The Rheological Studies on Poly(vinyl) Alcohol-Based Hydrogel Magnetorheological Plastomer
Abstract
1. Introduction
2. Materials and Methods
2.1. Materials
2.2. Preparation of Chemically Crosslinked Polyvinyl Alcohol Hydrogel Magnetorheological Plastomer (PVA HMRP)
2.3. Structural Characterization and Rheological Studies
3. Results and Discussions
3.1. Vibrating System Magnetometer (VSM) Measurements
3.2. Rheological Properties: Rotational Mode
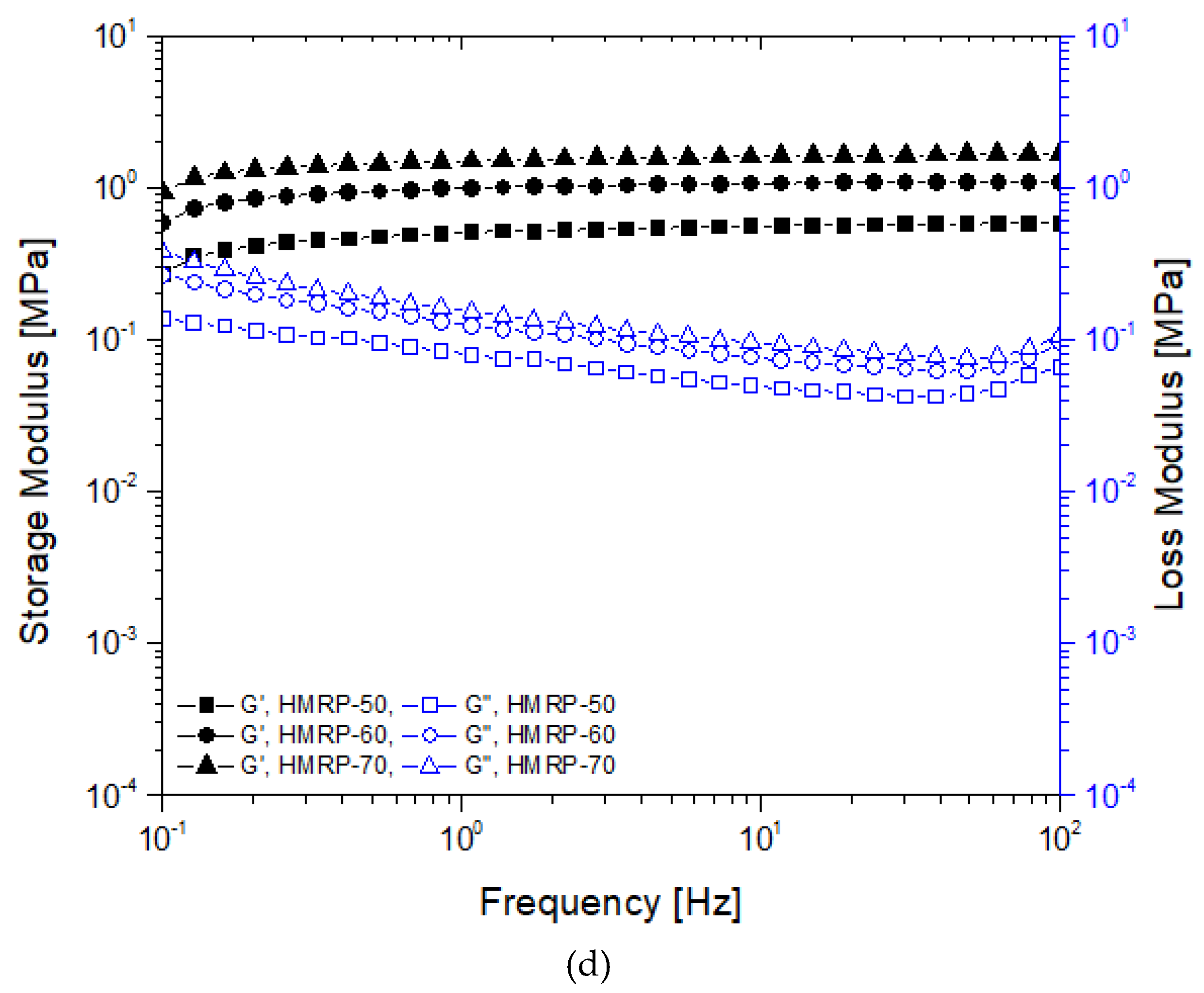
3.3. Rheological Properties: Oscillatory Mode
3.4. Magnetorheological Effect of PVA HMRP
4. Conclusions
Author Contributions
Funding
Conflicts of Interest
References
- Ubaidillah; Imaduddin, F.; Nizam, M.; Mazlan, S.A. Response of a magnetorheological brake under inertial loads. Int. J. Electr. Eng. Inform. 2015, 7, 308–322. [Google Scholar] [CrossRef]
- Abdul Aziz, S.A.; Mazlan, S.A.; Nik Ismail, N.I.; Choi, S.-B.; Ubaidillah; Yunus, N.A.B. An enhancement of mechanical and rheological properties of magnetorheological elastomer with multiwall carbon nanotubes. J. Intell. Mater. Syst. Struct. 2017, 28, 3127–3138. [Google Scholar] [CrossRef]
- Mohamad, N.; Mazlan, S.A.; Ubaidillah; Choi, S.B.; Nordin, M.F.M. The Field-Dependent Rheological Properties of Magnetorheological Grease Based on Carbonyl-Iron-Particles. Smart Mater. Struct. 2016, 25, 1–10. [Google Scholar] [CrossRef]
- Sun, J.Y.; Zhao, X.; Illeperuma, W.R.K.; Chaudhuri, O.; Oh, K.H.; Mooney, D.J.; Vlassak, J.J.; Suo, Z. Highly stretchable and tough hydrogels. Nature 2012, 489, 133–136. [Google Scholar] [CrossRef] [PubMed]
- Liu, T.; Gong, X.; Xu, Y.; Pang, H.; Xuan, S. Magneto-induced large deformation and high-damping performance of a magnetorheological plastomer. Smart Mater. Struct. 2014, 23, 105028. [Google Scholar] [CrossRef]
- Xu, J.; Pei, L.; Li, J.; Pang, H.; Li, Z.; Li, B.; Xuan, S.; Gong, X. Flexible, self-powered, magnetism/pressure dual-mode sensor based on magnetorheological plastomer. Compos. Sci. Technol. 2019, 107820. [Google Scholar] [CrossRef]
- Xu, J.; Wang, P.; Pang, H.; Wang, Y.; Wu, J.; Xuan, S.; Gong, X. The dynamic mechanical properties of magnetorheological plastomers under high strain rate. Compos. Sci. Technol. 2018, 159, 50–58. [Google Scholar] [CrossRef]
- Xuan, S.; Xu, Y.; Liu, T.; Gong, X. Recent progress on the magnetorheological plastomers. Int. J. Smart Nano Mater. 2015, 6, 135–148. [Google Scholar] [CrossRef]
- Liu, T.; Xu, Y.; Gong, X.; Pang, H.; Xuan, S. Magneto-induced normal stress of magnetorheological plastomer. AIP Adv. 2013, 3, 082122. [Google Scholar] [CrossRef]
- Zheng, C.; Yue, Y.; Gan, L.; Xu, X.; Mei, C.; Han, J. Highly stretchable and self-healing strain sensors based on nanocellulose-supported graphene dispersed in electro-conductive hydrogels. Nanomaterials 2019, 9, 937. [Google Scholar] [CrossRef]
- Kim, H.K.; Kim, H.S.; Kim, Y.-K. Stiffness control of magnetorheological gels for adaptive tunable vibration absorber. Smart Mater. Struct. 2017, 26, 015016. [Google Scholar] [CrossRef]
- Chen, M.; Gong, G.; Zhou, L.; Zhang, F. Facile fabrication of a magnetic self-healing poly(vinyl alcohol) composite hydrogel. RSC Adv. 2017, 7, 21476–21483. [Google Scholar] [CrossRef]
- Han, L.; Yan, L.; Wang, K.; Fang, L.; Zhang, H.; Tang, Y.; Ding, Y.; Weng, L.-T.; Xu, J.; Weng, J.; et al. Tough, self-healable and tissue-adhesive hydrogel with tunable multifunctionality. NPG Asia Mater. 2017, 9, 372. [Google Scholar] [CrossRef]
- Kudo, S.; Otsuka, E.; Suzuki, A. Swelling behavior of chemically crosslinked PVA gels in mixed solvents. J. Polym. Sci. Part B Polym. Phys. 2010, 48, 1978–1986. [Google Scholar] [CrossRef]
- Mitsumata, T.; Ohori, S.; Chem, P.; Mitsumata, T.; Ohori, S. Magnetic polyurethane elastomers with wide range modulation of elasticity. Polym. Chem. 2011, 2, 1063–1067. [Google Scholar] [CrossRef]
- Mitsumata, T.; Honda, A.; Kanazawa, H.; Kawai, M. Magnetically tunable elasticity for magnetic hydrogels consisting of carrageenan and carbonyl iron particles. J. Phys. Chem. B 2012, 116, 12341–12348. [Google Scholar] [CrossRef]
- Negami, K.; Mitsumata, T. Magnetorheology of magnetic poly(vinyl alcohol) gels with high mechanical toughness. Chem. Lett. 2010, 39, 550–551. [Google Scholar] [CrossRef]
- Han, J.; Lei, T.; Wu, Q. High-water-content mouldable polyvinyl alcohol-borax hydrogels reinforced by well-dispersed cellulose nanoparticles: Dynamic rheological properties and hydrogel formation mechanism. Carbohydr. Polym. 2014, 102, 306–316. [Google Scholar] [CrossRef]
- Hu, C.; Zhang, Y.; Wang, X.; Xing, L.; Shi, L.; Ran, R. Stable, Strain-Sensitive Conductive Hydrogel with Antifreezing Capability, Remoldability, and Reusability. ACS Appl. Mater. Interfaces 2018, 10, 44000–44010. [Google Scholar] [CrossRef]
- Hou, Y.; Chen, C.; Liu, K.; Tu, Y.; Zhang, L.; Li, Y. Preparation of PVA hydrogel with high-transparence and investigations of its transparent mechanism. RSC Adv. 2015, 5, 24023–24030. [Google Scholar] [CrossRef]
- Kharine, A.; Manohar, S.; Seeton, R.; Kolkman, R.G.M.; Bolt, R.A.; Steenbergen, W.; de Mul, F.F.M. Poly(vinyl alcohol) gels for use as tissue phantoms in photoacoustic mammography. Phys. Med. Biol. 2003, 48, 357–370. [Google Scholar] [CrossRef] [PubMed]
- Wu, J.; Gong, X.; Fan, Y.; Xia, H. Physically crosslinked poly(vinyl alcohol) hydrogels with magnetic field controlled modulus. Soft Matter 2011, 7, 6205–6212. [Google Scholar] [CrossRef]
- Han, J.; Lei, T.; Wu, Q. Facile preparation of mouldable polyvinyl alcohol-borax hydrogels reinforced by well-dispersed cellulose nanoparticles: Physical, viscoelastic and mechanical properties. Cellulose 2013, 20, 2947–2958. [Google Scholar] [CrossRef]
- Hapipi, N.M.; Mazlan, S.A.; Ubaidillah, U.; Aziz, S.A.A.; Khairi, M.H.A.; Nordin, N.A.; Nazmi, N. Solvent dependence of the rheological properties in hydrogel magnetorheological plastomer. Int. J. Mol. Sci. 2020, 21, 1793. [Google Scholar] [CrossRef]
- Hurst, G.A.; Bella, M.; Salzmann, C.G. The Rheological Properties of Poly(vinyl alcohol) Gels from Rotational Viscometry. J. Chem. Educ. 2015, 92, 940–945. [Google Scholar] [CrossRef]
- Zhang, S.; Wang, S.; Hu, T.; Xuan, S.; Jiang, H.; Gong, X. Study the safeguarding performance of shear thickening gel by the mechanoluminescence method. Compos. Part B Eng. 2020, 180, 107564. [Google Scholar] [CrossRef]
- Kramarenko, E.Y.; Chertovich, A.V.; Stepanov, G.V.; Semisalova, A.S.; Makarova, L.A.; Perov, N.S.; Khokhlov, A.R. Magnetic and viscoelastic response of elastomers with hard magnetic filler. Smart Mater. Struct. 2015, 24, 35002. [Google Scholar] [CrossRef]
- Bahiuddin, I.; Mazlan, S.A.; Shapiai, I.; Imaduddin, F.; Ubaidillah; Choi, S.-B. Constitutive models of magnetorheological fluids having temperature-dependent prediction parameter. Smart Mater. Struct. 2018, 27, 095001. [Google Scholar] [CrossRef]
- Sukhlaaied, W.; Riyajan, S.A.; Palmese, G.R. Dynamic viscosity of maleate poly(vinyl alcohol) and its copolymer measured by rheometer. Polym. Test. 2016, 56, 387–393. [Google Scholar] [CrossRef]
- Park, H.O.; Hong, J.S.; Ahn, K.H.; Lee, S.J.; Lee, S.J. Influence of preparation parameters on rheological behavior and microstructure of aqueous mixtures of hyaluronic acid/poly(vinyl alcohol). Korea Aust. Rheol. J. 2005, 17, 79–85. [Google Scholar]
- Miyazaki, T.; Takeda, Y.; Akane, S.; Itou, T.; Hoshiko, A.; En, K. Role of boric acid for a poly (vinyl alcohol) film as a cross-linking agent: Melting behaviors of the films with boric acid. Polymer (Guildf). 2010, 51, 5539–5549. [Google Scholar] [CrossRef]
- Spoljaric, S.; Salminen, A.; Luong, N.D.; Seppälä, J. Stable, self-healing hydrogels from nanofibrillated cellulose, poly(vinyl alcohol) and borax via reversible crosslinking. Eur. Polym. J. 2014, 56, 105–117. [Google Scholar] [CrossRef]
- Wang, Y.; Wang, S.; Xu, C.; Xuan, S.; Jiang, W.; Gong, X. Dynamic behavior of magnetically responsive shear-stiffening gel under high strain rate. Compos. Sci. Technol. 2016, 127, 169–176. [Google Scholar] [CrossRef]
- Huang, G.; Zhang, H.; Liu, Y.; Chang, H.; Zhang, H.; Song, H.; Xu, D.; Shi, T. Strain Hardening Behavior of Poly(vinyl alcohol)/Borate Hydrogels. Macromolecules 2017, 50, 2124–2135. [Google Scholar] [CrossRef]
- An, H.; Picken, S.J.; Mendes, E. Enhanced hardening of soft self-assembled copolymer gels under homogeneous magnetic fields. Soft Matter 2010, 6, 4497. [Google Scholar] [CrossRef]
- Liu, B.; Du, C.; Yu, G.; Fu, Y. Shear thickening effect of a multifunctional magnetorheological gel: The influence of cross-linked bonds and solid particles. Smart Mater. Struct. 2020, 29, 015004. [Google Scholar] [CrossRef]










| Sample | Filler Content [wt.%] | Hc [Oe] | Ms [emu/g] | Mr [emu/g] |
|---|---|---|---|---|
| HMRP-50 | 50 | 10.84 | 46.16 | 241.57 × 10−3 |
| HMRP-60 | 60 | 10.22 | 56.74 | 255.50 × 10−3 |
| HMRP-70 | 70 | 9.79 | 70.92 | 290.43 × 10−3 |
| CIPs | null | 9.163 | 137.06 | 302.42 × 10−3 |
| CIPs Content (wt%) | Flow Behaviour Index, n | |
|---|---|---|
| Region I | Region II | |
| 50 | 1.06 | 0.42 |
| 60 | 1.11 | 0.65 |
| 70 | 1.13 | 0.70 |
| PVA HMRP | G′0 [MPa] | G′max [MPa] | Magneto-Induced, ∆G′ | Relative MR Effect |
|---|---|---|---|---|
| HMRP-50 | 0.0084 | 0.4214 | 0.4130 | 4916% |
| HMRP-60 | 0.0128 | 0.8020 | 0.7892 | 6165% |
| HMRP-70 | 0.0169 | 1.8412 | 1.8243 | 10,794% |
© 2020 by the authors. Licensee MDPI, Basel, Switzerland. This article is an open access article distributed under the terms and conditions of the Creative Commons Attribution (CC BY) license (http://creativecommons.org/licenses/by/4.0/).
Share and Cite
Hapipi, N.M.; Mazlan, S.A.; Ubaidillah, U.; Homma, K.; Aziz, S.A.A.; Nordin, N.A.; Bahiuddin, I.; Nazmi, N. The Rheological Studies on Poly(vinyl) Alcohol-Based Hydrogel Magnetorheological Plastomer. Polymers 2020, 12, 2332. https://doi.org/10.3390/polym12102332
Hapipi NM, Mazlan SA, Ubaidillah U, Homma K, Aziz SAA, Nordin NA, Bahiuddin I, Nazmi N. The Rheological Studies on Poly(vinyl) Alcohol-Based Hydrogel Magnetorheological Plastomer. Polymers. 2020; 12(10):2332. https://doi.org/10.3390/polym12102332
Chicago/Turabian StyleHapipi, Norhiwani Mohd, Saiful Amri Mazlan, U. Ubaidillah, Koji Homma, Siti Aishah Abdul Aziz, Nur Azmah Nordin, Irfan Bahiuddin, and Nurhazimah Nazmi. 2020. "The Rheological Studies on Poly(vinyl) Alcohol-Based Hydrogel Magnetorheological Plastomer" Polymers 12, no. 10: 2332. https://doi.org/10.3390/polym12102332
APA StyleHapipi, N. M., Mazlan, S. A., Ubaidillah, U., Homma, K., Aziz, S. A. A., Nordin, N. A., Bahiuddin, I., & Nazmi, N. (2020). The Rheological Studies on Poly(vinyl) Alcohol-Based Hydrogel Magnetorheological Plastomer. Polymers, 12(10), 2332. https://doi.org/10.3390/polym12102332

