Free-Radical Bulk-Photopolymerization Process as a Method of Obtaining Thermally Curable Structural Self-Adhesive Tapes and Effect of Used Type I Photoinitiators
Abstract
1. Introduction
2. Materials and Methods
2.1. Materials
- (1)
- α-Hydroxyalkylphenones (HPs):
- 2-hydroxy-1-(4-(4-(2-hydroxy-2-methylpropionyl)benzyl)phenyl)-2-methylpropan-1-one (Omnirad 127; IGM Resin, Waalwijk, The Netherlands).
- 1-hydroxycyclohexylphenyl ketone (Omnirad 184, IGM Resins, Waalwijk, The Netherlands).
- (2)
- Acylphosphine oxides (APOs):
- 2,4,6-trimethylbenzoyl-diphenyl phosphine oxide (Omnirad TPO; IGM Resins, Waalkwijk, The Netherlands).
- Bis(2,4,6-trimethylbenzoyl)-phenylphosphineoxide (Omnirad 819; IGM Resins, Waalkwijk, The Netherlands).
- (3)
- Mixtures of HPs and APOs:
- Omnirad 2100 (IGM Resins, Waalkwijk, The Netherlands), a blend of ethyl phenyl(2,4,6-trimethylbenzoyl)phosphinate (ca. 95 wt.%) and phenyl bis(2,4,6-trimethylbenzoyl)-phosphine oxide (ca. 5 wt.%).
- Omnirad 2022 (IGM Resins, Waalkwijk, The Netherlands), a blend of 2-hydroxy-2-methylpropiophenone (ca. 75 wt.%), phenyl bis(2,4,6-trimethylbenzoyl)- phosphine oxide (ca. 17.5 wt.%) and ethyl phenyl(2,4,6-trimethylbenzoyl)phosphinate (ca. 7.5 wt.%).
2.2. Synthesis of Acrylic Syrups
Characterization of the Acrylic Syrups
2.3. Preparation and Characterization of Self-Adhesive Structural Tapes (SATs) and Al/SAT/Al Joints
3. Results
3.1. Properties of the Acrylic Syrups
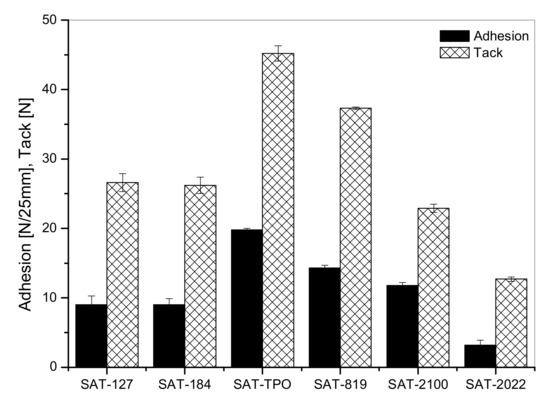
3.2. Properties of Thermally Uncured SATs Based on Acrylic Syrups
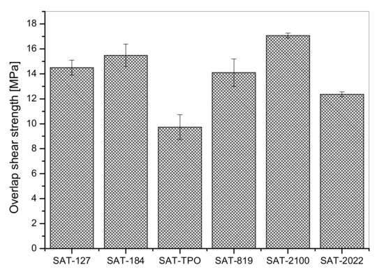
3.3. Properties of Thermally Cured SATs Based on Acrylic Syrups
4. Conclusions
Author Contributions
Funding
Conflicts of Interest
References
- Weglewski, J.; Pastirik, D. Stuctural Bonding Tapes and Articles Containing the Same. Patent Application WO079337, 10 November 2002. [Google Scholar]
- Bernardus, J.; Sikkel, F.; Brandys, A.; Chen, P. Adhesive Tape for Structural Bonding. Patent Application WO 2005073330, 11 August 2005. [Google Scholar]
- Sohaib, E.; Cura, E. Structural Adhesive Film. Patent Application WO 2005073330, 23 August 2012. [Google Scholar]
- Cura, E.; Elgimiabi, S.; Luebbe, S.; Shinozaki, K.; Ueda, S. Multilayer Structural Adhesive Film. Patent Application US10632707, 28 April 2020. [Google Scholar]
- Higgins, A. Adhesive bonding of aircraft structures. Int. J. Adhes. Adhes. 2000, 20, 367–376. [Google Scholar] [CrossRef]
- LaPlante, G.; Lee-Sullivan, P. Moisture Effects on FM300 Structural Film Adhesive: Stress Relaxation, Fracture Toughness, and Dynamic Mechanical Analysis. J. Appl. Polym. Sci. 2005, 95, 1285–1294. [Google Scholar] [CrossRef]
- Pal, R.; Sudhi, S.; Raghavan, R. Fabrication and evaluation of structural film adhesive using oxazolidinone modified novolac epoxy resin. J. Appl. Polym. Sci. 2019, 136, 47520. [Google Scholar] [CrossRef]
- Dementeva, L.; Kutsevich, K.; Lukina, N.; Rubtsova, E.; Petrova, A. Properties of an Epoxy Structural Film Adhesive Modified by Polysulfones. Polym. Sci. Part D 2017, 10, 143–149. [Google Scholar] [CrossRef]
- Kowalczyk, A.; Kowalczyk, K.; Czech, Z. Synthesis and properties of solid structural adhesives modified in-situ using 1D and 2D-type microfillers. Int. J. Adhes. Adhes. 2012, 32, 76–81. [Google Scholar] [CrossRef]
- Kowalczyk, A.; Kowalczyk, K.; Weisbrodt, M. Influence of phosphorus-based methacrylate monomer on features of thermally curable self-adhesive structural tapes. Int. J. Adhes. Adhes. 2018, 85, 286–292. [Google Scholar] [CrossRef]
- Kowalczyk, A.; Kowalczyk, K.; Gziut, K.; Nowakowski, D.; Sałaciński, M. Influence of a wollastonite microfiller and a halloysite nanofiller on properites of thermally curable pressure-sensitive structural adhesives. Int. J. Adhes. Adhes. 2019, 95, 102397. [Google Scholar] [CrossRef]
- Kowalczyk, A.; Kowalczyk, K.; Gziut, K. Synthesis of Monoacryloxypropyl-POSS-based Hybrid Epoxyacrylate Copolymers and Their Application in Thermally Curable Structural Self-Adhesive Tapes. Polymers 2019, 11, 2058. [Google Scholar] [CrossRef]
- Fouassier, J.; Lalevée, J. Photoinitiators for Polymer Synthesis. Scope, Reactivity and Efficiency; Wiley-VCH Verlag GmbH&Co. KGaA: Weinheim, Germany, 2012. [Google Scholar]
- Boodhoo, K.; Dunk, W.; Jassim, M.; Jachuck, R. Thin Film Solvent-Free Photopolymerization of n-Butyl Acrylate. I. Static Film Studies. J. Appl. Polym. Sci. 2004, 91, 2079–2095. [Google Scholar] [CrossRef]
- Garra, P.; Dietlin, C.; Morlet-Savary, F.; Dumur, F.; Gigmes, D.; Fouassiera, J.; Lalevée, J. Photopolymerization processes of thick films and in shadow areas: A review for the access to composites. Polym. Chem. 2017, 8, 7088–7101. [Google Scholar] [CrossRef]
- Ming, L.; Schlüter, D.; Sakamoto, J. Solid-State Photopolymerization of a Shape-Persistent Macrocycle with Two 1,8-Diazaanthracene Units in a Single Crystal. J. Am. Chem. Soc. 2012, 134, 11721–11725. [Google Scholar] [CrossRef]
- Eckhardt, H.; Prusik, T.; Chance, R. Solid-State Photopolymerization of Diacetylenes. In Polydiacetylenes; Bloor, D., Chance, R.R., Eds.; Springer: Dordrecht, The Netherlands, 1985; pp. 25–39. [Google Scholar] [CrossRef]
- Wang, J.; Jian, Y.; Nie, J.; He, Y. Solid photopolymerization and polymer properties of octadecyl vinyl ether. J. Photochem. Photobiol. A Chem. 2013, 271, 105–110. [Google Scholar] [CrossRef]
- Bagheri, A.; Jin, J. Photopolymerization in 3D Printing. ACS Appl. Polym. Mater. 2019, 1, 593–611. [Google Scholar] [CrossRef]
- Liu, X.; Sharapov, V.; Zhang, Z.; Wiser, F.; Awaisa, M.; Yu, L. Photoinduced cationic polycondensation in solid state towards ultralow band gap conjugated polymers. J. Mater. Chem. C 2020, 8, 7026–7033. [Google Scholar] [CrossRef]
- Andrzejewska, E. Photoinitiated polymerization in ionic liquids and its application. Polym. Int. 2017, 66, 366–381. [Google Scholar] [CrossRef]
- Marcinkowska, A.; Zgrzeba, A.; Lota, G.; Kopczyński, K.; Andrzejewska, E. Ionogels by thiol-ene photopolymerization in ionic liquids: Formation, morphology and properties. Polymer 2019, 160, 272–281. [Google Scholar] [CrossRef]
- Simms, H.; Brotherton, C.; Good, B.; Davis, R.; Ansethaband, K.; Bowman, C. In situ fabrication of macroporous polymer networks within microfluidic devices by living radical photopolymerization and leaching. Lab Chip 2005, 5, 151–157. [Google Scholar] [CrossRef]
- Choi, Ch.; Jung, J.; Hwang, T.; Lee, C. In Situ Microfluidic Synthesis of Monodisperse PEG Microspheres. Macromol. Res. 2009, 17, 163–167. [Google Scholar] [CrossRef]
- Khudyakov, I.; Arsu, N.; Jockusch, S.; Turro, N. Magnetic and spin effects in the photoinitiation of polymerization. Des. Monomers Polym. 2003, 6, 91–101. [Google Scholar] [CrossRef]
- Jang, S.; Baek, S.; Kim, J.; Hwang, S. Preparation and adhesion performance of transparent pressure-sensitive adhesives for touch screen panel. J. Adhes. Sci. Technol. 2014, 28, 1990–2000. [Google Scholar] [CrossRef]
- Beak, S.; Hwang, S. Eco-friendly UV-curable pressure sensitive adhesives containing acryloyl derivatives of monosaccharides and their adhesive performances. Int. J. Adhes. Adhes. 2016, 70, 110–113. [Google Scholar] [CrossRef]
- Beak, S.; Hwang, S. Preparation and adhesion performance of transparent acrylic pressure-sensitive adhesives containing menthyl acrylate. Polym. Bull. 2016, 73, 687–701. [Google Scholar] [CrossRef]
- Baek, S.; Jang, S.; Hwang, S. Preparation and adhesion performance of transparent acrylic pressure sensitive adhesives: Effects of substituent structure of acrylate monomer. Int. J. Adhes. Adhes. 2016, 64, 72–77. [Google Scholar] [CrossRef]
- Baek, S.; Jang, S.; Hwang, S. Sustainable isosorbide-based transparent pressure-sensitive adhesives for optically clear adhesive and their adhesion performance. Polym. Int. 2017, 66, 1834–1840. [Google Scholar] [CrossRef]
- Baek, S.; Jang, S.; Hwang, S. Construction and adhesion performance of biomass tetrahydro-geraniol-based sustainable/transparent pressure sensitive adhesives. J. Ind. Eng. Chem. 2017, 53, 429–434. [Google Scholar] [CrossRef]
- Kim, J.; Shim, G.; Baek, D.; Back, J.; Jang, S.; Kim, H.; Choi, J.; Yeom, J. UV/UV step-curing of optically clear acrylate adhesives for mobile devices. Express Polym. Lett. 2019, 13, 794–805. [Google Scholar] [CrossRef]
- Zhang, Y.; He, Y.; Zhang, X.; Nie, J. α-hydroxyalkyl ketones deriatives used as photoinitiators for photografting field. J. Photochem. Photobiol. A Chem. 2017, 349, 193–196. [Google Scholar] [CrossRef]
- Ikemura, K.; Ichizawa, K.; Yoshida, M.; Ito, S.; Endo, T. UV-VIS spectra and photoinitiation behavior of acylphospine oxide and bisacylphosphine oxide derivatives in unfilled, light-cured resins. Dent. Mat. J. 2008, 27, 765–774. [Google Scholar] [CrossRef][Green Version]
- Lee, K.; Ware, T.; Tondiglia, V.; McBride, M.; Zhang, X.; Bowman, C.; White, T. Initiatorless Photopolymerization of Liquid Crystal Monomers. ASC Appl. Mater. Interfaces 2016, 8, 28040–28046. [Google Scholar] [CrossRef]
- Graff, B.; Klee, J.; Fik, C.; Maier, M.; Fouassier, J.; Lelevée, J. Development of Novel Photoinitiators as Substitutes of Camphorquinones for the LED Induced Polymerization of Methacrylates: A Bis-Silyl Ketone. Macromol. Rapid Commun. 2016, 38, 1600470. [Google Scholar] [CrossRef]
- Dietlin, C.; Trinh, T.; Schweizer, S.; Graff, B.; Morlet-Savary, F.; Noirot, P.; Lelevée, J. New Phosphine Oxides as High Performance Near-UV Type I Photoinitiators of Radical Polymerization. Molecules 2020, 25, 1671. [Google Scholar] [CrossRef] [PubMed]
- Doran, S.; Taskin, O.; Tasdelen, M.; Yaci, Y. Controlled photopolymerization and novel architectures. In Dyes and Chromophores in Polymer Science; Fouassier, J., Lelevée, J., Eds.; John Wiley & Sons: London, UK, 2015; pp. 81–100. [Google Scholar]
- Wang, Y.; Liu, F.; Xue, X. Morphology and properties of UV-curing epoxy acrylate coatings modified with methacryl-POSS. Prog. Org. Coat. 2015, 78, 404–410. [Google Scholar] [CrossRef]
- Glöckner, P. Radiation Curing. Coatings and Proniting Inks; Vincentz Network: Hannover, Germany, 2008. [Google Scholar]
- Baxter, J.; Davidson, R. Acylphosphine oxides as photoinitiators for acrylate and unsaturated poliester resins. Eur. Polym. J. 1988, 24, 419–424. [Google Scholar] [CrossRef]
- Tehfe, M.; Louradour, F.; Lalevée, J.; Fouassier, J. Photopolymerization Reactions: On the Way to a Green and Sustainable Chemistry. Appl. Sci. 2013, 3, 490–514. [Google Scholar] [CrossRef]
- Khan, I.; Poh, B. Effect of molecular weight and testing rate on adhesion property of pressure-sensitive adhesives prepared from epoxidized natural rubber. Mater. Des. 2011, 32, 2513–2519. [Google Scholar] [CrossRef]
- Zhao, J.; Yu, P.; Dong, S. The Influence of Crosslink Density on the Failure Behavior in Amorphous Polymers by Molecular Dynamics Simulations. Materials 2016, 9, 234. [Google Scholar] [CrossRef]
- Ricciotti, L.; Roviello, G.; Tarallo, O.; Borbone, F.; Ferone, C.; Colangelo, F.; Catauro, M.; Cioffi, R. Synthesis and Characterizations of Melamine-Based Epoxy Resins. Int. J. Mol. Sci. 2013, 14, 18200–18214. [Google Scholar] [CrossRef]










| PI Type | PI Names and Chemical Structure | |
|---|---|---|
| HPs | Omnirad 127 | Omnirad 184 |
![]() | ![]() | |
| APOs | Omnirad 819 | Omnirad TPO |
![]() | ![]() | |
| Blends | Omnirad 2100 (O.TPO-L + O.819) (95/5) | Omnirad 2022 (Darocure 1173 + O.819 + O.TPO-L) (75/17.5/7.5) |
![]() | ![]() | |
| AS Acronym | Monomers (mol %) | PI | |||||
|---|---|---|---|---|---|---|---|
| BA | BMA | GMA | HEA | ABP | Name | Mol % | |
| AS-127/1 | 58.8 | 19.6 | 9.8 | 9.8 | 0.98 | Omnirad 127 | 1 |
| AS-127/2 | 58.2 | 19.4 | 9.7 | 9.7 | 1 | Omnirad 127 | 2 |
| AS-184/1 | 58.8 | 19.6 | 9.8 | 9.8 | 0.98 | Omnirad 184 | 1 |
| AS-184/2 | 58.2 | 19.4 | 9.7 | 9.7 | 1 | Omnirad 184 | 2 |
| AS-TPO/1 | 58.8 | 19.6 | 9.8 | 9.8 | 0.98 | Omnirad TPO | 1 |
| AS-TPO/2 | 58.2 | 19.4 | 9.7 | 9.7 | 1 | Omnirad TPO | 2 |
| AS-819/1 | 58.8 | 19.6 | 9.8 | 9.8 | 0.98 | Omnirad 819 | 1 |
| AS-2100/1 | 58.8 | 19.6 | 9.8 | 9.8 | 0.98 | Omnirad 2100 | 1 |
| AS-2022/1 | 58.8 | 19.6 | 9.8 | 9.8 | 0.98 | Omnirad 2022 | 1 |
| AS-2022/2 | 58.2 | 19.4 | 9.7 | 9.7 | 1 | Omnirad 2022 | 2 |
| AS Symbol | η (Pa∙s) | Solid Content (wt%) | Mn (g/mol) | Mw (g/mol) | PDI |
|---|---|---|---|---|---|
| AS-127/1 | <0.1 | n.d. | n.d. | n.d. | n.d. |
| AS-127/2 | 1.0 | 45 | 13,170 | 47,100 | 3.58 |
| AS-184/1 | <0.1 | n.d. | n.d. | n.d. | n.d. |
| AS-184/2 | 1.5 | 49 | 13,850 | 48,400 | 3.5 |
| AS-TPO/1 | <0.1 | n.d. | n.d. | n.d. | n.d. |
| AS-TPO/2 | 33 | 73 | 13,550 | 48,100 | 3.55 |
| AS-819/1 | 14.0 | 66 | 16,800 | 55,100 | 3.28 |
| AS-2100/1 | 6.5 | 58 | 20,000 | 67,500 | 3.38 |
| AS-2022/1 | <0.1 | n.d. | n.d. | n.d. | n.d. |
| AS-2022/2 | 0.1 | 20 | 4800 | 22,100 | 4.61 |
| AS Symbol | Monomers Conversion (%) | |||||
|---|---|---|---|---|---|---|
| C 1 | BA | BMA | GMA | HEA | ABP | |
| AS-127/2 | 45 | 35 | 66 | 68 | 30 | 65 |
| AS-184/2 | 52 | 42 | 72 | 73 | 38 | 68 |
| AS-TPO/2 | 75 | 65 | 94 | 95 | 67 | 89 |
| AS-819/1 | 68 | 57 | 90 | 90 | 57 | 88 |
| AS-2100/1 | 62 | 50 | 85 | 86 | 50 | 79 |
| AS-2022/2 | 23 | 17 | 38 | 36 | 11 | 37 |
| SAT Acronym | Tg (°C) | Ti (°C) | Tp (°C) | ΔH (J/g) | α (a.u.) |
|---|---|---|---|---|---|
| SAT-127 | −12 | 120 | 194 | 247 | 0.87 |
| SAT-184 | −12 | 135 | 195 | 233 | 0.81 |
| SAT-TPO | −11 | 167 | 210 | 224 | 0.59 |
| SAT-819 | −11 | 149 | 206 | 209 | 0.67 |
| SAT-2100 | −10 | 138 | 192 | 223 | 0.81 |
| SAT-2022 | −12 | 136 | 191 | 253 | 0.88 |
| SAT | E’(25 °C) (MPa) | E’(150 °C) (MPa) | Tg (°C) |
|---|---|---|---|
| SAT-127 | 2285 | 50 | 100 |
| SAT-184 | 2216 | 58 | 99 |
| SAT-TPO | 2136 | 28 | 94 |
| SAT-819 | 2156 | 20 | 103 |
| SAT-2100 | 2202 | 35 | 96 |
| SAT-2022 | 2454 | 383 | 120 |
© 2020 by the authors. Licensee MDPI, Basel, Switzerland. This article is an open access article distributed under the terms and conditions of the Creative Commons Attribution (CC BY) license (http://creativecommons.org/licenses/by/4.0/).
Share and Cite
Gziut, K.; Kowalczyk, A.; Schmidt, B. Free-Radical Bulk-Photopolymerization Process as a Method of Obtaining Thermally Curable Structural Self-Adhesive Tapes and Effect of Used Type I Photoinitiators. Polymers 2020, 12, 2191. https://doi.org/10.3390/polym12102191
Gziut K, Kowalczyk A, Schmidt B. Free-Radical Bulk-Photopolymerization Process as a Method of Obtaining Thermally Curable Structural Self-Adhesive Tapes and Effect of Used Type I Photoinitiators. Polymers. 2020; 12(10):2191. https://doi.org/10.3390/polym12102191
Chicago/Turabian StyleGziut, Konrad, Agnieszka Kowalczyk, and Beata Schmidt. 2020. "Free-Radical Bulk-Photopolymerization Process as a Method of Obtaining Thermally Curable Structural Self-Adhesive Tapes and Effect of Used Type I Photoinitiators" Polymers 12, no. 10: 2191. https://doi.org/10.3390/polym12102191
APA StyleGziut, K., Kowalczyk, A., & Schmidt, B. (2020). Free-Radical Bulk-Photopolymerization Process as a Method of Obtaining Thermally Curable Structural Self-Adhesive Tapes and Effect of Used Type I Photoinitiators. Polymers, 12(10), 2191. https://doi.org/10.3390/polym12102191







