Effect of Bis (2-Aminoethyl) Adipamide/Adipic Acid Segment on Polyamide 6: Crystallization Kinetics Study
Abstract
1. Introduction
2. Experiment
2.1. Materials
2.2. Isothermal Crystallization Kinetics Procedures
2.3. Polarized Optical Microscopy (POM)
2.4. Wide-Angle X-ray Diffraction (WAXD)
3. Results and Discussion
3.1. The Crystal Structure of PA6 and Its Copolyamides
3.2. The Melting Behavior by Equilibrium Temperature
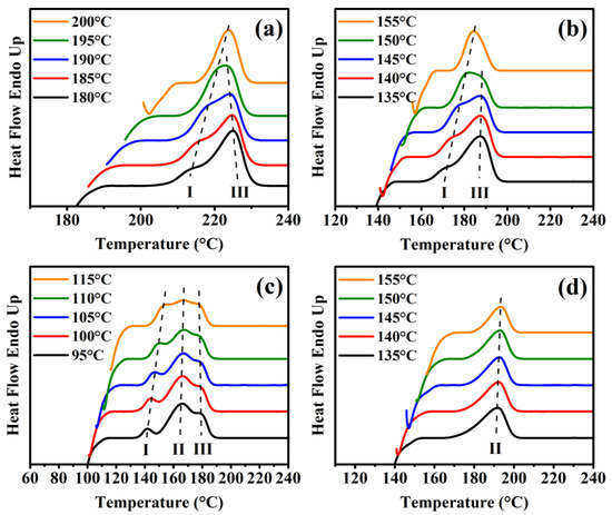
3.3. Isothermal Crystallization Kinetics
3.4. The Activation Energy of Isothermal Crystallization
3.5. Spherulitic Growth for Lauritzen–Hoffman Equation
3.6. Polarized Optical Microscopy Observation
4. Conclusions
Supplementary Materials
Author Contributions
Funding
Acknowledgments
Conflicts of Interest
References
- Sun, Z.; Wang, X.; Guo, F.; Jiang, C.; Pan, Q. Isothermal and nonisothermal crystallization kinetics of bio-sourced nylon 69. Chin. J. Chem. Eng. 2016, 24, 638–645. [Google Scholar] [CrossRef]
- Brucato, V.M.B.; Piccarolo, S.; Titomanlio, G. Crystallization kinetics in relation to polymer processing. Makromol. Chemie. Macromol. Symp. 1993, 68, 245–255. [Google Scholar] [CrossRef]
- Wu, B.; Gong, Y.; Yang, G. Non-isothermal crystallization of polyamide 6 matrix in all-polyamide composites: crystallization kinetic, melting behavior, and crystal morphology. J. Mater. Sci. 2011, 46, 5184–5191. [Google Scholar] [CrossRef]
- Layachi, A.; Frihi, D.; Satha, H.; Seguela, R.; Gherib, S. Non-isothermal crystallization kinetics of polyamide 66/glass fibers/carbon black composites. J. Therm. Anal. Calorim. 2016, 124, 1319–1329. [Google Scholar] [CrossRef]
- Yuan, Q.; Awate, S.; Misra, R. Nonisothermal crystallization behavior of melt-intercalated polyethylene-clay nanocomposites. J. Appl. Polym. Sci. 2006, 102, 3809–3818. [Google Scholar] [CrossRef]
- Kaya, E.; Mathias, L. Investigation of melting behaviors and crystallinity of linear polyamide with high-aliphatic content. J. Appl. Polym. Sci. 2011, 123, 92–98. [Google Scholar] [CrossRef]
- Zhang, X.; Xie, T.; Yang, G. Isothermal crystallization and melting behaviors of nylon 11/nylon 66 alloys by in situ polymerization. Polymer 2006, 47, 2116–2126. [Google Scholar] [CrossRef]
- Turska, E.; Gogolewski, S. Study on crystallization of nylon 6 (polycapramide). III. Effect of “crystalline memory” on crystallization kinetics. J. Appl. Polym. Sci. 1975, 19, 637–644. [Google Scholar] [CrossRef]
- Jin, X.-D.; Hu, G.; Yang, Y.-F.; Zhou, X.-M.; Wang, B.-B. Nylon 6/66/11 Copolymer Used for Hot-Melt Adhesives: Synthesis and Properties. J. Adhes. Sci. Technol. 2009, 23, 779–785. [Google Scholar] [CrossRef]
- Barzegari, M.R.; Hossieny, N.; Jahani, D.; Park, C.B. Characterization of hard-segment crystalline phase of poly(ether- block -amide) (PEBAX ® ) thermoplastic elastomers in the presence of supercritical CO 2 and its impact on foams. Polymer 2017, 114, 15–27. [Google Scholar] [CrossRef]
- Xue, W.; Zong, Z.; Zhou, L.; Xue, W. Synthesis and properties of nylon 6/66/510 used as hot melt adhesives for metal plate with low-surface-energy coating. J. Adhes. Sci. Technol. 2018, 33, 395–405. [Google Scholar] [CrossRef]
- Hybart, F.J.; Pepper, B. Rates of crystallization of copolyamides. I. Random copolymers of nylons 6 and 11. J. Appl. Polym. Sci. 1969, 13, 2643–2648. [Google Scholar] [CrossRef]
- Harvey, E.D.; Hybart, F.J. Rates of crystallization of copolyamides. II. Random copolymers of nylons 66 and 6. J. Appl. Polym. Sci. 1970, 14, 2133–2143. [Google Scholar] [CrossRef]
- Zhou, L.; Xue, W.; Xue, W. Isothermal Crystallizaiton Kinetic and Melting Behaviors of Nylon 6/66/510. Am. Chem. Sci. J. 2016, 14, 1–10. [Google Scholar] [CrossRef]
- Rwei, S.-P.; Tseng, Y.-C.; Chiu, K.-C.; Chang, S.-M.; Chen, Y.-M. The crystallization kinetics of Nylon 6/6T and Nylon 66/6T copolymers. Thermochim. Acta 2013, 555, 37–45. [Google Scholar] [CrossRef]
- Rwei, S.-P.; Way, T.-F.; Chen, Y.-H. Modifying agent, Polyamide Copolymer Synthesized Using Modifying Agent and method for preparing polyamide copolymer. US Patent 20190040197, 2018. Available online: https://patents.google.com/patent/US20190040197A1/en (accessed on 7 February 2019).
- Chen, C.-W.; Lin, C.-W.; Chen, Y.-H.; Wei, T.-F.; Rwei, S.-P.; Sasikumar, R. The influence of 1,4-cyclohexanedicarboxylic acid on the thermal and mechanical properties of copolyamides. Polym. Bull. 2019, 77, 235–253. [Google Scholar] [CrossRef]
- Rwei, S.-P.; Ranganathan, P.; Chiang, W.-Y.; Lee, Y.-H. Synthesis of Low Melting Temperature Aliphatic-Aromatic Copolyamides Derived from Novel Bio-Based Semi Aromatic Monomer. Polymer 2018, 10, 793. [Google Scholar] [CrossRef]
- Rwei, S.-P.; Ranganathan, P.; Chiang, W.-Y.; Lee, Y.-H. Synthesis and characterization of copolyamides derived from novel aliphatic bio-based diamine. J. Appl. Polym. Sci. 2018, 135, 46878. [Google Scholar] [CrossRef]
- Rwei, S.-P.; Ranganathan, P.; Lee, Y.-H. Synthesis and characterization of low melting point PA6 copolyamides from ε-caprolactam with bio-based polyamide salt. J. Mol. Struct. 2019, 1186, 285–292. [Google Scholar] [CrossRef]
- Chen, Y.-H.; Chen, C.-W.; Wei, T.-F.; Rwei, S.-P. Synthesis and characterization of low-temperature polyamide 6 (PA6) copolyamides used as hot melt adhesives and derived from the comonomer of novel aliphatic diamine bis(2-aminoethyl) adipamide and adipic acid. Int. J. Adhes. Adhes. 2020, 102619. [Google Scholar] [CrossRef]
- Rwei, S.-P.; Ranganathan, P.; Lee, Y.-H. Isothermal Crystallization Kinetics Study of Fully Aliphatic PA6 Copolyamides: Effect of Novel Long-Chain Polyamide Salt as a Comonomer. Polymer 2019, 11, 472. [Google Scholar] [CrossRef]
- Dasgupta, S.; Hammond, W.B.; Goddard, W.A. Crystal Structures and Properties of Nylon Polymers from Theory. J. Am. Chem. Soc. 1996, 118, 12291–12301. [Google Scholar] [CrossRef]
- Loo, L.S.; Gleason, K.K. Insights into Structure and Mechanical Behavior of α and γ Crystal Forms of Nylon-6 at Low Strain by Infrared Studies. Macromolecules 2003, 36, 6114–6126. [Google Scholar] [CrossRef]
- Pan, W.; Zhou, J.; Xiang, H.; Innocent, M.T.; Zhai, G.; Zhu, M. Melt-spun industrial super-strong polycaprolactam fiber: Effects of tie-molecules and crystal transformation. Compos. Part B: Eng. 2020, 185, 107772. [Google Scholar] [CrossRef]
- Sakurai, K.; Amador, G.; Takahashi, T. Block copolymers based on nylon 6 and poly(propylene glycol). I. Structure and thermal properties. Polymer 1998, 39, 4089–4094. [Google Scholar] [CrossRef]
- Zhao, M.; Yi, D.; Yang, R. Enhanced mechanical properties and fire retardancy of polyamide 6 nanocomposites based on interdigitated crystalline montmorillonite-melamine cyanurate. J. Appl. Polym. Sci. 2017, 135, 46039. [Google Scholar] [CrossRef]
- Zhang, H.; Yang, B.; Zhang, L.; Mo, Z. Crystal structure of the blend of polyamide 1010 with a bismaleimide by WAXD and SAXS. Macromol. Chem. Phys. 1996, 197, 553–562. [Google Scholar] [CrossRef]
- Murthy, N.; Grubb, D.T. Deformation of lamellar structures: Simultaneous small- and wide-angle X-ray scattering studies of polyamide-6. J. Polym. Sci. Part B: Polym. Phys. 2002, 40, 691–705. [Google Scholar] [CrossRef]
- Monshi, A.; Foroughi, M.R. Modified Scherrer Equation to Estimate More Accurately Nano-Crystallite Size Using XRD. World J. Nano Sci. Eng. 2012, 2, 154–160. [Google Scholar] [CrossRef]
- Schrock, A.K.; Hamilton, H.S.; Johnson, N.D.; Del Rosario, C.; Thompson, B.; Ulrich, K.; Coggio, W.D. Thermal characterization and crystallization kinetics of polyester polyols derived from adipic acid and bio-based succinic acid with 1,4-butanediol and 1,6-hexanediol. Polymer 2016, 101, 233–240. [Google Scholar] [CrossRef]
- Rungswang, W.; Jarumaneeroj, C.; Patthamasang, S.; Phiriyawirut, P.; Jirasukho, P.; Soontaranon, S.; Rugmai, S.; Hsiao, B.S. Influences of tacticity and molecular weight on crystallization kinetic and crystal morphology under isothermal crystallization: Evidence of tapering in lamellar width. Polymer 2019, 172, 41–51. [Google Scholar] [CrossRef]
- Hoffman, J.D.; Weeks, J.J. Melting process and the equilibrium melting temperature of polychlorotrifluoroethylene. J. Res. Natl. Bur. Stand. Sect. A: Phys. Chem. 1962, 66, 13. [Google Scholar] [CrossRef]
- Hoffman, J.D.; Lauritzen, J.I. Crystallization of Bulk Polymers with Chain Folding: Theory of Growth of Lamellar Spherulites. J. Res. Natl. Bur. Stand. Sect. A Phys. Chem. 1961, 65, 297–336. [Google Scholar] [CrossRef] [PubMed]
- Arakawa, T.; Nagatoshi, F.; Arai, N. Melting behavior and morphology of drawn nylon 6. J. Polym. Sci. Part A-2 Polym. Phys. 1969, 7, 1461–1472. [Google Scholar] [CrossRef]
- Murthy, N.S.; Curran, S.A.; Aharoni, S.M.; Minor, H. Premelting crystalline relaxations and phase transitions in nylon 6 and 6,6. Macromolecules 1991, 24, 3215–3220. [Google Scholar] [CrossRef]
- Ho, J.-C.; Wei, K.-H. Induced γ → α Crystal Transformation in Blends of Polyamide 6 and Liquid Crystalline Copolyester. Macromolecules 2000, 33, 5181–5186. [Google Scholar] [CrossRef]
- Medellín-Rodríguez, F.J.; Larios-López, L.; Zapata-Espinoza, A.; Davalos-Montoya, O.; Phillips, P.J.; Lin, J.S. Melting Behavior of Polymorphics: Molecular Weight Dependence and Steplike Mechanisms in Nylon-6. Macromolecules 2004, 37, 1799–1809. [Google Scholar] [CrossRef]
- Rim, P.B.; Runt, J.P. Melting point depression in crystalline/compatible polymer blends. Macromolecules 1984, 17, 1520–1526. [Google Scholar] [CrossRef]
- Blümm, E.; Owen, A. Miscibility, crystallization and melting of poly(3-hydroxybutyrate)/ poly(l-lactide) blends. Polymer 1995, 36, 4077–4081. [Google Scholar] [CrossRef]
- Fornes, T.; Paul, D.R. Crystallization behavior of nylon 6 nanocomposites. Polymer 2003, 44, 3945–3961. [Google Scholar] [CrossRef]
- Tang, J.; Xu, B.; Xi, Z.; Pan, X.; Zhao, L. Controllable Crystallization Behavior of Nylon-6/66 Copolymers Based on Regulating Sequence Distribution. Ind. Eng. Chem. Res. 2018, 57, 15008–15019. [Google Scholar] [CrossRef]
- Avrami, M. Kinetics of Phase Change. I General Theory. J. Chem. Phys. 1939, 7, 1103. [Google Scholar] [CrossRef]
- Avrami, M. Kinetics of Phase Change. II Transformation-Time Relations for Random Distribution of Nuclei. J. Chem. Phys. 1940, 8, 212. [Google Scholar] [CrossRef]
- Song, J.; Ren, M.; Chen, Q.; Sun, X.; Zhang, H.; Song, C.; Zhang, H.; Mo, Z. Isothermal and nonisothermal crystallization kinetics of irradiated nylon 1212. J. Polym. Sci. Part B: Polym. Phys. 2005, 43, 2326–2333. [Google Scholar] [CrossRef]
- Fernández, C.E.; Bermudez, M.M.; Alla, A.; Mancera, M.; García-Martín, M.; Benito, E.; Roffe, I.; Galbis, J.A.; Muñoz-Guerra, S. Crystallization studies on linear aliphatic polyamides derived from naturally occurring carbohydrates. J. Appl. Polym. Sci. 2010, 116, 2515–2525. [Google Scholar] [CrossRef]
- Somsunan, R.; Mainoiy, N. Isothermal and non-isothermal crystallization kinetics of PLA/PBS blends with talc as nucleating agent. J. Therm. Anal. Calorim. 2019, 139, 1941–1948. [Google Scholar] [CrossRef]
- Qiu, S.; Su, Z.; Qiu, Z. Isothermal and nonisothermal crystallization kinetics of novel biobased poly(ethylene succinate-co-ethylene sebacate) copolymers from the amorphous state. J. Therm. Anal. Calorim. 2017, 129, 801–808. [Google Scholar] [CrossRef]
- Cebe, P.; Hong, S.-D. Crystallization behaviour of poly(ether-ether-ketone). Polymer 1986, 27, 1183–1192. [Google Scholar] [CrossRef]
- McFerran, N.L.A.; Armstrong, C.G.; McNally, T. Nonisothermal and isothermal crystallization kinetics of nylon-12. J. Appl. Polym. Sci. 2008, 110, 1043–1058. [Google Scholar] [CrossRef]
- Xiao, X.; Zeng, Z.; Xue, W.; Kong, Q.; Zhu, W. Isothermal crystallization kinetics and melting behaviors of poly(butylene terephthalate) and poly(butylene terephthalate-co-fumarate) copolymer. Polym. Eng. Sci. 2012, 53, 482–490. [Google Scholar] [CrossRef]
- Hoffman, J.D.; Miller, R.L. Kinetic of crystallization from the melt and chain folding in polyethylene fractions revisited: theory and experiment. Polymer 1997, 38, 3151–3212. [Google Scholar] [CrossRef]
- Williams, M.L.; Landel, R.F.; Ferry, J.D. The Temperature Dependence of Relaxation Mechanisms in Amorphous Polymers and Other Glass-forming Liquids. J. Am. Chem. Soc. 1955, 77, 3701–3707. [Google Scholar] [CrossRef]
- Zhong, Z.; Guo, Q. Crystallization kinetics of crosslinkable polymer complexes of novolac resin and poly(ethylene oxide). J. Polym. Sci. Part B Polym. Phys. 1999, 37, 2726–2736. [Google Scholar] [CrossRef]
- Sorrentino, L.; Iannace, S.; Di Maio, E.; Acierno, D. Isothermal crystallization kinetics of chain-extended PET. J. Polym. Sci. Part B: Polym. Phys. 2005, 43, 1966–1972. [Google Scholar] [CrossRef]
- Van Berkel, J.; Guigo, N.; Kolstad, J.J.; Sipos, L.; Wang, B.; Dam, M.A.; Sbirrazzuoli, N. Isothermal Crystallization Kinetics of Poly (Ethylene 2,5-Furandicarboxylate). Macromol. Mater. Eng. 2015, 300, 466–474. [Google Scholar] [CrossRef]
- Wang, B.; Wang, W.; Wang, H.; Hu, G. Isothermal crystallization kinetics and melting behavior of in situ compatibilized polyamide 6/Polyethylene-octene blends. J. Polym. Res. 2009, 17, 429–437. [Google Scholar] [CrossRef]
- Rahimi, S.K.; Otaigbe, J.U. The role of particle surface functionality and microstructure development in isothermal and non-isothermal crystallization behavior of polyamide 6/cellulose nanocrystals nanocomposites. Polymer 2016, 107, 316–331. [Google Scholar] [CrossRef]
- Wang, Z.; Hu, G.; Zhang, J.; Xu, J.; Shi, W. Non-isothermal crystallization kinetics of Nylon 10T and Nylon 10T/1010 copolymers: Effect of sebacic acid as a third comonomer. Chin. J. Chem. Eng. 2017, 25, 963–970. [Google Scholar] [CrossRef]
- Jariyavidyanont, K.; Janke, A.; Androsch, R. Crystal self-nucleation in polyamide 11. Thermochim. Acta 2019, 677, 139–143. [Google Scholar] [CrossRef]
- Liu, B.; Hu, G.; Zhang, J.; Wang, Z. The non-isothermal crystallization behavior of polyamide 6 and polyamide 6/HDPE/MAH/L-101 composites. J. Polym. Eng. 2019, 39, 124–133. [Google Scholar] [CrossRef]
- Liang, Z.; Pan, P.; Zhu, B.; Inoue, Y. Isomorphic Crystallization of Poly(hexamethylene adipate-co-butylene adipate): Regulating Crystal Modification of Polymorphic Polyester from Internal Crystalline Lattice. Macromolecules 2010, 43, 6429–6437. [Google Scholar] [CrossRef]







| Sample | FWHM a/° | 2θ/° | LHKLb/nm | |||||||
|---|---|---|---|---|---|---|---|---|---|---|
| α1 | α2 | γ | α1 | α2 | γ | α1 | α2 | γ | Avg. c | |
| PA6 | 0.938 | 1.081 | N/A | 19.9 | 23.7 | N/A | 8.50 | 7.42 | N/A | 7.96 |
| PA6-5 | 1.093 | 1.121 | N/A | 20.1 | 23.1 | N/A | 7.30 | 7.15 | N/A | 7.23 |
| PA6-10 | N/A | 1.143 | 1.512 | N/A | 22.4 | 21 | N/A | 7.01 | 5.28 | 6.15 |
| PA6-15 | N/A | N/A | 1.642 | N/A | N/A | 21.2 | N/A | N/A | 4.87 | 4.87 |
| Samples | Tc (°C) | n | K (min−n) | t0.5 (min) | G (min−1) |
|---|---|---|---|---|---|
| PA6 | 180 | 1.43 | 11.96 | 0.14 | 7.29 |
| 185 | 1.60 | 11.39 | 0.17 | 5.77 | |
| 190 | 1.96 | 9.38 | 0.26 | 3.78 | |
| 195 | 2.73 | 4.06 | 0.52 | 1.91 | |
| 200 | 3.27 | 0.20 | 1.47 | 0.68 | |
| PA6-5 | 135 | 1.68 | 6.37 | 0.27 | 3.74 |
| 140 | 1.98 | 4.71 | 0.38 | 2.64 | |
| 145 | 2.52 | 2.46 | 0.61 | 1.65 | |
| 150 | 3.05 | 0.56 | 1.07 | 0.93 | |
| 155 | 3.67 | 0.06 | 1.91 | 0.52 | |
| PA6-10 | 95 | 1.76 | 1.92 | 0.56 | 1.78 |
| 100 | 2.02 | 1.63 | 0.66 | 1.53 | |
| 105 | 2.26 | 1.18 | 0.79 | 1.26 | |
| 110 | 2.64 | 0.61 | 1.05 | 0.95 | |
| 115 | 2.90 | 0.27 | 1.38 | 0.72 | |
| PA6-15 | 135 | 1.68 | 3.02 | 0.42 | 2.41 |
| 140 | 1.88 | 2.74 | 0.48 | 2.08 | |
| 145 | 2.13 | 1.94 | 0.62 | 1.62 | |
| 150 | 2.32 | 1.08 | 0.82 | 1.21 | |
| 155 | 2.57 | 0.45 | 1.18 | 0.85 |
| Sample | ΔEa | Kg |
|---|---|---|
| (kJ mole−1) | (10−5 K2) | |
| PA6 | −240.61 | 11.60 |
| PA6-5 | −135.42 | 47.14 |
| PA6-10 | −49.17 | 56.66 |
| PA6-15 | −70.57 | 6.59 |
© 2020 by the authors. Licensee MDPI, Basel, Switzerland. This article is an open access article distributed under the terms and conditions of the Creative Commons Attribution (CC BY) license (http://creativecommons.org/licenses/by/4.0/).
Share and Cite
Chen, Y.-H.; Ranganathan, P.; Chen, C.-W.; Lee, Y.-H.; Rwei, S.-P. Effect of Bis (2-Aminoethyl) Adipamide/Adipic Acid Segment on Polyamide 6: Crystallization Kinetics Study. Polymers 2020, 12, 1067. https://doi.org/10.3390/polym12051067
Chen Y-H, Ranganathan P, Chen C-W, Lee Y-H, Rwei S-P. Effect of Bis (2-Aminoethyl) Adipamide/Adipic Acid Segment on Polyamide 6: Crystallization Kinetics Study. Polymers. 2020; 12(5):1067. https://doi.org/10.3390/polym12051067
Chicago/Turabian StyleChen, Yu-Hao, Palraj Ranganathan, Chin-Wen Chen, Yi-Huan Lee, and Syang-Peng Rwei. 2020. "Effect of Bis (2-Aminoethyl) Adipamide/Adipic Acid Segment on Polyamide 6: Crystallization Kinetics Study" Polymers 12, no. 5: 1067. https://doi.org/10.3390/polym12051067
APA StyleChen, Y.-H., Ranganathan, P., Chen, C.-W., Lee, Y.-H., & Rwei, S.-P. (2020). Effect of Bis (2-Aminoethyl) Adipamide/Adipic Acid Segment on Polyamide 6: Crystallization Kinetics Study. Polymers, 12(5), 1067. https://doi.org/10.3390/polym12051067

