Enhanced Heat Resistance of Acrylic Pressure-Sensitive Adhesive by Incorporating Silicone Blocks Using Silicone-Based Macro-Azo-Initiator
Abstract
:1. Introduction
2. Experimental
2.1. Materials
2.2. Synthesis of Silicone Block-Containing Acrylic PSA (SPSA)
2.3. Synthesis of Silicone Urethane Dimethacrylate (SiUDMA)
2.4. Preparation of PSA Tape Samples
2.5. Measurements
3. Results and Discussion
3.1. Synthesis and Characterization of SPSAs
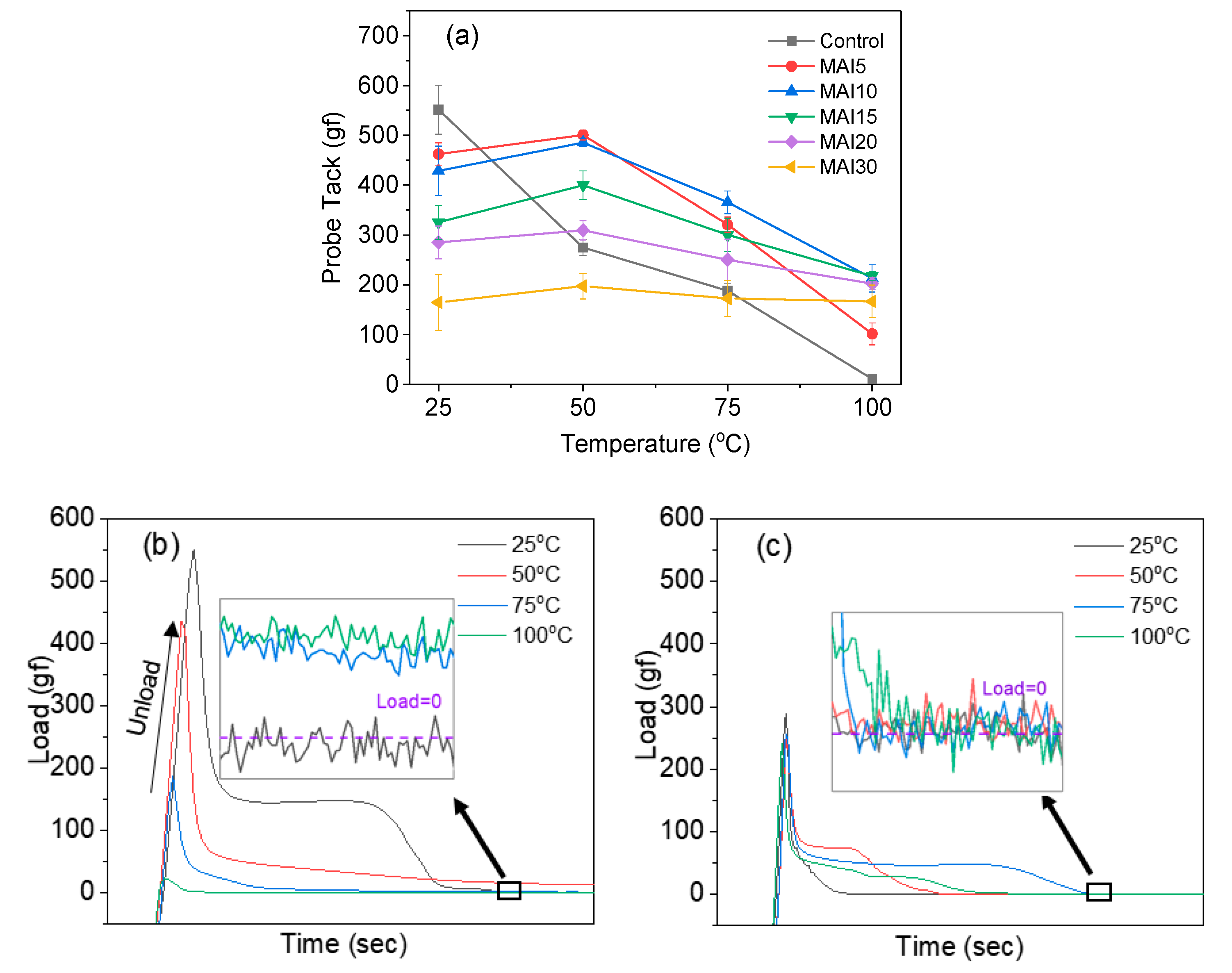
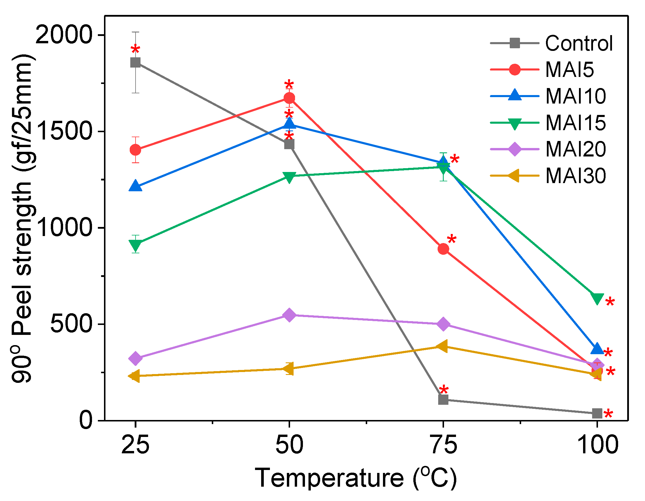
3.2. Adhesion Property and Thermal Stability of SPSA
3.3. Adhesion Property of SPSA on SUS and PP
3.4. Adhesion Property Modification of SPSA by SiUDMA
4. Conclusions
Supplementary Materials
Author Contributions
Funding
Conflicts of Interest
References
- Satas, D. Handbook of Pressure Sensitive Adhesive Technology, 3rd ed.; Satas & Associates: Warwick, RI, USA, 1989; pp. 1–21. [Google Scholar]
- Feldstein, M.M.; Bovaldinova, K.A.; Bermesheva, E.V.; Moscalets, A.P.; Dormidontova, E.E.; Grinberg, V.Y.; Khokhlov, A.R. Thermo-Switchable Pressure-Sensitive Adhesives Based on Poly(N-vinyl caprolactam) Non-Covalently Cross-Linked by Poly(ethylene glycol). Macromolecules 2014, 47, 5759–5767. [Google Scholar] [CrossRef]
- Czech, Z. Development in the area of UV-crosslinkable solvent-based pressure-sensitive adhesives with excellent shrinkage resistance. Eur. Polym. J. 2004, 40, 2221–2227. [Google Scholar] [CrossRef]
- Lee, J.-H.; Lee, T.-H.; Shim, K.-S.; Park, J.-W.; Kim, H.-J.; Kim, Y.; Jung, S. Effect of crosslinking density on adhesion performance and flexibility properties of acrylic pressure sensitive adhesives for flexible display applications. Int. J. Adhes. Adhes. 2017, 74, 137–143. [Google Scholar] [CrossRef]
- Zhang, X.; He, J.; Yue, L.; Bai, Y.; Liu, H. Heat resistance of acrylic pressure-sensitive adhesives based on commercial curing agents and UV/heat curing systems. J. Appl. Polym. Sci. 2018, 136, 1–11. [Google Scholar] [CrossRef]
- Zhang, X.; Liu, H.; Yue, L.; Bai, Y.; He, J. Fabrication of acrylic pressure-sensitive adhesives containing maleimide for heat-resistant adhesive applications. Polym. Bull. 2018, 76, 3093–3112. [Google Scholar] [CrossRef]
- Antosik, A.K.; Mozelewska, K.; Pełech, R.; Czech, Z.; Antosik, N.A. Conductive Electric Tapes Based on Silicone Pressure-Sensitive Adhesives. Silicon 2020, 1–9. [Google Scholar] [CrossRef]
- Meng, J.; Zeng, Y.; Zhu, G.; Zhang, J.; Chen, P.; Cheng, Y.; Fang, Z.; Guo, K. Sustainable bio-based furan epoxy resin with flame retardancy. Polym. Chem. 2019, 10, 2370–2375. [Google Scholar] [CrossRef]
- Chen, J.H.; Zhao, Q.; Wang, Y.; Luo, F.; Shen, L.; Wu, K.; Liang, L.Y.; Lu, M. Improvement in mechanical properties and thermal stability of solvent-based pressure-sensitive adhesives based on triazine heterocyclic monomer. J. Appl. Polym. Sci. 2015, 133, 43281. [Google Scholar] [CrossRef]
- Pang, B.; Ryu, C.-M.; Kim, H.-I. Improvement of thermal stability of UV curable pressure sensitive adhesive by surface modified silica nanoparticles. Mater. Sci. Eng. B 2013, 178, 1212–1218. [Google Scholar] [CrossRef]
- Joo, H.-S.; Do, H.-S.; Park, Y.-J.; Kim, H.-J. Adhesion performance of UV-cured semi-IPN structure acrylic pressure sensitive adhesives. J. Adhes. Sci. Technol. 2006, 20, 1573–1594. [Google Scholar] [CrossRef]
- Traver, F.; Merrill, D.F. Silicone Adhesive and Organic Adhesive Emulsions. U.S. Patent 4,791,163, 13 December 1988. [Google Scholar]
- Ha, J.W.; Kim, Y.-M.; Han, J.S.; Song, K.J.; Kim, M.Y.; Lee, K. Acryl-Silicone-Based Hybrid Emulsion Adhesive Composition and Method of Preparing the Same. U.S. Patent 9,856,405B2, 2 January 2018. [Google Scholar]
- Kim, P.-S.; Lee, S.-W.; Park, J.-W.; Park, C.-H.; Kim, H.-J. Synthesis and characterization of thermally stable acrylic PSA using silicone urethane methacrylate with a semi-IPN structure. J. Adhes. Sci. Technol. 2013, 28, 15–30. [Google Scholar] [CrossRef]
- Inoue, H.; Ueda, A.; Nagai, S. Block copolymers derived from azobiscyanopentanoic acid. X. Synthesis of silicone–vinyl block copolymers via polysiloxane (azobiscyanopentanamide)s. J. Polym. Sci. Part A Polym. Chem. 1988, 26, 1077–1092. [Google Scholar] [CrossRef]
- Nagamune, T.; Ueda, A.; Nagai, S. Synthesis of (AB)n-type block copolymers employing surface-active macro-azo initiators. J. Appl. Polym. Sci. 1996, 62, 359–365. [Google Scholar] [CrossRef]
- Chang, T.; Chen, H.; Chiu, Y.; Ho, S. Degradation of polydimethylsiloxane-block-polystyrene copolymer. Polym. Degrad. Stab. 1997, 57, 7–14. [Google Scholar] [CrossRef]
- Sargent, J.R.; Weber, W.P. Novel synthesis of triblock PDMS-PS-PDMS copolymers. J. Polym. Sci. Part A Polym. Chem. 2000, 38, 482–488. [Google Scholar] [CrossRef]
- Ji, F.; Fu, P.; Wang, S.; Liu, T.; Lv, L.; Guan, X.; Zhang, X.; Zhao, H.; Qiao, X.; Pang, X.; et al. Novel biocompatible multiblock Polydimethylsiloxane-PA1212 copolymers. React. Funct. Polym. 2020, 154, 104688. [Google Scholar] [CrossRef]
- Deniz, S.; Baran, N.; Akgün, M.; Akgün, N.A.; Dinçer, S. Synthesis and characterization of block copolymers using polysiloxane based macroazoinitiator. Turk. J. Chem. 2004, 28, 645–657. [Google Scholar]
- Nakamura, K.; Fujimoto, K.; Kawaguchi, H. Dispersion polymerization of methyl methacrylate using macro-azo-initiator. Colloids Surf. A Physicochem. Eng. Asp. 1999, 153, 195–201. [Google Scholar] [CrossRef]
- Park, H.-W.; Seo, H.-S.; Lee, J.-H.; Shin, S. Adhesion improvement of the acrylic pressure-sensitive adhesive to low-surface-energy substrates using silicone urethane dimethacrylates. Eur. Polym. J. 2020, 137, 109949. [Google Scholar] [CrossRef]
- Owens-Wendt. Owens-Wendt Surface Energy Calculation; First Ten Angstroms: Cambridge, UK, 1998; pp. 4–7. [Google Scholar]
- Pabin-Szafko, B.; Wisniewska, E.; Czech, Z. Selected Radical Azoinitiators in the Synthesis of Solvent-Borne Acrylic Pressure-Sensitive Adhesives. Chem. Chem. Technol. 2009, 3, 101–106. [Google Scholar]
- Gdalin, B.E.; Bermesheva, E.V.; Shandryuk, G.A.; Feldstein, M.M. Effect of Temperature on Probe Tack Adhesion: Extension of the Dahlquist Criterion of Tack. J. Adhes. 2011, 87, 111–138. [Google Scholar] [CrossRef]
- Kim, H.-J.; Mizumachi, H. Miscibility and shear creep resistance of acrylic pressure-sensitive adhesives: Acrylic copolymer and tackifier resin systems. J. Appl. Polym. Sci. 1995, 58, 1891–1899. [Google Scholar] [CrossRef]
- Kim, H.-J.; Mizumachi, H. Miscibility between components of acrylic pressure-sensitive adhesives: Phase diagrams of poly (butyl acrylate-co-acrylic acid) and esterified rosins. J. Appl. Polym. Sci. 1995, 57, 175–185. [Google Scholar] [CrossRef]
- Kim, H.-J.; Mizumachi, H. Miscibility and Probe Tack of Acrylic Pressure Sensitive Adhesives—Acrylic Copolymer/Tackifier Resin Systems. J. Adhes. 1995, 49, 113–132. [Google Scholar] [CrossRef]
- Inoue, H.; Matsumoto, A.; Matsukawa, K.; Ueda, A.; Nagai, S. Surface characteristics of polydimethylsiloxane—poly (methyl methacrylate) block copolymers and their PMMA blends. J. Appl. Polym. Sci. 1990, 41, 1815–1829. [Google Scholar] [CrossRef]
- Benedek, I. Pressure-Sensitive Adhesives and Applications, 2nd ed.; Marcel Dekker Inc.: New York, NY, USA, 2004; pp. 262–265. [Google Scholar]














| Sample Code | 2-EHA | AA | IBA | Initiator | ||||
|---|---|---|---|---|---|---|---|---|
| g | mmol | g | mmol | g | mmol | g | Azo Group (mmol) | |
| Control * | 75.00 | 398.85 | 5.00 | 68.70 | 20 | 81.62 | 0.084 | 0.50 |
| MAI5 | 71.25 | 378.91 | 4.75 | 65.26 | 19 | 77.53 | 5.00 | 0.50 |
| MAI10 | 67.50 | 358.96 | 4.50 | 61.83 | 18 | 73.45 | 10.00 | 1.00 |
| MAI15 | 63.75 | 341.02 | 4.25 | 58.39 | 17 | 69.37 | 15.00 | 1.50 |
| MAI20 | 60.00 | 319.08 | 4.00 | 54.95 | 16 | 35.29 | 20.00 | 2.00 |
| MAI30 | 52.50 | 279.19 | 3.50 | 48.08 | 14 | 57.13 | 30.00 | 3.00 |
| Sample Code | MAI20 * (g) | SiUDMA (g) | EA (g) | UV Dose (mJ/cm2) | |
|---|---|---|---|---|---|
| MAI20/20 | 10 (4/6) | 1.0 | 1.5 | - | - |
| MAI20/20U1 | 10 (4/6) | 1.0 | 1.5 | 200 | - |
| MAI20/20U2 | 10 (4/6) | 1.0 | 1.5 | - | 1000 |
| Mn/Mw/PDI | Solution Viscosity (40%, mPas) | Gel Fraction (%) | |
|---|---|---|---|
| Control | 127,000/301,000/2.37 | 1601 | 0.00 |
| MAI5 | 164,900/414,000/2.51 | 69,600 | 0.00 |
| MAI10 | 151,000/409,000/2.71 | 61,300 | 0.00 |
| MAI15 | 94,300/373,000/3.95 | 58,800 | 0.07 |
| MAI20 | 83,000/337,000/4.06 | 58,310 | 0.53 |
| MAI30 | 49,900/248,400/4.97 | 721,000 | 15.84 |
| Sample | SiUDMA (wt%) | Solution Viscosity (40 wt%, 25 °C, mPas) | Gel Fraction (%) | Film Haze (%) | UV (mJ/cm2) | |
|---|---|---|---|---|---|---|
| MAI20 | 0 | 58,300 | 0.53 | 34.65 | - | - |
| MAI20/20 | 20 | 25,500 | 0.12 | 18.34 | - | - |
| MAI20/20U1 | 20 | - | 28.43 | 16.14 | 200 | - |
| MAI20/20U2 | - | 88.21 | 15.12 | - | 1000 | |
Publisher’s Note: MDPI stays neutral with regard to jurisdictional claims in published maps and institutional affiliations. |
© 2020 by the authors. Licensee MDPI, Basel, Switzerland. This article is an open access article distributed under the terms and conditions of the Creative Commons Attribution (CC BY) license (http://creativecommons.org/licenses/by/4.0/).
Share and Cite
Park, H.-W.; Seo, H.-S.; Kwon, K.; Lee, J.-H.; Shin, S. Enhanced Heat Resistance of Acrylic Pressure-Sensitive Adhesive by Incorporating Silicone Blocks Using Silicone-Based Macro-Azo-Initiator. Polymers 2020, 12, 2410. https://doi.org/10.3390/polym12102410
Park H-W, Seo H-S, Kwon K, Lee J-H, Shin S. Enhanced Heat Resistance of Acrylic Pressure-Sensitive Adhesive by Incorporating Silicone Blocks Using Silicone-Based Macro-Azo-Initiator. Polymers. 2020; 12(10):2410. https://doi.org/10.3390/polym12102410
Chicago/Turabian StylePark, Hee-Woong, Hyun-Su Seo, Kiok Kwon, Jung-Hyun Lee, and Seunghan Shin. 2020. "Enhanced Heat Resistance of Acrylic Pressure-Sensitive Adhesive by Incorporating Silicone Blocks Using Silicone-Based Macro-Azo-Initiator" Polymers 12, no. 10: 2410. https://doi.org/10.3390/polym12102410
APA StylePark, H.-W., Seo, H.-S., Kwon, K., Lee, J.-H., & Shin, S. (2020). Enhanced Heat Resistance of Acrylic Pressure-Sensitive Adhesive by Incorporating Silicone Blocks Using Silicone-Based Macro-Azo-Initiator. Polymers, 12(10), 2410. https://doi.org/10.3390/polym12102410

