Core-Shell Nanofibers of Polyvinylidene Fluoride-based Nanocomposites as Piezoelectric Nanogenerators
Abstract
1. Introduction
2. Experimental Techniques
2.1. Materials
2.2. Synthesis of TiO2 and ZnO Nanomaterials
2.3. Fabrication of Nanocomposite Membranes by Coaxial Electrospinning
2.4. Characterization Techniques
3. Results and Discussion
3.1. Morphology of TiO2 and ZnO Nanomaterials
3.2. Morphology and Structure of Coaxially Electrospun PVDF-HFP/PVDF Fibers Containing TiO2 and ZnO Nanomaterials
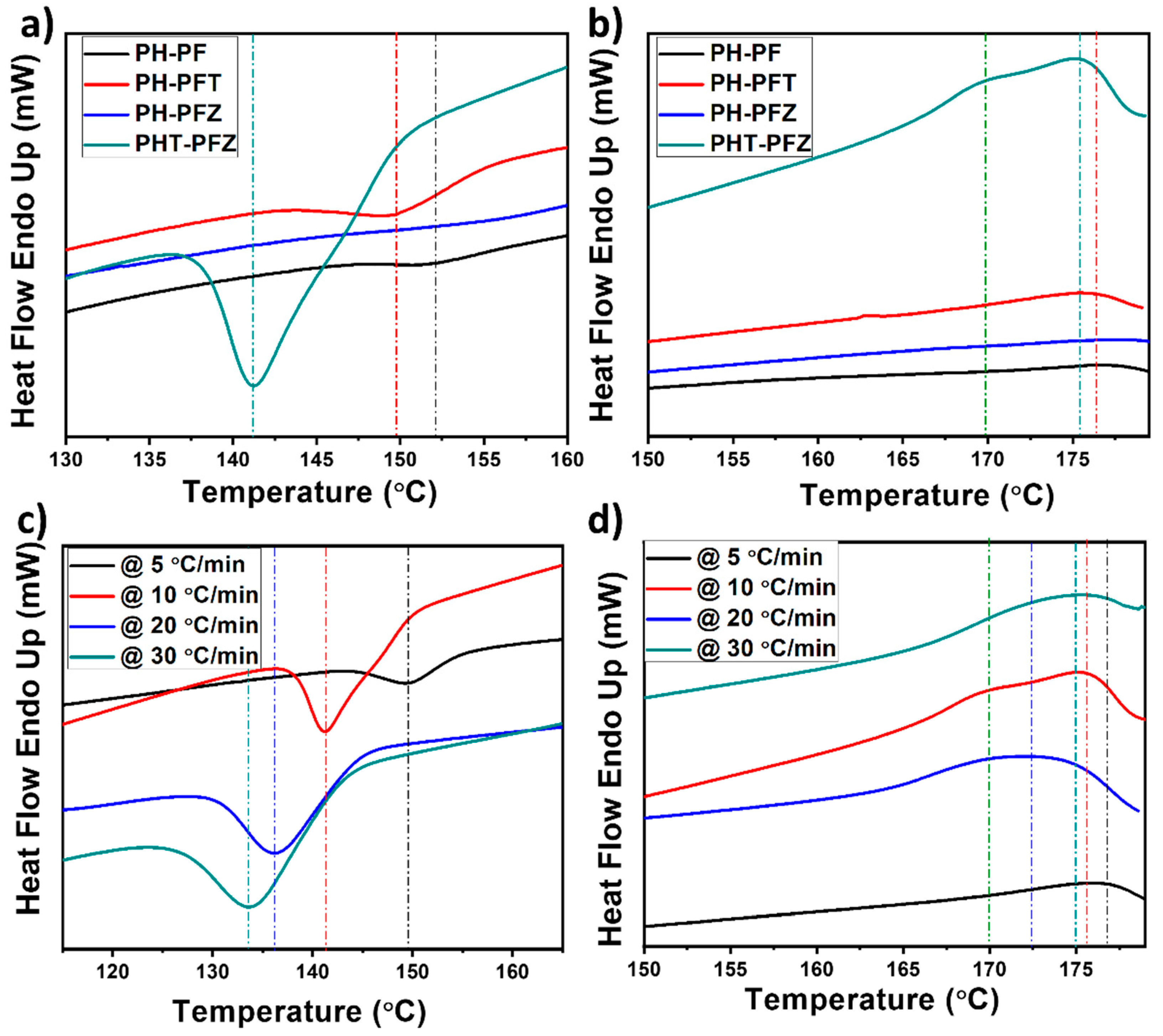
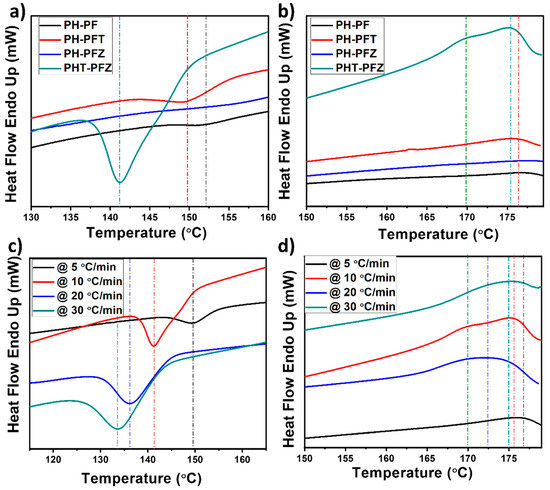
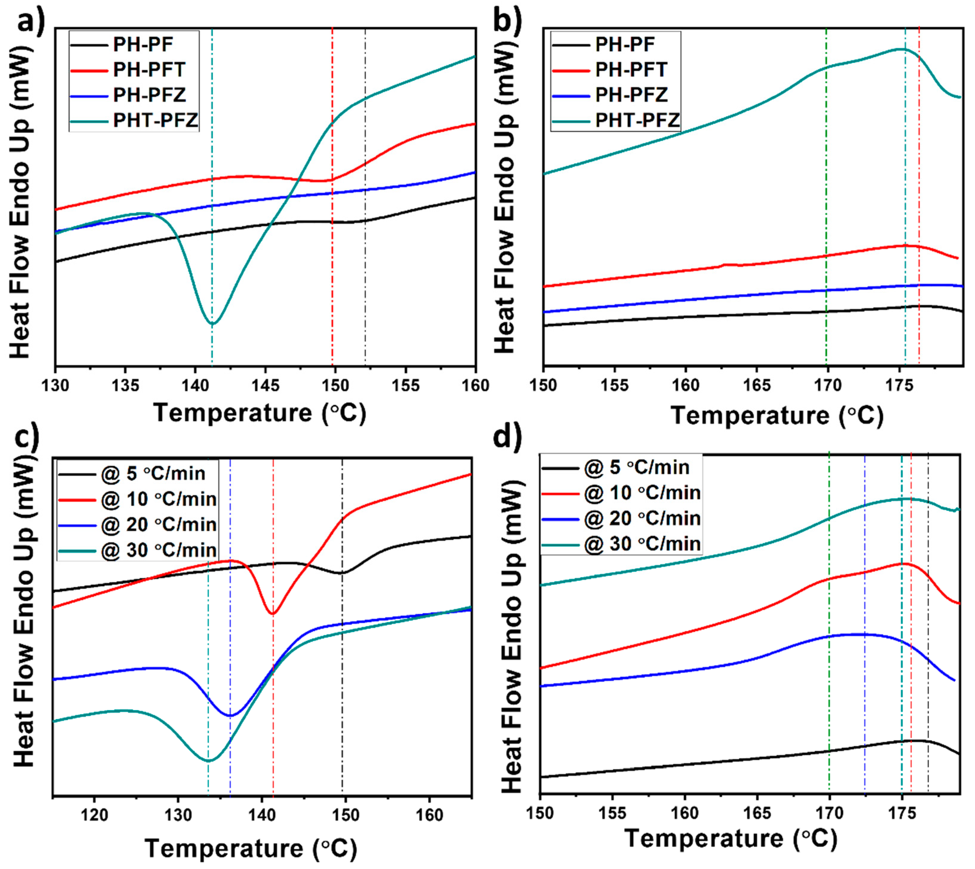
3.3. Crystallinity Studies and Thermal Characteristics of Coaxially Electrospun PVDF-HFP/PVDF Nanofibers
3.4. Energy Harvesting Performance of Coaxially Electrospun PVDF-HFP/PVDF Nanocomposite Fibers
3.5. Dielectric Properties of Coaxially Electrospun PVDF-HFP/PVDF Fibers
4. Conclusions
Supplementary Materials
Author Contributions
Funding
Conflicts of Interest
References
- Al-Maadeed, M.A.A.; Ponnamma, D. Role of research and higher education on industry 4.0, material science as an example. In Proceedings of the International Conference on Informatics, IoT, and Enabling Technologies (ICIoT), Doha, Qatar, 2–5 February 2020; pp. 435–439. [Google Scholar] [CrossRef]
- Bello, O.; Zeadally, S.; Badra, M. Network layer inter-operation of Device-to-Device communication technologies in Internet of Things (IoT). Ad Hoc Netw. 2017, 57, 52–62. [Google Scholar] [CrossRef]
- Dutta, B.; Kar, E.; Bose, N.; Mukherjee, S. NiO@ SiO2/PVDF: A Flexible Polymer Nanocomposite for a High Performance Human Body Motion-Based Energy Harvester and Tactile e-Skin Mechanosensor. ACS Sustain. Chem. Eng. 2018, 6, 10505–10516. [Google Scholar] [CrossRef]
- Hamlehdar, M.; Kasaeian, A.; Safaei, M.R. Energy harvesting from fluid flow using piezoelectrics: A critical review. Renew. Energy. 2019, 143, 1826–1838. [Google Scholar] [CrossRef]
- Wang, Z.L. Towards self-powered nanosystems: From nanogenerators to nanopiezotronics. Adv. Funct. Mater. 2008, 18, 3553–3567. [Google Scholar] [CrossRef]
- Chang, J.; Dommer, M.; Chang, C.; Lin, L. Piezoelectric nanofibers for energy scavenging applications. Nano Energy 2012, 1, 356–371. [Google Scholar] [CrossRef]
- Wang, Z.L.; Zhu, G.; Yang, Y.; Wang, S.; Pan, C. Progress in nanogenerators for portable electronics. Mater. Today 2012, 15, 532–543. [Google Scholar] [CrossRef]
- Ponnamma, D.; Al-Maadeed, M.A. Influence of BaTiO3/white graphene filler synergy on the energy harvesting performance of a piezoelectric polymer nanocomposite. Sustain. Energy Fuels 2019, 3, 774–785. [Google Scholar] [CrossRef]
- Ponnamma, D.; Chamakh, M.M.; Deshmukh, K.; Ahamed, M.B.; Erturk, A.; Sharma, P.; Al-Maadeed, M.A. Ceramic-based polymer nanocomposites as piezoelectric materials. In Smart Polymer Nanocomposites; Springer: Cham, Switzerland, 2017; pp. 77–93. [Google Scholar]
- Thirmal, C.; Nayek, C.; Murugavel, P.; Subramanian, V. Magnetic, dielectric and magnetodielectric properties of PVDF-La0. 7Sr0. 3MnO3 polymer nanocomposite film. AIP Adv. 2013, 3, 112109. [Google Scholar] [CrossRef]
- Wang, C.; Xia, K.; Wang, H.; Liang, X.; Yin, Z.; Zhang, Y. Advanced carbon for flexible and wearable electronics. Adv. Mater. 2019, 31, 1801072. [Google Scholar] [CrossRef]
- Al-Saygh, A.; Ponnamma, D.; Al-Maadeed, M.A.; Vijayan, P.; Karim, A.; Hassan, M.K. Flexible pressure sensor based on PVDF nanocomposites containing reduced graphene oxide-titania hybrid nanolayers. Polymers 2017, 9, 33. [Google Scholar] [CrossRef]
- Issa, A.A.; Al-Maadeed, M.A.; Luyt, A.S.; Ponnamma, D.; Hassan, M.K. Physico-mechanical, dielectric, and piezoelectric properties of PVDF electrospun mats containing silver nanoparticles. C J. Carbon Res. 2017, 3, 30. [Google Scholar] [CrossRef]
- Martins, P.; Lopes, A.C.; Lanceros-Mendez, S. Electroactive phases of poly (vinylidene fluoride): Determination, processing and applications. Prog. Polym. Sci. 2014, 39, 683–706. [Google Scholar] [CrossRef]
- Singh, D.; Choudhary, A.; Garg, A. Flexible and Robust Piezoelectric Polymer Nanocomposites Based Energy Harvesters. ACS Appl. Mat. Interf. 2018, 10, 2793–2800. [Google Scholar] [CrossRef] [PubMed]
- El-Samak, A.A.; Ponnamma, D.; Hassan, M.K.; Ammar, A.; Adham, S.; Al-Maadeed, M.A.; Karim, A. Designing Flexible and Porous Fibrous Membranes for Oil Water Separation—A Review of Recent Developments. Polym. Rev. 2020, 1–46. [Google Scholar] [CrossRef]
- Ponnamma, D.; Aljarod, O.; Parangusan, H.; Al-Maadeed, M.A. Electrospun nanofibers of PVDF-HFP composites containing magnetic nickel ferrite for energy harvesting application. Mater. Chem. Phys. 2020, 239, 122257. [Google Scholar] [CrossRef]
- Ponnamma, D.; Sadasivuni, K.K.; Al-Maadeed, M.A.; Thomas, S. Developing Polyaniline Filled Isoprene Composite Fibers by Electrospinning: Effect of Filler Concentration on the Morphology and Glass Transition. Polym. Sci. Ser. A 2019, 61, 194–202. [Google Scholar] [CrossRef]
- Ponnamma, D.; Parangusan, H.; Tanvir, A.; Al-Maadeed, M.A. Smart and robust electrospun fabrics of piezoelectric polymer nanocomposite for self-powering electronic textiles. Mater. Des. 2019, 184, 108176. [Google Scholar] [CrossRef]
- Parangusan, H.; Ponnamma, D.; Al-Maadeed, M.A. Stretchable electrospun PVDF-HFP/Co-ZnO nanofibers as piezoelectric nanogenerators. Sci. Rep. 2018, 8, 1. [Google Scholar] [CrossRef] [PubMed]
- Baniasadi, M.; Huang, J.; Xu, Z.; Moreno, S.; Yang, X.; Chang, J.; Quevedo-Lopez, M.A.; Naraghi, M.; Minary-Jolandan, M. High-performance coils and yarns of polymeric piezoelectric nanofibers. ACS Appl. Mater. Interfaces 2015, 7, 5358–5366. [Google Scholar] [CrossRef] [PubMed]
- Parangusan, H.; Ponnamma, D.; Al-Maadeed, M.A. Flexible tri-layer piezoelectric nanogenerator based on PVDF-HFP/Ni-doped ZnO nanocomposites. RSC Adv. 2017, 7, 50156–50165. [Google Scholar] [CrossRef]
- Wang, Z.L.; Yang, R.; Zhou, J.; Qin, Y.; Xu, C.; Hu, Y.; Xu, S. Lateral nanowire/nanobelt based nanogenerators, piezotronics and piezo-phototronics. Mater. Sci. Eng. Rep. 2010, 70, 320–329. [Google Scholar] [CrossRef]
- Yang, L.; Ji, H.; Zhu, K.; Wang, J.; Qiu, J. Dramatically improved piezoelectric properties of poly (vinylidene fluoride) composites by incorporating aligned TiO2@ MWCNTs. Compos. Sci. Technol. 2016, 123, 259–267. [Google Scholar] [CrossRef]
- Han, D.; Steckl, A.J. Coaxial electrospinning formation of complex polymer fibers and their applications. ChemPlusChem 2019, 84, 1453–1497. [Google Scholar] [CrossRef] [PubMed]
- Zhou, F.L.; Hubbard, P.L.; Eichhorn, S.J.; Parker, G.J. Jet deposition in near-field electrospinning of patterned polycaprolactone and sugar-polycaprolactone core–shell fibres. Polymer 2011, 52, 3603–3610. [Google Scholar] [CrossRef]
- Na, H.; Chen, P.; Wong, S.C.; Hague, S.; Li, Q. Fabrication of PVDF/PVA microtubules by coaxial electrospinning. Polymer 2012, 53, 2736–2743. [Google Scholar] [CrossRef]
- Du, P.; Song, L.; Xiong, J.; Li, N.; Xi, Z.; Wang, L.; Jin, D.; Guo, S.; Yuan, Y. Coaxial electrospun TiO2/ZnO core–sheath nanofibers film: Novel structure for photoanode of dye-sensitized solar cells. Electrochim. Acta 2012, 78, 392–397. [Google Scholar] [CrossRef]
- Ponnamma, D.; Al-Maadeed, M.A. 3D architectures of titania nanotubes and graphene with efficient nanosynergy for supercapacitors. Mater. Des. 2017, 117, 203–212. [Google Scholar] [CrossRef]
- Jo, W.K.; Natarajan, T.S. Influence of TiO2 morphology on the photocatalytic efficiency of direct Z-scheme g-C3N4/TiO2 photocatalysts for isoniazid degradation. Chem. Eng. J. 2015, 281, 549–565. [Google Scholar] [CrossRef]
- Kant, K.; Losic, D. A simple approach for synthesis of TiO2 nanotubes with through-hole morphology. Phys. Status Solidi Rapid Res. Lett. 2009, 3, 139–141. [Google Scholar] [CrossRef]
- Parangusan, H.; Ponnamma, D.; Al-Maadeed, M.A. Investigation on the effect of γ-irradiation on the dielectric and piezoelectric properties of stretchable PVDF/Fe–ZnO nanocomposites for self-powering devices. Soft Matter 2018, 14, 8803–8813. [Google Scholar] [CrossRef]
- Nguyen, T.T.; Lee, J.G.; Park, J.S. Fabrication and characterization of coaxial electrospun polyethylene glycol/polyvinylidene fluoride (core/sheath) composite non-woven mats. Macromol. Res. 2011, 19, 370–378. [Google Scholar] [CrossRef]
- Liao, I.C.; Leong, K.W. Efficacy of engineered FVIII-producing skeletal muscle enhanced by growth factor-releasing co-axial electrospun fibers. Biomaterials 2011, 32, 1669–1677. [Google Scholar] [CrossRef] [PubMed]
- Shao, W.; He, J.; Sang, F.; Ding, B.; Chen, L.; Cui, S.; Li, K.; Han, Q.; Tan, W. Coaxial electrospun aligned tussah silk fibroin nanostructured fiber scaffolds embedded with hydroxyapatite–tussah silk fibroin nanoparticles for bone tissue engineering. Mater. Sci. Eng. C 2016, 58, 342–351. [Google Scholar] [CrossRef] [PubMed]
- Nguyen, T.T.; Chung, O.H.; Park, J.S. Coaxial electrospun poly (lactic acid)/chitosan (core/shell) composite nanofibers and their antibacterial activity. Carbohydr. Polym. 2011, 86, 1799–1806. [Google Scholar] [CrossRef]
- He, C.L.; Huang, Z.M.; Han, X.J. Fabrication of drug-loaded electrospun aligned fibrous threads for suture applications. J. Biomed. Mater. Res. Part A Off. J. Soc. Biomater. Jpn. Soc. Biomater. Aust. Soc. Biomater. Korean Soc. Biomater. 2009, 89, 80–95. [Google Scholar] [CrossRef] [PubMed]
- Maurya, A.; Chauhan, P. Synthesis and characterization of sol–gel derived PVA-titanium dioxide (TiO2) nanocomposite. Polym. Bull. 2012, 68, 961–972. [Google Scholar] [CrossRef]
- Chang, C.; Tran, V.H.; Wang, J.; Fuh, Y.K.; Lin, L. Direct-write piezoelectric polymeric nanogenerator with high energy conversion efficiency. Nano Lett. 2010, 10, 726–731. [Google Scholar] [CrossRef]
- Yarin, A.L.; Zussman, E.; Wendorff, J.H.; Greiner, A. Material encapsulation and transport in core–shell micro/nanofibers, polymer and carbon nanotubes and micro/nanochannels. J. Mat. Chem. 2007, 17, 2585–2599. [Google Scholar] [CrossRef]
- Ponnamma, D.; Erturk, A.; Parangusan, H.; Deshmukh, K.; Ahamed, M.B.; Al-Maadeed, M.A. Stretchable quaternary phasic PVDF-HFP nanocomposite films containing graphene-titania-SrTiO3 for mechanical energy harvesting. Emerg. Mater. 2018, 1, 55–65. [Google Scholar] [CrossRef]
- Liu, H.; Zhang, S.; Yang, J.; Ji, M.; Yu, J.; Wang, M.; Chai, X.; Yang, B.; Zhu, C.; Xu, J. Preparation, Stabilization and Carbonization of a Novel Polyacrylonitrile-Based Carbon Fiber Precursor. Polymers 2019, 11, 1150. [Google Scholar] [CrossRef]
- He, C.L.; Huang, Z.M.; Han, X.J.; Liu, L.; Zhang, H.S.; Chen, L.S. Coaxial electrospun poly (L-lactic acid) ultrafine fibers for sustained drug delivery. J. Macromol. Sci. Part B 2006, 45, 515–524. [Google Scholar] [CrossRef]
- Pan, C.T.; Yen, C.K.; Wang, S.Y.; Lai, Y.C.; Lin, L.; Huang, J.C.; Kuo, S.W. Near-field electrospinning enhances the energy harvesting of hollow PVDF piezoelectric fibers. RSC Adv. 2015, 5, 85073–85081. [Google Scholar] [CrossRef]
- Choi, M.Y.; Choi, D.; Jin, M.J.; Kim, I.; Kim, S.H.; Choi, J.Y.; Kim, S.W. Mechanically powered transparent flexible charge-generating nanodevices with piezoelectric ZnO nanorods. Adv. Mater. 2009, 21, 2185–2189. [Google Scholar] [CrossRef]
- Liang, X.; Yu, S.; Sun, R.; Luo, S.; Wan, J.; Zhuang, Z. Microstructure and dielectric behavior of the three-phase Ag@ SiO2/BaTiO3/PVDF composites with high permittivity. J. Mater. Res. 2012, 27, 991–998. [Google Scholar] [CrossRef]
- Peng, G.; Zhao, X.; Zhan, Z.; Ci, S.; Wang, Q.; Liang, Y.; Zhao, M. New crystal structure and discharge efficiency of poly (vinylidene fluoride-hexafluoropropylene)/poly (methyl methacrylate) blend films. RSC Adv. 2014, 4, 16849–16854. [Google Scholar] [CrossRef]
- Han, P.; Pang, S.; Fan, J.; Shen, X.; Pan, T. Highly enhanced piezoelectric properties of PLZT/PVDF composite by tailoring the ceramic Curie temperature, particle size and volume fraction. Sens. Actuators A Phys. 2013, 204, 74–78. [Google Scholar] [CrossRef]








| Samples | Inner Core | Outer Shell | Fiber Diameter (nm) | Crystallization Temperature (°C) |
|---|---|---|---|---|
| PH-PF | PVDFHFP | PVDF | 268 ± 102 | 152.06 |
| PH-PFZ | PVDFHFP | PVDF-ZnO | 292 ± 173 | 150.72 |
| PH-PFT | PVDFHFP | PVDF-TiO2 | 418 ± 155 | 149.06 |
| PHT-PFZ | PVDFHFP-TiO2 | PVDF-ZnO | 196 ± 76 | 141.29 |
© 2020 by the authors. Licensee MDPI, Basel, Switzerland. This article is an open access article distributed under the terms and conditions of the Creative Commons Attribution (CC BY) license (http://creativecommons.org/licenses/by/4.0/).
Share and Cite
Ponnamma, D.; Chamakh, M.M.; Alahzm, A.M.; Salim, N.; Hameed, N.; AlMaadeed, M.A.A. Core-Shell Nanofibers of Polyvinylidene Fluoride-based Nanocomposites as Piezoelectric Nanogenerators. Polymers 2020, 12, 2344. https://doi.org/10.3390/polym12102344
Ponnamma D, Chamakh MM, Alahzm AM, Salim N, Hameed N, AlMaadeed MAA. Core-Shell Nanofibers of Polyvinylidene Fluoride-based Nanocomposites as Piezoelectric Nanogenerators. Polymers. 2020; 12(10):2344. https://doi.org/10.3390/polym12102344
Chicago/Turabian StylePonnamma, Deepalekshmi, Mariem Mohammed Chamakh, Abdulrhman Mohmmed Alahzm, Nisa Salim, Nishar Hameed, and Mariam Al Ali AlMaadeed. 2020. "Core-Shell Nanofibers of Polyvinylidene Fluoride-based Nanocomposites as Piezoelectric Nanogenerators" Polymers 12, no. 10: 2344. https://doi.org/10.3390/polym12102344
APA StylePonnamma, D., Chamakh, M. M., Alahzm, A. M., Salim, N., Hameed, N., & AlMaadeed, M. A. A. (2020). Core-Shell Nanofibers of Polyvinylidene Fluoride-based Nanocomposites as Piezoelectric Nanogenerators. Polymers, 12(10), 2344. https://doi.org/10.3390/polym12102344

