Natural Compounds as Sustainable Additives for Biopolymers
Abstract
1. Introduction
1.1. Increasing Interest towards Natural Compounds
1.2. Why Add Natural Compounds to Biopolymers?
1.3. Benefits of Adding Natural Compounds to Biopolymers
2. Natural Fillers (nFil)
2.1. Natural Alumino-Silicates
2.2. Natural Hydroxyapatite
2.3. Natural Calcium Carbonate
2.4. Nanocrystalline Cellulose
- (i)
- nanocomposites rigidity increases without ductility loss, i.e., the elastic modulus and tensile strength increase, while the elongation at break remains almost unchanged;
- (ii)
- barrier properties towards water and gasses molecules increase because the presence of well-dispersed and exfoliated nanoparticles makes the tortuous way of all kind of molecules;
- (iii)
- thermo-mechanical resistance, deflection temperature, and dimensional stability significantly increase;
- (iv)
- thermal and crystallization behavior could be accurately evaluated; the nFil can exert nucleating effect (enhancing the crystallinity) or can hinder the organization of the macromolecules in the crystalline structures (decreasing the crystallinity);
- (v)
- durability and resistance to oxidative stress can be penalized if the nFil is organo-modified or, in its composition, is present some impurities and/or contaminants.
3. Naturally Occurring Fibers (nFib)
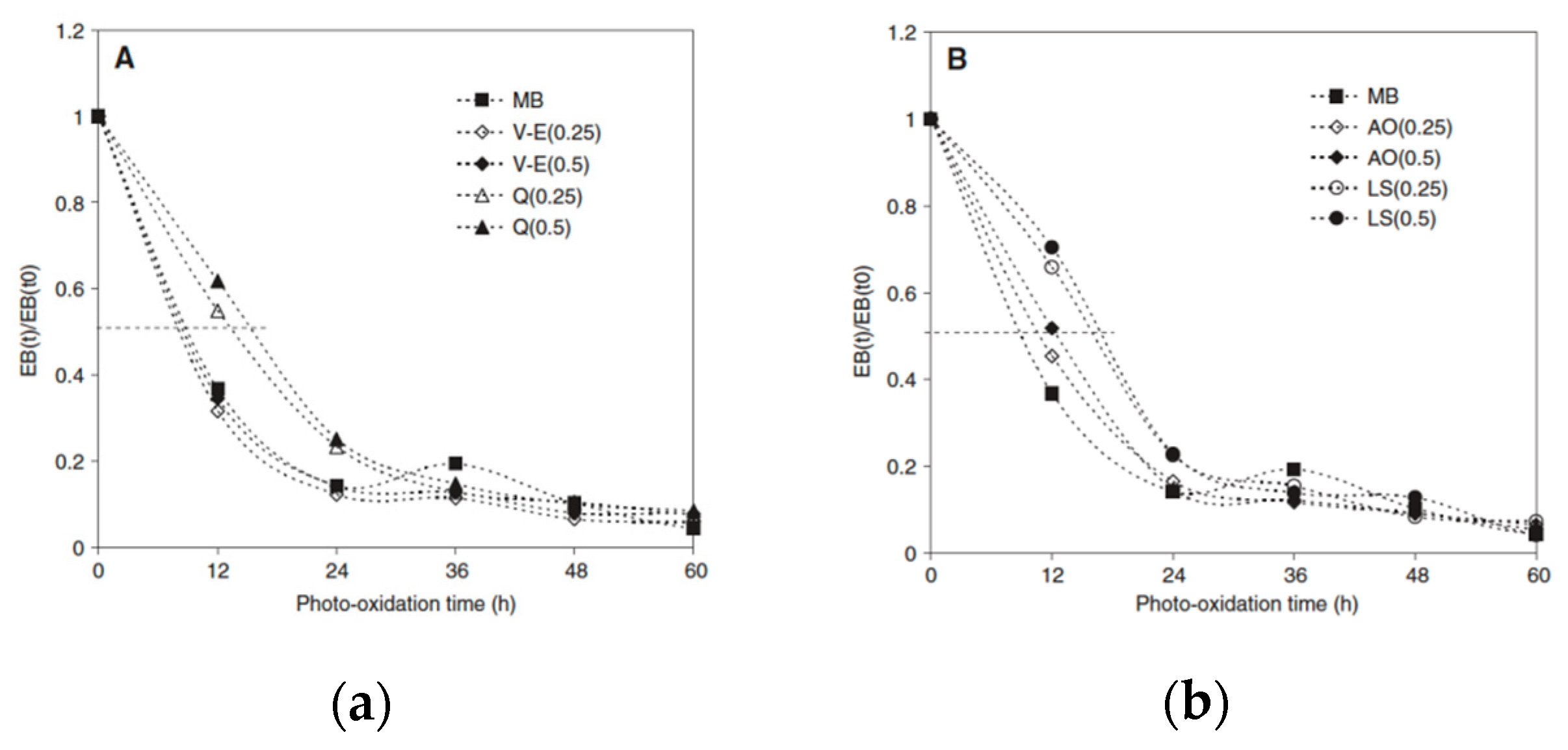
4. Naturally Occurring Antioxidant Molecules (nAO)
5. Conclusions Remarks and Future Perspectives
- (i)
- naturally occurring fillers (nFil), such as nano-/micro-sized layered alumino-silicate: halloysite, bentonite, montmorillonite, hydroxyapatite, calcium carbonate, etc.;
- (ii)
- naturally occurring fibers (nFib), such as wood and vegetable fibers;
- (iii)
- naturally occurring antioxidant molecules (nAO), such as phenols, polyphenols, vitamins, and carotenoids, highlighting the main advantages and disadvantages in considering them as sustainable and suitable additives.
Funding
Conflicts of Interest
References
- Scott, G.; Gilead, D. (Eds.) Degradable Polymers; Chapman & Hall: London, UK, 1995. [Google Scholar]
- Gross, R.A.; Kalra, B. Biodegradable Polymers for the Environment. Science 2002, 297, 803–807. [Google Scholar] [CrossRef]
- Basrioli, C. (Ed.) Handbook of Biodegradable Polymers; Rapra Technol. Lim.: Shropshire, UK, 2005. [Google Scholar]
- Platt, D.K. (Ed.) Biodegradable Polymers—Market Report; Rapra Technol. Lim.: Shropshire, UK, 2006. [Google Scholar]
- Ebnesajjad, S. Handbook of Biopolymers and Biodegradable Plastics; Elsevier: Oxford, UK, 2013. [Google Scholar]
- Wool, R.P.; Sun, X.S. Bio-Based Polymers and Composites; Elsevier Inc: Berkeley, CA, USA, 2005. [Google Scholar]
- Dufresne, A.; Thomas, S.; Pothan, L.A. (Eds.) Biopolymer Nanocomposites: Processing, Properties, and Applications; Wiley: Hoboken, NJ, USA, 2013. [Google Scholar]
- Murariu, M.; Dubois, P. PLA composites: From production to properties. Adv. Drug Deliv. Rev. 2016, 107, 17–46. [Google Scholar] [CrossRef]
- Luzi, F.; Torre, L.; Kenny, J.M.; Puglia, D. Bio- and Fossil-Based Polymeric Blends and Nanocomposites for Packaging: Structure-Property Relationship. Materials 2019, 12, 471. [Google Scholar] [CrossRef]
- Imre, B.; Pukánszky, B. Compatibilization in bio-based and biodegradable polymer blends. Eur. Polym. J. 2013, 49, 1215–1233. [Google Scholar] [CrossRef]
- Cao, Z.; Daly, M.; Clémence, L.; Geever, L.M.; Major, I.; Higginbotham, C.L.; Devine, D.M. Chemical surface modification of calcium carbonate particles with stearic acid using different treating methods. Appl. Surf. Sci. 2016, 378, 320–329. [Google Scholar] [CrossRef]
- Mihajlovic, S.; Zivko, S.; Aleksandra, D.; Dusica, V.; Vladimir, J.; Jovica, S. Surface properties of natural calcite filler treated with stearic acid. Ceram. Silikaty 2009, 53, 268–275. [Google Scholar]
- Shapkin, N.P.; Shkuratov, A.L.; Razov, V.I.; Zolotar’, R.N.; Rasskazov, V.A.; Sokolova, L.I.; Zhamskaya, N.N.; Каткoва, С.; Khal’Chenko, I.G. Chemical modification of aluminosilicates and study of their physicochemical properties. Russ. J. Inorg. Chem. 2014, 59, 1004–1009. [Google Scholar] [CrossRef]
- Lee, S.-M.; Tiwari, D. Organo and inorgano-organo-modified clays in the remediation of aqueous solutions: An overview. Appl. Clay Sci. 2012, 59, 84–102. [Google Scholar] [CrossRef]
- He, H.; Ma, Y.; Zhu, J.; Yuan, P.; Qing, Y. Organoclays prepared from montmorillonites with different cation exchange capacity and surfactant configuration. Appl. Clay Sci. 2010, 48, 67–72. [Google Scholar] [CrossRef]
- Rowell, R.M. Acetylation of wood—A review. Int. J. Lignocellul. Prod. 2014, 1, 1–27. [Google Scholar]
- Lewin, M.; Pearce, E.M. Handbook of Fiber Chemistry, Second Edition, Revised and Expanded; Marcel Dekker Inc: New York, NY, USA, 1998. [Google Scholar]
- Dintcheva, N.T.; La Mantia, F.P. Durability of a starch-based biodegradable polymer. Polym. Degrad. Stab. 2007, 92, 630–634. [Google Scholar] [CrossRef]
- Rasselet, D.; Ruellan, A.; Guinault, A.; Miquelard-Garnier, G.; Sollogoub, C.; Fayolle, B. Oxidative degradation of polylactide (PLA) and its effects on physical and mechanical properties. Eur. Polym. J. 2014, 50, 109–116. [Google Scholar] [CrossRef]
- Bocchini, S.; Fukushima, K.; Di Blasio, A.; Fina, A.; Frache, A.; Geobaldo, F. Polylactic Acid and Polylactic Acid-Based Nanocomposite Photooxidation. Biomacromolecules 2010, 11, 2919–2926. [Google Scholar] [CrossRef] [PubMed]
- Pereira, D.M.; Valentão, P.; Pereira, J.A.; Andrade, P.B. Phenolics: From Chemistry to Biology. Molecules. 2009, 14, 2202–2211. [Google Scholar] [CrossRef]
- Kirschweng, B.; Tátraaljai, D.; Földes, E.; Pukánszky, B. Natural antioxidants as stabilizers for polymers. Polym. Degrad. Stab. 2017, 145, 25–40. [Google Scholar] [CrossRef]
- Dintcheva, N.T.; D’Anna, F. Anti-/Pro-Oxidant Behavior of Naturally Occurring Molecules in Polymers and Biopolymers: A Brief Review. ACS Sustain. Chem. Eng. 2019, 7, 12656–12670. [Google Scholar] [CrossRef]
- Zhang, P.; Omaye, S.T. β-Carotene and protein oxidation: Effects of ascorbic acid and α-tocopherol. Toxicology 2000, 146, 37–47. [Google Scholar] [CrossRef]
- Dintcheva, N.T.; Gennaro, D.; Teresi, R.; Baiamonte, M. Pro-Degradant Activity of Naturally Occurring Compounds on Polyethylene in Accelerate Weathering Conditions. Materials. 2019, 12, 195. [Google Scholar] [CrossRef]
- Dintcheva, N.T.; Baiamonte, M.; Spera, M. Assessment of pro-oxidant activity of natural phenolic compounds in bio-polyesters. Polym. Degrad. Stab. 2018, 152, 280–288. [Google Scholar] [CrossRef]
- La Mantia, F.P.; Dintcheva, N.T.; Malatesta, V.; Pagani, F. Improvement of photo-stability of LLDPE-based nanocomposites. Polym. Degrad. Stab. 2006, 91, 3208–3213. [Google Scholar] [CrossRef]
- Dintcheva, N.T.; Al-Malaika, S.; La Mantia, F.P. Effect of extrusion and photo-oxidation on polyethylene/clay nanocomposites. Polym. Degrad. Stab. 2009, 94, 1571–1588. [Google Scholar] [CrossRef]
- Gilman, J.W. Flammability and thermal stability studies of polymer layered-silicate (clay) nanocomposites. Appl. Clay Sci. 1999, 15, 31–49. [Google Scholar] [CrossRef]
- Zanetti, M.; Camino, G.; Canavese, D.; Morgan, A.B.; Lamelas, F.J.; Wilkie, C.A. Fire Retardant Halogen–Antimony–Clay Synergism in Polypropylene Layered Silicate Nanocomposites. Chem. Mater. 2002, 14, 189–193. [Google Scholar] [CrossRef]
- Leszczynska, A.; Njuguna, J.; Pielichowski, K.; Banerjee, J. Polymer/montmorillonite nanocomposites with improved thermal properties. Thermochim. Acta 2007, 454, 1–22. [Google Scholar] [CrossRef]
- Beyer, G. Nanocomposites: A new class of flame retardants for polymers. Plast. Addit. Compd. 2002, 4, 22–28. [Google Scholar] [CrossRef]
- Suprakas, S.R.; Okamoto, M. Polymer/layered silicate nanocomposites: A review from preparation to processing. Prog. Polym. Sci. 2003, 28, 1539–1641. [Google Scholar]
- Pinnavaia, T.J. Polymer Clay Nanocomposites; Wiley: New York, NY, USA, 2000. [Google Scholar]
- Alexandre, M.; Dubois, P. Polymer-layered silicate nanocomposites: Preparation, properties and uses of a new class of materials. Mater. Sci. Eng. R Rep. 2000, 28, 1–63. [Google Scholar] [CrossRef]
- Okamoto, M. Biodegradable polymer/layered silicate nanocomposites: A review. J. Ind. Eng. Chem. 2004, 10, 1156–1181. [Google Scholar]
- Fukushima, K.; Tabuani, D.; Camino, G. Nanocomposites of PLA and PCL based on montmorillonite and sepiolite. Mater. Sci. Eng. C 2009, 29, 1433–1441. [Google Scholar] [CrossRef]
- Nuzzo, A.; Coiai, S.; Carroccio, S.C.; Dintcheva, N.T.; Gambarotti, C.; Filippone, G. Heat-Resistant Fully Bio-Based Nanocomposite Blends Based on Poly(lactic acid). Macromol. Mater. Eng. 2013, 299, 31–40. [Google Scholar] [CrossRef]
- Liu, R.; Yin, X.; Huang, A.; Wang, C.; Ma, E. Preparation of Organo-Montmorillonite Modified Poly(lactic acid) and Properties of Its Blends with Wood Flour. Polymers 2019, 11, 204. [Google Scholar] [CrossRef]
- Zhou, J.; Yao, Z.; Zhou, C.; Wei, D.; Li, S. Mechanical properties of PLA/PBS foamed composites reinforced by organophilic montmorillonite. J. Appl. Polym. Sci. 2014, 131. [Google Scholar] [CrossRef]
- Duan, Z.; Thomas, N.; Huang, W. Water vapour permeability of poly(lactic acid) nanocomposites. J. Membr. Sci. 2013, 445, 112–118. [Google Scholar] [CrossRef]
- Delabarde, C.; Plummer, C.J.; Bourban, P.; Månson, J.-A.E. Accelerated ageing and degradation in poly-l-lactide/hydroxyapatite nanocomposites. Polym. Degrad. Stab. 2011, 96, 595–607. [Google Scholar] [CrossRef]
- Hajibeygi, M.; Shafiei-Navid, S. Design and preparation of poly(lactic acid) hydroxyapatite nanocomposites reinforced with phosphorus-based organic additive: Thermal, combustion, and mechanical properties studies. Polym. Adv. Technol. 2019, 30, 2233–2249. [Google Scholar] [CrossRef]
- Nekhamanurak, B.; Patanathabutr, P.; Hongsriphan, N. The Influence of Micro-/Nano-CaCO3 on Thermal Stability and Melt Rheology Behavior of Poly(Lactic Acid). Energy Procedia 2014, 56, 118–128. [Google Scholar] [CrossRef]
- Kumar, V.; Dev, A.; Gupta, A. Studies of poly(lactic acid) based calcium carbonate nanocomposites. Compos. Part B Eng. 2014, 56, 184–188. [Google Scholar] [CrossRef]
- Thakur, V.K. (Ed.) Nanocellulose Polymer Nanocomposites: Fundamentals and Applications; Scrivener Publishing LLC, Willey: Hoboken, NJ, USA, 2015. [Google Scholar]
- Mohanty, A.K.; Misra, M.; Hinrichsen, G. Biofibres, biodegradable polymers and biocomposites: An overview. Macromol. Mater. Eng. 2000, 276, 1–24. [Google Scholar] [CrossRef]
- Pothan, L.A.; Oommen, Z.; Thomas, S. Dynamic mechanical analysis of banana fiber reinforced polyester composites. Compos. Sci. Technol. 2003, 63, 283–293. [Google Scholar] [CrossRef]
- Nishino, T.; Hirao, K.; Kotera, M.; Nakamae, K.; Inagaki, H. Kenaf reinforced biodegradable composite. Compos. Sci. Technol. 2003, 63, 1281–1286. [Google Scholar] [CrossRef]
- Oksman, K.; Skrifvars, M.; Selin, J.-F. Natural fibres as reinforcement in polylactic acid (PLA) composites. Compos. Sci. Technol. 2003, 63, 1317–1324. [Google Scholar] [CrossRef]
- Baillie, C. (Ed.) Green Composites: Polymer Composites and the Environment; Woodhead Publishing Limited: Cambridge, UK, 2004. [Google Scholar]
- Huda, M.S.; Mohanty, A.K.; Misra, M.; Drzal, L.T.; Schut, E. Effect of processing conditions on the physico-mechanical properties of cellulose fiber reinforced poly(lactic acid). In Proceedings of the SPE ANTEC 2004, ANTEC 2004, Conference Proceedings, Chicago, IL, USA, 16–20 May 2004. [Google Scholar]
- Geethamma, V.; Kalaprasad, G.; Groeninckx, G.; Thomas, S. Dynamic mechanical behavior of short coir fiber reinforced natural rubber composites. Compos. Part A Appl. Sci. Manuf. 2005, 36, 1499–1506. [Google Scholar] [CrossRef]
- Mathew, A.P.; Oksman, K.; Sain, M. Mechanical properties of biodegradable composites from poly lactic acid (PLA) and microcrystalline cellulose (MCC). J. Appl. Polym. Sci. 2005, 97, 2014–2025. [Google Scholar] [CrossRef]
- Lodha, P.; Netravali, A.N. Characterization of stearic acid modified soy protein isolate resin and ramie fiber reinforced ‘green’ composites. Compos. Sci. Technol. 2005, 65, 1211–1225. [Google Scholar] [CrossRef]
- LiuLiu; Fishman, M.L.; Hicks, K.B.; Liu, C.-K. Biodegradable Composites from Sugar Beet Pulp and Poly(lactic acid). J. Agric. Food Chem. 2005, 53, 9017–9022. [Google Scholar] [CrossRef] [PubMed]
- Huda, M.; Drzal, L.T.; Misra, M.; Mohanty, A. Wood-fiber-reinforced poly(lactic acid) composites: Evaluation of the physicomechanical and morphological properties. J. Appl. Polym. Sci. 2006, 102, 4856–4869. [Google Scholar] [CrossRef]
- Mathew, A.P.; Oksman, K.; Sain, M. The effect of morphology and chemical characteristics of cellulose reinforcements on the crystallinity of polylactic acid. J. Appl. Polym. Sci. 2006, 101, 300–310. [Google Scholar] [CrossRef]
- Jacob, M.; Thomas, S.; Varughese, K.T. Biodegradability and Aging Studies of Hybrid Biofiber Reinforced Natural Rubber Biocomposites. J. Biobased Mater. Bioenergy 2007, 1, 118–126. [Google Scholar] [CrossRef]
- Finkenstadt, V.; Liu, L.; Willett, J.L. Evaluation of Poly(lactic acid) and Sugar Beet Pulp Green Composites. J. Polym. Environ. 2006, 15, 1–6. [Google Scholar] [CrossRef]
- Pickering, K. Properties and Performance of Natural-Fibre Composites; Elsevier BV: Amsterdam, The Netherlands, 2008. [Google Scholar]
- Xu, H.; Wang, L.; Teng, C.; Yu, M. Biodegradable Composites: Ramie Fibre Reinforced PLLA-PCL Composite Prepared by in Situ Polymerization Process. Polym. Bull. 2008, 61, 663–670. [Google Scholar] [CrossRef]
- Meddahi, A.; Tahar, K.A.; Bibi, M. Studies of Sisal Fiber-Containing Composites. J. Nat. Fibers 2008, 5, 36–46. [Google Scholar] [CrossRef]
- Iovino, R.; Zullo, R.; A Rao, M.; Cassar, L.; Gianfreda, L. Biodegradation of poly(lactic acid)/starch/coir biocomposites under controlled composting conditions. Polym. Degrad. Stab. 2008, 93, 147–157. [Google Scholar] [CrossRef]
- Satyanarayana, K.G.; Arízaga, G.G.C.; Wypych, F. Biodegradable composites based on lignocellulosic fibers—An overview. Prog. Polym. Sci. 2009, 34, 982–1021. [Google Scholar] [CrossRef]
- Kumar, R.; Zhang, L. Aligned ramie fiber reinforced arylated soy protein composites with improved properties. Compos. Sci. Technol. 2009, 69, 555–560. [Google Scholar] [CrossRef]
- Graupner, N.; Herrmann, A.S.; Müssig, J. Natural and man-made cellulose fibre-reinforced poly(lactic acid) (PLA) composites: An overview about mechanical characteristics and application areas. Compos. Part A Appl. Sci. Manuf. 2009, 40, 810–821. [Google Scholar] [CrossRef]
- Summerscales, J.; Dissanayake, N.P.; Virk, A.S.; Hall, W. A review of bast fibres and their composites. Part 1—Fibres as reinforcements. Compos. Part A Appl. Sci. Manuf. 2010, 41, 1329–1335. [Google Scholar] [CrossRef]
- Bakare, I.; Okieimen, F.; Pavithran, C.; Khalil, H.A.; Brahmakumar, M. Mechanical and thermal properties of sisal fiber-reinforced rubber seed oil-based polyurethane composites. Mater. Des. 2010, 31, 4274–4280. [Google Scholar] [CrossRef]
- El-Meligy, M.; Mohamed, S.H.; Mahani, R.M. Study mechanical, swelling and dielectric properties of prehydrolysed banana fiber—Waste polyurethane foam composites. Carbohydr. Polym. 2010, 80, 366–372. [Google Scholar] [CrossRef]
- Faruk, O.; Bledzki, A.K.; Fink, H.-P.; Sain, M. Biocomposites reinforced with natural fibers: 2000–2010. Prog. Polym. Sci. 2012, 37, 1552–1596. [Google Scholar] [CrossRef]
- Kelly, C. Natural antioxidants and anticarcinogens in food, health and disease. Third International Conference on Natural Antioxidants and Anticarcinogens in Food, Health and Disease (NAHD), Helsinki, Finland, 6–9 June 2001. Nutr. Bull. 2001, 26, 331–336. [Google Scholar] [CrossRef]
- Li, A.-N.; Li, S.; Zhang, Y.-J.; Xu, X.-R.; Chen, Y.-M.; Li, H. Resources and Biological Activities of Natural Polyphenols. Nutrients 2014, 6, 6020–6047. [Google Scholar] [CrossRef] [PubMed]
- Rietjens, I.M.; Boersma, M.G.; De Haan, L.; Spenkelink, B.; Awad, H.; Cnubben, N.H.; Van Zanden, J.J.; Van Der Woude, H.; Alink, G.M.; Koeman, J.H. The pro-oxidant chemistry of the natural antioxidants vitamin C, vitamin E, carotenoids and flavonoids. Environ. Toxicol. Pharmacol. 2002, 11, 321–333. [Google Scholar] [CrossRef]
- Fang, Y.-Z.; Yang, S.; Wu, G. Free radicals, antioxidants, and nutrition. Nutrition 2002, 18, 872–879. [Google Scholar] [CrossRef]
- López-Rubio, A.; Lagaron, J.M. Improvement of UV stability and mechanical properties of biopolyesters through the addition of β-carotene. Polym. Degrad. Stab. 2010, 95, 2162–2168. [Google Scholar] [CrossRef]
- Byun, Y.; Kim, Y.-T.; Whiteside, W.S. Characterization of an antioxidant polylactic acid (PLA) film prepared with α-tocopherol, BHT and polyethylene glycol using film cast extruder. J. Food Eng. 2010, 100, 239–244. [Google Scholar] [CrossRef]
- Cerruti, P.; Santagata, G.; D’Ayala, G.G.; Ambrogi, V.; Carfagna, C.; Malinconico, M.; Persico, P. Effect of a natural polyphenolic extract on the properties of a biodegradable starch-based polymer. Polym. Degrad. Stab. 2011, 96, 839–846. [Google Scholar] [CrossRef]
- Dintcheva, N.; La Mantia, F.P.; Arrigo, R.; Dintcheva, N.T. Natural compounds as light stabilizer for a starch-based biodegradable polymer. J. Polym. Eng. 2014, 34, 441–449. [Google Scholar] [CrossRef]
- Dintcheva, N.T.; Arrigo, R.; Gambarotti, C.; Carroccio, S.; Filippone, G.; Cicogna, F.; Guenzi, M. α-Tocopherol-induced radical scavenging activity in carbon nanotubes for thermo-oxidation resistant ultra-high molecular weight polyethylene-based nanocomposites. Carbon 2014, 74, 14–21. [Google Scholar] [CrossRef]
- Mamta, M.K.; Dhillon, G.S.; Brar, S.K.; Verma, M. Antixoidants. In Biotransformation of Waste Biomass into High Value Biochemicals; Brar, S.K., Dhillon, G.S., Soccol, C.R., Eds.; Springer: New York, NY, USA, 2014; pp. 117–138. [Google Scholar]
- Agustin-Salazar, S.; Gamez-Meza, N.; Medina-Juárez, L.A.; Soto-Valdez, H.; Cerruti, P. From Nutraceutics to Materials: Effect of Resveratrol on the Stability of Polylactide. ACS Sustain. Chem. Eng. 2014, 2, 1534–1542. [Google Scholar] [CrossRef]
- Morici, E.; Arrigo, R.; Dintcheva, N.T. Quercetin as natural stabilizing agent for bio-polymer. AIP Conf. Proc. 2014, 1599, 314–317. [Google Scholar]
- Pisoschi, A.M.; Pop, A. The role of antioxidants in the chemistry of oxidative stress: A review. Eur. J. Med. Chem. 2015, 97, 55–74. [Google Scholar] [CrossRef] [PubMed]
- Arathi, B.P.; Sowmya, P.R.-R.; Vijay, K.; Vallikannan, B.; Lakshminarayana, R. Metabolomics of carotenoids: The challenges and prospects—A review. Trends Food Sci. Technol. 2015, 45, 105–117. [Google Scholar] [CrossRef]
- Reano, A.F.; Domenek, S.; Pernes, M.; Beaugrand, J.; Allais, F. Ferulic Acid-Based Bis/Trisphenols as Renewable Antioxidants for Polypropylene and Poly(butylene succinate). ACS Sustain. Chem. Eng. 2016, 4, 6562–6571. [Google Scholar] [CrossRef]
- Arrigo, R.; Morici, E.; Dintcheva, N.T. Biopolyester-based systems containing naturally occurring compounds with enhanced thermo-oxidative stability. J. Appl. Biomater. Funct. Mater. 2016, 14, 455–462. [Google Scholar] [CrossRef] [PubMed]
- Kim, J.-Y.; Huber, K.C. Preparation and characterization of corn starch-β-carotene composites. Carbohydr. Polym. 2016, 136, 394–401. [Google Scholar] [CrossRef] [PubMed]
- Arrigo, R.; Dintcheva, N.T.; Guenzi, M.; Gambarotti, C. Nano-hybrids based on quercetin and carbon nanotubes with excellent anti-oxidant activity. Mater. Lett. 2016, 180, 7–10. [Google Scholar] [CrossRef]
- Amaro, L.P.; Cicogna, F.; Passaglia, E.; Morici, E.; Oberhauser, W.; Al-Malaika, S.; Dintcheva, N.T.; Coiai, S. Thermo-oxidative stabilization of poly(lactic acid) with antioxidant intercalated layered double hydroxides. Polym. Degrad. Stab. 2016, 133, 92–100. [Google Scholar] [CrossRef]
- Barana, D.; Ali, S.D.; Salanti, A.; Orlandi, M.; Castellani, L.; Hanel, T.; Zoia, L. Influence of Lignin Features on Thermal Stability and Mechanical Properties of Natural Rubber Compounds. ACS Sustain. Chem. Eng. 2016, 4, 5258–5267. [Google Scholar] [CrossRef]
- Tran, T.N.; Athanassiou, A.; Basit, A.; Bayer, I.S. Starch-based bio-elastomers functionalized with red beetroot natural antioxidant. Food Chem. 2017, 216, 324–333. [Google Scholar] [CrossRef]
- Dintcheva, N.T.; Arrigo, R.; Baiamonte, M.; Rizzarelli, P.; Curcuruto, G. Concentration-dependent anti-/pro-oxidant activity of natural phenolic compounds in bio-polyesters. Polym. Degrad. Stab. 2017, 142, 21–28. [Google Scholar] [CrossRef]
- Pilař, J.; Šlouf, M.; Michálková, D.; Sloufova, I.; Vacková, T.; Dybal, J. Pro-oxidant activity of α-tocopherol during photooxidative degradation of polyolefins. ESRI and IR microspectroscopy studies. Polym. Degrad. Stab. 2017, 138, 55–71. [Google Scholar] [CrossRef]
- Moudache, M.; Nerín, C.; Colon, M.; Zaidi, F. Antioxidant effect of an innovative active plastic film containing olive leaves extract on fresh pork meat and its evaluation by Raman spectroscopy. Food Chem. 2017, 229, 98–103. [Google Scholar] [CrossRef] [PubMed]
- Dintcheva, N.T.; Baiamonte, M. Natural phenolic compounds: Anti-oxidants or pro-oxidants for biopolyesters? AIP Conf. Proc. 2018, 1981, 020050. [Google Scholar]
- Visco, A.; Nocita, D.; Giamporcaro, A.; Ronca, S.; Forte, G.; Pistone, A.; Espro, C. Effect of Ethyl Ester L-Lysine Triisocyanate addition to produce reactive PLA/PCL bio-polyester blends for biomedical applications. J. Mech. Behav. Biomed. Mater. 2017, 68, 308–317. [Google Scholar] [CrossRef] [PubMed]

















| Sample | E’ at 30 °C (MPa) | E’ at 50 °C (MPa) | E’ at 60 °C (MPa) | E’ at 80 °C (MPa) |
|---|---|---|---|---|
| PLA | 3058 | 2848 | 1544 | 5 |
| PLA + 5% CLO30b | 3578 | 3372 | 2761 | 12 |
| PLA + 5% NAN804 | 3109 | 2902 | 2462 | 6 |
| PLA + 5% SEPS9 | 3815 | 3579 | 2246 | 10 |
| Sample | E’ at −125 °C (MPa) | E’ at −75 °C (MPa) | E’ at −25 °C (MPa) | E’ at 30 °C (MPa) |
|---|---|---|---|---|
| PCL | 4715 | 3451 | 891 | 503 |
| PCL + 5% CLO30b | 5071 | 3882 | 1312 | 762 |
| PCL + 5% NAN804 | 4864 | 3663 | 1075 | 599 |
| PCL + 5% SEPS9 | 4767 | 3602 | 1207 | 751 |
| Labels | Flexural Strength (MPa) | Flexural Modulus (GPa) | Tensile Strength (MPa) | Young’s Modulus (GPa) | Impact Strength (J/m2) |
|---|---|---|---|---|---|
| PLA | 33.5 (2.4) | 2.54 (0.35) | 29.0 (1.8) | 1.21 (0.05) | 3.4 (0.4) |
| 0.5/PLA | 57.2 (3.8) | 3.08 (0.40) | 43.9 (2.2) | 1.29 (0.09) | 10.9 (2.2) |
| 1/PLA | 42.2 (4.5) | 3.59 (0.18) | 37.3 (1.0) | 1.36 (0.05) | 7.3 (0.6) |
| 1.5/PLA | 38.9 (4.0) | 4.72 (0.17) | 35.2 (2.1) | 2.13 (0.18) | 6.0 (0.7) |
| 2/PLA | 38.1 (2.0) | 3.49 (0.22) | 29.1 (0.9) | 1.54 (0.20) | 4.8 (0.7) |
| Element | Wt % | At % | K-Ratio | Z | A | F | |
| C | K | 26.97 | 52.20 | 0.0566 | 1.1058 | 0.1896 | 1.0001 |
| O | K | 11-45 | 16.64 | 0.0343 | 1.0845 | 0.2756 | 1.0004 |
| MgK | 1.12 | 1.07 | 0.0080 | 1.0354 | 0.6855 | 1.0053 | |
| AlK | 7.96 | 6.85 | 0.0633 | 1.0101 | 0.7826 | 1.0068 | |
| SiK | 21.10 | 17.54 | 0.1795 | 1.0453 | 0.8099 | 1.0001 | |
| AuM | 24.61 | 2.90 | 0.1721 | 0.7099 | 0.9850 | 1.0000 | |
| FeK | 6.70 | 2.79 | 0.0609 | 0.9169 | 0-9869 | 1.0052 | |
| Total: | 100.00 | 100.00 | |||||
| Element | Net Inte. | Bkgd Inte. | Inte. Error | P/B | |||
| C | K | 6.36 | 0.91 | 2.76 | 7.00 | ||
| O | K | 3.06 | 1.74 | 5.13 | 1.76 | ||
| MgK | 4.42 | 5.94 | 5.61 | 0.74 | |||
| AlK | 36.50 | 5.91 | 1.17 | 6.17 | |||
| SiK | 107.25 | 6.44 | 0.63 | 16.65 | |||
| AuM | 66.12 | 6.63 | 0.83 | 9.97 | |||
| FeK | 7.53 | 3.41 | 3.09 | 2.21 | |||
| Total: | |||||||
| Tensile Strength, MPa | Young Modulus, GPa | Elongation at Break, % | |
|---|---|---|---|
| PLA | 44.89 ± 3.21 | 2.41 ± 0.11 | 2.46 ± 0.11 |
| PP8 | 64.17 ± 2.26 | 2.92 ± 0.18 | 2.45 ± 0.22 |
| PH8 | 52.30 ± 1.89 | 2.63 ± 0.23 | 2.79 ± 0.29 |
| PP2H6 | 88.07 ± 2.80 | 3.71 ± 0.13 | 2.89 ± 0.10 |
| PP6H2 | 95.58 ± 3.54 | 3.42 ± 0.14 | 3.21 ± 0.18 |
| PP4H4 | 88.17 ± 3.80 | 3.24 ± 0.36 | 3.00 ± 0.23 |
| Sample | T10 | T50 |
|---|---|---|
| CC 1.5 | 238 | 282 |
| CC 3.0 | 231 | 281 |
| CC5.0 | 224 | 281 |
| CC 7.0 | 213 | 279 |
| CL PLA | 246 | 278 |
| Fibers | Cellulose, wt.% | Hemicellulose, wt.% | Lignin, wt.% | Waxes, wt.% |
|---|---|---|---|---|
| Flax | 71 | 18–20 | 2.2 | 1.5 |
| Hemp | 68 | 15 | 10 | 0.8 |
| Jute | 61–71 | 14–20 | 12–13 | 0.5 |
| Kenaf | 72 | 20 | 9 | - |
| Sisal | 65 | 12 | 10 | 2 |
| Bamboo | 26–43 | 30 | 21–31 | - |
| Oil palm | 65 | - | 29 | - |
| Rice husk | 35–45 | 19–25 | 20 | 14–17 |
| Natural Antioxidants (nAO) | Chemical Formula | Natural Antioxidants (nAO) | Chemical Formula |
|---|---|---|---|
| Hydroxycinnamic acids | ![]() | Resveratrol | ![]() |
| Hydroxybenzoic acids | ![]() | Catechin | ![]() |
| Flavene backbone | ![]() | Vitamin E | ![]() |
| Quercetin | ![]() | β-carotene | ![]() |
© 2020 by the authors. Licensee MDPI, Basel, Switzerland. This article is an open access article distributed under the terms and conditions of the Creative Commons Attribution (CC BY) license (http://creativecommons.org/licenses/by/4.0/).
Share and Cite
Dintcheva, N.T.; Infurna, G.; Baiamonte, M.; D’Anna, F. Natural Compounds as Sustainable Additives for Biopolymers. Polymers 2020, 12, 732. https://doi.org/10.3390/polym12040732
Dintcheva NT, Infurna G, Baiamonte M, D’Anna F. Natural Compounds as Sustainable Additives for Biopolymers. Polymers. 2020; 12(4):732. https://doi.org/10.3390/polym12040732
Chicago/Turabian StyleDintcheva, Nadka Tzankova, Giulia Infurna, Marilena Baiamonte, and Francesca D’Anna. 2020. "Natural Compounds as Sustainable Additives for Biopolymers" Polymers 12, no. 4: 732. https://doi.org/10.3390/polym12040732
APA StyleDintcheva, N. T., Infurna, G., Baiamonte, M., & D’Anna, F. (2020). Natural Compounds as Sustainable Additives for Biopolymers. Polymers, 12(4), 732. https://doi.org/10.3390/polym12040732









