Preparation and Properties of Stereocomplex of Poly(lactic acid) and Its Amphiphilic Copolymers Containing Glucose Groups
Abstract
1. Introduction
2. Materials and Methods
2.1. Materials
2.2. Characterization Methods
2.3. Synthesis of Poly(l-lactic acid)
2.4. Synthesis of Poly(d-lactic acid-co-glucose) Copolymer
2.5. Preparation of Stereocomplex of Poly(lactic acid) with Glucose Groups
3. Results and Discussion
3.1. Characterization of PDLAG
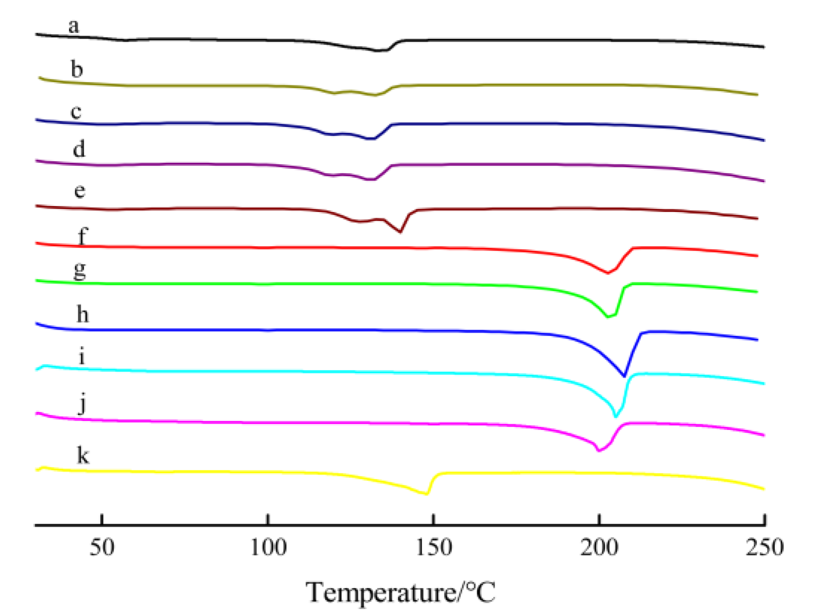
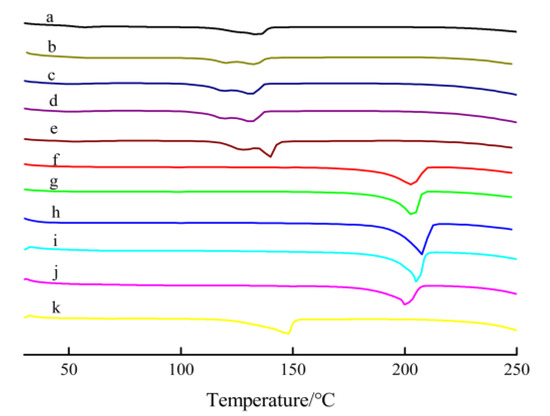
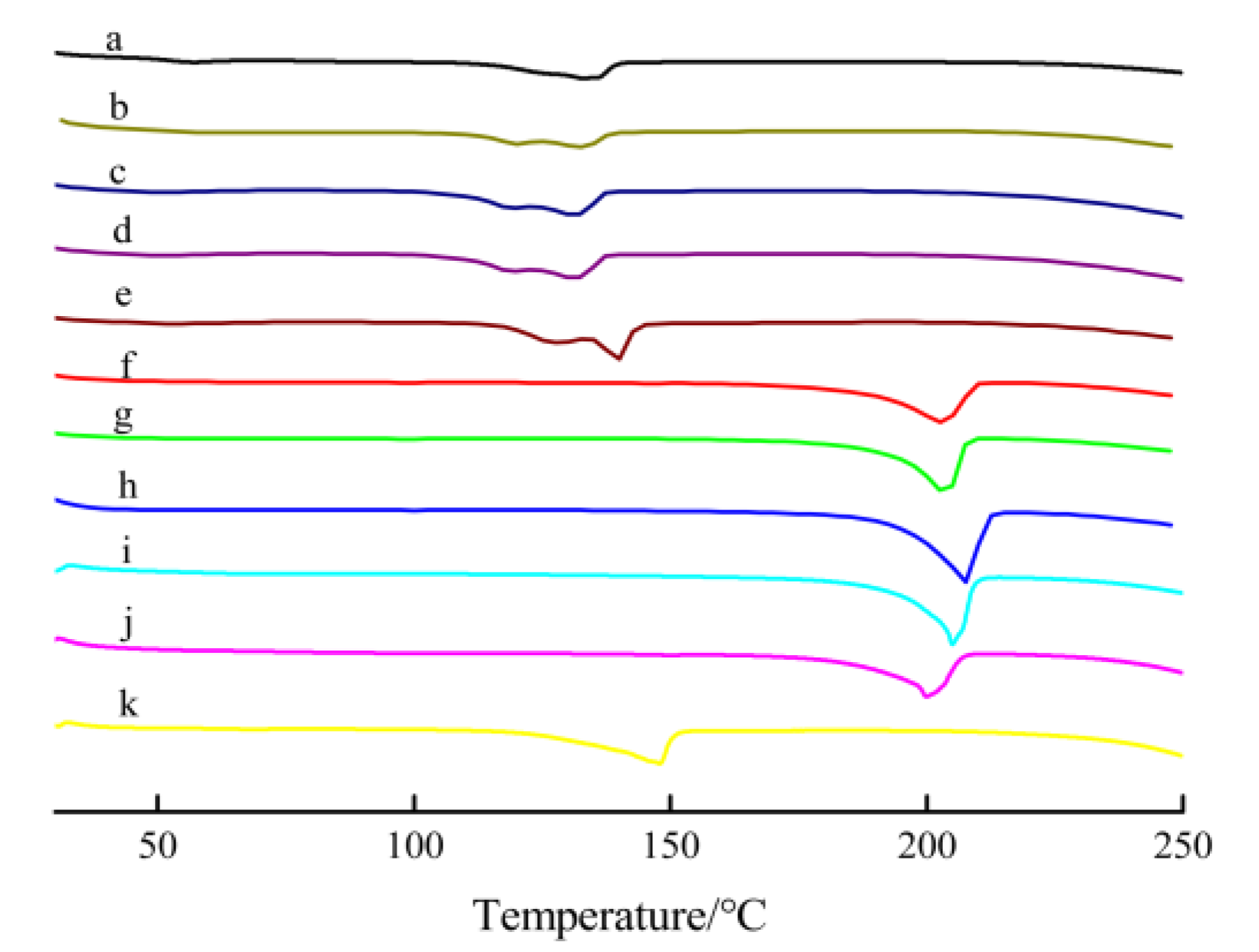
3.2. DSC Analysis of sc-PLAG Thermal Properties and Crystal Structure
3.3. XRD Analysis of sc-PLGA Crystal Structure
3.4. FI-IR Analysis of the Effect of Glucose Groups on sc-PLAG
3.5. TGA Analysis of the Thermal Properties of sc-PLAG
3.6. POM Analysis of Crystal Morphology
3.7. TEM and SEM Analysis of Sample Morphology
3.8. Hydrophilic Analysis of sc-PLAG
4. Conclusions
Author Contributions
Funding
Acknowledgments
Conflicts of Interest
References
- Hardianti, D.; Hidayat, N.; Kurniawan, R. Study of Nano-Hydroxyapatite:Poly Lactide Acid (n-HA:PLA) Composites and Their Biocompatibility, Bioactivity, and Biodegradability Characteristics. IOP Conf. Ser. Mater. Sci. Eng. 2019, 515, 012034. [Google Scholar]
- Liu, Y.; Zhan, Z.; Ye, H.; Lin, X.; Yan, Y.; Zhang, Y. Accelerated biodegradation of PLA/PHB-blended nonwovens by a microbial community. RSC Adv. 2019, 9, 10386–10394. [Google Scholar] [CrossRef]
- Scaffaro, R.; Lopresti, F.; Botta, L. PLA based biocomposites reinforced with Posidonia oceanica leaves. Compos. Part B Eng. 2018, 139, 1–11. [Google Scholar] [CrossRef]
- Anderson, J.M.; Shive, M.S. Biodegradation and biocompatibility of PLA and PLGA microspheres. Adv. Drug Deliv. Rev. 2012, 64, 72–82. [Google Scholar] [CrossRef]
- Arpagaus, C. PLA/PLGA nanoparticles prepared by nano spray drying. J. Pharm. Investig. 2019, 49, 405–426. [Google Scholar] [CrossRef]
- Qian, W.; Song, T.; Ye, M.; Xu, P.; Lu, G.; Huang, X. PAA-g-PLA amphiphilic graft copolymer: Synthesis, self-assembly, and drug loading ability. Polym. Chem. 2017, 8, 4098–4107. [Google Scholar] [CrossRef]
- Cheng, L.; Hu, C.; Li, J.; Huang, S.; Jiang, S. Stereocomplex-affected crystallization behaviour of PDLA in PDLA/PLDLA blends. CrystEngComm 2019, 21, 329–338. [Google Scholar] [CrossRef]
- Xie, P.; Wang, J.; Li, J.; Cheng, Q.; Zhou, K.; Ren, J. Miktoarm star-shaped poly(lactic acid) copolymer: Synthesis and stereocomplex crystallization behavior. J. Polym. Sci. Part A Polym. Chem. 2019, 57, 814–826. [Google Scholar] [CrossRef]
- Shi, X.; Jing, Z.; Zhang, G. Influence of PLA stereocomplex crystals and thermal treatment temperature on the rheology and crystallization behavior of asymmetric poly(L-Lactide)/poly(D-lactide) blends. J. Polym. Res. 2018, 25, 71. [Google Scholar] [CrossRef]
- Hassan, M.M.; Le Guen, M.J.; Tucker, N.; Parker, K. Thermo-mechanical, morphological and water absorption properties of thermoplastic starch/cellulose composite foams reinforced with PLA. Cellulose 2019, 26, 4463–4478. [Google Scholar] [CrossRef]
- Ma, P.; Shen, T.; Xu, P.; Dong, W.; Lemstra, P.J.; Chen, M. Superior Performance of Fully Biobased Poly(lactide) via Stereocomplexation-Induced Phase Separation: Structure versus Property. ACS Sustain. Chem. Eng. 2015, 3, 1470–1478. [Google Scholar] [CrossRef]
- Li, Z.; Muiruri, J.K.; Thitsartarn, W.; Zhang, X.; Tan, B.H.; He, C. Biodegradable silica rubber core-shell nanoparticles and their stereocomplex for efficient PLA toughening. Compos. Sci. Technol. 2018, 159, 11–17. [Google Scholar] [CrossRef]
- Toncheva, A.; Spasova, M.; Paneva, D.; Manolova, N.; Rashkov, I. Polylactide (PLA)-Based Electrospun Fibrous Materials Containing Ionic Drugs as Wound Dressing Materials: A Review. Int. J. Polym. Mater. Polym. Biomater. 2014, 63, 657–671. [Google Scholar] [CrossRef]
- Lyu, Y.; Pang, J.; Gao, Z.; Zhang, Q.; Shi, X. Characterization of the compatibility of PVC/PLA blends by Aid of Rheological Responses. Polymer 2019, 176, 20–29. [Google Scholar] [CrossRef]
- Haniff, M.; Bijarimi, M.; Zaidi, M.S.; Sahrim, A. Preparation and Characterization of Poly(Lactic Acid) (PLA)/Polyoxymethylene (POM) Blends. Mater. Sci. Forum 2018, 917, 3–6. [Google Scholar] [CrossRef]
- Yang, C.; Xue, Z.; Liu, Y.; Xiao, J.; Chen, J.; Zhang, L.; Guo, J.; Lin, W. Delivery of anticancer drug using pH-sensitive micelles from triblock copolymer MPEG-b-PBAE-b-PLA. Mater. Sci. Eng. C 2018, 84, 254–262. [Google Scholar] [CrossRef]
- Tsuji, H.; Kikkawa, K.; Arakawa, Y. Cocrystallization of monomer units of biobased and biodegradable Poly(l-lactic acid-co-glycolic acid) random copolymers. Polym. J. 2018, 50, 1079–1088. [Google Scholar] [CrossRef]
- Yin, X.; Hewitt, D.R.O.; Quah, S.P.; Zheng, B.; Mattei, G.S.; Khalifah, P.G.; Grubbs, R.B.; Bhatia, S.R. Impact of stereochemistry on rheology and nanostructure of PLA-PEO-PLA triblocks: Stiff gels at intermediate l/d-lactide ratios. Soft Matter 2018, 14, 7255–7263. [Google Scholar] [CrossRef]
- Phuphuak, Y.; Miao, Y.; Zinck, P.; Chirachanchai, S. Balancing crystalline and amorphous domains in PLA through star-structured polylactides with dual plasticizer/nucleating agent functionality. Polymer 2013, 54, 7058–7070. [Google Scholar] [CrossRef]
- Phetwarotai, W.; Phusunti, N.; Aht-Ong, D. Preparation and Characteristics of Poly(butylene adipate-co-terephthalate)/Polylactide Blend Films via Synergistic Efficiency of Plasticization and Compatibilization. Chin. J. Polym. Sci. 2018, 37, 68–78. [Google Scholar] [CrossRef]
- Bai, H.; Xiu, H.; Gao, J.; Deng, H.; Zhang, Q.; Yang, M.; Fu, Q. Tailoring impact toughness of poly(l-lactide)/poly(epsilon-caprolactone) (PLLA/PCL) blends by controlling crystallization of PLLA matrix. ACS Appl. Mater. Interfaces 2012, 4, 897–905. [Google Scholar] [CrossRef] [PubMed]
- Mohideen, M.; Quijano, E.; Song, E.; Deng, Y.; Panse, G.; Zhang, W.; Clark, M.R.; Saltzman, W.M. Degradable bioadhesive nanoparticles for prolonged intravaginal delivery and retention of elvitegravir. Biomaterials 2017, 144, 144–154. [Google Scholar] [CrossRef] [PubMed]
- Lee, S.; Kimoto, M.; Tanaka, M.; Tsuji, H.; Nishino, T. Crystal modulus of poly (lactic acid)s, and their stereocomplex. Polymer 2018, 138, 124–131. [Google Scholar] [CrossRef]
- Wiegand, C.; Nikolajski, M.; Hipler, U.C.; Heinze, T. Nanoparticle Formulation of AEA and BAEA Cellulose Carbamates Increases Biocompatibility and Antimicrobial Activity. Macromol. Biosci. 2015, 15, 1242–1251. [Google Scholar] [CrossRef] [PubMed]
- Ma, P.; Shen, T.; Lin, L.; Dong, W.; Chen, M. Cellulose-g-poly(d-lactide) nanohybrids induced significant low melt viscosity and fast crystallization of fully bio-based nanocomposites. Carbohydr. Polym. 2017, 155, 498–506. [Google Scholar] [CrossRef]
- Cao, D.; Gao, Q.-W.; Zhao, Y.-P.; Ming, W. Effect of glucose on the crystallization and thermal properties of poly(l-lactic acid) prepared through mixed solution method. In Advances in Engineering Research; Atlantis Press: Paris, France, 2017; Volume 105, pp. 573–576. [Google Scholar]
- Ansary, R.H.; Rahman, M.M.; Awang, M.B.; Katas, H.; Hadi, H.; Mohamed, F.; Doolaanea, A.A.; Kamaruzzaman, Y.B. Preparation, characterization and in vitro release study of BSA-loaded double-walled glucose-poly(lactide-co-glycolide) microspheres. Arch. Pharmacal Res. 2016, 39, 1242–1256. [Google Scholar] [CrossRef]
- Sangeetha, V.H.; Deka, H.; Varghese, T.O.; Nayak, S.K. State of the art and future prospectives of poly(lactic acid) based blends and composites. Polym. Compos. 2018, 39, 81–101. [Google Scholar] [CrossRef]
- Luo, S.H.; Yu, S.Q.; Li, J.X.; Wang, Z.Y. Research on the Modification of Poly(L-Lactic Acid) by Glucose via Direct Melt Polycondensation. Adv. Mater. Res. 2011, 311–313, 1106–1109. [Google Scholar] [CrossRef]
- Cao, D.; Ming, W.; Qi, L.Y.; Zhao, Y.P.; Gao, Q.W. Preparation and Properties of Poly(Lactic Acid) Stereocomplex Containing Glucose Groups. Chem. Ind. For. Prod. 2018, 38, 17–22. [Google Scholar]
- Madhavan Nampoothiri, K.; Nair, N.R.; John, R.P. An overview of the recent developments in polylactide (PLA) research. Bioresour. Technol. 2010, 101, 8493–8501. [Google Scholar] [CrossRef]
- Jiang, L.; Shen, T.; Xu, P.; Zhao, X.; Li, X.; Dong, W.; Ma, P.; Chen, M. Crystallization modification of poly(lactide) by using nucleating agents and stereocomplexation. E-Polymers 2016, 16, 1–13. [Google Scholar] [CrossRef]
- Yuzeng, L.; Qiao, L.; Gesheng, Y.; Ruihao, M.; Minmin, Y.; Huihui, Z.; Huili, S. Evaluation of thermal resistance and mechanical properties of injected molded stereocomplex of poly(l-lactic acid) and poly(d-lactic acid) with various molecular weights. Adv. Polym. Technol. 2018, 37, 1674–1681. [Google Scholar]
- Jia, S.K.; Yang, D.; Wang, Z.; Zhang, X.; Chen, L.; Fu, L. Morphologies, crystallization, and mechanical properties of PLA-based nanocomposites: Synergistic effects of PEG/HNTs. J. Appl. Polym. Sci. 2019, 136, 47385. [Google Scholar] [CrossRef]
- Kang, Y.; Chen, P.; Shi, X.; Zhang, G.; Wang, C. Preparation of open-porous stereocomplex PLA/PBAT scaffolds and correlation between their morphology, mechanical behavior, and cell compatibility. RSC Adv. 2018, 8, 12933–12943. [Google Scholar] [CrossRef]
- Lv, T.; Zhang, C.; Li, J.; Huang, S.; Wen, H.; Meng, Y.; Jiang, S. New insight into the mechanism of enhanced crystallization of PLA in PLLA/PDLA mixture. J. Appl. Polym. Sci. 2018, 135, 45663. [Google Scholar] [CrossRef]
- Cui, L.; Wang, Y.; Zhang, R.; Liu, Y. Design high heat-resistant stereocomplex poly(lactide acid) by cross-linking and plasticizing. Adv. Polym. Technol. 2018, 37, 2429–2435. [Google Scholar] [CrossRef]
- Pan, P.; Bao, J.; Han, L.; Xie, Q.; Shan, G.; Bao, Y. Stereocomplexation of high-molecular-weight enantiomeric poly(lactic acid)s enhanced by miscible polymer blending with hydrogen bond interactions. Polymer 2016, 98, 80–87. [Google Scholar] [CrossRef]
- Gupta, A.; Pal, A.K.; Woo, E.M.; Katiyar, V. Effects of Amphiphilic Chitosan on Stereocomplexation and Properties of Poly(lactic acid) Nano-biocomposite. Sci. Rep. 2018, 8, 4351. [Google Scholar] [CrossRef]
- Yang, W.; Li, N.; Cheng, H.; Li, Y.; Bai, X.; Deng, C. Determination of NIR informative wavebands for transmission non-invasive blood glucose measurement using a Fourier transform spectrometer. AIP Adv. 2018, 8, 035216. [Google Scholar] [CrossRef]
- Carrasco, F.; Pagès, P.; Gámez-Pérez, J.; Santana, O.O.; Maspoch, M.L. Processing of poly(lactic acid): Characterization of chemical structure, thermal stability and mechanical properties. Polym. Degrad. Stab. 2010, 95, 116–125. [Google Scholar] [CrossRef]
- Li, X.; Zhang, X.; Liu, G.; Yang, Z.; Yang, B.; Qi, Y.; Wang, R.; Wang, D.-Y. Effect of stereocomplex crystal and flexible segments on the crystallization and tensile behavior of poly(l-lactide). RSC Adv. 2018, 8, 28453–28460. [Google Scholar] [CrossRef]
- Apolinario, A.C.; Magon, M.S.; Pessoa, A., Jr.; Rangel-Yagui, C.O. Challenges for the Self-Assembly of Poly(Ethylene Glycol)(-)Poly(Lactic Acid) (PEG-PLA) into Polymersomes: Beyond the Theoretical Paradigms. Nanomaterials 2018, 8, 373. [Google Scholar] [CrossRef] [PubMed]
- Monticelli, O.; Bocchini, S.; Gardella, L.; Cavallo, D.; Cebe, P.; Germelli, G. Impact of synthetic talc on PLLA electrospun fibers. Eur. Polym. J. 2013, 49, 2572–2583. [Google Scholar] [CrossRef]
- Ayrilmis, N.; Kariz, M.; Kwon, J.H.; Kitek Kuzman, M. Effect of printing layer thickness on water absorption and mechanical properties of 3D-printed wood/PLA composite materials. Int. J. Adv. Manuf. Technol. 2019, 102, 2195–2200. [Google Scholar] [CrossRef]











| Sample | Glucose Content in Feeding/% | Glucose Proportion in PDLAG/% | Mn/g⋅mol−1 | Mw/g⋅mol−1 | Ɖ |
|---|---|---|---|---|---|
| PDLAG-5% | 5.0 | 1.64 | 10,700 | 20,600 | 1.93 |
| PDLAG-4% | 4.0 | 2.04 | 8560 | 16,400 | 1.92 |
| PDLAG-2% | 2.0 | 2.13 | 8200 | 15,600 | 1.90 |
| PDLAG−1% | 1.0 | 1.96 | 8900 | 16,500 | 1.85 |
| PDLAG-0.5% | 0.5 | 1.90 | 9230 | 16,800 | 1.83 |
| PLLA | 0 | 0 | 8760 | 17,000 | 1.95 |
| Sample | Glucose Content in Feeding/% | Tg/°C | Tm/°C | Crystallinity/% |
|---|---|---|---|---|
| PDLAG-5% | 5.0 | 52.9 | 133.1 | 25.1 |
| PDLAG-4% | 4.0 | 51.3 | 131.7 | 24.8 |
| PDLAG-2% | 2.0 | 51.8 | 130.8 | 30.3 |
| PDLAG-1% | 1.0 | 57.2 | 132.6 | 34.8 |
| PDLAG-0.5% | 0.5 | 60.6 | 140.8 | 42.1 |
| sc-PLAG-5% | 5.0 | 51.8 | 203.5 | 38.3 |
| sc-PLAG-4% | 4.0 | 57.3 | 203.1 | 39.8 |
| sc-PLAG-2% | 2.0 | 65.4 | 208.1 | 48.8 |
| sc-PLAG-1% | 1.0 | 66.0 | 206.5 | 42.9 |
| sc-PLAG-0.5% | 0.5 | 53.9 | 205.6 | 35.9 |
| PLLA | 0 | 65.7 | 147.9 | 48.4 |
| Sample | Glucose Content in Feeding/% | Tb/°C | Tmax/°C | Tf/% | Wr/% |
|---|---|---|---|---|---|
| sc-PLAG-5% | 5.0 | 227.77 | 276.48 | 306.47 | 2.50 |
| sc-PLAG-4% | 4.0 | 231.57 | 275.98 | 300.11 | 2.20 |
| sc-PLAG-2% | 2.0 | 239.21 | 274.60 | 291.05 | 1.32 |
| sc-PLAG-1% | 1.0 | 228.13 | 270.22 | 287.58 | 1.41 |
| sc-PLAG-0.5% | 0.5 | 227.17 | 262.89 | 299.25 | 3.60 |
| PDLAG-5% | 5.0 | 237.32 | 274.16 | -- | 5.98 |
| PDLAG-4% | 4.0 | 224.44 | 263.03 | 335.69 | 4.62 |
| PDLAG-2% | 2.0 | 211.06 | 250.52 | 266.74 | 1.46 |
| PDLAG-1% | 1.0 | 213.35 | 254.17 | 293.89 | 4.34 |
| PDLAG-0.5% | 0.5 | 220.06 | 258.15 | 301.26 | 4.78 |
| PLLA | 0 | 237.59 | 274.37 | 288.75 | 2.71 |
| Sample | Glucose Content/% | Contact Angle/° |
|---|---|---|
| sc-PLAG-5% | 5.0 | 77.5 |
| sc-PLAG-4% | 4.0 | 78.5 |
| sc-PLAG-2% | 2.0 | 81.6 |
| sc-PLAG-1% | 1.0 | 82.1 |
| sc-PLAG-0.5% | 0.5 | 82.9 |
| PDLAG-5% | 5.0 | 70.5 |
| PDLAG-4% | 4.0 | 72.5 |
| PDLAG-2% | 2.0 | 66.5 |
| PDLAG-1% | 1.0 | 72.5 |
| PDLAG-0.5% | 0.5 | 76.0 |
| PLLA | 0 | 85.0 |
| Sample | Glucose Content/% | Water Absorption Ratio/% |
|---|---|---|
| sc-PLAG-5% | 5.0 | 9.7 |
| sc-PLAG-4% | 4.0 | 9.4 |
| sc-PLAG-2% | 2.0 | 11.7 |
| sc-PLAG-1% | 1.0 | 8.3 |
| sc-PLAG-0.5% | 0.5 | 7.5 |
| PDLAG-5% | 5.0 | 9.0 |
| PDLAG-4% | 4.0 | 8.7 |
| PDLAG-2% | 2.0 | 8.3 |
| PDLAG-1% | 1.0 | 7.8 |
| PDLAG-0.5% | 0.5 | 7.5 |
| PLLA | 0 | 2.5 |
© 2020 by the authors. Licensee MDPI, Basel, Switzerland. This article is an open access article distributed under the terms and conditions of the Creative Commons Attribution (CC BY) license (http://creativecommons.org/licenses/by/4.0/).
Share and Cite
Qi, L.; Zhu, Q.; Cao, D.; Liu, T.; Zhu, K.R.; Chang, K.; Gao, Q. Preparation and Properties of Stereocomplex of Poly(lactic acid) and Its Amphiphilic Copolymers Containing Glucose Groups. Polymers 2020, 12, 760. https://doi.org/10.3390/polym12040760
Qi L, Zhu Q, Cao D, Liu T, Zhu KR, Chang K, Gao Q. Preparation and Properties of Stereocomplex of Poly(lactic acid) and Its Amphiphilic Copolymers Containing Glucose Groups. Polymers. 2020; 12(4):760. https://doi.org/10.3390/polym12040760
Chicago/Turabian StyleQi, Liyan, Qianjin Zhu, Dan Cao, Tingting Liu, Kevin R Zhu, Kaixin Chang, and Qinwei Gao. 2020. "Preparation and Properties of Stereocomplex of Poly(lactic acid) and Its Amphiphilic Copolymers Containing Glucose Groups" Polymers 12, no. 4: 760. https://doi.org/10.3390/polym12040760
APA StyleQi, L., Zhu, Q., Cao, D., Liu, T., Zhu, K. R., Chang, K., & Gao, Q. (2020). Preparation and Properties of Stereocomplex of Poly(lactic acid) and Its Amphiphilic Copolymers Containing Glucose Groups. Polymers, 12(4), 760. https://doi.org/10.3390/polym12040760
