1,3-Dioxolan-4-Ones as Promising Monomers for Aliphatic Polyesters: Metal-Free, in Bulk Preparation of PLA
Abstract
1. Introduction
2. Materials and Methods
2.1. Materials
2.2. Monomers Synthesis
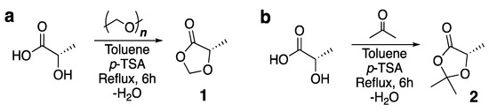
2.2.1. Synthesis of 1,3-Dioxolan-4-One (MeDOX)
2.2.2. Synthesis of 2,2,5-Trimethyl-1,3-Dioxolan-4-One (Me3DOX)
2.3. Optimized Polymerization Procedure
2.4. Characterization
2.4.1. Size Exclusion Chromatography (SEC)
2.4.2. 1H NMR Analyses
2.4.3. DSC Analysis
- Heating from 25 °C to 190 °C at 10 °C/min;
- 5 min isotherm at 190 °C;
- Cooling from 190 °C to 25 °C at 10 °C/min;
- 2 min isotherm at 25 °C;
- Heating from 25 °C to 190 °C at 10 °C/min.
2.4.4. MALDI-ToF
3. Results
3.1. Polymerization Reaction of 1,3-Dioxolan-4-One
3.2. Polymerization Reaction of 2,2,5-Trimethyl-1,3-Dioxolan-4-One
3.2.1. Catalyst Screening
3.2.2. Catalyst Loading
3.3. Evaluation of Monomer Reactivity and Molecular Weight Growth
3.4. MALDI-ToF
3.5. DSC Analysis
3.6. 1H NMR Analysis
4. Conclusions
Supplementary Materials
Author Contributions
Funding
Conflicts of Interest
References
- Albertsson, A.C.; Hakkarainen, M. Designed to degrade. Science 2017, 358, 872–873. [Google Scholar] [CrossRef]
- Bandelli, D.; Alex, J.; Weber, C.; Schubert, U.S. Polyester Stereocomplexes Beyond PLA: Could Synthetic Opportunities Revolutionize Established Material Blending? Macromol. Rapid Commun. 2020, 41, e1900560. [Google Scholar] [CrossRef]
- Marques, D.S.; Gil, M.H.; Baptista, C.M.S.G. Improving Lactic Acid Melt Polycondensation: The Role of Co-Catalyst. J. Appl. Polym. Sci. 2013, 128, 2145–2151. [Google Scholar] [CrossRef]
- Dechy-Cabaret, O.; Martin-Vaca, B.; Bourissou, D. Controlled Ring-Opening Polymerization of Lactide and Glycolide. Chem. Rev. 2004, 104, 6147–6176. [Google Scholar] [CrossRef]
- Degée, P.; Dubois, P.; Jerome, R.; Jacobsen, S.; Fritz, H.G. New catalysis for fast bulk ring-opening polymerization of lactide monomers. Macromol. Symp. 1999, 144, 289–302. [Google Scholar] [CrossRef]
- Kalelkar, P.; Collard, D.M. Thiol-substituted copolylactide: Synthesis, characterization and post-polymerization modification using thiol-ene chemistry. Polym. Chem. 2018, 9, 1022–1031. [Google Scholar] [CrossRef]
- Fuoco, T.; Pappalardo, D.; Finne-Wistrand, A. Redox-Responsive Disulfide Cross-Linked PLA−PEG Nanoparticles. Macromolecules 2017, 50, 7052–7061. [Google Scholar] [CrossRef]
- Wang, Y.; Hillmyer, M.A. Synthesis of Polybutadiene−Polylactide Diblock Copolymers Using Aluminum Alkoxide Macroinitiators. Kinetics and Mechanism. Macromolecules 2000, 33, 7395–7403. [Google Scholar] [CrossRef]
- Thillaye du Boullay, O.; Marchal, E.; Martin Vaca, B.; Cossío, F.P.; Bourissou, D. An activated equivalent of lactide toward organocatalytic ring-opening polymerization. J. Am. Chem. Soc. 2006, 128, 16442–16443. [Google Scholar] [CrossRef]
- Martin Vaca, B.; Bourissou, D. O-Carboxyanhydrides: Useful Tools for the Preparation of Well-Defined Functionalized Polyesters. ACS Macro Lett. 2015, 4, 792–798. [Google Scholar] [CrossRef]
- Buchard, A.; Carbery, D.R.; Davidson, M.G.; Ivanova, P.K.; Jeffery, B.J.; Kociok-Köhn, G.I.; Lowe, J.P. Preparation of stereoregular isotactic poly(mandelic acid) through organocatalytic ring-opening polymerization of a cyclic O-carboxyanhydride. Angew. Chem. Int. Ed. 2014, 53, 13858–13861. [Google Scholar] [CrossRef]
- Cairns, S.A.; Schultheiss, A.; Shaver, M.P. A broad scope of aliphatic polyesters prepared by elimination of small molecules from sustainable 1,3-dioxolan-4-ones. Polym. Chem. 2017, 8, 2990–2996. [Google Scholar]
- Martin, R.T.; Camargo, L.P.; Miller, S.A. Marine-degradable polylactic acid. Green Chem. 2014, 16, 1768–1773. [Google Scholar] [CrossRef]
- Kamber, N.E.; Jeong, W.; Waymouth, R.M.; Pratt, R.C.; Lohmeijer, B.G.G.; Hedrick, J.L. Organocatalytic Ring-Opening Polymerization. Chem. Rev. 2007, 107, 5813–5840. [Google Scholar] [CrossRef] [PubMed]
- Nederberg, F.; Connor, E.F.; Moller, M.; Glauser, T.; Hedrick, J.L. New paradigms for organic catalysts: The first organocatalytic living polymerization. Angew. Chem. Int. Ed. 2001, 40, 2172. [Google Scholar] [CrossRef]
- Hewawasam, R.S.; Inush Kalana, U.L.D.I.; Dharmaratne, N.D.; Wright, T.J.; Bannin, T.J.; Kiesewetter, E.T.; Kiesewetter, M.K. Bisurea and Bisthiourea H-Bonding Organocatalysts for Ring-Opening Polymerization: Cues for the Catalyst Design. Macromolecules 2019, 52, 9232–9237. [Google Scholar] [CrossRef]
- Jehanno, C.; Mezzasalma, L.; Sardon, H.; Ruipeŕez, F.; Coulembier, O.; Taton, D. Benzoic Acid as an Efficient Organocatalyst for the Statistical Ring-Opening Copolymerization of ε-Caprolactone and L-Lactide: A Computational Investigation. Macromolecules 2019, 52, 9238–9247. [Google Scholar] [CrossRef]
- Kivijärvi, T.; Pappalardo, D.; Olsén, P.; Wistrand, A.F. Inclusion of isolated α-amino acids along the polylactide chain through organocatalytic ring-opening copolymerization. Eur. Polym. J. 2020, 131, 109703. [Google Scholar]
- Mezzasalma, L.; Dove, A.P.; Coulembier, O. Organocatalytic ring-opening polymerization of L-lactide in bulk: A long standing challenge. Eur. Polym. J. 2017, 95, 628–634. [Google Scholar] [CrossRef]
- Pounder, R.J.; Fox, D.J.; Barker, I.A.; Bennison, M.J.; Dove, A.P. Ring-opening polymerization of an O-carboxyanhydride monomer derived from l-malic acid. Polym. Chem. 2011, 2, 2204–2212. [Google Scholar] [CrossRef]
- Bednarek, M.; Basko, M.; Biedron, T.; Wojtczak, E.; Michalski, A. Polymerization of lactide initiated by primary amines and catalyzed by a protic acid. Eur. Polym. J. 2015, 71, 380–388. [Google Scholar] [CrossRef]
- Saito, T.; Aizawa, Y.; Tajima, K.; Isono, T.; Satoh, T. Organophosphate-catalyzed bulk ring-opening polymerization as an environmentally benign route leading to block copolyesters, end-functionalized polyesters, and polyester-based polyurethane. Polym. Chem. 2015, 6, 4374–4384. [Google Scholar] [CrossRef]
- Delcroix, D.; Couffin, A.; Susperregui, N.; Navarro, C.; Maron, L.; Martin Vaca, B.; Bourissou, D. Phosphoric and phosphoramidic acids as bifunctional catalysts for the ring-opening polymerization of ε-caprolactone: A combined experimental and theoretical study. Polym. Chem. 2011, 2, 2249–2256. [Google Scholar] [CrossRef]
- Gazzotti, S.; Farina, H.; Lesma, G.; Rampazzo, R.; Piergiovanni, L.; Ortenzi, M.A.; Silvani, A. Polylactide/cellulose nanocrystals: The in situ polymerization approach to improved nanocomposites. Eur. Polym. J. 2017, 94, 173–184. [Google Scholar] [CrossRef]
- Gazzotti, S.; Todisco, S.A.; Picozzi, C.; Ortenzi, M.A.; Farina, H.; Lesma, G.; Silvani, A. Eugenol-grafted aliphatic polyesters: Towards inherently antimicrobial PLA-based materials exploiting OCAs chemistry. Eur. Polym. J. 2019, 114, 369–379. [Google Scholar] [CrossRef]
- Gazzotti, S.; Rampazzo, R.; Hakkarainen, M.; Bussini, D.; Ortenzi, M.A.; Farina, H.; Lesma, G.; Silvani, A. Cellulose nanofibrils as reinforcing agents for PLA-based nanocomposites: An in situ approach. Comp. Sci. Tech. 2019, 171, 94–102. [Google Scholar] [CrossRef]
- Gazzotti, S.; Hakkarainen, M.; Adolfsson, K.H.; Ortenzi, M.A.; Farina, H.; Lesma, G.; Silvani, A. One-Pot Synthesis of Sustainable High-Performance Thermoset by Exploiting Eugenol Functionalized 1,3-Dioxolan-4-one. ACS Sustain. Chem. Eng. 2018, 6, 15201–15211. [Google Scholar] [CrossRef]
- Gazzotti, S.; Ortenzi, M.A.; Farina, H.; Disimino, M.; Silvani, A. Carvacrol- and Cardanol-Containing 1,3-Dioxolan-4-ones as Comonomers for the Synthesis of Functional Polylactide-Based Materials. Macromolecules 2020, 53, 6420–6431. [Google Scholar] [CrossRef]
- Kawai, T.; Rahman, N.; Matsuba, G.; Nishida, K.; Kanaya, T.; Nakano, M.; Okamoto, H.; Kawada, J.; Usuki, A.; Honma, N.; et al. Crystallization and Melting Behavior of Poly(L-lactic Acid). Macromolecules 2007, 40, 9463–9469. [Google Scholar] [CrossRef]
- Cocca, M.; Di Lorenzo, M.L.; Malinconico, M.; Frezza, V. Influence of crystal polymorphism on mechanical and barrier properties of poly(L-lactic acid). Eur. Polym. J. 2011, 47, 1073–1080. [Google Scholar] [CrossRef]
- Wojtczak, E.; Biedroń, T.; Bednarek, M. Hydrolytic stability of polylactide stereocomplex microparticles containing metal ions. Polym. Bull. 2019, 76, 1135–1149. [Google Scholar] [CrossRef]
- Jabbari, E.; He, X. Synthesis and characterization of bioresorbable in situ crosslinkable ultra low molecular weight poly(lactide) macromere. J. Mater. Sci. Mater. Med. 2008, 19, 311–318. [Google Scholar] [CrossRef] [PubMed]
- Christ, P.; Lindsay, A.G.; Vormittag, S.S.; Neudorfl, J.M.; Berkessel, A.; O’Donoghue, A.C. pKa Values of Chiral Bronsted Acid Catalysts: Phosphoric Acids/Amides, Sulfonyl/Sulfuryl Imides, and Perfluorinated TADDOLs (TEFDDOLs). Chem. Eur. J. 2011, 17, 8524–8528. [Google Scholar] [CrossRef] [PubMed]
- French, D.C.; Crumrine, D.S. Improved correlation of sulfur-33 chemical shifts with pKa’s of arenesulfonic acids: Use of sulfur-33 NMR for pKa determination. J. Org. Chem. 1990, 55, 5494–5496. [Google Scholar] [CrossRef]
- Pascual, A.; Leiza, J.R.; Mecerreyes, D. Acid catalyzed polymerization of macrolactones in bulk and aqueous miniemulsion: Ring opening vs. condensation. Eur. Polym. J. 2013, 49, 1601–1609. [Google Scholar] [CrossRef]
- Thomas, V.; Maurer, P.; Iftimie, R. On the Formation of Proton-Shared and Contact Ion Pair Forms during the Dissociation of Moderately Strong Acids: An Ab Initio Molecular Dynamics Investigation. J. Phys. Chem. B 2010, 114, 8147–8155. [Google Scholar] [CrossRef] [PubMed]
- Bourissou, D.; Martin Vaca, B.; Dumitrescu, A.; Graullier, M.; Lacombe, F. Controlled Cationic Polymerization of Lactide. Macromolecules 2005, 38, 9993–9998. [Google Scholar] [CrossRef]
- Susperregui, N.; Delcroix, D.; Martin Vaca, B.; Borissou, D.; Maron, L. Ring-Opening Polymerization of ε-Caprolactone Catalyzed by Sulfonic Acids: Computational Evidence for Bifunctional Activation. J. Org. Chem. 2010, 75, 6581–6587. [Google Scholar] [CrossRef] [PubMed]
- Basko, M.; Kubisa, P. Mechanism of propagation in the cationic polymerization of L,L-lactide. J. Polym. Sci. Part A Polym. Chem. 2008, 46, 7919–7923. [Google Scholar] [CrossRef]
- Xu, Y.; Perry, M.R.; Cairns, S.A.; Shaver, M.P. Understanding the ring-opening polymerisation of dioxolanones. Polym. Chem. 2019, 10, 3048–3054. [Google Scholar] [CrossRef]
- Ambrosio-Martin, J.; Fabra, M.J.; Lopez Rubio, A.; Lagaron, J.M. An effect of lactic acid oligomers on the barrier properties of polylactide. J. Mater. Sci. 2014, 49, 2975–2986. [Google Scholar] [CrossRef]









| Entry | Acid | [g mol−1] 1 | pKa |
|---|---|---|---|
| 1 | Triflic acid (TfOH) | 1300 | −14.7 |
| 2 | p-Toluensulfonic acid (p-TSA) | 7700 | −6.7 |
| 3 | Trifluoroacetic acid (TFA) | 7000 | 0.5 |
| 4 | Camphorsulphonic acid (CSA) | 6900 | 1.2 |
| 5 | Diphenylphosphate (DPP) | 956 | 3.9 |
| Entry | p-TSA Loading (m/m%) | [g mol−1] 1 |
|---|---|---|
| 2a.1 | 5% | 7700 |
| 2a.2 | 2% | 7100 |
| 2a.3 | 0.5% | Oligomers |
| Sample | Conversion 1 | Mp [g mol−1] 2 | Ð |
|---|---|---|---|
| 1 h | 25% | Oligomers | // |
| 2 h | 41% | 7600 | 1.3 |
| 4 h | 84% | 7500 | 1.4 |
| 6 h | 100% | 7400 | 1.3 |
| 24 h | 100% | 7400 | 1.5 |
| Purified | // | 7200 | 1.1 |
Publisher’s Note: MDPI stays neutral with regard to jurisdictional claims in published maps and institutional affiliations. |
© 2020 by the authors. Licensee MDPI, Basel, Switzerland. This article is an open access article distributed under the terms and conditions of the Creative Commons Attribution (CC BY) license (http://creativecommons.org/licenses/by/4.0/).
Share and Cite
Gazzotti, S.; Ortenzi, M.A.; Farina, H.; Silvani, A. 1,3-Dioxolan-4-Ones as Promising Monomers for Aliphatic Polyesters: Metal-Free, in Bulk Preparation of PLA. Polymers 2020, 12, 2396. https://doi.org/10.3390/polym12102396
Gazzotti S, Ortenzi MA, Farina H, Silvani A. 1,3-Dioxolan-4-Ones as Promising Monomers for Aliphatic Polyesters: Metal-Free, in Bulk Preparation of PLA. Polymers. 2020; 12(10):2396. https://doi.org/10.3390/polym12102396
Chicago/Turabian StyleGazzotti, Stefano, Marco Aldo Ortenzi, Hermes Farina, and Alessandra Silvani. 2020. "1,3-Dioxolan-4-Ones as Promising Monomers for Aliphatic Polyesters: Metal-Free, in Bulk Preparation of PLA" Polymers 12, no. 10: 2396. https://doi.org/10.3390/polym12102396
APA StyleGazzotti, S., Ortenzi, M. A., Farina, H., & Silvani, A. (2020). 1,3-Dioxolan-4-Ones as Promising Monomers for Aliphatic Polyesters: Metal-Free, in Bulk Preparation of PLA. Polymers, 12(10), 2396. https://doi.org/10.3390/polym12102396

