Supramolecular Structure of Polypropylene Fibers Extruded with Addition of Functionalized Reduced Graphene Oxide
Abstract
1. Introduction
2. Materials and Methods
2.1. Preparation of Functionalized Reduced Grapheme Oxide
2.2. Formation of Polypropylene Fibers
2.3. Materials Characterization
2.3.1. Scanning Electron Microscopy
2.3.2. Fourier Transform Infrared Spectroscopy
2.3.3. Differential Scanning Calorimetry
2.3.4. Wide-Angle and Small-Angle X-ray Scattering
3. Results
3.1. Functionalized Reduced Graphene Oxide
3.1.1. Morphology
3.1.2. Chemical Structure
3.1.3. Nucleating Ability
3.2. Structure of Polypropylene Fiber
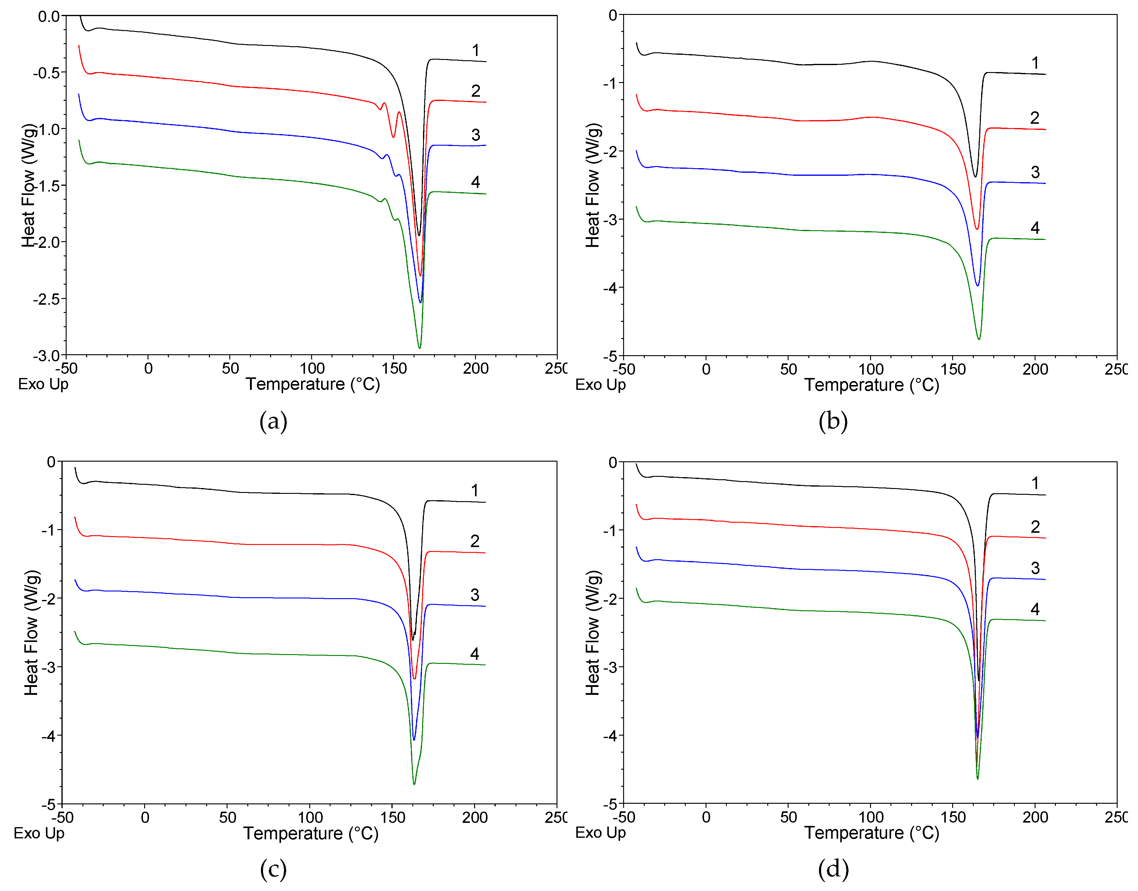
3.2.1. Differential Scanning Calorimetry (DSC)
3.2.2. Wide Angle X-Ray Scattering (WAXS)
3.2.3. Small Angle X-Ray Scattering (SAXS)
4. Discussion
5. Conclusions
Author Contributions
Funding
Conflicts of Interest
References
- Zhu, M.F.; Yang, H.H. Polypropylene Fibers. In Handbook of Fiber Chemistry, 3rd ed.; Lewin, M., Ed.; Taylor & Francis: Boca Raton, FL, USA, 2007; pp. 139–260. [Google Scholar]
- Marcincin, A. Modification of fiber-forming polymers by additives. Prog. Polym. Sci. 2002, 27, 853–913. [Google Scholar] [CrossRef]
- Marcincin, A. Dyeing of polypropylene fibers. In Polypropylene A-Z, 1st ed.; Karger-Kocsis, J., Ed.; Springer: Dordrecht, Germany, 1999; pp. 172–177. [Google Scholar]
- Bonkowski, J.E. Practical Approaches to the Light Stabilization of Polypropylene Multifilaments. Text. Res. J. 1969, 39, 243–247. [Google Scholar] [CrossRef]
- Tolinski, M. Additives for Polyolefins. Getting the Most Out of Polypropylene, Polyethylene and TPO; Elsevier: Amsterdam, The Netherlands, 2015. [Google Scholar]
- Long, J.; Li, S.; Liang, J.; Wang, Z.; Liang, B. Preparation and characterization of graphene oxide and it application as a reinforcement in polypropylene composites. Polym. Compos. 2019, 40, 723–729. [Google Scholar] [CrossRef]
- Sanes, J.; Sánchez, C.; Pamies, R.; Avilés, M.D.; Bermúdez, M.D. Extrusion of Polymer Nanocomposites with Graphene and Graphene Derivative Nanofillers: An Overview of Recent Developments. Materials 2020, 13, 549. [Google Scholar] [CrossRef]
- Castillo, J.; Lozano, T.; Garcia, R.; Morales-Zamudio, L.; López-Barroso, J.; Lafleur, P.G.; Karami, S.; Sanchez-Valdes, S.; Martinez-Colunga, G.; Rodriguez, F.; et al. Influence of graphene-based compounds on the mechanical toughness and thermal stability of polypropylene. J. Appl. Polym. Sci. 2020. [Google Scholar] [CrossRef]
- Shen, B.; Lu, D.; Zhai, W.; Zheng, W. Synthesis of graphene by low-temperature exfoliation and reduction of graphite oxide under ambient atmosphere. J. Mater. Chem. C 2013, 1, 50–53. [Google Scholar] [CrossRef]
- Tegou, E.; Pseiropoulos, G.; Filippidou, M.K.; Chatzandroulis, S. Low-temperature thermal reduction of graphene oxide films in ambient atmosphere: Infra-red spectroscopic studies and gas sensing applications. Microelectr. Eng. 2016, 159, 146–150. [Google Scholar] [CrossRef]
- Yun, Y.S.; Bae, Y.H.; Kim, D.H.; Lee, J.Y.; Chin, I.J.; Jin, H.J. Reinforcing effects of adding alkylated graphene oxide to polypropylene. Carbon 2011, 49, 3553–3559. [Google Scholar] [CrossRef]
- Wang, H.; Ren, P.G.; Chen, Y.H.; Yan, D.X.; Li, Z.M.; Xu, L. Effects of Dodecyl Amine Functionalized Graphene Oxide on the Crystallisation Behaviour of Isotactic Polypropylene. J. Appl. Polym. Sci. 2014, 131, 40000. [Google Scholar]
- Hidayah, N.M.S.; Wei-Wan, L.; Khe, C.S.; Lai, C.W.; Noriman, N.Z. Roles of linear alkyl chain alkylation on reinforcement of graphene based polypropylene nanocomposites. Mater. Today Commun. 2020, 22, 100775. [Google Scholar] [CrossRef]
- Meille, S.V.; Ferro, D.R.; Brückner, S.; Lovinger, A.; Padden, F.J. Structure of β-Isotactic Polypropylene: A Long-Standing Structural Puzzle. Macromolecules 1994, 27, 2615–2622. [Google Scholar] [CrossRef]
- Chen, X.; Wang, Y.; Wang, X.; Wu, Z. Study on the Formation of β-Crystalline from Isotactic Polypropylene Fiber. Int. Polym. Proc. 1991, 6, 337–341. [Google Scholar] [CrossRef]
- Broda, J. Polymorphism in Polypropylene Fibers. J. Appl. Polym. Sci. 2003, 89, 3364–3370. [Google Scholar] [CrossRef]
- Broda, J. Morphology of the noncoloured and coloured polypropylene fibers. Polymer 2003, 44, 1619–1629. [Google Scholar] [CrossRef]
- Broda, J. Polymorphic Composition of Colored Polypropylene Fibers. Cryst. Growth Des. 2004, 4, 1277–1282. [Google Scholar] [CrossRef]
- Varga, J. β-Modification of isotactic polypropylene: Preparation, structure, processing, properties, and application. J. Macromol. Sci. Part B 2002, 41, 1121–1171. [Google Scholar] [CrossRef]
- Papageorgiou, D.G.; Chrissafis, K.; Bikiaris, D.N. β-nucleated polypropylene: Processing, properties and nanocomposites. Polym. Rev. 2015, 55, 596–629. [Google Scholar] [CrossRef]
- Bo, Y.; Zhaoyi, H.; Lu, L.; Xingyue, S.; Zengheng, H. Effects of β-nucleating agent and graphene oxide on the crystallisation and polymorphic composition of isotactic polypropylene/graphene oxide composites for bridge pavement. J. Polym. Res. 2019, 26, 9. [Google Scholar] [CrossRef]
- Bao, R.Y.; Cao, J.; Liu, Z.Y.; Yang, W.; Xie, B.H.; Yang, M.B. Towards balanced strength and toughness improvement of isotactic polypropylene nanocomposites by surface functionalized graphene oxide. J. Mater. Chem. 2014, A2, 3190–3199. [Google Scholar] [CrossRef]
- Zhan, K.J.; Yang, W.; Yue, L.; Xie, B.H.; Yang, M.B. MWCNTs Supported N, N′-Dicyclohexyl-1, 5-diamino-2, 6-naphthalenedicarboxamide: A Novel β-Nucleating Agent for Polypropylene. J. Macromol. Sci. Part B 2012, 51, 2412–2427. [Google Scholar] [CrossRef]
- Shi, G.Y.; Zhang, X.D. Effect of ββ-nucleator content on the crystallization and melting behaviour of β-crystalline phase polypropylene. Thermochim. Acta 1992, 205, 235–243. [Google Scholar] [CrossRef]
- Shi, G.Y.; Zhang, X.D.; Cao, Y.H.; Hong, J. Melting behaviour and crystalline order of β-crystalline phase poly (propylene). Macromol. Chem. Phys. 1993, 194, 269–277. [Google Scholar] [CrossRef]
- Dou, Q. Effect of metallic salts of pimelic acid and crystallization temperatures on the formation of β-crystalline form in isotactic poly (propylene). J. Macromol. Sci. Part B 2007, 46, 1063–1080. [Google Scholar] [CrossRef]
- Dou, Q. A Comparison of the Effects of Calcium Glutarate and Pimelate on the Formation of β Crystalline Form in Isotactic Poly (propylene). J. Macromol. Sci. Part B 2007, 47, 127–138. [Google Scholar] [CrossRef]
- Dou, Q.; Lu, Q.L.; Li, H.D. Effect of Metallic Salts of Glutaric Acid on the Formation of β-crystalline form in Isotactic Polypropylene. J. Elastom. Plast. 2009, 41, 509–522. [Google Scholar] [CrossRef]
- Dou, Q. Effect of calcium salts of aliphatic dicarboxylic acids on the formation of β crystalline form in isotactic poly (propylene). Adv. Mater. Res. 2012, 391, 875–882. [Google Scholar] [CrossRef]
- Li, Y.X.; Cheung, W.L. Pimelic Acid-Based Nucleating Agents for Hexagonal Crystalline Polypropylene. J. Vinyl Addit. Technol. 1997, 3, 151–156. [Google Scholar] [CrossRef]
- Ren, X.Q.; Zhang, Y.F. Effects of different metal salts of aliphatic dicarboxylic acids on the formation of β-crystalline form in isotactic polypropylene. J. Therm. Anal. Calorim. 2019, 137, 563–573. [Google Scholar] [CrossRef]
- Li, X.; Hu, K.; Ji, M.; Huang, Y.; Zhou, G. Calcium dicarboxylates nucleation of ββ-polypropylene. J. Appl. Polym. Sci. 2002, 86, 633–638. [Google Scholar] [CrossRef]
- Zhang, Y.F.; Lin, X.F.; Chen, S. Preparation and nucleation effect of a novel compound nucleating agent carboxylated graphene/calcium pimelate for isotactic polypropylene. J. Therm. Anal. Calor. 2019, 136, 2363–2371. [Google Scholar] [CrossRef]
- Anastacio-Lopez, Z.S.; Gonzalez-Calderon, J.A.; Saldivar-Guerrero, R.; Velasco-Santos, C.; Martınez-Hernandez, A.L.; Carlos Fierro-Gonzalez, J.; Almendarez-Camarillo, A. Modification of graphene oxide to induce beta crystals in isotactic polypropylene. J. Mater. Sci. 2019, 54, 427–443. [Google Scholar] [CrossRef]
- Broda, J.; Baczek, M.; Fabia, J.; Binias, D.; Fryczkowski, R. Nucleating agents based on graphene and graphene oxide for crystallization of the β-form of isotactic polypropylene. J. Mater. Sci. 2020, 55, 1436–1450. [Google Scholar] [CrossRef]
- Broda, J.; Baczek, M.; Fabia, J.; Fryczkowski, R. Supramolecular structure of polypropylene fibers formed with addition of functionalised graphene oxide. Text. Res. J. 2020, in press. [Google Scholar]
- Hummers, W.S.; Offeman, R.E. Preparation of graphitic oxide. J. Am. Chem. Soc. 1958, 80, 1339. [Google Scholar] [CrossRef]
- Sieradzka, M.; Fryczkowski, R.; Binias, D.; Binias, W.; Janicki, J. A facile approach to obtaining PVDF/graphene fibers and the effect of nanoadditive on the structure and properties of nanocomposites. Polym. Test. 2020, 81, 106229. [Google Scholar] [CrossRef]
- Blaine, R.L. Polymer Heats of Usion. Available online: http://www.tainstruments.com/pdf/literature/TN048.pdf (accessed on 12 September 2019).
- Lezak, E.; Bartczak, Z. Experimental study of the formation of the αβ-and βγ-phase isotactic polypropylene and estimation of the phase composition by wide-angle X-ray scattering. Fibres Text. East. Eur. 2005, 13, 51–56. [Google Scholar]
- Rabiej, M.; Rabiej, S. Analysis of Synchrotron WAXD Curves of Semicrystalline Polymers by Means of the Optifit Computer Program. Fibres Text. East. Eur. 2005, 13, 75–78. [Google Scholar]
- Rabiej, M. Application of multicriterial optimization for determination of crystallinity degree of semicrystalline polymers. Polimery 2017, 62, 821–833. [Google Scholar] [CrossRef]
- Turner Jones, A.; Aizlewood, J.M.; Beckett, D.R. Crystalline forms of isotactic polypropylene. Makromol. Chem. 1964, 75, 134–158. [Google Scholar] [CrossRef]
- Strobl, G.; Schneider, M. Direct evaluation of the electron density correlation function of partially crystalline polymers. J. Polym. Sci. Polym. Phys. Ed. 1980, 18, 1343–1359. [Google Scholar] [CrossRef]
- Slusarczyk, C. Time-resolved SAXS investigations of morphological changes in a blend of linear and branched polyethylenes during crystallization and subsequent melting. J. Alloy. Comp. 2004, 382, 68–74. [Google Scholar] [CrossRef]
- Slusarczyk, C. Structure development during isothermal crystallization of high-density polyethylene: Synchrotron small-angle X-ray scattering study. Radiat. Phys. Chem. 2013, 93, 104–110. [Google Scholar] [CrossRef]
- Al-Gaashani, R.; Najjar, A.; Zakaria, Y.; Mansour, S.; Atieh, M.A. XPS and structural studies of high quality graphene e oxide and reduced graphene oxide prepared by different chemical oxidation methods. Ceram. Intern. 2019, 45, 14439–14448. [Google Scholar] [CrossRef]
- Wijaya, R.; Andersan, G.; Santoso, S.P.; Irawaty, W. Green Reduction of Graphene Oxide using Kaffir Lime Peel Extract (Citrus hystrix) and Its Application as Adsorbent for Methylene Blue. Sci. Rep. 2020, 10, 667. [Google Scholar] [CrossRef] [PubMed]
- Poggi, G.; Toccafondi, N.; Chelazzi, D.; Canton, P.; Giorgi, R.; Baglioni, P. Calcium hydroxide nanoparticles from solvothermal reaction for the deacidification of degraded waterlogged wood. J. Colloid Interface Sci. 2016, 473, 1–8. [Google Scholar] [CrossRef] [PubMed]
- Broda, J. Nucleating Activity of the Quinacridone and Phthalocyanine Pigments in Polypropylene Crystallization. J. Appl. Polym. Sci. 2003, 90, 3957–3964. [Google Scholar] [CrossRef]
- Zhang, Y.F.; Li, D.; Chen, Q.J. Preparation and nucleation effects of nucleating agent hexahydrophthalic acid metal salts for isotactic polypropylene. Colloid Polym. Sci. 2017, 295, 1973–1982. [Google Scholar] [CrossRef]
- An, Y.; Wang, S.; Li, R.; Shi, D.; Gao, Y.; Song, L. Effect of different nucleating agent on crystallization kinetics and morphology of polypropylene. E-Polymers 2019, 19, 32–39. [Google Scholar] [CrossRef]
- Sara, A.; Arvidson, S.A.; Khan, S.A.; Gorga, R.E. Mesomorphic-α-Monoclinic Phase Transition in Isotactic Polypropylene: A Study of Processing Effects on Structure and Mechanical Properties. Macromolecules 2010, 43, 2916–2924. [Google Scholar]











| Element Content | |||
|---|---|---|---|
| C [%] | O [%] | Ca [%] | |
| graphite | 100 | - | - |
| GO | 53.5 | 46.5 | - |
| rGO | 75.8 | 24.2 | - |
| rGO-CP | 74.3 | 23.2 | 2.5 |
| Sample | Temperature of Crystallization | Temperature of Nucleation | Half-width of the Crystallization Peak | Enthalpy of Crystallization |
|---|---|---|---|---|
| Tc [°C] | Tc ON SET [°C] | ΔTc(0,5H) [°C] | ΔHc [J/g] | |
| iPP 100% | 115.1 | 122.8 | 6.4 | 114.90 |
| iPP + rGO-CP (0.1 wt.%) | 126.8 | 128.5 | 4.4 | 108.04 |
| iPP + rGO-CP (0.5 wt.%) | 129.0 | 132.0 | 5.1 | 107.89 |
| iPP + rGO-CP (1.0 wt.%) | 125.5 | 127.5 | 3.7 | 98.63 |
| Sample | Temp. Of Melting β-iPP | Enthalpy of Melting β-iPP | Temp. of Melting α-iPP | Enthalpy of Melting α-iPP | Total Degree of Crystall. | |
|---|---|---|---|---|---|---|
| Tm1β [°C] | Tm2β [°C] | ΔHm β [J/g] | Tmα [°C] | ΔHm α [J/g] | κ DSC [%] | |
| iPP 100% | –– | –– | –– | 165.6 | 97.54 | 47.1 |
| iPP + rGO-CP (0.1 wt.%) | 141.7 | 150.0 | 20.45 | 166.3 | 82.63 | 50.3 |
| iPP + rGO-CP (0.5 wt.%) | 141.9 | 150.7 | 21.88 | 167.2 | 82.59 | 51.2 |
| iPP + rGO-CP (1.0 wt.%) | 142.9 | 151.5 | 23.36 | 166.4 | 86.21 | 54.0 |
| Take-up Velocity [m/min] | Sample | Temp. of Recrystall. Mesophase | Enthalpy of Recrystall. Mesophase | Temp. of Melting | Enthalpy of Melting | Total Degree of Crystall. |
|---|---|---|---|---|---|---|
| Tm m [°C] | ΔHm m [J/g] | Tm [°C] | ΔHm [J/g] | κ DSC [%] | ||
| iPP 100% | 102.3 | 19.26 | 163.8 | 96.76 | 46.7 | |
| iPP + rGO-CP (0.1 wt.%) | 103.4 | 18.84 | 164.9 | 96.61 | 46.7 | |
| 50 | iPP + rGO-CP (0.5 wt.%) | 102.3 | 12.31 | 165.2 | 96.08 | 46.8 |
| iPP + rGO-CP (1.0 wt.%) | 102.4 | 5.13 | 166.0 | 96.14 | 46.9 | |
| iPP 100% | 124.2 | 9.64 | 162.5 | 101.77 | 49.2 | |
| iPP + rGO-CP (0.1 wt.%) | 123.0 | 11.11 | 163.3 | 100.60 | 48.7 | |
| 200 | iPP + rGO-CP (0.5 wt.%) | 125.5 | 11.80 | 163.3 | 96.08 | 46.6 |
| iPP + rGO-CP (1.0 wt.%) | 126.7 | 12.49 | 163.4 | 94.91 | 46.3 |
| Sample of Fibers | Temp. of Melting | Enthalpy of Melting | Total Degree of Crystall. |
|---|---|---|---|
| Tm [°C] | ΔHm [J/g] | κ DSC [%] | |
| iPP 100% | 162.5 | 101.77 | 49.2 |
| iPP + rGO-CP (0.1 wt.%) | 163.3 | 100.60 | 48.6 |
| iPP + rGO-CP (0.5 wt.%) | 163.3 | 99.41 | 48.0 |
| iPP + rGO-CP (1.0 wt.%) | 163.4 | 99.97 | 48.3 |
| Take-Up Velocity [m/min] | rGO-CP Content [wt.%] | Content of Ordered Phase κWAXS [%] | Kβ [ - ] |
|---|---|---|---|
| Gravityspun | 0 | 47.5 | - |
| 0.1 | 49.7 | 0.67 | |
| 0.5 | 50.9 | 0.28 | |
| 1 | 54.3 | 0.31 | |
| 50 | 0 | 47.0 | - |
| 0.1 | 47.1 | - | |
| 0.5 | 47.3 | - | |
| 1 | 47.4 | 0.09 | |
| 200 | 0 | 49.5 | - |
| 0.1 | 49.1 | - | |
| 0.5 | 47.1 | - | |
| 1 | 46.8 | - | |
| 800 | 0 | 50.6 | - |
| 0.1 | 50.4 | - | |
| 0.5 | 50.3 | - | |
| 1 | 50.2 | - |
| Take-up Velocity [m/min.] | rGO-CP Content [%] | L [nm] | lC [nm] | lA [nm] |
| gravity spun | 0 | 11.6 | 2.9 | 8.7 |
| 0.1 | 13.1 | 3.4 | 9.7 | |
| 0.5 | 13.4 | 3.6 | 9.8 | |
| 1 | 13.3 | 3.5 | 9.8 | |
| 50 | 0 | 9.2 | 2.6 | 6.6 |
| 0.1 | 9.1 | 2.7 | 6.4 | |
| 0.5 | 10.4 | 2.8 | 7.6 | |
| 1 | 10.7 | 2.9 | 7.8 | |
| 200 | 0 | 10.4 | 2.9 | 7.5 |
| 0.1 | 10.4 | 2.9 | 7.5 | |
| 0.5 | 10.6 | 3.0 | 7.6 | |
| 1 | 10.7 | 3.0 | 7.7 | |
| 800 | 0 | 11.8 | 4.0 | 7.8 |
| 0.1 | 11.7 | 3.4 | 8.3 | |
| 0.5 | 11.5 | 3.1 | 8.4 | |
| 1 | 11.1 | 3.0 | 8.1 |
© 2020 by the authors. Licensee MDPI, Basel, Switzerland. This article is an open access article distributed under the terms and conditions of the Creative Commons Attribution (CC BY) license (http://creativecommons.org/licenses/by/4.0/).
Share and Cite
Broda, J.; Fabia, J.; Bączek, M.; Ślusarczyk, C. Supramolecular Structure of Polypropylene Fibers Extruded with Addition of Functionalized Reduced Graphene Oxide. Polymers 2020, 12, 910. https://doi.org/10.3390/polym12040910
Broda J, Fabia J, Bączek M, Ślusarczyk C. Supramolecular Structure of Polypropylene Fibers Extruded with Addition of Functionalized Reduced Graphene Oxide. Polymers. 2020; 12(4):910. https://doi.org/10.3390/polym12040910
Chicago/Turabian StyleBroda, Jan, Janusz Fabia, Marcin Bączek, and Czesław Ślusarczyk. 2020. "Supramolecular Structure of Polypropylene Fibers Extruded with Addition of Functionalized Reduced Graphene Oxide" Polymers 12, no. 4: 910. https://doi.org/10.3390/polym12040910
APA StyleBroda, J., Fabia, J., Bączek, M., & Ślusarczyk, C. (2020). Supramolecular Structure of Polypropylene Fibers Extruded with Addition of Functionalized Reduced Graphene Oxide. Polymers, 12(4), 910. https://doi.org/10.3390/polym12040910

