Self-Assembly of Linear Amphiphilic Pentablock Terpolymer PAAx-PS48-PEO46-PS48-PAAxin Dilute Aqueous Solution
Abstract
1. Introduction
2. Materials and Methods
2.1. Materials
2.2. Synthesis of Br-PEO46-Br Macroinitiator
2.3. Synthesis of PtBAx-PS48-PEO46-PS48-PtBAx Pentablock Terpolymers
2.4. Preparation of PAAx-PS48-PEO46-PS48-PAAx Pentablock Terpolymers
2.5. Preparation of AxS48O46S48Ax Micelles in Dilute Aqueous Solutions
2.6. Measurements
3. Results and Discussion
3.1. Synthesis and Characterization of AxS48O46S48Ax Pentablock Terpolymers
3.2. Morphologies and Structures of AxS48O46S48Ax Micelles in Dilute Aqueous Solutions
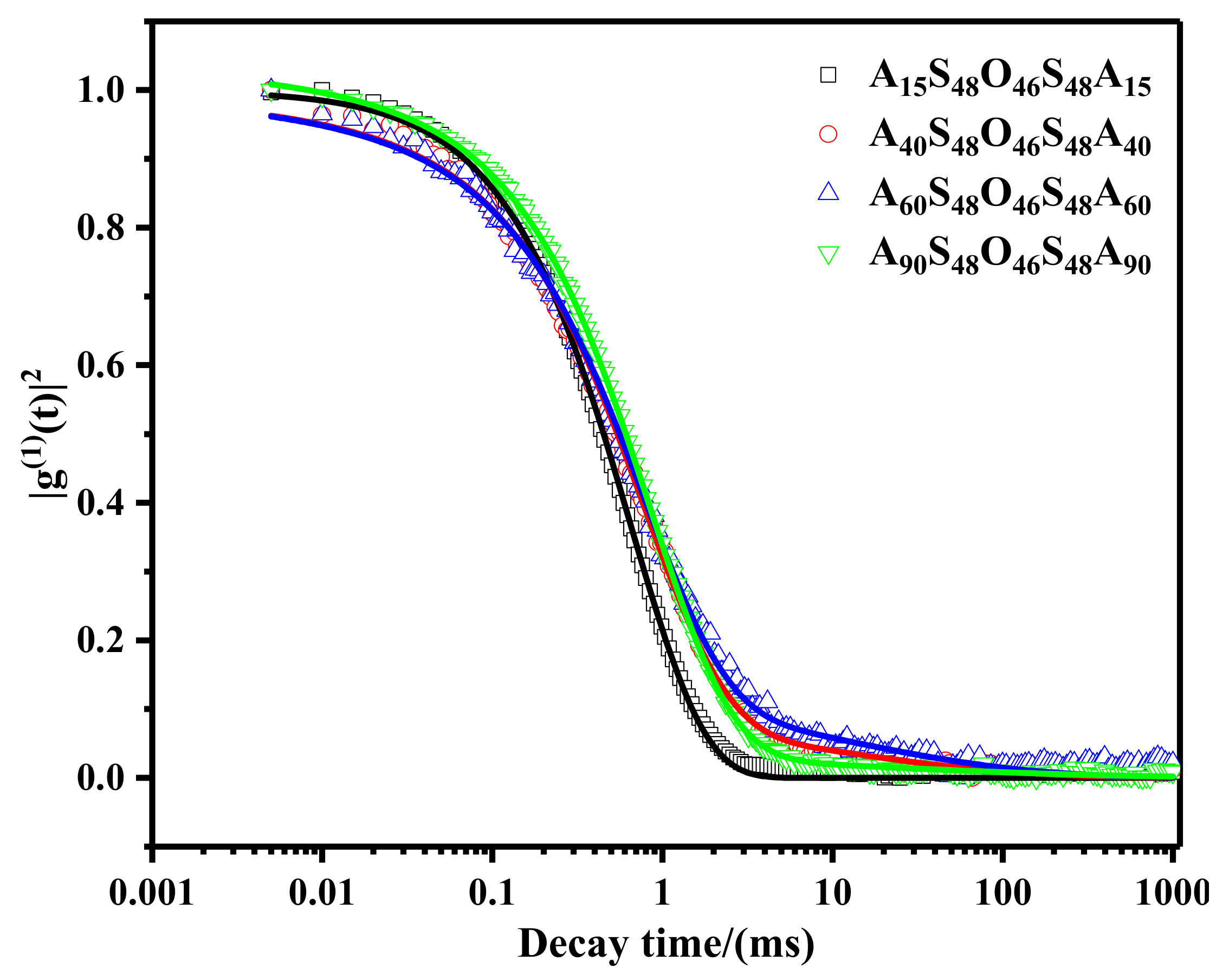
3.3. Dynamic Light Scattering Measurements of AxS48O46S48Ax Micelles in Dilute Aqueous Solutions
3.4. Possible Chain Structure of AxS48O46S48Ax Micelles in Dilute Aqueous Solutions
4. Conclusions
Supplementary Materials
Author Contributions
Funding
Acknowledgments
Conflicts of Interest
References
- Mai, Y.; Eisenberg, A. Self-Assembly of Block Copolymers. Chem. Soc. Rev. 2012, 41, 5969–5985. [Google Scholar] [CrossRef] [PubMed]
- Alexandridis, P.; Lindman, B. Amphiphilic Block Copolymers: Self-Assembly and Applications, 1st ed.; Elsevier: Amsterdam, TheNetherlands, 2000. [Google Scholar]
- Service, R.F. How Far Can We Push Chemical Self-Assembly? Science 2005, 309, 95. [Google Scholar] [CrossRef] [PubMed]
- Rodriguez-Hernandez, J.; Chécot, F.; Gnanou, Y.; Lecommandoux, S. Toward “Smart” Nano-Objects by Self-Assembly of Block Copolymers in Solution. Prog. Polym. Sci. 2005, 30, 691–724. [Google Scholar] [CrossRef]
- Yuan, L.; Chen, W.; Li, J.; Hu, J.; Yan, J.; Yang, D. PEG-b-PtBA-b-PHEMA Well-Defined Amphiphilic Triblock Copolymer: Synthesis, Self-Assembly, and Application in Drug Delivery. J. Polym. Sci. Part A Polym. Chem. 2012, 50, 4579–4588. [Google Scholar] [CrossRef]
- Ghaemy, M.; Ziaei, S.; Alizadeh, R. Synthesis of pH-Sensitive Amphiphilic Pentablock Copolymers via Combination of Ring-Opening and Atom Transfer Radical Polymerization for Drug Delivery. Eur. Polym. J. 2014, 58, 103–114. [Google Scholar] [CrossRef]
- Lazzari, M.; López-Quintela, M.A. Block Copolymers as a Tool for Nanomaterial Fabrication. Adv. Mater. 2003, 15, 1583–1594. [Google Scholar] [CrossRef]
- Bastakoti, B.P.; Inuoe, M.; Yusa, S.; Liao, S.-H.; Wu, K.C.-W.; Nakashima, K.; Yamauchi, Y. A Block Copolymer Micelle Template for Synthesis of Hollow Calcium Phosphate Nanospheres with Excellent Biocompatibility. Chem. Commun 2012, 48, 6532–6534. [Google Scholar] [CrossRef]
- Zhai, S.; Manako, Y.; Yusa, S.-I.; Nakashima, K. Synthesis of Nanometer-Sized Hollow Calcium Tungstate Particles by Using Micelles of Poly(Styrene-b-acrylic acid-b-ethylene oxide) as a Soft Template. Chem. Lett. 2013, 42, 735–737. [Google Scholar] [CrossRef]
- Chen, Y.; Yang, D.; Yoon, Y.J.; Pang, X.; Wang, Z.; Jung, J.; He, Y.; Harn, Y.W.; He, M.; Zhang, S.; et al. Hairy Uniform Permanently Ligated Hollow Nanoparticles with Precise Dimension Control and Tunable Optical Properties. J. Am. Chem. Soc. 2017, 139, 12956–12967. [Google Scholar] [CrossRef]
- Mei, S.; Qi, H.; Zhou, T.; Li, C.Y. Precisely Assembled Cyclic Gold Nanoparticle Frames by 2D Polymer Single-Crystal Templating. Angew. Chem. Int. Ed. 2017, 56, 13645–13649. [Google Scholar] [CrossRef]
- Taubert, A.; Napoli, A.; Meier, W. Self-Assembly of Reactive Amphiphilic Block Copolymers as Mimetics for Biological Membranes. Curr. Opin. Chem. Biol. 2004, 8, 598–603. [Google Scholar] [CrossRef] [PubMed]
- Clodt, J.I.; Filiz, V.; Rangou, S.; Buhr, K.; Abetz, C.; Höche, D.; Hahn, J.; Jung, A.; Abetz, V. Double Stimuli-Responsive Isoporous Membranes via Post-Modification of pH-Sensitive Self-Assembled Diblock Copolymer Membranes. Adv. Funct. Mater. 2013, 23, 731–738. [Google Scholar] [CrossRef]
- Kreuzer, L.P.; Widmann, T.; Hohn, N.; Wang, K.; Bießmann, L.; Peis, L.; Moulin, J.; Hilderbrand, V.; Laschewsky, A.; Papadakis, C.M.; et al. Swelling and Exchange Behavior of Poly(Sulfobetaine)-Based Block Copolymer Thin Films. Macromolecules 2019, 52, 3486–3498. [Google Scholar] [CrossRef]
- Giacomelli, C.; Schmidt, V.; Aissou, K.; Borsali, R. Block Copolymer Systems: From Single Chain to Self-Assembled Nanostructures. Langmuir 2010, 26, 15734–15744. [Google Scholar] [CrossRef] [PubMed]
- Brendel, J.C.; Schacher, F.H. Block Copolymer Self-Assembly in Solution-Quo Vadis? Chem. Asian J. 2018, 13, 230–239. [Google Scholar] [CrossRef]
- Bhargava, P.; Zheng, J.X.; Li, P.; Quirk, R.P.; Harris, F.W.; Cheng, S.Z.D. Self-Assembled Polystyrene-block-Poly(ethylene oxide) Micelle Morphologies in Solution. Macromolecules 2006, 39, 4880–4888. [Google Scholar] [CrossRef]
- Zhang, L.; Lin, J.; Lin, S. Self-Assembly Behavior of Amphiphilic Block Copolymer/Nanoparticle Mixture in Dilute Solution Studied by Self-Consistent-Field Theory/Density Functional Theory. Macromolecules 2007, 40, 5582–5592. [Google Scholar] [CrossRef]
- Israelachvili, J.N.; Mitchell, D.J.; Ninham, B.W. Theory of Self-Assembly of Hydrocarbon Amphiphiles into Micelles and Bilayers. J. Chem. Soc. Faraday Trans. 1976, 72, 1525–1568. [Google Scholar]
- Nagarajan, R.; Ganesh, K. Block Copolymer Self-Assembly in Selective Solvents: Theory of Solubilization in Spherical Micelles. Macromolecules 1989, 22, 4312–4325. [Google Scholar] [CrossRef]
- Letchford, K.; Burt, H. A Review of the Formation and Classification of Amphiphilic Block Copolymer Nanoparticulate Structures: Micelles, Nanospheres, Nanocapsules and Polymersomes. Eur. J. Pharm. Biopharm 2007, 65, 259–269. [Google Scholar] [CrossRef]
- Smart, T.; Lomas, H.; Massignani, M.; Flores-Merino, M.V.; Perez, L.R.; Battaglia, G. Block Copolymer Nanostructures. Nano Today 2008, 3, 38–46. [Google Scholar] [CrossRef]
- Blanazs, A.; Madsen, J.; Battaglia, G.; Ryan, A.J.; Armes, S.P. Mechanistic Insights for Block Copolymer Morphologies: How Do Worms Form Vesicles? J. Am. Chem. Soc. 2011, 133, 16581–16587. [Google Scholar] [CrossRef] [PubMed]
- Zhu, J.; Jiang, W. Self-Assembly of ABC Triblock Copolymer into Giant Segmented Wormlike Micelles in Dilute Solution. Macromolecules 2005, 38, 9315–9323. [Google Scholar] [CrossRef]
- Shen, X.; Huo, F.; Kang, H.; Zhang, S.; Li, J.; Zhang, W. Modification of Block Copolymer Vesicles: What Will Happen When AB Diblock Copolymer is Block-Extended to an ABC Triblock Terpolymer? Polym. Chem. 2015, 6, 3407–3414. [Google Scholar] [CrossRef]
- Lutz, J. Writing on Polymer Chains. Acc. Chem. Res. 2013, 46, 2696–2705. [Google Scholar] [CrossRef] [PubMed]
- Bates, F.S.; Hillmyer, M.A.; Lodge, T.P.; Bates, C.M.; Delaney, K.T.; Fredrickson, G.H. Multiblock Polymers: Panacea or Pandora’s Box? Science 2012, 336, 434–440. [Google Scholar] [CrossRef]
- Zhang, L.; Cheng, Z.; Zhou, N.; Zhang, R.; Zhu, X. Synthesis of Amphiphilic ABCBA-Type Pentablock Copolymer from Consecutive ATRPs and Self-Assembly in Aqueous Solution. Macromol. Symp. 2008, 261, 54–63. [Google Scholar] [CrossRef]
- Thünemann, A.F.; Kubowicz, S.; von Berlepsch, H.; Möhwald, H. Two-Compartment Micellar Assemblies Obtained via Aqueous Self-Organization of Synthetic Polymer Building Blocks. Langmuir 2006, 22, 2506–2510. [Google Scholar] [CrossRef]
- Parekh, P.; Ohno, S.; Yusa, S.; Lage, E.V.; Casas, M.; Sández-Macho, I.; Aswal, V.K.; Bahadur, P. Surface and Aggregation Behavior of Pentablock Copolymer PNIPAM7-F127-PNIPAM7 in Aqueous Solutions. J. Phys. Chem. B 2016, 120, 7569–7578. [Google Scholar] [CrossRef]
- Determan, M.D.; Cox, J.P.; Seifert, S.; Thiyagarajan, P.; Mallapragada, S.K. Synthesis and Characterization of Temperature and pH-Responsive Pentablock Copolymers. Polymer 2005, 46, 6933–6946. [Google Scholar] [CrossRef]
- Determan, M.D.; Guo, L.; Thiyagarajan, P.; Mallapragada, S.K. Supramolecular Self-Assembly of Multiblock Copolymers in Aqueous Solution. Langmuir 2006, 22, 1469–1473. [Google Scholar] [CrossRef] [PubMed]
- Mei, A.; Guo, X.; Ding, Y.; Zhang, X.; Xu, J.; Fan, Z.; Du, B. PNIPAm-PEO-PPO-PEO-PNIPAm Pentablock Terpolymer: Synthesis and Chain Behavior in Aqueous Solution. Macromolecules 2010, 43, 7312–7320. [Google Scholar] [CrossRef]
- Lu, Y.; Chen, T.; Mei, A.; Chen, T.; Ding, Y.; Zhang, X.; Xu, J.; Fan, Z.; Du, B. Solution Behaviors and Microstructures of PNIPAm-P123-PNIPAm Pentablock Terpolymers in Dilute and Concentrated Aqueous Solutions. Phys. Chem. Chem. Phys. 2013, 15, 8276–8286. [Google Scholar] [CrossRef]
- Lv, C.; Zhang, Z.; Gao, J.; Xue, J.; Li, J.; Nie, J.; Xu, J.; Du, B. Self-Assembly of Thermosensitive Amphiphilic Pentablock Terpolymer PNIPAMx-b-PtBA90-b-PPO36-b-PtBA90-b-PNIPAMx in Dilute Aqueous Solution. Macromolecules 2018, 51, 10136–10149. [Google Scholar] [CrossRef]
- Lv, C.; Wang, R.; Gao, J.; Ding, N.; Dong, S.; Nie, J.; Xu, J.; Du, B. PAA-b-PPO-b-PAA Triblock Copolymers with Enhanced Phase Separation and Inverse Order-to-Order Phase Transition upon Increasing Temperature. Polymer 2019, 185, 121982. [Google Scholar] [CrossRef]
- Kim, J.; Lee, E.; Lim, Y.; Lee, M. Supramolecular Capsules with Gated Pores from an Amphiphilic Rod Assembly. Angew. Chem. Int. Ed. 2008, 47, 4662–4666. [Google Scholar] [CrossRef]
- Xu, J.; Li, J.; Yang, Y.; Wang, K.; Xu, N.; Li, J.; Liang, R.; Shen, L.; Xie, X.; Tao, J.; et al. Block Copolymer Capsules with Structure-Dependent Release Behavior. Angew. Chem. Int. Ed. 2016, 55, 14633–14637. [Google Scholar] [CrossRef]
- Wong, C.K.; Heidelmann, M.; Dulle, M.; Qiang, X.; Förster, S.; Stenzel, M.H.; Gröschel, A.H. Vesicular Polymer Hexosomes Exhibit Topological Defects. J. Am. Chem. Soc. 2020, 142, 10989–10995. [Google Scholar] [CrossRef]
- Won, Y.Y.; Brannan, A.K.; Davis, H.T.; Bates, F.S. Cryogenic Transmission Electron Microscopy (Cryo-TEM) of Micelles and Vesicles Formed in Water by Poly(ethylene oxide)-Based Block Copolymers. J. Phys. Chem. B 2002, 106, 3354–3364. [Google Scholar] [CrossRef]
- Hales, K.; Chen, Z.; Wooley, K.L.; Pochan, D.J. Nanoparticles with Tunable Internal Structure from Triblock Copolymers of PAA-b-PMA-b-PS. Nano Lett. 2008, 8, 2023–2026. [Google Scholar] [CrossRef]
- Nystrom, B.; Walderhaug, H.; Hansen, F.K. Dynamic Crossover Effects Observed in Solutions of a Hydrophobically Associating Water-Soluble Polymer. J. Phys. Chem. 1993, 97, 7743–7752. [Google Scholar]
- Ngai, K.L. Dynamics of Semidilute Solutions of Polymers and Associating Polymers. Adv. Colloid Interface Sci. 1996, 64, 1–43. [Google Scholar]
- He, W.; Xu, J.; Du, B.; Fan, Z.; Sun, F. Effect of pH on the Micellar Morphology of Semicrystalline PCL-b-PEO Block Copolymers in Aqueous Solution. Macromol. Chem. Phys. 2012, 213, 952–964. [Google Scholar]
- Ke, X.; Wang, L.; Xu, J.; Du, B.; Tu, Y.; Fan, Z. Effect of Local Chain Deformability on the Temperature-Induced Morphological Transitions of Polystyrene-b-poly(N-isopropylacrylamide) Micelles in Aqueous Solution. Soft Matter 2014, 10, 5201–5211. [Google Scholar] [PubMed]
- Geng, Y.; Ahmed, F.; Bhasin, N.; Discher, D.E. Visualizing Worm Micelle Dynamics and Phase Transitions of a Charged Diblock Copolymer in Water. J. Phys. Chem. B 2005, 109, 3772–3779. [Google Scholar] [PubMed]
- Yang, S.; Wen, G.; Pispas, S.; You, K. Effects of Spreading and Subphase Conditions on the Interfacial Behavior of an Amphiphilic Copolymer Poly(n-butylacrylate)-b-poly(acrylic acid). Polymer 2019, 172, 66–74. [Google Scholar]
- Xie, D.; Rezende, C.A.; Liu, G.; Pispas, S.; Zhang, G.; Lee, L.-T. Effect of Hydrogen-Bonding Complexation on the Interfacial Behavior of Poly(isoprene)-b-poly(ethylene oxide) and Poly(isoprene)-b-poly(acrylic acid) Langmuir Monolayers. J. Phys. Chem. B 2009, 113, 739–744. [Google Scholar]
- Gontsarik, M.; Yaghmur, A.; Ren, Q.; Maniura-Weber, K.; Salentinig, S. From Structure to Function: pH-Switchable Antimicrobial Nano-Self-Assemblies. ACS Appl. Mater. Interfaces 2019, 11, 2821–2829. [Google Scholar]









| Sample | Mn a (kg/mol) | Mw/Mnb | Morphology c |
|---|---|---|---|
| A15S48O46S48A15 | 14.2 | 1.10 | vesicles with ordered porous membrane |
| A40S48O46S48A40 | 17.8 | 1.11 | long double nanotubes |
| A60S48O46S48A60 | 20.7 | 1.15 | long double nanotubes with modulated inner nanotube |
| A90S48O46S48A90 | 25.0 | 1.19 | spherical micelles and large compound vesicles |
| Sample | A15S48O46S48A15 | A40S48O46S48A40 | A60S48O46S48A60 | A90S48O46S48A90 |
|---|---|---|---|---|
| Afast | 1 | 0.637 | 0.577 | 0.782 |
| Aslow | 0 | 0.363 | 0.423 | 0.246 |
| τfast (ms) | 1.3 | 1.283 | 1.211 | 1.511 |
| τslow (ms) | — | 44.845 | 52.711 | 99.265 |
| γ | — | 0.338 | 0.345 | 0.246 |
© 2020 by the authors. Licensee MDPI, Basel, Switzerland. This article is an open access article distributed under the terms and conditions of the Creative Commons Attribution (CC BY) license (http://creativecommons.org/licenses/by/4.0/).
Share and Cite
Gao, J.; An, K.; Lv, C.; Nie, J.; Xu, J.; Du, B. Self-Assembly of Linear Amphiphilic Pentablock Terpolymer PAAx-PS48-PEO46-PS48-PAAxin Dilute Aqueous Solution. Polymers 2020, 12, 2183. https://doi.org/10.3390/polym12102183
Gao J, An K, Lv C, Nie J, Xu J, Du B. Self-Assembly of Linear Amphiphilic Pentablock Terpolymer PAAx-PS48-PEO46-PS48-PAAxin Dilute Aqueous Solution. Polymers. 2020; 12(10):2183. https://doi.org/10.3390/polym12102183
Chicago/Turabian StyleGao, Jia, Kun An, Chao Lv, Jingjing Nie, Junting Xu, and Binyang Du. 2020. "Self-Assembly of Linear Amphiphilic Pentablock Terpolymer PAAx-PS48-PEO46-PS48-PAAxin Dilute Aqueous Solution" Polymers 12, no. 10: 2183. https://doi.org/10.3390/polym12102183
APA StyleGao, J., An, K., Lv, C., Nie, J., Xu, J., & Du, B. (2020). Self-Assembly of Linear Amphiphilic Pentablock Terpolymer PAAx-PS48-PEO46-PS48-PAAxin Dilute Aqueous Solution. Polymers, 12(10), 2183. https://doi.org/10.3390/polym12102183

