The Formation of a Highly Oriented Structure and Improvement of Properties in PP/PA6 Polymer Blends during Extrusion-Stretching
Abstract
1. Introduction
2. Materials and Methods
2.1. Materials and Sample Preparation
2.2. Characterizations
3. Results and Discussion
3.1. Phase Morphology Development
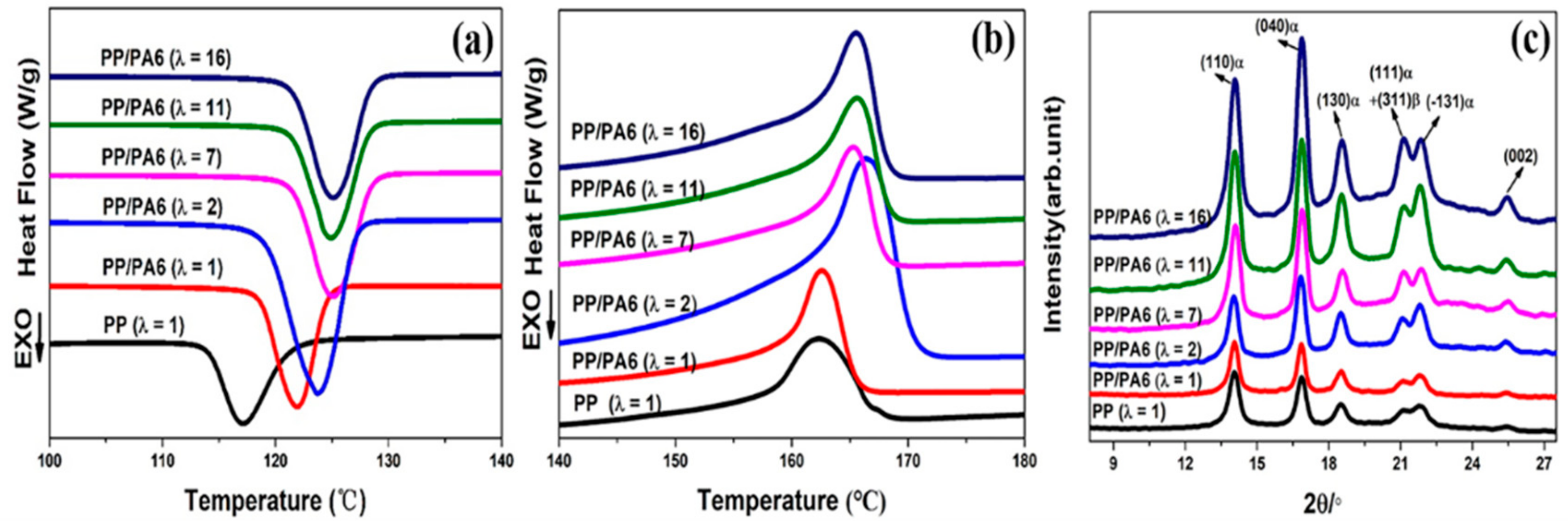
3.2. Crystallization Behavior
3.3. Rheological and Oxygen Barrier Properties
4. Conclusions
Supplementary Materials
Author Contributions
Funding
Acknowledgments
Conflicts of Interest
References
- Li, H.; Xie, X.-M. Morphology development and superior mechanical properties of PP/PA6/SEBS ternary blends compatibilized by using a highly efficient multi-phase compatibilizer. Polymer 2017, 108, 1–10. [Google Scholar] [CrossRef]
- Nonato, R.C.; Bonse, B.C. A study of PP/PET composites: Factorial design, mechanical and thermal properties. Polym. Test. 2016, 56, 167–173. [Google Scholar] [CrossRef]
- Xie, L.; Xu, H.; Niu, B.; Ji, X.; Chen, J.; Li, Z.M.; Hsiao, B.S.; Zhong, G.J. Unprecedented Access to Strong and Ductile Poly(lactic acid) by Introducing In Situ Nanofibrillar Poly(butylene succinate) for Green Packaging. Biomacromolecules 2014, 15, 4054–4064. [Google Scholar] [CrossRef]
- Gao, W.L.; Shen, J.B.; Guo, S.Y. Effects of layer-multiplying process on conducting properties of multilayer composites consisting of alternating layers of carbon black/polypropylene and polyamide 6/polypropylene. Polym. Eng. Sci. 2014, 54, 1471–1476. [Google Scholar] [CrossRef]
- Liu, Y.D.; Kumar, S. Polymer/Carbon Nanotube Nano Composite Fibers-A Review. ACS Appl. Mater. Interfaces 2014, 6, 6069–6087. [Google Scholar] [CrossRef]
- Ramirez-Arreola, D.; Robledo-Ortiz, J.; Moscoso, F.; Gonzalez-Nunez, R.; Rodrigue, D. Fiber-particle morphological transition and its effect on impact strength of PS/HDPE blends. Polym. Eng. Sci. 2008, 48, 1600–1607. [Google Scholar] [CrossRef]
- Thieme, M.; Boehm, R.; Gude, M.; Hufenbach, W. Probabilistic failure simulation of glass fibre reinforced weft-knitted thermoplastics. Compos. Sci. Technol. 2014, 90, 25–31. [Google Scholar] [CrossRef]
- Wang, K.; Guo, M.; Zhao, D.G.; Zhang, Q.; Du, R.N.; Fu, Q.; Dong, X.; Han, C.C. Facilitating transcrystallization of polypropylene/glass fiber composites by imposed shear during injection molding. Polymer 2006, 47, 8374–8379. [Google Scholar] [CrossRef]
- Larin, B.; Avila-Orta, C.A.; Somani, R.H.; Hsiao, B.S.; Marom, G. Combined effect of shear and fibrous fillers on orientation-induced crystallization in discontinuous aramid fiber/isotactic polypropylene composites. Polymer 2008, 49, 295–302. [Google Scholar] [CrossRef]
- Knob, A.; Lukes, J.; Drzal, L.; Cech, V. Further Progress in Functional Interlayers with Controlled Mechanical Properties Designed for Glass Fiber/Polyester Composites. Fibers 2018, 6, 58. [Google Scholar] [CrossRef]
- Iwamoto, S.; Yamamoto, S.; Lee, S.-H.; Endo, T. Mechanical properties of polypropylene composites reinforced by surface-coated microfibrillated cellulose. Compos. Part A Appl. Sci. Manuf. 2014, 59, 26–29. [Google Scholar] [CrossRef]
- Kim, S.-H.; Kim, E.-S.; Choi, K.; Cho, J.K.; Sun, H.; Yoo, J.W.; Park, I.-K.; Lee, Y.; Choi, H.R.; Kim, T. Rheological and mechanical properties of polypropylene composites containing microfibrillated cellulose (MFC) with improved compatibility through surface silylation. Cellulose 2019, 26, 1085–1097. [Google Scholar] [CrossRef]
- Lepetit, A.; Drolet, R.; Tolnai, B.; Montplaisir, D.; Zerrouki, R. Alkylation of microfibrillated cellulose–A green and efficient method for use in fiber-reinforced composites. Polymer 2017, 126, 48–55. [Google Scholar] [CrossRef]
- Suzuki, K.; Sato, A.; Okumura, H.; Hashimoto, T.; Nakagaito, A.N.; Yano, H. Novel high-strength, micro fibrillated cellulose-reinforced polypropylene composites using a cationic polymer as compatibilizer. Cellulose 2014, 21, 507–518. [Google Scholar] [CrossRef]
- Cozzolino, C.A.; Campanella, G.; Türe, H.; Olsson, R.T.; Farris, S. Microfibrillated cellulose and borax as mechanical, O2-barrier, and surface-modulating agents of pullulan biocomposite coatings on BOPP. Carbohydr. Polym. 2016, 143, 179–187. [Google Scholar] [CrossRef]
- Shields, R.; Bhattacharyya, D.; Fakirov, S. Fibrillar polymer–polymer composites: Morphology, properties and applications. J. Mater. Sci. 2008, 43, 6758–6770. [Google Scholar] [CrossRef]
- Fakirov, S.; Evstatiev, M. Microfibrillar reinforced composites—New materials from polymer blends. Adv. Mater. 1994, 6, 395–398. [Google Scholar] [CrossRef]
- Fakirov, S. Nano-/microfibrillar polymer–polymer and single polymer composites: The converting instead of adding concept. Compos. Sci. Technol. 2013, 89, 211–225. [Google Scholar] [CrossRef]
- Zhang, C.-L.; Li, C.; Wang, L.; Feng, L.-F.; Lin, T. Dual effects of compatibilizer on the formation of oriented ribbon-like dispersed phase domains in polystyrene/polyamide 6 blends. Chem. Eng. Sci. 2018, 178, 146–156. [Google Scholar] [CrossRef]
- Jayanarayanan, K.; Jose, T.; Thomas, S.; Joseph, K. Effect of draw ratio on the microstructure, thermal, tensile and dynamic rheological properties of insitu microfibrillar composites. Eur. Polym. J. 2009, 45, 1738–1747. [Google Scholar] [CrossRef]
- Wang, L.; Feng, L.-F.; Gu, X.-P.; Zhang, C.-L. Influences of the viscosity ratio and processing conditions on the formation of highly oriented ribbons in polymer blends by tape extrusion. Ind. Eng. Chem. Res. 2015, 54, 11080–11086. [Google Scholar] [CrossRef]
- Yi, X.; Xu, L.; Wang, Y.L.; Zhong, G.J.; Ji, X.; Li, Z.M. Morphology and properties of isotactic polypropylene/poly(ethylene terephthalate) in situ microfibrillar reinforced blends: Influence of viscosity ratio. Eur. Polym. J. 2010, 46, 719–730. [Google Scholar] [CrossRef]
- Jiang, Y.; Mi, D.; Wang, Y.; Wang, T.; Shen, K.; Zhang, J. Insight into Understanding the Influence of Blending Ratio on the Structure and Properties of High-Density Polyethylene/Polystyrene Microfibril Composites Prepared by Vibration Injection Molding. Ind. Eng. Chem. Res. 2018, 58, 1190–1199. [Google Scholar] [CrossRef]
- Li, Z.; Li, X.; Sun, C.; Shi, Y.; Zhang, Q.; Fu, Q. Effect of nanoparticles on fibril formation and mechanical performance of olefinic block copolymer (OBC)/polypropylene (PP) microfibrillar composites. RSC Adv. 2016, 6, 86520–86530. [Google Scholar] [CrossRef]
- Rizvi, A.; Park, C.B.; Favis, B.D. Tuning viscoelastic and crystallization properties of polypropylene containing in-situ generated high aspect ratio polyethylene terephthalate fibrils. Polymer 2015, 68, 83–91. [Google Scholar] [CrossRef]
- Huang, Y.; He, Y.; Ding, W.; Yang, K.; Yu, D.; Xin, C. Improved viscoelastic, thermal, and mechanical properties of in situ microfibrillar polypropylene/polyamide 6, 6 composites via direct extrusion using a triple-screw extruder. RSC Adv. 2017, 7, 5030–5038. [Google Scholar] [CrossRef]
- Cheng, L.; Wang, J. Crystallization and morphological and crystal structures of PP in an in situ microfibrillar composite of modified PA66 with PP. Compos. Sci. Technol. 2018, 155, 205–212. [Google Scholar] [CrossRef]
- Zhong, G.-J.; Li, L.; Mendes, E.; Byelov, D.; Fu, Q.; Li, Z.-M. Suppression of skin− core structure in injection-molded polymer parts by in situ incorporation of a microfibrillar network. Macromolecules 2006, 39, 6771–6775. [Google Scholar] [CrossRef]
- Li, Z.M.; Lu, A.; Lu, Z.Y.; Shen, K.Z.; Li, L.B.; Yang, M.B. In-situ microfibrillar PET/iPP blend via a slit die extrusion, hot stretching and quenching process: Influences of PET concentration on morphology and crystallization of iPP at a fixed hot stretching ratio. J. Macromol. Sci. Part B Phys. 2005, 44, 203–216. [Google Scholar] [CrossRef]
- Fakirov, S.; Bhattacharyya, D.; Shields, R. Nanofibril reinforced composites from polymer blends. Colloids Surf. Physicochem. Eng. Aspects 2008, 313, 2–8. [Google Scholar] [CrossRef]
- Friedrich, K.; Evstatiev, M.; Fakirov, S.; Evstatiev, O.; Ishii, M.; Harrass, M. Microfibrillar reinforced composites from PET/PP blends: Processing, morphology and mechanical properties. Compos. Sci. Technol. 2005, 65, 107–116. [Google Scholar] [CrossRef]
- Xia, X.-C.; Yang, W.; Zhang, Q.-P.; Wang, L.; He, S.; Yang, M.-B. Large scale formation of various highly oriented structures in polyethylene/polycarbonate microfibril blends subjected to secondary melt flow. Polymer 2014, 55, 6399–6408. [Google Scholar] [CrossRef]
- Zhao, Z.; Yang, Q.; Gong, P.; Sun, H.; Wu, P.; Huang, Y.; Liao, X. Effects of Process Temperatures on the Flow-Induced Crystallization of Isotactic Polypropylene/Poly (ethylene terephthalate) Blends in Microinjection Molding. Ind. Eng. Chem. Res. 2017, 56, 9467–9477. [Google Scholar] [CrossRef]
- Kuzmanović, M.; Delva, L.; Mi, D.; Martins, C.; Cardon, L.; Ragaert, K. Development of crystalline morphology and its relationship with mechanical properties of PP/PET microfibrillar composites containing POE and POE-g-MA. Polymers 2018, 10, 291. [Google Scholar] [CrossRef]
- Delaby, I.; Ernst, B.; Germain, Y.; Muller, R. Droplet deformation in polymer blends during uniaxial elongational flow: Influence of viscosity ratio for large capillary numbers. J. Rheol. 1994, 38, 1705–1720. [Google Scholar] [CrossRef]
- Kakroodi, A.R.; Kazemi, Y.; Rodrigue, D.; Park, C.B. Facile production of biodegradable PCL/PLA in situ nanofibrillar composites with unprecedented compatibility between the blend components. Chem. Eng. J. 2018, 351, 976–984. [Google Scholar] [CrossRef]
- Nobbs, J.; Bower, D.; Ward, I. A study of molecular orientation in drawn and shrunk poly (ethylene terephthalate) by means of birefringence, polarized fluorescence and X-ray diffraction measurements. Polymer 1976, 17, 25–36. [Google Scholar] [CrossRef]
- Jiang, Z.; Tang, Y.; Men, Y.; Enderle, H.-F.; Lilge, D.; Roth, S.V.; Gehrke, R.; Rieger, J. Structural evolution of tensile-deformed high-density polyethylene during annealing: Scanning synchrotron small-angle X-ray scattering study. Macromolecules 2007, 40, 7263–7269. [Google Scholar] [CrossRef]
- Ji, H.J.; Zhou, X.L.; Chen, X.; Zhao, H.L.; Wang, Y.; Zhu, H.H.; Shan, X.L.; Sha, J.; Ma, Y.L.; Xie, L.S. Effects of Solid-State Stretching on Microstructure Evolution and Physical Properties of Isotactic Polypropylene Sheets. Polymers 2019, 11, 618. [Google Scholar] [CrossRef]
- Avrami, M. Kinetics of phase change. II transformation-time relations for random distribution of nuclei. J. Chem. Phys. 1940, 8, 212–224. [Google Scholar] [CrossRef]
- Rosehr, A.; Griebe, D.; Luinstra, G. Graphite nanosheets-polypropylene composites from in toluene delaminated graphite using atactic polypropylene as dispersant. Compos. Sci. Technol. 2018, 156, 28–38. [Google Scholar] [CrossRef]
- Rizvi, A.; Andalib, Z.K.; Park, C.B. Fiber-spun polypropylene/polyethylene terephthalate microfibrillar composites with enhanced tensile and rheological properties and foaming ability. Polymer 2017, 110, 139–148. [Google Scholar] [CrossRef]
- Kakroodi, A.R.; Kazemi, Y.; Nofar, M.; Park, C.B. Tailoring poly (lactic acid) for packaging applications via the production of fully bio-based in situ microfibrillar composite films. Chem. Eng. J. 2017, 308, 772–782. [Google Scholar] [CrossRef]









| Sample | T0(°C) | Tp(°C) | Tm(°C) | Xc(%) |
|---|---|---|---|---|
| PP(λ = 1) | 121.2 | 117.2 | 162.3 | 37.70 |
| PP/PA6(λ = 1) | 124.5 | 121.9 | 162.6 | 36.40 |
| PP/PA6(λ = 2) | 127.5 | 123.2 | 166.4 | 41.64 |
| PP/PA6(λ = 7) | 128.0 | 124.5 | 165.3 | 41.08 |
| PP/PA6(λ = 11) | 128.4 | 125.1 | 165.6 | 42.20 |
| PP/PA6(λ = 16) | 128.4 | 125.3 | 165.5 | 43.62 |
© 2020 by the authors. Licensee MDPI, Basel, Switzerland. This article is an open access article distributed under the terms and conditions of the Creative Commons Attribution (CC BY) license (http://creativecommons.org/licenses/by/4.0/).
Share and Cite
Wang, Y.; Sun, W.; Liu, S.; Ji, H.; Chen, X.; Zhu, H.; Zhao, H.; Ma, Y.; Xie, L. The Formation of a Highly Oriented Structure and Improvement of Properties in PP/PA6 Polymer Blends during Extrusion-Stretching. Polymers 2020, 12, 878. https://doi.org/10.3390/polym12040878
Wang Y, Sun W, Liu S, Ji H, Chen X, Zhu H, Zhao H, Ma Y, Xie L. The Formation of a Highly Oriented Structure and Improvement of Properties in PP/PA6 Polymer Blends during Extrusion-Stretching. Polymers. 2020; 12(4):878. https://doi.org/10.3390/polym12040878
Chicago/Turabian StyleWang, Yu, Wenjie Sun, Song Liu, Huajian Ji, Xin Chen, Huihao Zhu, Haili Zhao, Yulu Ma, and Linsheng Xie. 2020. "The Formation of a Highly Oriented Structure and Improvement of Properties in PP/PA6 Polymer Blends during Extrusion-Stretching" Polymers 12, no. 4: 878. https://doi.org/10.3390/polym12040878
APA StyleWang, Y., Sun, W., Liu, S., Ji, H., Chen, X., Zhu, H., Zhao, H., Ma, Y., & Xie, L. (2020). The Formation of a Highly Oriented Structure and Improvement of Properties in PP/PA6 Polymer Blends during Extrusion-Stretching. Polymers, 12(4), 878. https://doi.org/10.3390/polym12040878

