Synthesis, Structure, Hydrodynamics and Thermoresponsiveness of Graft Copolymer with Aromatic Polyester Backbone at Poly(2-isopropyl-2-oxazoline) Side Chains
Abstract
1. Introduction
2. Materials and Methods
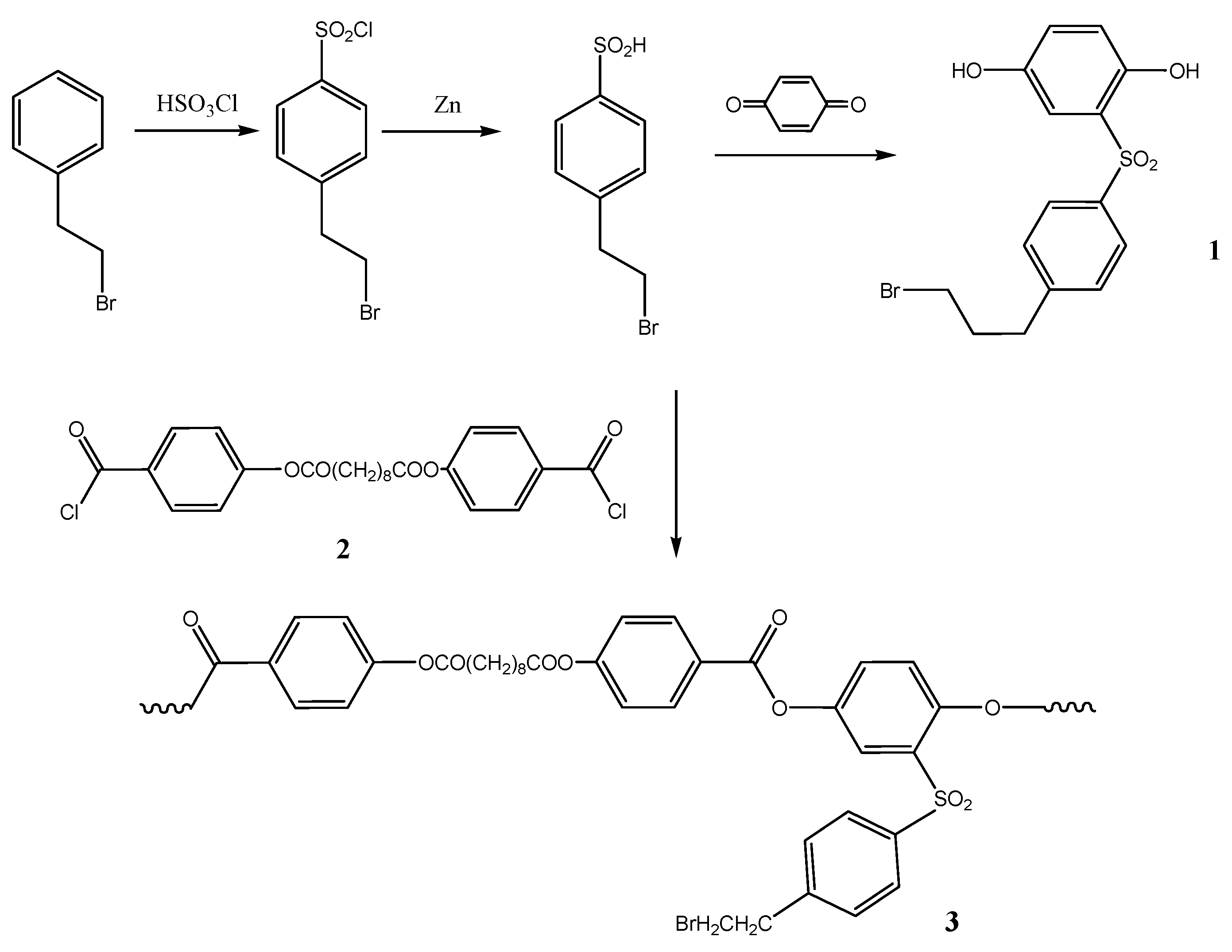
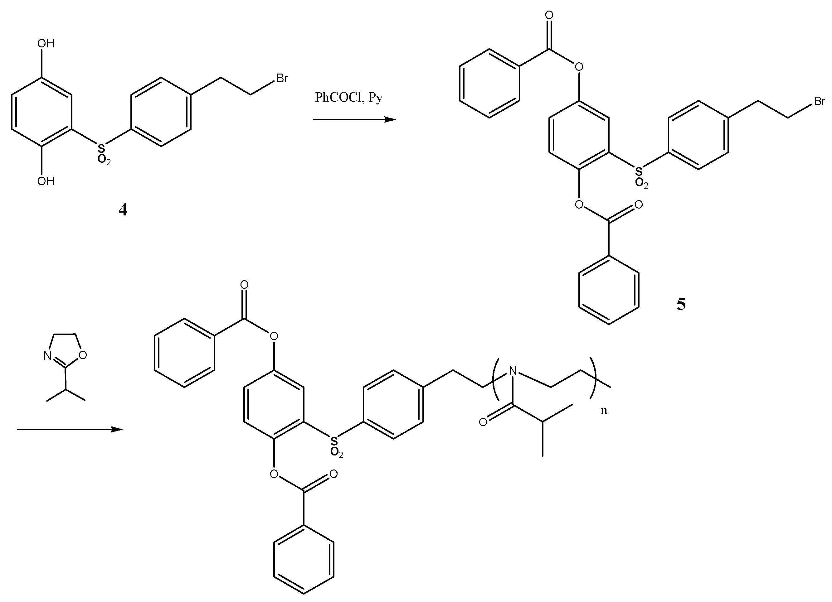
2.1. APE-g-PiPrOx Molecular Brush Synthesis
2.2. Synthesis of Linear PiPrOx-m with a Hydrophobic Terminal Group
2.3. Study of Behavior of the Synthesized Polymers in Organic Solvents
2.4. Study of Behavior of APE-g-PiPrOx and PiPrOx-m in Aqueous Solutions upon Heating
3. Results and Discussion
3.1. Synthesis
3.2. Structural and Molecular Characteristics of Grafted Copolymer APE-g-PiPrOx and Linear PiPrOx-m
3.3. Behavior of Grafted APE-g-PiPrOx Copolymer and Linear PiPrOx-m in Aqueous Solutions
3.4. Kinetics of Thermal Response of APE8-g-PiPrOx and PiPrOx-m Solutions
4. Conclusions
Supplementary Materials
Author Contributions
Funding
Conflicts of Interest
References
- Zhang, M.; Müller, A.H.E. Cylindrical polymer brushes. J. Polym. Sci. Part A Polym. Chem. 2005, 43, 3461–3481. [Google Scholar] [CrossRef]
- Sheiko, S.S.; Sumerlin, B.S.; Matyjaszewski, M. Cylindrical molecular brushes: Synthesis, characterization, and properties. Prog. Polym. Sci. 2008, 33, 759–785. [Google Scholar] [CrossRef]
- Nakamura, Y. Stiffness parameter of brush-like polymers with rod-like side chains. J. Chem. Phys. 2016, 145, 014903. [Google Scholar] [CrossRef] [PubMed]
- Dutta, S.; Wade, M.A.; Walsh, D.J.; Guironnet, D.; Rogers, S.A.; Sing, C.E. Dilute solution structure of bottlebrush polymers. Soft Matter 2019, 15, 2928–2941. [Google Scholar] [CrossRef] [PubMed]
- Birshtein, T.M.; Borisov, O.V.; Zhulina, Y.B.; Khokhlov, A.R.; Yurasova, T.A. Conformations of comb-like macromolecules. Polym. Sci. Ser. A 1987, 29, 1293–1300. [Google Scholar] [CrossRef]
- Wintermantel, M.; Schmidt, M.; Tsukahara, Y.; Kajiwara, K.; Kohjiya, S. Rodlike combs. Macromol. Rapid Commun. 1994, 15, 279. [Google Scholar] [CrossRef]
- Zhang, B.; Gröhn, F.; Pedersen, J.S.; Fischer, K.; Schmidt, M. Conformation of Cylindrical Brushes in Solution: Effect of Side Chain Length. Macromolecules 2006, 39, 8440–8450. [Google Scholar] [CrossRef]
- Terao, K.; Hokajo, T.; Nakamura, Y.; Norisuye, T. Solution Properties of polymacromonomers consisting of polystyrene. Viscosity behavior in cyclohexane and toluene. Macromolecules 1999, 32, 3690–3694. [Google Scholar] [CrossRef]
- Ishizu, K.; Tsubaki, K.; Mori, A.; Uchida, S. Architecture of nanostructured polymers. Progr. Polym. Sci. 2003, 28, 27–54. [Google Scholar] [CrossRef]
- Borisov, O.V.; Zhulina, E.B. Amphiphilic graft copolymer in a selective solvent: Intramolecular structures and conformational transitions. Macromolecules 2005, 38, 2506–2514. [Google Scholar] [CrossRef]
- Hadjichristidis, N.; Pitsikalis, M.; Pispas, S.; Iatrou, H. Polymers with complex architecture by living anionic polymerization. Chem. Rev. 2010, 101, 3747–3792. [Google Scholar] [CrossRef] [PubMed]
- Lagos, A.; Reyes, J. Grafting onto chitosan: Graft copolymerization of methyl methacrylate onto chitosan with Fenton’s reagent as a redox initiator. J. Polym. Sci. 1988, 26, 985–991. [Google Scholar] [CrossRef]
- Wataoka, I.; Urakawa, H.; Kobayashi, K.; Akaike, T.; Schmidt, M.; Kajiwara, K. Structural characterization of glycoconjugate polystyrene in aqueous solution. Macromolecules 1999, 32, 1816–1821. [Google Scholar] [CrossRef]
- Tripathy, J.; Mishra, D.K.; Yadav, M.; Behari, K. Synthesis, characterization and applications of graft copolymer (chitosan-g-N,N-dimethylacrylamide). Carbohyd. Polym. 2010, 79, 40–46. [Google Scholar] [CrossRef]
- Liu, W.; Liu, Y.; Hao, X.; Zeng, G.; Wang, W.; Liu, R.; Huang, Y. Backbone-collapsed intra- and inter-molecular self-assembly of cellulose-based dense graft copolymer. Carbohydr. Polym. 2012, 88, 290–298. [Google Scholar] [CrossRef]
- Zakharova, N.V.; Simonova, M.A.; Zelinskii, S.N.; Annenkov, V.V.; Filippov, A.P. Synthesis, molecular characteristics, and stimulus-sensitivity of graft copolymer of chitosan and poly(N,N-diethylacrylamide). J. Mol. Liquids 2019, 292, 111355. [Google Scholar] [CrossRef]
- Liang, M.; Jhuang, Y.-J.; Zhang, C.-F.; Tsai, W.-J.; Feng, H.-C. Synthesis and characterization of poly(phenylene oxide) graft copolymers by atom transfer radical polymerizations. Eur. Polym. J. 2009, 45, 2348–2357. [Google Scholar] [CrossRef]
- Yilmaz, G.; Toiserkani, H.; Demirkol, D.O.; Sakarya, S.; Timur, S.; Yagci, Y.; Torun, L.J. Modification of polysulfones by click chemistry: Amphiphilic graft copolymers and their protein adsorption and cell adhesion properties. Polym. Sci. A 2011, 49, 110–117. [Google Scholar] [CrossRef]
- Fu, G.D.; Kang, E.T.; Neoh, K.G.; Lin, C.C.; Liaw, D.J. Rigid Fluorinated Polyimides with Well-Defined Polystyrene/Poly(pentafluorostyrene) Side Chains from Atom Transfer Radical Polymerization. Macromolecules 2005, 38, 7593–7600. [Google Scholar] [CrossRef]
- Meleshko, T.K.; Ilgach, D.M.; Bogorad, N.N.; Kukarkina, N.V.; Vlasova, E.N.; Dobrodumov, A.V.; Malakhova, I.I.; Gorshkov, N.I.; Krasikov, V.D.; Yakimanskii, A.V. Synthesis of multicentered polyimide initiators for the preparation of regular graft copolymers via controlled radical polymerization. Polym. Sci. Ser. B 2010, 52, 589–599. [Google Scholar] [CrossRef]
- Ilgach, D.M.; Meleshko, T.K.; Yakimansky, A.V. Methods of controlled radical polymerization for the synthesis of polymer brushes. Polym. Sci. Ser. C 2015, 57, 3–19. [Google Scholar] [CrossRef]
- Meleshko, T.; Il’gach, D.; Bogorad, N.; Kukarkina, N.; Yakimansky, A. Synthesis of graft copolyimides via controlled radical polymerization of methacrylates with a polyimide macroinitiators. Polym. Sci. Ser. B 2014, 56, 118–126. [Google Scholar] [CrossRef]
- Filippov, A.P.; Belyaeva, E.V.; Meleshko, T.K.; Yakimansky, A.V. Solution behavior of polyimide-graft-polystyrene copolymers in selective solvents. J. Polym. Sci. Part B Polym. Phys. 2014, 52, 1539–1546. [Google Scholar] [CrossRef]
- Filippov, A.P.; Belyaeva, E.V.; Krasova, A.S.; Simonova, M.A.; Meleshko, T.K.; Ilgach, D.M.; Bogorad, N.N.; Yakimansky, A.V.; Larin, S.V.; Darinskii, A.A. Conformations of molecular brushes based on polyimide and poly(methyl methacrylate) in selective solvents: Experiment and computer simulation. Polym. Sci. Ser. A 2014, 56, 393–404. [Google Scholar] [CrossRef]
- Filippov, A.P.; Krasova, A.S.; Tarabukina, E.B.; Meleshko, T.K.; Yakimansky, A.V.; Sheiko, S.S. Behavior of amphiphilic molecular brushes with polyimide main chain and side chains of polymethylmethacrylate and polystyrene in the vicinity of θ-point. Polym. Sci. Ser. C 2018, 60, 219–227. [Google Scholar] [CrossRef]
- Bilal, M.H.; Alaneed, R.; Steiner, J.; Mäder, K.; Pietzsch, M.; Kressler, J. Chapter Three-Multiple grafting to enzymatically synthesized polyesters. Methods Enzymol. 2019, 627, 57–97. [Google Scholar]
- Luo, Y.-L.; Yuan, J.-F.; Liu, X.-J.; Xie, H.; Gao, Q.-Y. Self-assembled polyion complex micelles based on PVP-b-PAMPS and PVP-b-PDMAEMA for drug delivery. J. Bioact. Comp. Polym. 2010, 25, 292–304. [Google Scholar] [CrossRef]
- Sui, K.; Zhao, X.; Wu, Z.; Xia, Y.; Liang, H.; Li, Y. Synthesis, rapid responsive thickening, and self-assembly of brush copolymer poly(ethylene oxide)-graft-poly(N,N-dimethylaminoethyl methacrylate) in aqueous solutions. Langmuir 2012, 28, 153–160. [Google Scholar] [CrossRef]
- Filippov, A.P.; Belyaeva, E.V.; Zakharova, N.V.; Sasina, A.S.; Ilgach, D.M.; Meleshko, T.K.; Yakimansky, A.V. Double stimuli-responsive behavior of graft copolymer with polyimide backbone and poly(N,N-dimethylaminoethyl methacrylate) side chains. Colloid Polym. Sci. 2015, 293, 555–565. [Google Scholar] [CrossRef]
- Wessels, M.G.; Jayaraman, A. Molecular dynamics simulation study of linear, bottlebrush, and star-like amphiphilic block polymer assembly in solution. Soft Matter 2019, 15, 3987–3998. [Google Scholar] [CrossRef]
- Li, X.; ShamsiJazeyi, H.; Pesek, S.L.; Agrawal, A.; Hammouda, B.; Verduzco, R. Thermoresponsive PNIPAAM bottlebrush polymers with tailored side-chain length and end-group structure. Soft Matter 2014, 10, 2008–2015. [Google Scholar] [CrossRef]
- De Laittre, G. Telechelic poly(2-oxazoline)s. Eur. Polym. J. 2019, 121, 109281. [Google Scholar] [CrossRef]
- Fael, H.; Rafols, C.; Demirel, A.L. Poly(2-Ethyl-2-Oxazoline) as an Alternative to Poly(Vinylpyrrolidone) in Solid Dispersions for Solubility and Dissolution Rate Enhancement of Drugs. J. Pharm. Sci. 2018, 107, 2428–2438. [Google Scholar] [CrossRef] [PubMed]
- Hoogenboom, R. Poly(2-oxazoline)s: A polymer class with numerous potential applications. Angew. Chem. Int. Ed. 2009, 48, 7978–7994. [Google Scholar] [CrossRef] [PubMed]
- Hoogenboom, R.; Schlaad, H. Thermoresponsive poly(2-oxazoline)s, polypeptoids, and polypeptides. Polym. Chem. 2017, 8, 24–40. [Google Scholar]
- de la Rosa, V.R. Poly(2-oxazoline)s as materials for biomedical applications. J. Mater. Sci. Mater. Med. 2014, 25, 1211–1225. [Google Scholar] [CrossRef] [PubMed]
- Rossegger, E.; Schenk, V.; Wiesbrock, F. Design strategies for functionalized poly(2-oxazoline)s and derived materials. Polymers 2013, 5, 956–1011. [Google Scholar] [CrossRef]
- Weber, C.; Rogers, S.; Vollrath, A.; Hoeppener, S.; Rudolph, T.; Fritz, N.; Hoogenboom, R.; Schubert, U.S. Aqueous solution behavior of comb-shaped poly(2-ethyl-2-oxazoline). J. Polym. Sci. Part A Polym. Chem. 2013, 51, 139–148. [Google Scholar] [CrossRef]
- Zhang, N.; Luxenhofer, R.; Jordan, R. Thermoresponsive poly(2-oxazoline) molecular brushes by living ionic polymerization: Kinetic investigations of pendant chain grafting and cloud point modulation by backbone and side chain length variation. Macromol. Chem. Phys. 2012, 213, 973–981. [Google Scholar] [CrossRef]
- Bühler, J.; Muth, S.; Fischer, K.; Schmidt, M. Collapse of cylindrical brushes with 2-isopropyloxazoline side chains close to the phase boundary. Macromol. Rapid Commun. 2013, 34, 588–594. [Google Scholar] [CrossRef]
- Weber, C.; Wagner, M.; Baykal, D.; Hoeppener, S.; Paulus, R.M.; Festag, G.; Altuntas, E.; Schacher, F.H.; Schubert, U.S. Easy access to amphiphilic heterografted poly(2-oxazoline) comb copolymers. Macromolecules 2013, 46, 5107–5116. [Google Scholar] [CrossRef]
- Alvaradejo, G.G.; Nguyen, H.V.-T.; Harvey, P.; Gallagher, N.M.; Le, D.; Ottaviani, M.F.; Jasanoff, A.; Delaittre, G.; Johnson, J.A. Polyoxazoline-Based Bottlebrush and Brush-Arm Star Polymers via ROMP: Syntheses and Applications as Organic Radical Contrast Agents. ACS Macro Lett. 2019, 8, 473–478. [Google Scholar] [CrossRef]
- Nuyken, O.; Rueda-Sanchez, J.; Voit, B. Synthesis of graft copolymers by ring-opening polymerization of 2-nonyl-and 2-phenyl-2-oxazoline initiated by macroinitiators containing benzylchloride functions. Polym. Bull. 1997, 38, 657–664. [Google Scholar] [CrossRef]
- Rueda, J.; Zschoche, S.; Komber, H.; Schmaljohann, D.; Voit, B. Synthesis and characterization of thermoresponsive graft copolymers of NIPAAm and 2-alkyl-2-oxazolines by the “grafting from” method. Macromolecules 2005, 38, 7330–7336. [Google Scholar] [CrossRef]
- Jerca, V.V.; Nicolescu, F.A.; Vasilescu, D.S.; Vuluga, D.M. Synthesis of a new oxazoline macromonomer for dispersion polymerization. Polym. Bull. 2011, 66, 785–796. [Google Scholar] [CrossRef]
- Kudryavtseva, A.A.; Kurlykin, M.P.; Tarabukina, E.B.; Tenkovtsev, A.V.; Filippov, A.P. Behavior of thermosensitive graft-copolymers with aromatic polyester backbone and poly-2-ethyl-2-oxazoline side chains in aqueous solutions. Int. J. Polym. Anal. Char. 2017, 22, 526–533. [Google Scholar] [CrossRef]
- Filippov, A.; Tarabukina, E.; Kudryavtseva, A.; Fatullaev, E.; Kurlykin, M.; Tenkovtsev, A. Molecular brushes with poly-2-ethyl-2-oxazoline side chains and aromatic polyester backbone manifesting double stimuli responsiveness. Colloid Polym. Sci. 2019, 297, 1445–1454. [Google Scholar] [CrossRef]
- Katsumoto, Y.; Tsuchiizu, A.; Qiu, X.P.; Winnik, F.M. Dissecting the Mechanism of the Heat-Induced Phase Separation and Crystallization of Poly(2-isopropyl-2-oxazoline) in Water through Vibrational Spectroscopy and Molecular Orbital Calculations. Macromolecules 2012, 45, 3531–3541. [Google Scholar] [CrossRef]
- Spinner, H.; Yannopoulis, J.; Metamonski, W. Oxidation-reduction polymers: I. Synthesis of monomers. Can. J. Chem. 1961, 39, 2529–2535. [Google Scholar] [CrossRef]
- Bilibin, A.Y.; Tenkovtsev, A.V.; Skorokhodov, S.S. Thermotropic polyesters, Synthesis of complex monomers for polycondensations. Makromol. Chem. Rapid Commun. 1985, 6, 209–213. [Google Scholar] [CrossRef]
- Bilibin, A.Y.; Tenkovtsev, A.V.; Piraner, O.N.; Skorokhodov, S.S. Investigation of the possibility of transesterification in the polycondensation of dihydroxyl compounds with acid dichlorides containing an ester bond. Makromol. Chem. Rapid Commun. 1989, 10, 249–254. [Google Scholar] [CrossRef]
- Paturej, J.; Sheiko, S.S.; Panyukov, S.; Rubinshtein, M. Molecular structure of bottlebrush polymers in melts. Sci. Adv. 2016, 2, e1601478. [Google Scholar] [CrossRef] [PubMed]
- Allen, B.J.; Elsea, G.M.; Keller, K.P.; Kinder, H.D. Quantitative hydrolysis-gas chromatographic methods for the determination of selected acids and glycols in polyesters. Anal. Chem. 1977, 49, 741–743. [Google Scholar] [CrossRef]
- Sumerlin, B.S.; Neugebauer, D.; Matyjaszewski, K. Initiation Efficiency in the Synthesis of Molecular Brushes by Grafting from via Atom Transfer Radical Polymerization. Macromolecules 2005, 38, 702–708. [Google Scholar] [CrossRef]
- Kurlykin, M.P.; Bursian, A.E.; Golub, O.V.; Filippov, A.P.; Tenkovtsev, A.V. Multicenter polyester initiators for the synthesis of graft copolymers with oligo(2-ethyl-2-oxazoline) side chains. Polym. Sci. Ser. B 2016, 58, 421–427. [Google Scholar] [CrossRef]
- Liang, H.; Morgan, B.J.; Xie, G.; Martinez, M.; Zhulina, E.B.; Matyjaszewski, K.; Sheiko, S.S.; Dobrynin, A.V. Universality of the entanglement plateau modulus of comb-like and bottlebrush polymers. Macromolecules 2018, 51, 10028–10039. [Google Scholar] [CrossRef]
- Lee, H.; Boyce, J.R.; Nese, A.; Sheiko, S.S.; Matyjaszewski, K. pH-induced conformational changes of loosely grafted molecular brushes containing poly(acrylic acid) side chains. Polymer 2008, 49, 5490–5496. [Google Scholar] [CrossRef]
- Grube, M.; Leiske, M.N.; Schubert, U.S.; Nischang, I. POx as an alternative to PEG? A hydrodynamic and light scattering study. Macromolecules 2018, 51, 1905–1916. [Google Scholar] [CrossRef]
- Gubarev, A.S.; Monnery, B.D.; Lezov, A.A.; Sedlacek, O.; Tsvetkov, N.V.; Hoogenboom, R.; Filippov, S.K. Conformational properties of biocompatible poly(2-ethyl-2-oxazoline)s in phosphate buffered saline. Polym. Chem. 2018, 9, 2232–2237. [Google Scholar] [CrossRef]
- Tsvetkov, V.N. Rigid-Chain Polymers; Plenum: New York, NY, USA, 1989; p. 502. [Google Scholar]
- Daoud, M.; Cotton, J.P. Star shaped polymers: A model for the conformation and its concentration dependence. J. Phys. France 1982, 43, 531–538. [Google Scholar] [CrossRef]
- Baek, J.B.; Tan, L.S. Synthesis and properties of polyetherketoneblock-polybenzobisthiazole-block-polyetherketone ABA triblock copolymers. Macromolecules 2008, 41, 1196–1205. [Google Scholar] [CrossRef]
- Gitsov, I.; Frechet, J.M.J. Solution and solid—State properties of hybrid linear-dendritic block-copolymers. Macromolecules 1993, 26, 6536–6546. [Google Scholar] [CrossRef]
- Jeong, M.; Mackay, M.E.; Vestberg, R.; Hawker, C.J. Intrinsic viscosity variation in different solvents for dendrimers and their hybrid copolymers with linear polymers. Macromolecules 2001, 34, 4927–4936. [Google Scholar] [CrossRef]
- Passeno, L.M.; Mackay, E.M.; Baker, L.G. Conformational changes of linear-dendrimer diblock copolymers in dilute solution. Macromolecules 2006, 39, 740–746. [Google Scholar] [CrossRef]
- Zakharova, O.G.; Simonova, M.A.; Tarasova, E.V.; Filippov, A.P.; Semchikov, Y.D. Model and hybrid polystyrenes containing trispentafluorophenylgermyl end groups. Int. J. Polym. Anal. Charact. 2009, 14, 454–467. [Google Scholar] [CrossRef]
- Sung, J.H.; Lee, D.C. Molecular shape of poly(2-ethyl-2-oxazoline) chains in THF. Polymer 2001, 42, 5771–5779. [Google Scholar] [CrossRef]
- Hoogenboom, R. Poly(2-oxazoline)s: Alive and kicking. Macromol. Chem. Phys. 2007, 208, 18–25. [Google Scholar] [CrossRef]
- Ivanova, R.; Komenda, T.; Bonne, T.B.; Lüdtke, K.; Mortensen, K.; Pranzas, P.K.; Jordan, R.; Papadakis, C.M. Micellar Structures of Hydrophilic/Lipophilic and Hydrophilic/Fluorophilic Poly(2-oxazoline) Diblock Copolymers in Water. Macromol. Chem. Phys. 2008, 209, 2248–2258. [Google Scholar] [CrossRef]
- Obeid, R.; Maltseva, E.; Thünemann, A.F.; Tanaka, F.; Winnik, F.M. Temperature response of self-assembled micelles of telechelic hydrophobically modified poly(2-alkyl-2-oxazoline)s in water. Macromolecules 2009, 42, 2204–2214. [Google Scholar] [CrossRef]
- Trinh, L.T.T.; Lambermont-Thijs, H.M.L.; Schubert, U.S.; Hoogenboom, R.; Kjøniksen, A.-L. Thermoresponsive poly(2-oxazoline) block copolymers exhibiting two cloud points: Complex multistep assembly behavior. Macromolecules 2012, 45, 4337–4345. [Google Scholar] [CrossRef]
- Takahashi, R.; Sato, T.; Terao, K.; Qiu, X.-P.; Winnik, F.M. Self-Association of a Thermosensitive Poly(alkyl-2-oxazoline) Block Copolymer in Aqueous Solution. Macromolecules 2012, 45, 6111–6119. [Google Scholar] [CrossRef]
- Trzebicka, B.; Koseva, N.; Mitova, V.; Dworak, A. Organization of poly(2-ethyl-2-oxazoline)-block-poly(2-phenyl-2-oxazoline) copolymers in water solution. Polymer 2010, 51, 2486–2493. [Google Scholar] [CrossRef]
- Schartl, W. Light Scattering from Polymer Solutions and Nanoparticle Dispersions; Springer: Berlin, Germany, 2007. [Google Scholar]
- Cagli, E.; Yildirim, E.; Yang, S.-W.; Erel-Goktepe, I. An Experimental and Computational Approach to pH-Dependent Self-Aggregation of Poly(2-isopropyl-2-oxazoline). J. Polym. Sci. Part B Polym. Phys. 2019, 57, 210–221. [Google Scholar] [CrossRef]
- Dworak, A.; Trzebicka, B.; Kowalczuk, A.; Tsvetanov, C.; Rangelov, S. Polyoxazolines—mechanism of synthesis and solution properties. Polimery 2014, 59, 88–94. [Google Scholar] [CrossRef]
- Boerman, M.A.; Van der Laan, H.L.; Bender, J.C.M.E.; Hoogenboom, R.; Jansen, J.A.; Leeuwenburgh, S.C.; Van Hest, J.C.M. Synthesis of pH- and Thermoresponsive Poly(2-n-propyl-2-Oxazoline) Based Copolymers. J. Polym. Sci. Part A Polym. Chem. 2016, 54, 1573–1582. [Google Scholar] [CrossRef]
- Bivigou-Koumba, A.M.; Görnitz, E.; Laschewsky, A.; Müller-Buschbaum, P.; Papadakis, C.M. Thermoresponsive amphiphilic symmetrical triblock copolymers with a hydrophilic middle block made of poly(N-isopropylacrylamide): Synthesis, self-organization, and hydrogel formation. Colloid Polym. Sci. 2010, 288, 499–517. [Google Scholar] [CrossRef]
- Tarabukina, E.B.; Simonova, M.A.; Bucatariu, S.; Harabagiu, V.; Fundueanu, G.; Filippov, A.P. Behavior of Thermo- and pH-responsive Copolymer of N-Isopropylacrylamide and Maleic Acid in Aqueous Solution. Int. J. Polym. Anal. Char. 2016, 21, 11–17. [Google Scholar] [CrossRef]
- Aseyev, V.; Tenhu, H.; Winnik, F.M. Non-ionic Thermoresponsive Polymers in Water. Adv. Polym. Sci. 2011, 242, 29–89. [Google Scholar]
- Uyama, H.; Kobayashi, S. A Novel Thermo-Sensitive Polymer. Poly(2-iso-propyl-2-oxazoline). Chem. Lett. 1992, 21, 1643–1646. [Google Scholar] [CrossRef]
- Meyer, M.; Antonietti, M.; Schlaad, H. Unexpected thermal characteristics of aqueous solutions of poly(2-isopropyl-2-oxazoline). Soft Matter 2007, 3, 430–431. [Google Scholar] [CrossRef]
- Saha, A.; Ramakrishnan, S. AB2 + A type copolymerization approach for the preparation of thermosensitive PEGylated Hyperbranched polymers. Macromolecules 2008, 41, 5658–5664. [Google Scholar] [CrossRef]
- Contreras, M.M.; Mattea, C.; Rueda, J.C.; Stapf, S.; Bajd, F. Synthesis and characterization of block copolymers from 2-oxazolines. Des. Monomers Polym. 2015, 18, 170–179. [Google Scholar] [CrossRef][Green Version]
- Gao, Y.; Wong, K.Y.; Ahiabu, A.; Serpe, M.J. Sequential and controlled release of small molecules from poly(N-isopropylacrylamide) microgel-based reservoir devices. J. Mater. Chem. B 2016, 4, 5144–5150. [Google Scholar] [CrossRef] [PubMed]
- Amirova, A.; Rodchenko, S.; Filippov, A. Time dependence of the aggregation of star-shaped poly(2-isopropyl-2-oxazolines) in aqueous solutions. J. Polym. Res. 2016, 23, 221. [Google Scholar] [CrossRef]
- Filippov, A.P.; Tarabukina, E.B.; Simonova, M.A.; Kirila, T.U.; Fundueanu, G.; Harabagiu, V.; Constantin, M.; Popescu, I. Synthesis and investigation of double stimuli-responsive behavior of N-isopropylacrylamide and maleic acid copolymer. J. Macromol. Sci. Part B Phys. 2015, 54, 1105–1121. [Google Scholar] [CrossRef]













| Polymer | Mw (g·mol−1) | PDI | DP | Rh (nm) | [η], cm3·g−1 |
|---|---|---|---|---|---|
| APE-g-PiPrOx | 74,000 | 2.6 | 9.5 ± 0.7 | 6.0 ± 0.3 | |
| PiPrOx-m | 16,600 | 1.4 | 3.4 ± 0.3 | 13.0 ± 0.3 | |
| APE [55] | 19,000 | 27 | - | - | |
| side chain | 4300 | 1.45 | 37 | - | - |
Publisher’s Note: MDPI stays neutral with regard to jurisdictional claims in published maps and institutional affiliations. |
© 2020 by the authors. Licensee MDPI, Basel, Switzerland. This article is an open access article distributed under the terms and conditions of the Creative Commons Attribution (CC BY) license (http://creativecommons.org/licenses/by/4.0/).
Share and Cite
Tarabukina, E.; Fatullaev, E.; Krasova, A.; Kurlykin, M.; Tenkovtsev, A.; Sheiko, S.S.; Filippov, A. Synthesis, Structure, Hydrodynamics and Thermoresponsiveness of Graft Copolymer with Aromatic Polyester Backbone at Poly(2-isopropyl-2-oxazoline) Side Chains. Polymers 2020, 12, 2643. https://doi.org/10.3390/polym12112643
Tarabukina E, Fatullaev E, Krasova A, Kurlykin M, Tenkovtsev A, Sheiko SS, Filippov A. Synthesis, Structure, Hydrodynamics and Thermoresponsiveness of Graft Copolymer with Aromatic Polyester Backbone at Poly(2-isopropyl-2-oxazoline) Side Chains. Polymers. 2020; 12(11):2643. https://doi.org/10.3390/polym12112643
Chicago/Turabian StyleTarabukina, Elena, Emil Fatullaev, Anna Krasova, Mikhail Kurlykin, Andrey Tenkovtsev, Sergei S. Sheiko, and Alexander Filippov. 2020. "Synthesis, Structure, Hydrodynamics and Thermoresponsiveness of Graft Copolymer with Aromatic Polyester Backbone at Poly(2-isopropyl-2-oxazoline) Side Chains" Polymers 12, no. 11: 2643. https://doi.org/10.3390/polym12112643
APA StyleTarabukina, E., Fatullaev, E., Krasova, A., Kurlykin, M., Tenkovtsev, A., Sheiko, S. S., & Filippov, A. (2020). Synthesis, Structure, Hydrodynamics and Thermoresponsiveness of Graft Copolymer with Aromatic Polyester Backbone at Poly(2-isopropyl-2-oxazoline) Side Chains. Polymers, 12(11), 2643. https://doi.org/10.3390/polym12112643

