang, Y.; Zhao, C.; Lu, X. Highly stretchable, sensitive strain sensors with a wide linear sensing region based on compressed anisotropic graphene foam/polymer nanocomposites. Nanoscale 2017, 9, 17396–17404. [Google Scholar] [CrossRef]
- Gosselin, R.; Rodrigue, D. Cell morphology analysis of high density polymer foams. Polym. Test. 2005, 24, 1027–1035. [Google Scholar] [CrossRef]
- Bhaduri, S.B. Science and technology of ceramic foams. Adv. Perform. Mater. 1994, 1, 205–220. [Google Scholar] [CrossRef]
- Tejeda, E.H.; Sahagún, C.Z.; González-Núñez, R.; Rodrigue, D. Morphology and mechanical properties of foamed polyethylene-polypropylene blends. J. Cell. Plast. 2005, 41, 417–435. [Google Scholar] [CrossRef]
- Chen, L.; Schadler, L.S.; Ozisik, R. An experimental and theoretical investigation of the compressive properties of multi-walled carbon nanotube/poly (methyl methacrylate) nanocomposite foams. Polymer 2011, 52, 2899–2909. [Google Scholar] [CrossRef]
- Jin, F.-L.; Zhao, M.; Park, M.; Park, S.-J. Recent trends of foaming in polymer processing: A review. Polymers 2019, 11, 953. [Google Scholar] [CrossRef]
- Frisch, K.C. History of science and technology of polymeric foams. J. Macromol. Sci. Chem. 1981, 15, 1089–1112. [Google Scholar] [CrossRef]
- Hamdi, O.; Mighri, F.; Rodrigue, D. Optimization of the cellular morphology of biaxially stretched thin polyethylene foams produced by extrusion film blowing. Cell. Polym. 2018, 37, 153–168. [Google Scholar] [CrossRef]
- Zhao, J.; Wang, G.; Wang, C.; Park, C.B. Ultra-lightweight, super thermal-insulation and strong PP/CNT microcellular foams. Compos. Sci. Technol. 2020, 191, 108084. [Google Scholar] [CrossRef]
- Luong, D.D.; Pinisetty, D.; Gupta, N. Compressive properties of closed-cell polyvinyl chloride foams at low and high strain rates: Experimental investigation and critical review of state of the art. Compos. B Eng. 2013, 44, 403–416. [Google Scholar] [CrossRef]
- Landrock, A.H. Handbook of Plastic Foams: Types, Properties, Manufacture and Applications; Elsevier: Amsterdam, The Netherlands, 1995. [Google Scholar]
- Asai, M.; Aimura, Y. Foamable Rubber Composition and Foamed Rubber. U.S. Patent 6372809, 16 April 2002. [Google Scholar]
- Ma, J.; Bian, C.; Xue, C.; Deng, F. Wear-resistant EPDM/silicone rubber foam materials. J. Porous Mater. 2016, 23, 201–209. [Google Scholar] [CrossRef]
- Zhang, Z.X.; Zhang, T.; Wang, D.; Zhang, X.; Xin, Z.; Prakashan, K. Physicomechanical, friction, and abrasion properties of EVA/PU blend foams foamed by supercritical nitrogen. Polym. Eng. Sci. 2018, 58, 673–682. [Google Scholar] [CrossRef]
- Maharsia, R.; Gupta, N.; Jerro, H.D. Investigation of flexural strength properties of rubber and nanoclay reinforced hybrid syntactic foams. Mater. Sci. Eng. A 2006, 417, 249–258. [Google Scholar] [CrossRef]
- Lopattananon, N.; Wangpradit, N.; Nakason, C.; Kaesaman, A. Effect of rubber composition on foaming and properties of EVA/NR/PP thermoplastic vulcanisates (TPVs). J. Rubber Res. 2014, 17, 80–95. [Google Scholar]
- Mosanenzadeh, S.G.; Naguib, H.E.; Park, C.B.; Atalla, N. Development, characterization, and modeling of environmentally friendly open-cell acoustic foams. Polym. Eng. Sci. 2013, 53, 1979–1989. [Google Scholar] [CrossRef]
- Akiba, M.; Kobayashi, Y. Method for Compounding and Processing of Sponge Rubber. J. Soc. Rubber Ind. Jpn. 2001, 74, 386–391. [Google Scholar] [CrossRef]
- Enayati, M.; Famili, M.H.N.; Janani, H. Open-celled microcellular foaming and the formation of cellular structure by a theoretical pattern in polystyrene. Iran. Polym. J. 2013, 22, 417–428. [Google Scholar] [CrossRef]
- Kong, W.-L.; Bao, J.-B.; Wang, J.; Hu, G.-H.; Xu, Y.; Zhao, L. Preparation of open-cell polymer foams by CO2 assisted foaming of polymer blends. Polymer 2016, 90, 331–341. [Google Scholar] [CrossRef]
- Zhai, W.; Leung, S.N.; Wang, L.; Naguib, H.E.; Park, C.B. Preparation of microcellular poly(ethylene-co-octene) rubber foam with supercritical carbon dioxide. J. Appl. Polym. Sci. 2010, 116, 1994–2004. [Google Scholar] [CrossRef]
- Jacobs, M.A.; Kemmere, M.F.; Keurentjes, J.T. Foam processing of poly (ethylene-co-vinyl acetate) rubber using supercritical carbon dioxide. Polymer 2004, 45, 7539–7547. [Google Scholar] [CrossRef]
- Guriya, K.; Tripathy, D. Morphology and physical properties of closed-cell microcellular ethylene–propylene–diene terpolymer (EPDM) rubber vulcanizates: Effect of blowing agent and carbon black loading. J. Appl. Polym. Sci. 1996, 62, 117–127. [Google Scholar] [CrossRef]
- Rowland, D.G. Practical chemical blowing agents for expanding rubber. Rubber Chem. Technol. 1993, 66, 463–475. [Google Scholar] [CrossRef]
- Alireza, S.D.; Karrabi, M.; Ghoreishy, M.H.R. Effect of different types of nano-particles on the morphology and mechanical properties of EPDM foam. Cell. Polym. 2017, 36, 113–134. [Google Scholar] [CrossRef]
- Shojaei Dindarloo, A.; Karrabi, M.; Hamid, M.; Ghoreishy, R. Various nano-particles influences on structure, viscoelastic, Vulcanization and mechanical behaviour of EPDM nano-composite rubber foam. Plast. Rubber Compos. 2019, 48, 218–225. [Google Scholar] [CrossRef]
- Okolieocha, C.; Raps, D.; Subramaniam, K.; Altstädt, V. Microcellular to nanocellular polymer foams: Progress (2004–2015) and future directions–A review. Eur. Polym. J. 2015, 73, 500–519. [Google Scholar] [CrossRef]
- Goel, S.K.; Beckman, E.J. Generation of microcellular polymeric foams using supercritical carbon dioxide. II: Cell growth and skin formation. Polym. Eng. Sci. 1994, 34, 1148–1156. [Google Scholar] [CrossRef]
- Tan, Y.; Yao, J.; Zhu, H. Preparation of room temperature vulcanized silicone rubber foam/SiO2 nanocomposite and its fatigue buffering performance. J. Macromol. Sci. A 2020, 57, 844–853. [Google Scholar] [CrossRef]
- Suntako, R. Effect of zinc oxide nanoparticles synthesized by a precipitation method on mechanical and morphological properties of the CR foam. Bull. Mater. Sci. 2015, 38, 1033–1038. [Google Scholar] [CrossRef]
- Liu, P.; Liu, D.; Zou, H.; Fan, P.; Xu, W. Structure and properties of closed-cell foam prepared from irradiation crosslinked silicone rubber. J. Appl. Polym. Sci. 2009, 113, 3590–3595. [Google Scholar] [CrossRef]
- Vahidifar, A.; Nouri Khorasani, S.; Park, C.B.; Naguib, H.E.; Khonakdar, H.A. Fabrication and characterization of closed-cell rubber foams based on natural rubber/carbon black by one-step foam processing. Ind. Eng. Chem. Res. 2016, 55, 2407–2416. [Google Scholar] [CrossRef]
- Chang, Y.W.; Lee, D.; Bae, S.Y. Preparation of polyethylene-octene elastomer/clay nanocomposite and microcellular foam processed in supercritical carbon dioxide. Polym. Int. 2006, 55, 184–189. [Google Scholar] [CrossRef]
- Mahapatra, S.; Tripathy, D. Morphology and physico-mechanical properties of closed cell microcellular EPDM rubber vulcanizates: Effect of conductive carbon black and blowing agent. Cell. Polym. 2004, 23, 127–144. [Google Scholar] [CrossRef]
- Xiang, B.; Deng, Z.; Zhang, F.; Wen, N.; Lei, Y.; Liu, T.; Luo, S. Microcellular silicone rubber foams: The influence of reinforcing agent on cellular morphology and nucleation. Polym. Eng. Sci. 2019, 59, 5–14. [Google Scholar] [CrossRef]
- Najib, N.; Ariff, Z.; Manan, N.; Bakar, A.; Sipaut, C. Effect of blowing agent concentration on cell morphology and impact properties of natural rubber foam. J. Phys. Sci. 2009, 20, 13–25. [Google Scholar]
- Yan, H.; Wang, K.; Zhao, Y. Fabrication of silicone rubber foam with tailored porous structures by supercritical CO2. Macromol. Mater. Eng. 2017, 302, 1600377. [Google Scholar] [CrossRef]
- Vahidifar, A.; Khorasani, S.N.; Park, C.B.; Khonakdar, H.A.; Reuter, U.; Naguib, H.E.; Esmizadeh, E. Towards the development of uniform closed cell nanocomposite foams using natural rubber containing pristine and organo-modified nanoclays. RSC Adv. 2016, 6, 53981–53990. [Google Scholar] [CrossRef]
- Esmizadeh, E.; Vahidifar, A.; Rostami, E.; Khorasani, S.N.; Ghayoumi, M.; Khonakdar, H.A. Effect of carbon black on morphological and mechanical properties of rubber foams produced by a single-step method. J. Appl. Res. Chem. Polym. Eng. 2017, 1, 49–60. [Google Scholar]
- Fan, R.L.; Zhang, Y.; Li, F.; Zhang, Y.X.; Sun, K.; Fan, Y.Z. Effect of high-temperature curing on the crosslink structures and dynamic mechanical properties of gum and N330-filled natural rubber vulcanizates. Polym. Test. 2001, 20, 925–936. [Google Scholar] [CrossRef]
- Tangboriboon, N.; Pannangpetch, W.; Aranyik, K.; Petcharoen, K.; Sirivat, A. Embedded Eggshells as a Bio-Filler in Natural Rubber for Thermal Insulation Composite Foams. Prog. Rubber Plast. Recycl. Technol. 2015, 31, 189–205. [Google Scholar] [CrossRef]
- Ahmadi, A.; Hornsby, P. Moulding and characterization studies with polypropylene structural foam. I: Structure-property interrelationships. Plast. Rubber Process. Appl. 1985, 5, 35–49. [Google Scholar]
- Sims, G.A.; Sirithongtaworn, W. Azodicarbonamide and sodium bicarbonate blends as blowing agents for crosslinked polyethylene foam. Cell. Polym. 1997, 16, 271–283. [Google Scholar]
- Shimbo, M.; Nomura, T.; Muratani, K.; Fukuruma, K. On foaming process of vulcanized rubber using physical blowing agent. In Proceedings of the Third International Conference on Axiomatic Design, Seoul, Korea, 21–24 June 2004; pp. 1–6. [Google Scholar]
- Fasihi, M.; Targhi, A.A. Investigation of material characteristics and processing conditions effects on bubble growth behavior in a physical foaming process. e-Polymers 2016, 16, 387–394. [Google Scholar] [CrossRef]
- Al Jahwari, F.; Huang, Y.; Naguib, H.E.; Lo, J. Relation of impact strength to the microstructure of functionally graded porous structures of acrylonitrile butadiene styrene (ABS) foamed by thermally activated microspheres. Polymer 2016, 98, 270–281. [Google Scholar] [CrossRef]
- Pinto, J.; Notario, B.; Verdejo, R.; Dumon, M.; Costeux, S.; Rodriguez-Perez, M.A. Molecular confinement of solid and gaseous phases of self-standing bulk nanoporous polymers inducing enhanced and unexpected physical properties. Polymer 2017, 113, 27–33. [Google Scholar] [CrossRef]
- Xie, P.; Wu, G.; Cao, Z.; Han, Z.; Zhang, Y.; An, Y.; Yang, W. Effect of mold opening process on microporous structure and properties of microcellular polylactide–polylactide nanocomposites. Polymers 2018, 10, 554. [Google Scholar] [CrossRef]
- Katkeaw, K.; Nooklay, B.; Kokoo, R.; Kooptarnond, K.; Khangkhamano, M. The Effect of Nitrogen Bubbles on Microstructure of Natural Rubber Foams Produced by Bubbling Process. In Materials Science Forum; Trans Tech Publications: Stafa, Switzerland, 2019; pp. 91–95. [Google Scholar]
- Panploo, K.; Chalermsinsuwan, B.; Poompradub, S. Effect of amine types and temperature of a natural rubber based composite material on the carbon dioxide capture kinetics. Chem. Eng. J. 2020, 402, 125332. [Google Scholar] [CrossRef]
- Wang, D.; Prakashan, K.; Xia, L.; Xin, Z.; Zhang, Z. Foaming of trans-polyisoprene using N2 as the blowing agent. Polym. Adv. Technol. 2018, 29, 716–725. [Google Scholar] [CrossRef]
- Hansen, L.D.; McCarlie, V.W. From foam rubber to volcanoes: The physical chemistry of foam formation. J. Chem. Educ. 2004, 81, 1581. [Google Scholar] [CrossRef]
- Harrison, M.M. Method of Making Sponge Rubber. U.S. 2283604A, 19 May 1942. [Google Scholar]
- Zheng, H.; Pan, G.; Huang, P.; Xu, D.; Zhai, W. Fundamental Influences of Crosslinking Structure on the Cell Morphology, Creep Property, Thermal Property, and Recycling Behavior of Microcellular EPDM Foams Blown with Compressed CO2. Ind. Eng. Chem. Res. 2020, 59, 1534–1548. [Google Scholar] [CrossRef]
- Heck, R.L., III; Peascoe, W.J. Blowing agents. In Encyclopedia of Polymer Science and Technology; John Wiley & Sons: Hoboken, NJ, USA, 2002. [Google Scholar]
- Kazarian, S. Polymer processing with supercritical fluids. Polym. Sci. Ser. CC/C Vysokomol. Soedin. 2000, 42, 78–101. [Google Scholar]
- Cooper, A.I. Polymer synthesis and processing using supercritical carbon dioxide. J. Mater. Chem. 2000, 10, 207–234. [Google Scholar] [CrossRef]
- Yaqoob, A.A.; Ibrahim, M.N.M.; Umar, K.; Ahmad, A.; Setapar, S.H.M. Applications of Supercritical Carbon Dioxide in the Rubber Industry. In Advanced Nanotechnology and Application of Supercritical Fluids; Springer: Berlin/Heidelberg, Germany, 2020; pp. 199–218. [Google Scholar]
- Tessanan, W.; Phinyocheep, P.; Daniel, P.; Gibaud, A. Microcellular natural rubber using supercritical CO2 technology. J. Supercrit. Fluids 2019, 149, 70–78. [Google Scholar] [CrossRef]
- Hopmann, C.; Lemke, F.; Nguyen Binh, Q. Foaming of EPDM with water as blowing agent in injection molding. J. Appl. Polym. Sci. 2016, 133, 43613. [Google Scholar] [CrossRef]
- Samsudin, M.; Ariff, Z.; Ariffin, A. Deformation Behaviour of Single and Gradient Density Natural Rubber Foams. Mater. Today Proc. 2019, 17, 1133–1142. [Google Scholar] [CrossRef]
- Susanto, T. Composites of Natural Rubber, Carbon Black, and Kaolin Sodium Bicarbonate Content for Sponge Application; IOP Conference Series: Materials Science and Engineering; IOP Publishing: Bristol, UK, 2019; p. 012094. [Google Scholar]
- Najib, N.; Ariff, Z.; Bakar, A.; Sipaut, C. Correlation between the acoustic and dynamic mechanical properties of natural rubber foam: Effect of foaming temperature. Mater. Des. 2011, 32, 505–511. [Google Scholar] [CrossRef]
- Suzuki, H.; Takahashi, N.; Ui, T. Ethylene-Propylene-Diene Rubber Foamed Material. EP1964864B1, 3 September 2008. [Google Scholar]
- Syahrin, S.; Zunaida, Z.; Hakimah, O.; Nuraqmar, S. Effect of Blowing Agent on Compression and Morphological Properties of Natural Rubber Latex Foam; AIP Conference Proceedings; AIP Publishing LLC: Melville, NY, USA, 2020; p. 020037. [Google Scholar]
- Stehr, J. Chemical blowing agents in the rubber industry. Past–present–and future? Int. Polym. Sci. Technol. 2016, 43, 1–10. [Google Scholar] [CrossRef]
- Sadik, T.; Pillon, C.; Carrot, C.; Ruiz, J.-A.R. Dsc studies on the decomposition of chemical blowing agents based on citric acid and sodium bicarbonate. Thermochimica Acta 2018, 659, 74–81. [Google Scholar] [CrossRef]
- Koshiba, J. Process for Producing Foamed Rubber. U.S. Patent 6734218, 11 May 2004. [Google Scholar]
- Pechurai, W.; Muansupan, T.; Seawlee, P. Effect of foaming temperature and blowing agent content on cure characteristics, mechanical and morphological properties of natural rubber foams. In Advanced Materials Research; Trans Tech Publications: Stafa, Switzerland, 2014; pp. 454–457. [Google Scholar]
- Lee, E.-K.; Choi, S.-Y. Preparation and characterization of natural rubber foams: Effects of foaming temperature and carbon black content. Korean J. Chem. Eng. 2007, 24, 1070–1075. [Google Scholar] [CrossRef]
- Coste, G.; Negrell, C.; Caillol, S. From gas release to foam synthesis, the second breath of blowing agents. Eur. Polym. J. 2020, 140, 110029. [Google Scholar] [CrossRef]
- Sombatsompop, N.; Lertkamolsin, P. Effects of chemical blowing agents on swelling properties of expanded elastomers. J. Elastomers Plast. 2000, 32, 311–328. [Google Scholar] [CrossRef]
- Heidari, A.; Fasihi, M. Cell structure-impact property relationship of polypropylene/thermoplastic elastomer blend foams. eXPRESS Polym. Lett. 2019, 13, 429–449. [Google Scholar] [CrossRef]
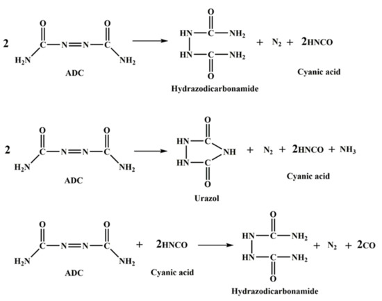
- Krutko, I.; Danylo, I.; Kaulin, V. Kinetics of azodicarbonamide decomposition in the presence of an initiator for obtaining solid foams. Вoпрoсы Химии и Химическoй Технoлoгии 2019, 1, 26–34. [Google Scholar]
- Sims, G.; Jaafar, H. A chemical blowing agent system (CBAS) based on azodicarbonamide. J. Cell. Plast. 1994, 30, 175–188. [Google Scholar] [CrossRef]
- Zauzi, N.A.; Ariff, Z.; Khimi, S. Foamability of Natural Rubber via Microwave Assisted Foaming with Azodicarbonamide (ADC) as Blowing Agent. Mater. Today Proc. 2019, 17, 1001–1007. [Google Scholar] [CrossRef]
- Charoeythornkhajhornchai, P.; Samthong, C.; Boonkerd, K.; Somwangthanaroj, A. Effect of azodicarbonamide on microstructure, cure kinetics and physical properties of natural rubber foam. J. Cell. Plast. 2017, 53, 287–303. [Google Scholar] [CrossRef]
- Heydari, A.; Vahidifar, A.; Esmizadeh, E.; Rodrigue, D. Experimental and finite element simulation of natural rubber foams using real 3D structures. Polymer 2020, 197, 122505. [Google Scholar] [CrossRef]
- Vahidifar, A.; Esmizadeh, E.; Rodrigue, D. Wpływ kinetyki wulkanizacji z jednoczesnym spienianiem na rozwój morfologiczny pianek poliizoprenowych o zamkniętych komórkach. Elastomery 2018, 22, 3–18. [Google Scholar]
- Brown, J.; Carroll, J.; Huddleston, B.; Casias, Z.; Long, K. A multiscale study of damage in elastomeric syntactic foams. J. Mater. Sci. 2018, 53, 10479–10498. [Google Scholar] [CrossRef]
- Moran, J.L.; Cottrill, A.L.; Benck, J.D.; Liu, P.; Yuan, Z.; Strano, M.S.; Buongiorno, J. Noble-gas-infused neoprene closed-cell foams achieving ultra-low thermal conductivity fabrics. RSC Adv. 2018, 8, 21389–21398. [Google Scholar] [CrossRef]
- Shao, L.; Ji, Z.-Y.; Ma, J.-Z.; Xue, C.-H.; Ma, Z.-L.; Zhang, J. The synergy of double cross-linking agents on the properties of styrene butadiene rubber foams. Sci. Rep. 2016, 6, 36931. [Google Scholar] [CrossRef]
- Bardy, E.; Mollendorf, J.; Pendergast, D. Thermal conductivity and compressive strain of foam neoprene insulation under hydrostatic pressure. J. Phys. D Appl. Phys. 2005, 38, 3832. [Google Scholar] [CrossRef]
- Tang, W.; Liao, X.; Zhang, Y.; Li, J.; Wang, G.; Li, G. Mechanical–Microstructure Relationship and Cellular Failure Mechanism of Silicone Rubber Foam by the Cell Microstructure Designed in Supercritical CO2. J. Phys. Chem. C 2019, 123, 26947–26956. [Google Scholar] [CrossRef]
- Ariff, Z.M.; Afolabi, L.O.; Salmazo, L.O.; Rodriguez-Perez, M.A. Effectiveness of microwave processing approach and green blowing agents usage in foaming natural rubber. J. Mater. Res. Technol. 2020, 9, 9929–9940. [Google Scholar] [CrossRef]
- Rubber, S.N. Natural rubber and reclaimed Rubber composites–A Systematic Review. Polymer 2016, 2, 7. [Google Scholar]
- Kim, I.-S.; Lee, B.-W.; Sohn, K.-S.; Yoon, J.; Lee, J.-H. Characterization of the UV oxidation of raw natural rubber thin film Using Image and FT-IR Analysis. Elastomers Compos. 2016, 51, 1–9. [Google Scholar] [CrossRef]
- Venkatachalam, P.; Geetha, N.; Sangeetha, P.; Thulaseedharan, A. Natural rubber producing plants: An overview. Afr. J. Biotechnol. 2013, 12, 1297–1310. [Google Scholar]
- Fizikal, S. New process deprotenised natural rubber (pureprena™): Raw rubber, processability and basic physical properties. Malays. J. Anal. Sci. 2016, 20, 1145–1152. [Google Scholar]
- Lopattananon, N.; Julyanon, J.; Masa, A.; Thongnuanchan, B. Effect of the addition of ENR on foam properties of EVA/NR/clay nanocomposites. Int. Polym. Process 2018, 33, 42–51. [Google Scholar] [CrossRef]
- Ariff, Z.; Zakaria, Z.; Tay, L.; Lee, S. Effect of foaming temperature and rubber grades on properties of natural rubber foams. J. Appl. Polym. Sci. 2008, 107, 2531–2538. [Google Scholar] [CrossRef]
- Hoffman, W. Rubber Technology Handbook; Hanser: New York, NY, USA, 1989; p. 239. [Google Scholar]
- Xu, T.; Jia, Z.; Luo, Y.; Jia, D.; Peng, Z. Interfacial interaction between the epoxidized natural rubber and silica in natural rubber/silica composites. Appl. Surf. Sci. 2015, 328, 306–313. [Google Scholar] [CrossRef]
- Salmazo, L.O.; Lopéz-Gil, A.; Ariff, Z.M.; Rodriguez-Mendez, M.L.; Job, A.E.; Rodriguez-Perez, M.A. Study of the Foaming Kinetics in Epoxidized Natural Rubber Foams Crosslinked by Electron Beam Irradiation. Macromol. Chem. Phys. 2018, 219, 1800295. [Google Scholar] [CrossRef]
- Hamilton, J.L. Natural Rubber: Properties, Behavior and Applications; Nova Publishers: Hauppauge, NY, USA, 2016. [Google Scholar]
- Wünsch, J.R. Polystyrene: Synthesis, Production and Applications; iSmithers Rapra Publishing: Shrewsbury, UK, 2000; Volume 112. [Google Scholar]
- Khan, M.T.; Shahid, M.; Bashir, M.A.; Ulain, Q. Auxetic nanocomposite based on styrene butadiene rubber (SBR) foam with varying nano-carbon loading. Manuf. Sci. Technol. 2015, 3, 204–209. [Google Scholar]
- Ji, Z.; Ma, J.; Qin, X.; Wu, Y.; Xu, R.; Ma, Z.; Xue, C.; Qin, J.; Shao, L. Improved dimensional stability of styrene butadiene rubber/ethylene vinyl acetate composite foams with skeleton support structure based on alternately cross-linking process. Polymer 2018, 157, 103–110. [Google Scholar] [CrossRef]
- Wimolmala, E.; Khongnual, K.; Sombatsompop, N. Mechanical and morphological properties of cellular NR/SBR vulcanizates under thermal and weathering ageing. J. Appl. Polym. Sci. 2009, 114, 2816–2827. [Google Scholar] [CrossRef]
- Algaily, B.; Puttajukr, S. Acoustic Absorption and Physicomechanical Properties of SBR/RR Foam. Int. J. Tech. Res. Applic 2014, 2, 15–18. [Google Scholar]
- Bahadar, A.; Zwawi, M. Development of SWCNTs-reinforced EPDM/SBR matrices for shock absorbing applications. Mater. Res. Express 2020, 7, 025310. [Google Scholar] [CrossRef]
- Zonta, E.; Valentini, F.; Dorigato, A.; Fambri, L.; Pegoretti, A. Evaluation of the salt leaching method for the production of ethylene propylene diene monomer rubber foams. Polym. Eng. Sci. 2021, 61, 136–153. [Google Scholar] [CrossRef]
- Lawindy, A.Y.; Abd El–Kader, K.; Mahmoud, W.; Hassan, H. Physical studies of foamed rubber composites. I-The mechanical properties of foamed EPDM rubber. Egypt. J. Sol. 2001, 24, 101–113. [Google Scholar]
- Wang, B.; Peng, Z.; Zhang, Y.; Zhang, Y. Rheological properties and foam processibility of precured EPDM. J. Appl. Polym. Sci. 2006, 101, 3387–3394. [Google Scholar] [CrossRef]
- Lewis, C.; Rodlum, Y.; Misaen, B.; Changchum, S.; Sims, G. Effect of compound formulation and processing conditions on properties of extruded EPDM and NR/EPDM foams. Cell. Polym. 2003, 22, 43–56. [Google Scholar] [CrossRef]
- Brydson, J.A. Rubbery Materials and Their Compounds; Springer: Berlin/Heidelberg, Germany, 1988. [Google Scholar]
- Lee, K.; Chang, Y.W.; Kim, S.W. Ethylene–propylene-diene terpolymer/halloysite nanocomposites: Thermal, mechanical properties, and foam processing. J. Appl. Polym. Sci. 2014, 131, 40307. [Google Scholar] [CrossRef]
- Suntako, R. Effect of ZnO nanoparticles synthesized by precipitation method on cure characteristics and morphology of EPDM foam. In Advanced Materials Research; Trans Tech Publications: Stafa, Switzerland, 2014; pp. 525–530. [Google Scholar]
- Sang, J.S.; Kim, T.; Park, E.-Y.; Park, J.; Eum, Y.; Oh, K.W. Bio-EPDM/tungsten oxide nanocomposite foam with improved thermal storage and sea water resistance. Fash. Text. 2020, 7, 1–15. [Google Scholar] [CrossRef]
- Park, K.W.; Ray Chowdhury, S.; Park, C.C.; Kim, G.H. Effect of dispersion state of organoclay on cellular foam structure and mechanical properties of ethylene vinyl acetate copolymer/ethylene-1-butenecopolymer/organoclay nanocomposite foams. J. Appl. Polym. Sci. 2007, 104, 3879–3885. [Google Scholar] [CrossRef]
- Kim, M.S.; Park, C.C.; Chowdhury, S.R.; Kim, G.H. Physical properties of ethylene vinyl acetate copolymer (EVA)/natural rubber (NR) blend based foam. J. Appl. Polym. Sci. 2004, 94, 2212–2216. [Google Scholar] [CrossRef]
- Zhang, B.S.; Lv, X.F.; Zhang, Z.X.; Liu, Y.; Kim, J.K.; Xin, Z.X. Effect of carbon black content on microcellular structure and physical properties of chlorinated polyethylene rubber foams. Mater. Des. 2010, 31, 3106–3110. [Google Scholar] [CrossRef]
- Balatoni, J.A.; Khanna, S.N.; Mills, W.S. Blend of Thermoplastic Polyurethane Elastomer, Polyvinyl Chloride Resin and Chlorinated Polyethylene. U.S. 3882191A, 6 May 1975. [Google Scholar]
- Zhang, B.S.; Zhang, Z.X.; Lv, X.F.; Lu, B.X.; Xin, Z.X. Properties of chlorinated polyethylene rubber/ethylene vinyl acetate copolymer blend-based foam. Polym. Eng. Sci. 2012, 52, 218–224. [Google Scholar] [CrossRef]
- Yilgör, E.; Yilgör, I. Silicone containing copolymers: Synthesis, properties and applications. Prog. Polym. Sci. 2014, 39, 1165–1195. [Google Scholar] [CrossRef]
- Warrick, E.; Pierce, O.; Polmanteer, K.; Saam, J. Silicone elastomer developments 1967–1977. Rubber Chem. Technol. 1979, 52, 437–525. [Google Scholar] [CrossRef]
- Shit, S.C.; Shah, P. A review on silicone rubber. Natl. Acad. Sci. Lett. 2013, 36, 355–365. [Google Scholar] [CrossRef]
- Srivastava, S.K.; Pradhan, B. Developments and properties of reinforced silicone rubber nanocomposites. In Concise Encyclopedia of High Performance Silicones; Wiley: Hoboken, NJ, USA, 2014; pp. 85–109. [Google Scholar]
- Wen, J.; Li, Y.; Zuo, Y.; Zhou, G.; Li, J.; Jiang, L.; Xu, W. Preparation and characterization of nano-hydroxyapatite/silicone rubber composite. Mater. Lett. 2008, 62, 3307–3309. [Google Scholar] [CrossRef]
- Bizhani, H.; Katbab, A.A.; Verdejo, R. Elastomeric nanocomposite foams with improved properties for extreme conditions. In High-Performance Elastomeric Materials Reinforced by Nano-Carbons; Elsevier: Amsterdam, The Netherlands, 2020; pp. 133–147. [Google Scholar]
- Métivier, T.; Cassagnau, P. New trends in cellular silicone: Innovations and applications. J. Cell. Plast. 2019, 55, 151–200. [Google Scholar] [CrossRef]
- Park, E.S. Mechanical properties and antibacterial activity of peroxide-cured silicone rubber foams. J. Appl. Polym. Sci. 2008, 110, 1723–1729. [Google Scholar] [CrossRef]
- Romanowski, R.; Jones, B.; Netto, T. New technology to produce silicone sponge without chemical blowing agents or VOCs. Rubber World 2004, 230, 22–25. [Google Scholar]
- Luo, S.K.; Ding, G.F.; Dai, B.; Yang, M.; Liu, F. Study on the cell structure and mechanical properties of methyl vinyl silicone rubber foam materials. In Advanced Materials Research; Trans Tech Publications: Stafa, Switzerland, 2014; pp. 297–306. [Google Scholar]
- Liao, X.; Xu, H.; Li, S.; Zhou, C.; Li, G.; Park, C.B. The effects of viscoelastic properties on the cellular morphology of silicone rubber foams generated by supercritical carbon dioxide. RSC Adv. 2015, 5, 106981–106988. [Google Scholar] [CrossRef]
- Chen, Q.; Zhao, J.; Ren, J.; Rong, L.; Cao, P.F.; Advincula, R.C. 3D printed multifunctional, hyperelastic silicone rubber foam. Adv. Func. Mater. 2019, 29, 1900469. [Google Scholar] [CrossRef]
- Shi, S.; Zhang, Y.; Luo, Y.; Liao, X.; Tian, C.; Tang, W.; Yang, J.; Chen, J.; Li, G. Reinforcement of Mechanical Properties of Silicone Rubber Foam by Functionalized Graphene Using Supercritical CO2 Foaming Technology. Ind. Eng. Chem. Res. 2020, 59, 22132–22143. [Google Scholar] [CrossRef]
- Yang, J.; Liao, X.; Wang, G.; Chen, J.; Guo, F.; Tang, W.; Wang, W.; Yan, Z.; Li, G. Gradient structure design of lightweight and flexible silicone rubber nanocomposite foam for efficient electromagnetic interference shielding. Chem. Eng. J. 2020, 390, 124589. [Google Scholar] [CrossRef]
- Yahya, Y.R.; Azura, A.; Ahmad, Z. Effect of curing systems on thermal degradation behaviour of natural rubber (SMR CV 60). J. Phys. Sci. 2011, 22, 1–14. [Google Scholar]
- Jo, J.O.; Saha, P.; Kim, N.G.; Ho, C.C.; Kim, J.K. Development of nanocomposite with epoxidized natural rubber and functionalized multiwalled carbon nanotubes for enhanced thermal conductivity and gas barrier property. Mater. Des. 2015, 83, 777–785. [Google Scholar] [CrossRef]
- Hong, S.W. Antioxidants and Other Protectant Systems in Rubber Compounding: Chemistry and Applications; Rodgers, B., Ed.; Marcel Dekker Inc.: New York, NY, USA, 2004. [Google Scholar]
- Tang, W.; Liao, X.; Zhang, Y.; Li, S.; Wang, G.; Yang, J.; Li, G. Cellular structure design by controlling rheological property of silicone rubber in supercritical CO2. J. Supercrit. Fluids 2020, 164, 104913. [Google Scholar] [CrossRef]
- Alam, M.N.; Mandal, S.K.; Debnath, S.C. Bis (N-benzyl piperazino) thiuram disulfide and dibenzothiazyl disulfide as synergistic safe accelerators in the vulcanization of natural rubber. J. Appl. Polym. Sci. 2012, 126, 1830–1836. [Google Scholar] [CrossRef]
- Aprem, A.S.; Joseph, K.; Mathew, T.; Altstaedt, V.; Thomas, S. Studies on accelerated sulphur vulcanization of natural rubber using 1-phenyl-2, 4-dithiobiuret/tertiary butyl benzothiazole sulphenamide. Eur. Polym. J. 2003, 39, 1451–1460. [Google Scholar] [CrossRef]
- Choi, D.; Kader, M.A.; Cho, B.H.; Huh, Y.I.; Nah, C. Vulcanization kinetics of nitrile rubber/layered clay nanocomposites. J. Appl. Polym. Sci. 2005, 98, 1688–1696. [Google Scholar] [CrossRef]
- Ghosh, P.; Katare, S.; Patkar, P.; Caruthers, J.M.; Venkatasubramanian, V.; Walker, K.A. Sulfur vulcanization of natural rubber for benzothiazole accelerated formulations: From reaction mechanisms to a rational kinetic model. Rubber Chem. Technol. 2003, 76, 592–693. [Google Scholar] [CrossRef]
- Aprem, A.S.; Joseph, K.; Thomas, S. Recent developments in crosslinking of elastomers. Rubber Chem. Technol. 2005, 78, 458–488. [Google Scholar] [CrossRef]
- Coran, A. Chemistry of the vulcanization and protection of elastomers: A review of the achievements. J. Appl. Polym. Sci. 2003, 87, 24–30. [Google Scholar] [CrossRef]
- Joseph, A.M.; George, B.; Madhusoodanan, K.; Alex, R. Current status of sulphur vulcanization and devulcanization chemistry: Process of vulcanization. Rubber Sci. 2015, 28, 82–121. [Google Scholar]
- Charoeythornkhajhornchai, P.; Samthong, C.; Somwangthanaroj, A. Influence of sulfenamide accelerators on cure kinetics and properties of natural rubber foam. J. Appl. Polym. Sci. 2017, 134, 44822. [Google Scholar] [CrossRef]
- Heideman, G.; Datta, R.N.; Noordermeer, J.W.; van Baarle, B. Activators in accelerated sulfur vulcanization. Rubber Chem. technol. 2004, 77, 512–541. [Google Scholar] [CrossRef]
- Ariff, Z.; Rahim, N.; Low, L. Effect of compound formulation on the production and properties of epoxidised natural rubber (ENR-25) foams. SMR 2008, 50, 40. [Google Scholar]
- Hernández, M.; del Mar Bernal, M.; Verdejo, R.; Ezquerra, T.A.; López-Manchado, M.A. Overall performance of natural rubber/graphene nanocomposites. Compos. Sci. Technol. 2012, 73, 40–46. [Google Scholar] [CrossRef]
- Kaliyannan, G.; Rathanasamy, R.; Palaniappan, S. A review on the effect of carbon based nanofillers on the properties of elastomers. Mater. Sci. Eng. 2019, 3, 89–101. [Google Scholar]
- Phumnok, E.; Boonphang, J.; Bourkaew, O. Effect of Filler Types on Properties of the Natural Rubber Closed Cell Foam. In Applied Mechanics and Materials; Trans Tech Publications: Stafa, Switzerland, 2019; pp. 213–218. [Google Scholar]
- Leblanc, J.L. Rubber—Filler interactions and rheological properties in filled compounds. Prog. Polym. Sci. 2002, 27, 627–687. [Google Scholar] [CrossRef]
- Vahidifar, A.; Esmizadeh, E.; Rostami, E.; Nouri Khorasani, S.; Rodrigue, D. Morphological, rheological, and mechanical properties of hybrid elastomeric foams based on natural rubber, nanoclay, and nanocarbon black. Polym. Compos. 2019, 40, 4289–4299. [Google Scholar] [CrossRef]
- Nayak, N.C.; Achary, P.G.R.; Das, S.; Begum, S. Effect of carbon black on microcellular behavior of ethylene-octene copolymer vulcanizates. Cell.Polym. 2014, 33, 71–86. [Google Scholar] [CrossRef]
- Dalen, M.; Ibrahim, A.; Adamu, H.; Nurudeen, A. Effects of CaCO3 and Kaolin Filler Loadings on Curing Rates of Polyurethane Foams. Int. Res. J. Pure Appl. Chem. 2014, 4, 691–709. [Google Scholar] [CrossRef]
- Bashir, M.A.; Iqbal, N.; Shahid, M.; Ahmed, R. Structural, viscoelastic, and vulcanization study of sponge ethylene–propylene–diene monomer composites with various carbon black loadings. J. Appl. Polym. Sci. 2014, 131, 39423. [Google Scholar] [CrossRef]
- Wang, B.; Peng, Z.; Zhang, Y.; Zhang, Y. Study on foaming kinetics and preparation of EPDM foams. Plast. Rubber Compos. 2006, 35, 360–367. [Google Scholar] [CrossRef]
- Reyes-Labarta, J.; Marcilla, A. Kinetic study of the decompositions involved in the thermal degradation of commercial azodicarbonamide. J. Appl. Polym. Sci. 2008, 107, 339–346. [Google Scholar] [CrossRef]
- Reyes-Labarta, J.; Marcilla, A. Thermal treatment and degradation of cross-linked ethylene vinyl acetate–polyethylene–azodicarbonamide–ZnO foams. Complete kinetic modeling and analysis. Ind. Eng. Chem. Res. 2012, 51, 9515–9530. [Google Scholar] [CrossRef]
- Watts, J.T. Accelerators and colors in sponge rubber. Rubber Chem. Technol. 1943, 16, 438–444. [Google Scholar] [CrossRef]
- Vahidifar, A.; Esmizadeh, E.; Rodrigue, D. Effect of the simultaneous curing and foaming kinetics on the morphology development of polyisoprene closed cell foams. Elastomery 2018, 21, 3–18. [Google Scholar]
- Jaafar, H.S.; Sims, G.A. The thermal decomposition of azodicarbonamide (ADC). Cell. Polym. 1993, 12, 303–316. [Google Scholar]
- Arroyo, M.; Lopez-Manchado, M.; Herrero, B. Organo-montmorillonite as substitute of carbon black in natural rubber compounds. Polymer 2003, 44, 2447–2453. [Google Scholar] [CrossRef]
- Kader, M.A.; Nah, C. Influence of clay on the vulcanization kinetics of fluoroelastomer nanocomposites. Polymer 2004, 45, 2237–2247. [Google Scholar] [CrossRef]
- Sui, G.; Zhong, W.; Yang, X.; Yu, Y. Curing kinetics and mechanical behavior of natural rubber reinforced with pretreated carbon nanotubes. Mater. Sci. Eng. A 2008, 485, 524–531. [Google Scholar] [CrossRef]
- Michaeli, W.; Westermann, K.; Sitz, S. Extrusion of physically foamed rubber profiles. J. Cell. Plast. 2011, 47, 483–495. [Google Scholar] [CrossRef]
- Keshtkar, M.; Nofar, M.; Park, C.B.; Carreau, P. Extruded PLA/clay nanocomposite foams blown with supercritical CO2. Polymer 2014, 55, 4077–4090. [Google Scholar] [CrossRef]
- Feng, D.; Li, L.; Wang, Q. Fabrication of three-dimensional polyetherimide bead foams via supercritical CO2/ethanol co-foaming technology. RSC Adv. 2019, 9, 4072–4081. [Google Scholar] [CrossRef]
- Strong, A.B. Plastics: Materials and Processing; Prentice Hall: Hoboken, NJ, USA, 2005. [Google Scholar]
- Haberstroh, E.; Kremers, A.; Epping, K. Extrusion von physikalisch geschäumten Kautschukprofilen. KGK Kautsch. Gummi Kunstst. 2005, 58, 449–454. [Google Scholar]
- Hopmann, C.; Kammer, S.; Fey, F.; Facklam, M. Foam Extrusion of Elastomers using Water as Physical Blowing Agent. In Advances in Polymer Processing 2020; Springer: Berlin/Heidelberg, Germany, 2020; pp. 63–78. [Google Scholar]
- Röthemeyer, F.; Sommer, F. Kautschuktechnologie: Werkstoffe-Verarbeitung-Produkte; Carl Hanser Verlag GmbH Co KG: München, Germany, 2013. [Google Scholar]
- Limper, A.; Barth, P.; Grajewski, F. Technologie der Kautschukverarbeitung: Mit 177 Abbildungen und 5 Tabellen; Hanser: München, Germany, 1989. [Google Scholar]
- Kremers, A.; Krusche, A.; Haberstroh, E. Analysis of the production of sponge rubber profiles. Macromol. Mater. Eng. 2000, 284, 70–75. [Google Scholar] [CrossRef]
- Tomasko, D.L.; Burley, A.; Feng, L.; Yeh, S.-K.; Miyazono, K.; Nirmal-Kumar, S.; Kusaka, I.; Koelling, K. Development of CO2 for polymer foam applications. J. Supercrit. Fluids 2009, 47, 493–499. [Google Scholar] [CrossRef]
- Park, C.B.; Baldwin, D.F.; Suh, N.P. Effect of the pressure drop rate on cell nucleation in continuous processing of microcellular polymers. Polym. Eng. Sci. 1995, 35, 432–440. [Google Scholar] [CrossRef]
- Park, C.B.; Suh, N.P. Filamentary extrusion of microcellular polymers using a rapid decompressive element. Polym. Eng. Sci. 1996, 36, 34–48. [Google Scholar] [CrossRef]
- Xu, X.; Park, C.B.; Xu, D.; Pop-Iliev, R. Effects of die geometry on cell nucleation of PS foams blown with CO2. Polym. Eng. Sci. 2003, 43, 1378–1390. [Google Scholar] [CrossRef]
- Lee, S.T. Shear effects on thermoplastic foam nucleation. Polym. Eng. Sci. 1993, 33, 418–422. [Google Scholar] [CrossRef]
- Chen, L.; Sheth, H.; Wang, X. Effects of shear stress and pressure drop rate on microcellular foaming process. J. Cell. Plast. 2001, 37, 353–363. [Google Scholar] [CrossRef]
- Jiang, R.; Liu, T.; Xu, Z.; Park, C.B.; Zhao, L. Improving the Continuous Microcellular Extrusion Foaming Ability with Supercritical CO2 of Thermoplastic Polyether Ester Elastomer through In-Situ Fibrillation of Polytetrafluoroethylene. Polymers 2019, 11, 1983. [Google Scholar] [CrossRef]
- Fuse, K.; Yamamoto, Y. Thermoplastic Elastomer Composition for Foam Injection Molding, Foam Body, and Process for Producing Foam Body. U.S. Patent Application 12/327843, 18 June 2009. [Google Scholar]
- Xu, J. Microcellular Injection Molding; John Wiley & Sons: Hoboken, NJ, USA, 2011; Volume 9. [Google Scholar]
- Shaayegan, V.; Wang, G.; Park, C.B. Effect of foam processing parameters on bubble nucleation and growth dynamics in high-pressure foam injection molding. Chem. Eng. Sci. 2016, 155, 27–37. [Google Scholar] [CrossRef]
- Kawasaki, M.; Nonaka, S.; Kunizane, M.; Koda, T.; Tojo, T. Foam Processable Rubber Compositions and Vulcanized Rubber Foam Molded Products of the Same. U.S. Patent 5962543A, 5 October 1999. [Google Scholar]
- Lee, J.W.; Lee, R.E.; Wang, J.; Jung, P.U.; Park, C.B. Study of the foaming mechanisms associated with gas counter pressure and mold opening using the pressure profiles. Chem. Eng. Sci. 2017, 167, 105–119. [Google Scholar] [CrossRef]
- Lee, J.W.; Wang, J.; Yoon, J.D.; Park, C.B. Strategies to achieve a uniform cell structure with a high void fraction in advanced structural foam molding. Ind. Eng. Chem. Res. 2008, 47, 9457–9464. [Google Scholar] [CrossRef]
- Ameli, A.; Nofar, M.; Jahani, D.; Rizvi, G.; Park, C. Development of high void fraction polylactide composite foams using injection molding: Crystallization and foaming behaviors. Chem. Eng. J. 2015, 262, 78–87. [Google Scholar] [CrossRef]
- Wong, S.; Lee, J.W.; Naguib, H.E.; Park, C.B. Effect of processing parameters on the mechanical properties of injection molded thermoplastic polyolefin (TPO) cellular foams. Macromol. Mater. Eng. 2008, 293, 605–613. [Google Scholar] [CrossRef]
- Xin, Z.X.; Zhang, Z.X.; Pal, K.; Lu, B.X.; Deng, X.; Lee, S.H.; Kim, J.K. Effects of formulation and processing parameters on the morphology of extruded polypropylene-(waste ground rubber tire powder) foams. J. Vinyl Addit. Technol. 2009, 15, 266–274. [Google Scholar] [CrossRef]
- Zakaria, Z.; Ariff, Z.M.; Tay, L.H.; Sipaut, C.S. Effect of Foaming Temperature on Morphology and Compressive Properties of Ethylene propylene diena monomer rubber (EPDM) Foam. Malaysian Polym. J. 2007, 2, 22–30. [Google Scholar]
- Naguib, H.E.; Park, C.B.; Lee, P.C. Effect of talc content on the volume expansion ratio of extruded PP foams. J. Cell Plast. 2003, 39, 499–511. [Google Scholar] [CrossRef]
- Bai, J.; Liao, X.; Huang, E.; Luo, Y.; Yang, Q.; Li, G. Control of the cell structure of microcellular silicone rubber/nanographite foam for enhanced mechanical performance. Mater. Des. 2017, 133, 288–298. [Google Scholar] [CrossRef]
- Colton, J.S.; Suh, N.P. Nucleation of microcellular foam: Theory and practice. Polym. Eng. Sci. 1987, 27, 500–503. [Google Scholar] [CrossRef]
- Laaksonen, A.; Talanquer, V.; Oxtoby, D.W. Nucleation: Measurements, theory, and atmospheric applications. Ann Rev. Phys. Chem. 1995, 46, 489–524. [Google Scholar] [CrossRef] [PubMed]
- Baldwin, D.F.; Park, C.B.; Suh, N.P. A microcellular processing study of poly (ethylene terephthalate) in the amorphous and semicrystalline states. Part I: Microcell nucleation. Polym. Eng. Sci. 1996, 36, 1437–1445. [Google Scholar] [CrossRef]
- Kusaka, I.; Talreja, M.; Tomasko, D.L. Beyond classical theory: Predicting the free energy barrier of bubble nucleation in polymer foaming. AIChE J. 2013, 59, 3042–3053. [Google Scholar] [CrossRef]
- Siripurapu, S.; DeSimone, J.M.; Khan, S.A.; Spontak, R.J. Low-temperature, surface-mediated foaming of polymer films. Adv. Mater. 2004, 16, 989–994. [Google Scholar] [CrossRef]
- Shirvan, M.M.M.; Famili, M.; Golbang, A. A Review on the Application of Nucleation Theories in Thermoplastic Foams. Plast. Polym. Technol. 2016, 4, 11–32. [Google Scholar] [CrossRef]
- Klempner, D.; Frisch, K.C. Handbook of Polymeric Foams and Foam Technology; Hanser: New York, NY, USA, 1991; Volume 404. [Google Scholar]
- Gunton, J. Homogeneous nucleation. J. Stat. Phys. 1999, 95, 903–923. [Google Scholar] [CrossRef]
- Colton, J.; Suh, N. The nucleation of microcellular thermoplastic foam with additives: Part I: Theoretical considerations. Polym. Eng. Sci. 1987, 27, 485–492. [Google Scholar] [CrossRef]
- Shukla, S.; Koelling, K.W. Classical nucleation theory applied to homogeneous bubble nucleation in the continuous microcellular foaming of the polystyrene−CO2 system. Ind. Eng. Chem. Res. 2009, 48, 7603–7615. [Google Scholar] [CrossRef]
- Sombatsompop, N. Analysis of cure characteristics on cross-link density and type, and viscoelastic properties of natural rubber. Polym. Plast. Technol. Eng. 1998, 37, 333–349. [Google Scholar] [CrossRef]
- Kim, J.-H.; Koh, J.-S.; Choi, K.-C.; Yoon, J.-M.; Kim, S.-Y. Effects of foaming temperature and carbon black content on the cure characteristics and mechanical properties of natural rubber foams. J. Ind. Eng. Chem. 2007, 13, 198–205. [Google Scholar]
- Kim, J.-H.; Choi, K.-C.; Yoon, J.-M. The foaming characteristics and physical properties of natural rubber foams: Effects of carbon black content and foaming pressure. J. Ind. Eng. Chem. 2006, 12, 795–801. [Google Scholar]
- Xiang, B.; Jia, Y.; Lei, Y.; Zhang, F.; He, J.; Liu, T.; Luo, S. Mechanical properties of microcellular and nanocellular silicone rubber foams obtained by supercritical carbon dioxide. Polym. J. 2019, 51, 559–568. [Google Scholar] [CrossRef]
- Yang, Q.; Yu, H.; Song, L.; Lei, Y.; Zhang, F.; Lu, A.; Liu, T.; Luo, S. Solid-state microcellular high temperature vulcanized (HTV) silicone rubber foam with carbon dioxide. J. Appl. Polym. Sci. 2017, 134, 44807. [Google Scholar] [CrossRef]
- Bayat, H.; Fasihi, M.; Zare, Y.; Rhee, K.Y. An experimental study on one-step and two-step foaming of natural rubber/silica nanocomposites. Nanotechnol. Rev. 2020, 9, 427–435. [Google Scholar] [CrossRef]
- Wang, Y.; Guo, G.; Zhou, Y.; Sun, Y.; Li, D.; Liu, Y.; Zhao, G. Facile synthesis of magnetic rubber foam with cellular structure by one-step solution foam processing for application in giant magnetostriction. Compos. Sci. Technol. 2019, 170, 34–41. [Google Scholar] [CrossRef]
- Vahidifar, A.; Esmizadeh, E.; Rodrigue, D.; Khonakdar, H.A.; Wagenknecht, U. Towards novel super-elastic foams based on isoperene rubber: Preparation and characterization. Polym. Adv. Technol. 2020, 31, 1508–1518. [Google Scholar] [CrossRef]
- Nozu, S.; Tsuji, H.; Itadani, M.; Fujiwara, W.; Ohnishi, K. Study of cure process of thick solid rubber. J. Mater. Process. Technol. 2008, 201, 720–724. [Google Scholar] [CrossRef]
- Guise-Richardson, C. Redefining Vulcanization: Charles Goodyear, patents, and industrial control, 1834–1865. Technol. Cult. 2010, 51, 357–387. [Google Scholar] [CrossRef]
- Datta, R.N. Rubber Curing Systems; iSmithers Rapra Publishing: Shrewsbury, UK, 2002; Volume 12. [Google Scholar]
- Elias, H.-G. Mega Molecules: Tales of Adhesives, Bread, Diamonds, Eggs, Fibers, Foams, Gelatin, Leather, Meat, Plastics, Resists, Rubber,... and Cabbages and Kings; Springer Science & Business Media: Berlin/Heidelberg, Germany, 2013. [Google Scholar]
- Shokrzadeh, A.; Naderi, G.; Esmizadeh, E. Mechanical and rheological properties of calcium carbonate-filled ethylene propylene diene elastomer reinforced by metallic acrylate salt. Fibers Polym. 2014, 15, 1694–1700. [Google Scholar] [CrossRef]
- Esmizadeh, E.; Naderi, G.; Barmar, M. Effect of organo-clay on properties and mechanical behavior of Fluorosilicone rubber. Fibers Polym. 2014, 15, 2376–2385. [Google Scholar] [CrossRef]
- Wang, X.; Feng, N.; Chang, S. Effect of precured degrees on morphology, thermal, and mechanical properties of BR/SBR/NR foams. Polym. Compos. 2013, 34, 849–859. [Google Scholar] [CrossRef]
- Phiri, M.M.; Sibeko, M.A.; Phiri, M.J.; Hlangothi, S.P. Effect of free foaming and pre-curing on the thermal, morphological and physical properties of reclaimed tyre rubber foam composites. J. Clean. Prod. 2019, 218, 665–672. [Google Scholar] [CrossRef]
- Song, L.; Lu, A.; Feng, P.; Lu, Z. Preparation of silicone rubber foam using supercritical carbon dioxide. Mater. Lett. 2014, 121, 126–128. [Google Scholar] [CrossRef]
- Parks, C. Brass powder in rubber vulcanizates. The effect on adhesion. Rubber Chem. Technol. 1982, 55, 1170–1179. [Google Scholar] [CrossRef]
- Kim, D.Y.; Park, J.W.; Lee, D.Y.; Seo, K.H. Correlation between the Crosslink Characteristics and Mechanical Properties of Natural Rubber Compound via Accelerators and Reinforcement. Polymers 2020, 12, 2020. [Google Scholar] [CrossRef]
- Flory, P.J.; Rehner, J., Jr. Statistical mechanics of cross-linked polymer networks I. Rubberlike elasticity. J. Chem. Phys. 1943, 11, 512–520. [Google Scholar] [CrossRef]
- Saville, B.A.; Watson, A. Structural characterization of sulfur-vulcanized rubber networks. Rubber Chem. Technol. 1967, 40, 100–148. [Google Scholar] [CrossRef]
- Marzocca, A. Evaluation of the polymer–solvent interaction parameter χ for the system cured styrene butadiene rubber and toluene. Eur. Polym. J. 2007, 43, 2682–2689. [Google Scholar] [CrossRef]
- Hansen, C.M. Hansen Solubility Parameters: A User’s Handbook; CRC Press: Boca Raton, FL, USA, 2007. [Google Scholar]
- Kraus, G. Degree of cure in filler-reinforced vulcanizates by the swelling method. Rubber Chem. Technol. 1957, 30, 928–951. [Google Scholar] [CrossRef]
- Kraus, G. Swelling of filler-reinforced vulcanizates. J. Appl. Polym. Sci. 1963, 7, 861–871. [Google Scholar] [CrossRef]
- Kumar, N.; Rao, V.V. Hyperelastic Mooney-Rivlin model: Determination and physical interpretation of material constants. Parameters 2016, 2, 1. [Google Scholar]
- Mooney, M. A theory of large elastic deformation. J. Appl. Phys. 1940, 11, 582–592. [Google Scholar] [CrossRef]
- Saalwächter, K. Microstructure and molecular dynamics of elastomers as studied by advanced low-resolution nuclear magnetic resonance methods. Rubber Chem. Technol. 2012, 85, 350–386. [Google Scholar] [CrossRef]
- Gronski, W.; Hoffmann, U.; Simon, G.; Wutzler, A.; Straube, E. Structure and density of crosslinks in natural-rubber vulcanizates. A combined analysis by NMR spectroscopy, mechanical measurements, and rubber-elastic theory. Rubber Chem. Technol. 1992, 65, 63–77. [Google Scholar] [CrossRef]
- Ismail, H.; Tan, S.; Poh, B. Curing and mechanical properties of nitrile and natural rubber blends. J. Elastomers Plast. 2001, 33, 251–262. [Google Scholar] [CrossRef]
- Malas, A.; Das, C.K. Carbon black–clay hybrid nanocomposites based upon EPDM elastomer. J. Mater. Sci. 2012, 47, 2016–2024. [Google Scholar] [CrossRef]
- Phomrak, S.; Nimpaiboon, A.; Newby, B.-m.Z.; Phisalaphong, M. Natural Rubber Latex Foam Reinforced with Micro-and Nanofibrillated Cellulose via Dunlop Method. Polymers 2020, 12, 1959. [Google Scholar] [CrossRef]
- Chen, Y.; Das, R.; Battley, M. Effects of cell size and cell wall thickness variations on the strength of closed-cell foams. Int. J. Eng. Sci. 2017, 120, 220–240. [Google Scholar] [CrossRef]
- Li, K.; Gao, X.-L.; Subhash, G. Effects of cell shape and strut cross-sectional area variations on the elastic properties of three-dimensional open-cell foams. J. Mech. Phys. Solids 2006, 54, 783–806. [Google Scholar] [CrossRef]
- Grenestedt, J.L.; Bassinet, F. Influence of cell wall thickness variations on elastic stiffness of closed-cell cellular solids. Int. J. Mech. Sci. 2000, 42, 1327–1338. [Google Scholar] [CrossRef]
- Ramasamy, S.; Ismail, H.; Munusamy, Y. Tensile and morphological properties of rice husk powder filled natural rubber latex foam. Polym. Plast. Technol. Eng. 2012, 51, 1524–1529. [Google Scholar] [CrossRef]
- Muniandy, K.; Ismail, H.; Othman, N. Curing Characteristics and Mechanical Properties of Rattan Filled Natural Rubber Compounds. In Key Engineering Materials; Trans Tech Publications: Stafa, Switzerland, 2011; pp. 845–850. [Google Scholar]
- Kudori, S.N.I.; Ismail, H. The effects of filler contents and particle sizes on properties of green kenaf-filled natural rubber latex foam. Cell. Polym. 2020, 39, 57–68. [Google Scholar] [CrossRef]
- Sritapunya, T. Study on Preparation and Properties of Foam Rubber from Natural Rubber Ribbed Smoked Sheet Using Salt of Amino Alcohol and Carbonic Acid as Foaming Agent. In Advanced Materials Research; Trans Tech Publications: Stafa, Switzerland, 2014; pp. 115–118. [Google Scholar]
- Yamsaengsung, W.; Sombatsompop, N. Effect of chemical blowing agent on cell structure and mechanical properties of EPDM foam, and peel strength and thermal conductivity of wood/NR composite–EPDM foam laminates. Compos. B Eng. 2009, 40, 594–600. [Google Scholar] [CrossRef]
- Chen, S.; Jiang, Y.; Chen, J.; Wang, D. The effects of various additive components on the sound absorption performances of polyurethane foams. Adv. Mater. Sci. Eng. 2015, 2015, 317561. [Google Scholar] [CrossRef]
- Lee, J.; Kim, G.H.; Ha, C.S. Sound absorption properties of polyurethane/nano-silica nanocomposite foams. J. Appl. Polym. Sci. 2012, 123, 2384–2390. [Google Scholar] [CrossRef]
- Lee, C.-M.; Wang, Y. A prediction method of the acoustical properties of multilayered noise control materials in standing wave-duct systems. J. Sound Vib. 2006, 298, 350–365. [Google Scholar] [CrossRef]
- Gwon, J.G.; Kim, S.K.; Kim, J.H. Sound absorption behavior of flexible polyurethane foams with distinct cellular structures. Mater. Des. 2016, 89, 448–454. [Google Scholar] [CrossRef]
- Chevillotte, F.; Panneton, R. Elastic characterization of closed cell foams from impedance tube absorption tests. J. Acoust. Soc. Am. 2007, 122, 2653–2660. [Google Scholar] [CrossRef]
- Sagartzazu, X.; Hervella-Nieto, L.; Pagalday, J. Review in sound absorbing materials. Arch. Comput. Methods Eng. 2008, 15, 311–342. [Google Scholar] [CrossRef]
- Zhang, X.; Lu, Z.; Tian, D.; Li, H.; Lu, C. Mechanochemical devulcanization of ground tire rubber and its application in acoustic absorbent polyurethane foamed composites. J. Appl. Polym. Sci. 2013, 127, 4006–4014. [Google Scholar] [CrossRef]
- Li, D.H.; Yang, L.; Lam, J.C. Zero energy buildings and sustainable development implications–A review. Energy 2013, 54, 1–10. [Google Scholar] [CrossRef]
- Wang, G.; Zhao, J.; Wang, G.; Mark, L.H.; Park, C.B.; Zhao, G. Low-density and structure-tunable microcellular PMMA foams with improved thermal-insulation and compressive mechanical properties. Eur. Polym. J. 2017, 95, 382–393. [Google Scholar] [CrossRef]
- Gama, N.V.; Ferreira, A.; Barros-Timmons, A. Polyurethane foams: Past, present, and future. Materials 2018, 11, 1841. [Google Scholar] [CrossRef]
- Jia, Y.; Xiang, B.; Zhang, W.; Liu, T.; Luo, S. Microstructure and properties of microcellular silicone rubber foams with improved surface quality. Polym. J. 2020, 52, 207–216. [Google Scholar] [CrossRef]
- Aranberri, I.; Montes, S.; Wesołowska, E.; Rekondo, A.; Wrześniewska-Tosik, K.; Grande, H.-J. Improved Thermal Insulating Properties of Renewable Polyol Based Polyurethane Foams Reinforced with Chicken Feathers. Polymers 2019, 11, 2002. [Google Scholar] [CrossRef]
- Gao, J.; Wang, J.; Xu, H.; Wu, C. Preparation and properties of hollow glass bead filled silicone rubber foams with low thermal conductivity. Mater. Des. 2013, 46, 491–496. [Google Scholar] [CrossRef]
- Lopattananon, N.; Julyanon, J.; Masa, A.; Kaesaman, A.; Thongpin, C.; Sakai, T. The role of nanofillers on (natural rubber)/(ethylene vinyl acetate)/clay nanocomposite in blending and foaming. J. Vinyl Addit. Technol. 2015, 21, 134–146. [Google Scholar] [CrossRef]
- Kanagaraj, L.; Bao, C.A.; Ch’ng, S.; Ing, K. Mechanical properties and thermal stability of methyl methacrylate grafted latex and natural rubber latex foam blends. J. Eng. Sci. Technol. 2019, 14, 3616–3627. [Google Scholar]
- Tang, W.; Bai, J.; Liao, X.; Xiao, W.; Luo, Y.; Yang, Q.; Li, G. Carbon nanotube-reinforced silicone rubber nanocomposites and the foaming behavior in supercritical carbon dioxide. J. Supercrit. Fluids 2018, 141, 78–87. [Google Scholar] [CrossRef]
- Li, Y.; Lan, X.; Wu, F.; Liu, J.; Huang, P.; Chong, Y.; Luo, H.; Shen, B.; Zheng, W. Steam-chest molding of polypropylene/carbon black composite foams as broadband EMI shields with high absorptivity. Compos. Commu. 2020, 22, 100508. [Google Scholar] [CrossRef]
- Hamidinejad, M.; Zhao, B.; Zandieh, A.; Moghimian, N.; Filleter, T.; Park, C.B. Enhanced electrical and electromagnetic interference shielding properties of polymer–graphene nanoplatelet composites fabricated via supercritical-fluid treatment and physical foaming. ACS Appl. Mater. Interfaces 2018, 10, 30752–30761. [Google Scholar] [CrossRef]
- Zhao, B.; Wang, R.; Li, Y.; Ren, Y.; Li, X.; Guo, X.; Zhang, R.; Park, C.B. Dependence of electromagnetic interference shielding ability of conductive polymer composite foams with hydrophobic properties on cellular structure. J. Mater. Chem. C 2020, 8, 7401–7410. [Google Scholar] [CrossRef]
- Naji, A.; Krause, B.; Pötschke, P.; Ameli, A. Hybrid conductive filler/polycarbonate composites with enhanced electrical and thermal conductivities for bipolar plate applications. Polym. Compos. 2019, 40, 3189–3198. [Google Scholar] [CrossRef]
- Panahi-Sarmad, M.; Noroozi, M.; Abrisham, M.; Eghbalinia, S.; Teimoury, F.; Bahramian, A.R.; Dehghan, P.; Sadri, M.; Goodarzi, V. A Comprehensive Review on Carbon-Based Polymer Nanocomposite Foams as Electromagnetic Interference Shields and Piezoresistive Sensors. ACS Appl. Electron. Mater. 2020, 2, 2318–2350. [Google Scholar] [CrossRef]
- Jeddi, J.; Katbab, A.A. The electrical conductivity and EMI shielding properties of polyurethane foam/silicone rubber/carbon black/nanographite hybrid composites. Polym. Compos. 2018, 39, 3452–3460. [Google Scholar] [CrossRef]
- Bizhani, H.; Katbab, A.A.; Lopez-Hernandez, E.; Miranda, J.M.; Lopez-Manchado, M.A.; Verdejo, R. Preparation and Characterization of Highly Elastic Foams with Enhanced Electromagnetic Wave Absorption Based On Ethylene-Propylene-Diene-Monomer Rubber Filled with Barium Titanate/Multiwall Carbon Nanotube Hybrid. Polymers 2020, 12, 2278. [Google Scholar] [CrossRef]
- Vahidifar, A.; Esmizadeh, E.; Elahi, M.; Ghoreishy, M.H.R.; Naderi, G.; Rodrigue, D. Thermoplastic vulcanizate nanocomposites based on polyethylene/reclaimed rubber: A correlation between carbon nanotube dispersion state and electrical percolation threshold. J. Appl. Polym. Sci. 2019, 136, 47795. [Google Scholar] [CrossRef]
- Ponnamma, D.; Ninan, N.; Thomas, S. Carbon Nanotube Tube Filled Polymer Nanocomposites and Their Applications in Tissue Engineering. In Applications of Nanomaterials; Elsevier: Amsterdam, The Netherlands, 2018; pp. 391–414. [Google Scholar]
- Verma, P.; Saini, P.; Choudhary, V. Designing of carbon nanotube/polymer composites using melt recirculation approach: Effect of aspect ratio on mechanical, electrical and EMI shielding response. Mater. Des. 2015, 88, 269–277. [Google Scholar] [CrossRef]
- Thomassin, J.-M.; Pagnoulle, C.; Bednarz, L.; Huynen, I.; Jerome, R.; Detrembleur, C. Foams of polycaprolactone/MWNT nanocomposites for efficient EMI reduction. J. Mater. Chem. 2008, 18, 792–796. [Google Scholar] [CrossRef]
- Fletcher, A.; Gupta, M.C.; Dudley, K.L.; Vedeler, E. Elastomer foam nanocomposites for electromagnetic dissipation and shielding applications. Compos. Sci. Technol. 2010, 70, 953–958. [Google Scholar] [CrossRef]
- El-Lawindy, A. Physico-mechanical and Electrical Properties of NBR Structure Foams. Egypt J. Sol. 2002, 25, 295–306. [Google Scholar]
- El-Lawindy, A.; Mahmoud, W.; Hassan, H. Physical Studies of Foamed Reinforced Rubber Composites Part II-The Electrical Properties of Foamed EPDM and NBR Rubber. Egypt J. Sol. 2003, 26, 43–53. [Google Scholar]
- Avalle, M.; Belingardi, G.; Montanini, R. Characterization of polymeric structural foams under compressive impact loading by means of energy-absorption diagram. Int. J. Iimpact Eng. 2001, 25, 455–472. [Google Scholar] [CrossRef]
- Blood, R.; Ploger, J.; Yost, M.; Ching, R.; Johnson, P. Whole body vibration exposures in metropolitan bus drivers: A comparison of three seats. J. Sound Vib. 2010, 329, 109–120. [Google Scholar] [CrossRef]
- Rabe, J.; Spells, S.; Rasch, D.; Homan, G.; Lee, C. Evaluation of silicone foam for flat plate solar collector insulation. Sol. Energy Mater. 1981, 4, 159–168. [Google Scholar] [CrossRef]
- Miltz, J.; Ramon, O. Energy absorption characteristics of polymeric foams used as cushioning materials. Polym. Eng. Sci. 1990, 30, 129–133. [Google Scholar] [CrossRef]
- Cui, L.; Kiernan, S.; Gilchrist, M.D. Designing the energy absorption capacity of functionally graded foam materials. Mater. Sci. Eng. A 2009, 507, 215–225. [Google Scholar] [CrossRef]
- Sanborn, B.; Song, B.; Smith, S. Pre-strain effect on frequency-based impact energy dissipation through a silicone foam pad for shock mitigation. J. Dyn. Behav. Mater. 2016, 2, 138–145. [Google Scholar] [CrossRef]
- Sanborn, B.; Song, B. Energy dissipation characteristics in pre-strained silicone foam transitioning to silicone rubber. J. Dyn. Behav. Mater. 2019, 5, 51–58. [Google Scholar] [CrossRef]
- Cai, J.H.; Huang, M.L.; Chen, X.D.; Wang, M. Thermo-expandable microspheres strengthened polydimethylsiloxane foam with unique softening behavior and high-efficient energy absorption. Appl. Surf. Sci. 2021, 540, 148364. [Google Scholar] [CrossRef]
- Mahmoud, W.; El-Eraki, M.; El-Lawindy, A.; Hassan, H. A novel application of ADC/K-foaming agent-loaded NBR rubber composites as pressure sensor. J. Phys. D Appl. Phys. 2006, 39, 541. [Google Scholar] [CrossRef]
- Tewari, A.; Gandla, S.; Bohm, S.; McNeill, C.R.; Gupta, D. Highly exfoliated MWNT–rGO ink-wrapped polyurethane foam for piezoresistive pressure sensor applications. ACS Appl. Mater. Interfaces 2018, 10, 5185–5195. [Google Scholar] [CrossRef]
- Yao, H.B.; Ge, J.; Wang, C.F.; Wang, X.; Hu, W.; Zheng, Z.J.; Ni, Y.; Yu, S.H. A flexible and highly pressure-sensitive graphene–polyurethane sponge based on fractured microstructure design. Adv. Mater. 2013, 25, 6692–6698. [Google Scholar] [CrossRef]
- Tolvanen, J.; Hannu, J.; Jantunen, H. Hybrid foam pressure sensor utilizing piezoresistive and capacitive sensing mechanisms. IEEE Sens. J. 2017, 17, 4735–4746. [Google Scholar] [CrossRef]
- Rinaldi, A.; Tamburrano, A.; Fortunato, M.; Sarto, M.S. A flexible and highly sensitive pressure sensor based on a PDMS foam coated with graphene nanoplatelets. Sensors 2016, 16, 2148. [Google Scholar] [CrossRef]
- Hsiao, F.-R.; Wu, I.-F.; Liao, Y.-C. Porous CNT/rubber composite for resistive pressure sensor. J. Taiwan Inst. Chem. Eng. 2019, 102, 387–393. [Google Scholar] [CrossRef]
- Zhang, W.; Yin, B.; Wang, J.; Mohamed, A.; Jia, H. Ultrasensitive and wearable strain sensors based on natural rubber/graphene foam. J. Alloys Compd. 2019, 785, 1001–1008. [Google Scholar] [CrossRef]
- Barry, J.J.; Nazhat, S.N.; Rose, F.R.; Hainsworth, A.H.; Scotchford, C.A.; Howdle, S.M. Supercritical carbon dioxide foaming of elastomer/heterocyclic methacrylate blends as scaffolds for tissue engineering. J. Mater. Chem. 2005, 15, 4881–4888. [Google Scholar] [CrossRef]
- Rathnayake, W.; Ismail, H.; Baharin, A.; Darsanasiri, A.; Rajapakse, S. Synthesis and characterization of nano silver based natural rubber latex foam for imparting antibacterial and anti-fungal properties. Polym. Test. 2012, 31, 586–592. [Google Scholar] [CrossRef]
- Hassan, M.S.; El-Nemr, K.F. Dye sorption characters of gamma irradiated foamed ethylene propylene diene monomer (EPDM) rubber/clay composites. J. Ind. Eng. Chem. 2013, 19, 1371–1376. [Google Scholar] [CrossRef]
- Lazim, A.M.; Musbah, D.L.; Chin, C.C.; Abdullah, I.; Mustapa, M.H.A.; Azfaralariff, A. Oil removal from water surface using reusable and absorptive foams via simple fabrication of liquid natural rubber (LNR). Polym. Test. 2019, 73, 39–50. [Google Scholar] [CrossRef]
- Riyajan, S.-A.; Traitananan, K. Fabrication and properties of macrocellular modified natural rubber-poly (vinyl alcohol) foam for organic solvent/oil absorption. Ind. Crop. Prod. 2020, 153, 112404. [Google Scholar] [CrossRef]
- Panploo, K.; Chalermsinsuwan, B.; Poompradub, S. Natural rubber latex foam with particulate fillers for carbon dioxide adsorption and regeneration. RSC Adv. 2019, 9, 28916–28923. [Google Scholar] [CrossRef]
- Liu, H.; Kang, Y. Superhydrophobic and superoleophilic modified EPDM foam rubber fabricated by a facile approach for oil/water separation. Appl. Surf. Sci. 2018, 451, 223–231. [Google Scholar] [CrossRef]
- Rachtanapun, P.; Selke, S.; Matuana, L. Microcellular foam of polymer blends of HDPE/PP and their composites with wood fiber. J. Appl. Polym. Sci. 2003, 88, 2842–2850. [Google Scholar] [CrossRef]
- Otsuka, T.; Taki, K.; Ohshima, M. Nanocellular foams of PS/PMMA polymer blends. Macromol. Mater. Eng. 2008, 293, 78–82. [Google Scholar] [CrossRef]
- Shi, Z.; Zhang, S.; Qiu, J.; Li, M.; Xing, H.; Tang, T. Striking effect of carbon nanotubes on adjusting sc-CO2 foaming performance of PS/LLDPE blends and forming semi-open cellular structure. Polymer 2020, 207, 122896. [Google Scholar] [CrossRef]
- Zhou, Y.G.; Cao, G.H.; Cheng, Y.F. Effect of cellular uniformity on the necking propagation of foam injection Molded PP/HDPE blend parts. J. Appl.Polym. Sci. 2020, 137, 49124. [Google Scholar] [CrossRef]
- Rizvi, A.; Andalib, Z.K.; Park, C.B. Fiber-spun polypropylene/polyethylene terephthalate microfibrillar composites with enhanced tensile and rheological properties and foaming ability. Polymer 2017, 110, 139–148. [Google Scholar] [CrossRef]
- Qu, Z.; Yin, D.; Zhou, H.; Wang, X.; Zhao, S. Cellular morphology evolution in nanocellular poly (lactic acid)/thermoplastic polyurethane blending foams in the presence of supercritical N2. Eur. Polym. J. 2019, 116, 291–301. [Google Scholar] [CrossRef]
























| Rubber | Properties | Molecular Structure |
|---|---|---|
| NR | Biocompatibility; high elasticity, tear and abrasion resistance; high resilience, damping behavior and tensile strength; good oxidation resistance; low compression set; low ozone resistance; poor chemical resistance and processing ability | ![]() |
| EPDM | High chemical stability; high tear, impact and abrasion resistance; high heat-aging (100 °C), weather, ozone and oxidation resistance; high resistance to break down | ![]() |
| CR | Self-extinguishing behavior; good chemical stability; maintains flexibility over a wide temperature range | ![]() |
| SBR | Good heat aging (100 °C); high elongation; good resistance to diluted and concentrated alkalis, alcohols and solvents | ![]() |
| EVA | Low-temperature toughness; stress-crack resistance; hot-melt adhesive; waterproof properties; resistance to UV radiation | ![]() |
| NBR | Resistance to nonpolar oils, silicon oils, fuels and ordinary diluted acids and alkalis; good oxidation resistance; good heat aging (100 °C); high thermal stability | ![]() |
| IIR | High resistance to heat, oxygen and ozone; low gas and moisture permeability; poor resilience | ![]() |
| PU | Good abrasion resistance, tensile strength, tear strength, hardness, compression strength, impact resistance and elongation; high moisture sensitivity | ![]() |
| CPE | High resistance to ozone, hydrocarbon oil, heat and weathering; good blending ability with both polar and nonpolar materials | ![]() |
| SR | Biocompatibility; high thermal and UV radiation stability; high elongation, elasticity and tensile modulus; good heat aging (100 °C) and compression set rating; adhesion to metals; good ozone, oxidation and weathering resistance; low resistance to alkaline solvents; good dielectric properties | ![]() |
| Impurities | SMR-L | SMR-5 | SMR-10 | SMR-20 |
|---|---|---|---|---|
| Dirt (max) wt.% | 0.02 | 0.05–0.08 | 0.08 | 0.16 |
| Ash (max) wt.% | 0.50 | 0.60–0.75 | 0.75 | 1.00 |
| Nitrogen (max) wt.% | 0.60 | 0.60 | 0.60 | 0.60 |
| Volatile matter (max) wt.% | 0.50 | 0.80 | 0.80 | 0.80 |
| Group | Name | Properties | Structure |
|---|---|---|---|
| Amines | Diphenyl guanidine | Medium accelerator used along with other accelerators | ![]() |
| Di-orthotolyl guanidine | Medium accelerator | ![]() | |
| Dithiocarbamates | ZDEC | Ultra-accelerator | ![]() |
| Xanthates | ZIX | Ultra-accelerator, low temperature curing | ![]() |
| SIX | Water soluble ultra-accelerator for latex work | ![]() | |
| Benzothiazoles | MBT | Semi-ultra-accelerator, scorchy | ![]() |
| MBTS | Delayed action, semi-ultra-accelerator | ![]() | |
| Sulphenamides | CBS | Delayed action, semi-ultra-accelerator | ![]() |
| TBBS | Delayed action | ![]() | |
| MBS | Delayed action | ![]() | |
| DCBS | Delayed action, accelerator | ![]() | |
| Thiurams | TMTM | Ultra-accelerator | ![]() |
| TMTD | Ultra-accelerator, vulcanizing agent | ![]() |
| Accelerators | NR (g) | ZnO (phr) | Steric Acid (phr) | Sulfur (phr) | ADC (phr) | Accelerators | |
|---|---|---|---|---|---|---|---|
| Content (phr) | (Acc:S) 1 (mol) | ||||||
| MBS | 40 | 5 | 2 | 0.5 | 4 | 2.5 | 5.08 |
| TBBS | 40 | 5 | 2 | 0.5 | 4 | 2.5 | 5.38 |
| CBS | 40 | 5 | 2 | 0.5 | 4 | 2.5 | 4.85 |
| CBS | 40 | 5 | 2 | 0.5 | 4 | 2.775 | 5.38 |
| Technique | Formation Method | Structure | Properties |
|---|---|---|---|
| Batch foaming | After masticating the neat rubber, all the ingredients, except for the curing agent, are added and mixing is performed for several minutes. Finally, the curing agent is added and mixed. The prepared compound is placed in a stainless-steel mold. Thereafter, the mold is put inside a high-pressure vessel (autoclave) at a defined pressure, temperature and time depending on the curing and foaming kinetics. After being saturated, the foamed parts are obtained by a rapid depressurization. |
|
|
| Foam extrusion | The prepared rubber compounds in strip or pellet forms are fed into the extruder through the feed hopper and drawn into the rotating screw. The screw rotation continuously pushes the melt forward and out of the extruder through the die. The final part of this process is calibration and cutting of the extruded profiles. |
|
|
| Foam injection molding | After adding the prepared rubber compounds into the screw in the shape of pellets through the hopper, the injection unit melts the rubber compounds and maintains the injection pressure during mold filling. Then, the gas-filled melt is injected through the nozzle into the mold at high temperature and pressure. Finally, the mold is opened, and a rapid pressure drop occurs leading to foaming. |
|
|
Publisher’s Note: MDPI stays neutral with regard to jurisdictional claims in published maps and institutional affiliations. |
© 2021 by the authors. Licensee MDPI, Basel, Switzerland. This article is an open access article distributed under the terms and conditions of the Creative Commons Attribution (CC BY) license (https://creativecommons.org/licenses/by/4.0/).
Share and Cite
Rostami-Tapeh-Esmaeil, E.; Vahidifar, A.; Esmizadeh, E.; Rodrigue, D. Chemistry, Processing, Properties, and Applications of Rubber Foams. Polymers 2021, 13, 1565. https://doi.org/10.3390/polym13101565
Rostami-Tapeh-Esmaeil E, Vahidifar A, Esmizadeh E, Rodrigue D. Chemistry, Processing, Properties, and Applications of Rubber Foams. Polymers. 2021; 13(10):1565. https://doi.org/10.3390/polym13101565
Chicago/Turabian StyleRostami-Tapeh-Esmaeil, Ehsan, Ali Vahidifar, Elnaz Esmizadeh, and Denis Rodrigue. 2021. "Chemistry, Processing, Properties, and Applications of Rubber Foams" Polymers 13, no. 10: 1565. https://doi.org/10.3390/polym13101565
APA StyleRostami-Tapeh-Esmaeil, E., Vahidifar, A., Esmizadeh, E., & Rodrigue, D. (2021). Chemistry, Processing, Properties, and Applications of Rubber Foams. Polymers, 13(10), 1565. https://doi.org/10.3390/polym13101565
























