Influence of Acidity and Oxidant Concentration on the Nanostructures and Electrochemical Performance of Polyaniline during Fast Microwave-Assisted Chemical Polymerization
Abstract
1. Introduction
2. Materials and Methods
2.1. Chemicals and Reagents
2.2. Synthesis of PANI
2.3. Characterization
3. Results and Discussion
3.1. The Yields and Conductivity of PANIs
3.2. Characterization of the Molecular Structures of the PANIs
3.3. Morphology and Crystallinity of PANIs
3.4. Synthesis and Formation Mechanism
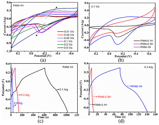
3.5. Electrochemical Performance of PANI Electrodes
4. Conclusions
Author Contributions
Funding
Acknowledgments
Conflicts of Interest
References
- Khosrozadeh, A.; Darabi, M.A.; Xing, M.; Wang, Q. Flexible electrode design: Fabrication of freestanding polyaniline-based composite films for high-performance supercapacitors. ACS Appl. Mater. Interfaces 2016, 8, 11379–11389. [Google Scholar] [CrossRef]
- Marmisolle, W.A.; Azzaroni, O. Recent developments in the layer-by-layer assembly of polyaniline and carbon nanomaterials for energy storage and sensing applications. From synthetic aspects to structural and functional characterization. Nanoscale 2016, 8, 9890–9918. [Google Scholar] [CrossRef]
- Stejskal, J.; Sapurina, I.; Trchová, M. Polyaniline nanostructures and the role of aniline oligomers in their formation. Prog. Polym. Sci. 2010, 35, 1420–1481. [Google Scholar] [CrossRef]
- Kang, E.T.; Neoh, K.G.; Tan, K.L. Polyaniline: A polymer with many interesting intrinsic redox states. Prog. Polym. Sci. 1998, 23, 277–324. [Google Scholar] [CrossRef]
- Banerjee, J.; Dutta, D.K.; Kader, M.A.; Nayak, S.K. An overview on the recent developments in polyaniline-based supercapacitors. Polym. Adv. Technol. 2019, 30, 1902–1921. [Google Scholar] [CrossRef]
- Wan, M. Some issues related to polyaniline micro-/nanostructures. Macrom. Rap. Commun. 2009, 30, 963–975. [Google Scholar] [CrossRef]
- Bhadra, S.; Khastgir, D.; Singha, N.K.; Lee, J.H. Progress in preparation, processing and applications of polyaniline. Prog. Polym. Sci. 2009, 34, 783–810. [Google Scholar] [CrossRef]
- Qiu, B.W.; Li, Z.J.; Wang, X.; Li, X.Y.; Zhang, J.R. Exploration on the microwave-assisted synthesis and formation mechanism of polyaniline nanostructures synthesized in different hydrochloric acid concentrations. J. Polym. Sci. Part A Polym. Chem. 2017, 55, 3357–3369. [Google Scholar] [CrossRef]
- Wu, W.; Pan, D.; Li, Y.; Zhao, G.; Jing, L.; Chen, S. Facile fabrication of polyaniline nanotubes using the self-assembly behavior based on the hydrogen bonding: A mechanistic study and application in high-performance electrochemical supercapacitor electrode. Electrochim. Acta 2015, 152, 126–134. [Google Scholar] [CrossRef]
- Li, G.; Jiang, L.; Peng, H. One-dimensional polyaniline nanostructures with controllable surfaces and diameters using vanadic acid as the oxidant. Macromolecules 2007, 40, 7890–7894. [Google Scholar] [CrossRef]
- Ding, H.J.; Wan, M.X.; Wei, Y. Controlling the diameter of polyaniline nanofibers by adjusting the oxidant redox potential. Adv. Mater. 2010, 19, 465–469. [Google Scholar] [CrossRef]
- Zeng, F.; Qin, Z.; Liang, B.; Li, T.; Liu, N.; Zhu, M. Polyaniline nanostructures tuning with oxidants in interfacial polymerization system. Prog. Nat. Sci. Mater. Int. 2015, 25, 512–519. [Google Scholar] [CrossRef]
- Ma, Y.; Zhang, H.; Hou, C.; Qiao, M.; Chen, Y.; Zhang, H.; Zhang, Q. Multidimensional polyaniline structures from micellar templates. J. Mater. Sci. 2017, 52, 2995–3002. [Google Scholar] [CrossRef]
- Chen, W.; Rakhi, R.B.; Alshareef, H.N. Morphology-dependent enhancement of the pseudocapacitance of template-guided tunable polyaniline nanostructures. J. Phys. Chem. C 2013, 117, 15009–15019. [Google Scholar] [CrossRef]
- Tran, H.D.; D’Arcy, J.M.; Wang, Y.; Beltramo, P.J.; Strong, V.A.; Kaner, R.B. The oxidation of aniline to produce “polyaniline”: A process yielding many different nanoscale structures. J. Mater. Chem. 2011, 21, 3534–3550. [Google Scholar] [CrossRef]
- Zou, H.; Wang, L.; Wang, X.; Lv, P.; Liao, Y. Chemical oxidative polymerization of 2-aminothiazole in aqueous solution: Synthesis, characterization and kinetics study. Polymers 2016, 8, 407. [Google Scholar] [CrossRef]
- Gizdavic-Nikolaidis, M.R.; Vella, J.; Bowmaker, G.A.; Zujovic, Z.D. Rapid microwave synthesis of polyaniline–C60 nanocomposites. Synth. Met. 2016, 217, 14–18. [Google Scholar] [CrossRef]
- Gizdavic-Nikolaidis, M.R.; Stanisavljev, D.R.; Easteal, A.J.; Zujovic, Z.D. Microwave-assisted synthesis of functionalized polyaniline nanostructures with advanced antioxidant properties. J. Phys. Chem. C 2010, 114, 18790–18796. [Google Scholar] [CrossRef]
- Gizdavic-Nikolaidis, M.R.; Jevremovic, M.M.; Milenkovic, M.; Allison, M.C.; Stanisavljev, D.R.; Bowmaker, G.A.; Zujovic, Z.D. High yield and facile microwave-assisted synthesis of conductive H2SO4 doped polyanilines. Mater. Chem. Phys. 2016, 173, 255–261. [Google Scholar] [CrossRef]
- Pandey, S. Highly sensitive and selective chemiresistor gas/vapor sensors based on polyaniline nanocomposite: A comprehensive review. J. Sci. Adv. Mater. Devices 2016, 1, 431–453. [Google Scholar] [CrossRef]
- Yoon, S.B.; Yoon, E.H.; Kim, K.B. Electrochemical properties of leucoemeraldine, emeraldine, and pernigraniline forms of polyaniline/multi-wall carbon nanotube nanocomposites for supercapacitor applications. J. Power Sources 2011, 196, 10791–10797. [Google Scholar] [CrossRef]
- Li, G.R.; Feng, Z.P.; Zhong, J.H.; Wang, Z.L.; Tong, Y.X. Electrochemical synthesis of polyaniline nanobelts with predominant electrochemical performances. Macromolecules 2010, 43, 2178–2183. [Google Scholar] [CrossRef]
- Park, H.W.; Kim, T.; Huh, J.; Kang, M.; Lee, J.E.; Yoon, H. Anisotropic growth control of polyaniline nanostructures and their morphology-dependent electrochemical characteristics. ACS Nano 2012, 6, 7624–7633. [Google Scholar] [CrossRef] [PubMed]
- Young Choi, I.; Lee, J.; Ahn, H.; Lee, J.; Choi, H.C.; Park, M.J. High-conductivity two-dimensional polyaniline nanosheets developed on ice surfaces. Angew. Chem. Int. Ed. 2015, 54, 10497–10501. [Google Scholar] [CrossRef] [PubMed]
- Ding, J.; Li, X.Y.; Wang, X.; Zhang, J.R.; Yu, D.G.; Qiu, B.W. Fabrication of vertical array CNTs/polyaniline composite membranes by microwave-assisted in situ polymerization. Nanoscale Res. Lett. 2015, 10, 1–9. [Google Scholar] [CrossRef]
- Stejskal, J.; Trchová, M.; Bober, P.; Humpolíček, P.; Kašpárková, V.; Sapurina, I.; Shishov, M.A.; Varga, M. Conducting polymers: Polyaniline. In Encyclopedia of Polymer Science and Technology, 4th ed.; Wiley: Hoboken, NJ, USA, 2015; Volume 15, pp. 1–44. [Google Scholar]
- Rakić, A.A.; Vukomanović, M.; Trifunović, S.; Travas-Sejdic, J.; Chaudhary, O.J.; Horský, J.; Ćirić-Marjanović, G. Solvent effects on dopant-free pH-falling polymerization of aniline. Synth. Met. 2015, 209, 279–296. [Google Scholar] [CrossRef]
- Zujovic, Z.D.; Bowmaker, A.G.; Tran, D.H.; Kaner, B.R. Solid-state NMR of polyaniline nanofibers. Synth. Met. 2009, 159, 710–714. [Google Scholar] [CrossRef]
- Wang, Y.; Chen, K.; Tingxi, L.I.; Huimin, L.I.; Zeng, R.; Zhang, R.; Yijie, G.U.; Ding, J.; Liu, H. Soluble polyaniline nanofibers prepared via surfactant-free emulsion polymerization. Synth. Met. 2014, 198, 293–299. [Google Scholar] [CrossRef]
- Konyushenko, E.N.; Stejskal, J.; Šeděnková, I.; Trchová, M.; Sapurina, I.; Cieslar, M.; Prokeš, J. Polyaniline nanotubes: Conditions of formation. Polym. Int. 2006, 55, 31–39. [Google Scholar] [CrossRef]
- Armes, S.P.; Miller, J.F. Optimum reaction conditions for the polymerization of aniline in aqueous solution by ammonium persulphate. Synth. Met. 1988, 22, 385–393. [Google Scholar] [CrossRef]
- Laska, J.; Widlarz, J. Spectroscopic and structural characterization of low molecular weight fractions of polyaniline. Polymer 2005, 46, 1485–1495. [Google Scholar] [CrossRef]
- Zujovic, Z.D.; Laslau, C.; Bowmaker, G.A.; Kilmartin, P.A.; Webber, A.L.; Brown, S.P.; Travas-Sejdic, J. Role of aniline oligomeric nanosheets in the formation of polyaniline nanotubes. Macromolecules 2010, 43, 662–670. [Google Scholar] [CrossRef]
- Zhang, L.J.; Long, Y.Z.; Chen, Z.J.; Wan, M.X. The effect of hydrogen bonding on self-assembled polyaniline nanostructures. Adv. Funct. Mater. 2010, 14, 693–698. [Google Scholar] [CrossRef]
- Wang, Q.; Yao, Q.; Chang, J.; Chen, L. Enhanced thermoelectric properties of CNT/PANI composite nanofibers by highly orienting the arrangement of polymer chains. J. Mater. Chem. 2012, 22, 17612–17618. [Google Scholar] [CrossRef]
- Sapurina, I.; Stejskal, J. The mechanism of the oxidative polymerization of aniline and the formation of supramolecular polyaniline structures. Polym. Int. 2008, 57, 1295–1325. [Google Scholar] [CrossRef]
- Sedenkova, I.; Trchova, M.; Stejskal, J.; Bok, J. Polymerization of aniline in the solutions of strong and weak acids: The evolution of infrared spectra and their interpretation using factor analysis. Appl. Spectrosc. 2007, 61, 1153–1162. [Google Scholar] [CrossRef]
- Stejskal, J.; Sapurina, I.; Trchová, M.; Konyushenko, E.N. Oxidation of aniline: Polyaniline granules, nanotubes, and oligoaniline microspheres. Macromolecules 2012, 41, 3530–3536. [Google Scholar] [CrossRef]
- Dan, L.; Kaner, R.B. Shape and aggregation control of nanoparticles: Not shaken, not stirred. J. Am. Chem. Soc. 2006, 128, 968–975. [Google Scholar]








| Samples | CHCl (mol/L) | CAniline (mol/L) | nAniline/nAPS |
|---|---|---|---|
| PANI-0.1H | 0.1 | 0.5 | 1:0.17 |
| PANI-0.3H | 0.3 | 0.5 | 1:0.17 |
| PANI-1H | 1.0 | 0.5 | 1:0.17 |
| PANI-1:0.17 | 1.0 | 0.2 | 1:0.17 |
| PANI-1:0.25 | 1.0 | 0.2 | 1:0.25 |
| PANI-1:1 | 1.0 | 0.2 | 1:1 |
| Samples 1 | Yield | σ (S/cm) | Samples 2 | Yield | σ (S/cm) |
|---|---|---|---|---|---|
| PANIC-0.1H | 10.72% | 0.046 | PANI-0.1H | 43.32% | 0.474 |
| PANIC-0.3H | 10.84% | 0.078 | PANI-0.3H | 50.11% | 0.755 |
| PANIC-1H | 16.10% | 0.338 | PANI-1H | 58.78% | 2.642 |
| PANIC-1:0.17 | 15.80% | 0.214 | PANI-1:0.17 | 57.43% | 1.931 |
| PANIC-1:0.25 | 16.10% | 0.455 | PANI-1:0.25 | 60.71% | 2.425 |
| PANIC-1:1 | 25.48% | 0.652 | PANI-1:1 | 63.14% | 4.575 |
| Samples | Wavelength (nm) | ||
|---|---|---|---|
| B1: π–π* | B2: π–π* | B→Q: p–π* | |
| PANI-0.1H | 287 | 373 | 526 |
| PANI-0.3H | 287 | 367 | 563 |
| PANI-1H | - | 342 | 601 |
| PANI-1:0.17 | - | 335 | 629 |
| PANI-1:0.25 | - | 333 | 623 |
| PANI-1:1 | - | 333 | 621 |
© 2020 by the authors. Licensee MDPI, Basel, Switzerland. This article is an open access article distributed under the terms and conditions of the Creative Commons Attribution (CC BY) license (http://creativecommons.org/licenses/by/4.0/).
Share and Cite
Qiu, B.; Wang, J.; Li, Z.; Wang, X.; Li, X. Influence of Acidity and Oxidant Concentration on the Nanostructures and Electrochemical Performance of Polyaniline during Fast Microwave-Assisted Chemical Polymerization. Polymers 2020, 12, 310. https://doi.org/10.3390/polym12020310
Qiu B, Wang J, Li Z, Wang X, Li X. Influence of Acidity and Oxidant Concentration on the Nanostructures and Electrochemical Performance of Polyaniline during Fast Microwave-Assisted Chemical Polymerization. Polymers. 2020; 12(2):310. https://doi.org/10.3390/polym12020310
Chicago/Turabian StyleQiu, Biwei, Jingyun Wang, Zhoujing Li, Xia Wang, and Xiaoyan Li. 2020. "Influence of Acidity and Oxidant Concentration on the Nanostructures and Electrochemical Performance of Polyaniline during Fast Microwave-Assisted Chemical Polymerization" Polymers 12, no. 2: 310. https://doi.org/10.3390/polym12020310
APA StyleQiu, B., Wang, J., Li, Z., Wang, X., & Li, X. (2020). Influence of Acidity and Oxidant Concentration on the Nanostructures and Electrochemical Performance of Polyaniline during Fast Microwave-Assisted Chemical Polymerization. Polymers, 12(2), 310. https://doi.org/10.3390/polym12020310

