Isoporous Membranes from Novel Polystyrene-b-poly(4-vinylpyridine)-b-poly(solketal methacrylate) (PS-b-P4VP-b-PSMA) Triblock Terpolymers and Their Post-Modification
Abstract
1. Introduction
2. Materials and Methods
2.1. Size Exclusion Chromatography (SEC)
2.2. Nuclear Magnetic Resonance Spectroscopy (NMR)
2.3. Scanning Electron Microscopy (SEM)
2.4. Transmission Electron Microscopy (TEM)
2.5. Atomic Force Microscopy (AFM)
2.6. Contact Angle Measurements
2.7. Water Flux and Retention Measurements
2.8. Static Protein Adsorption
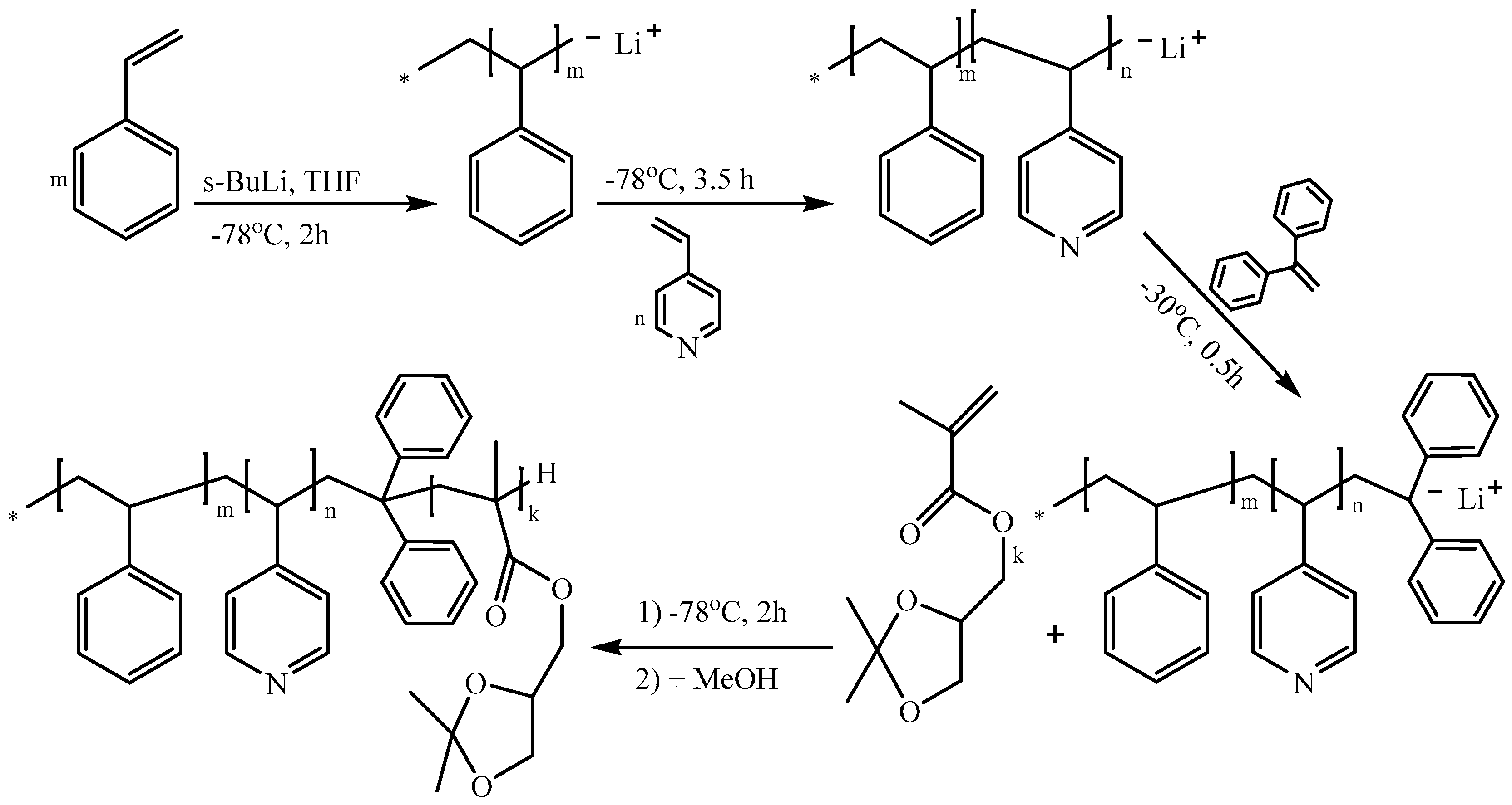
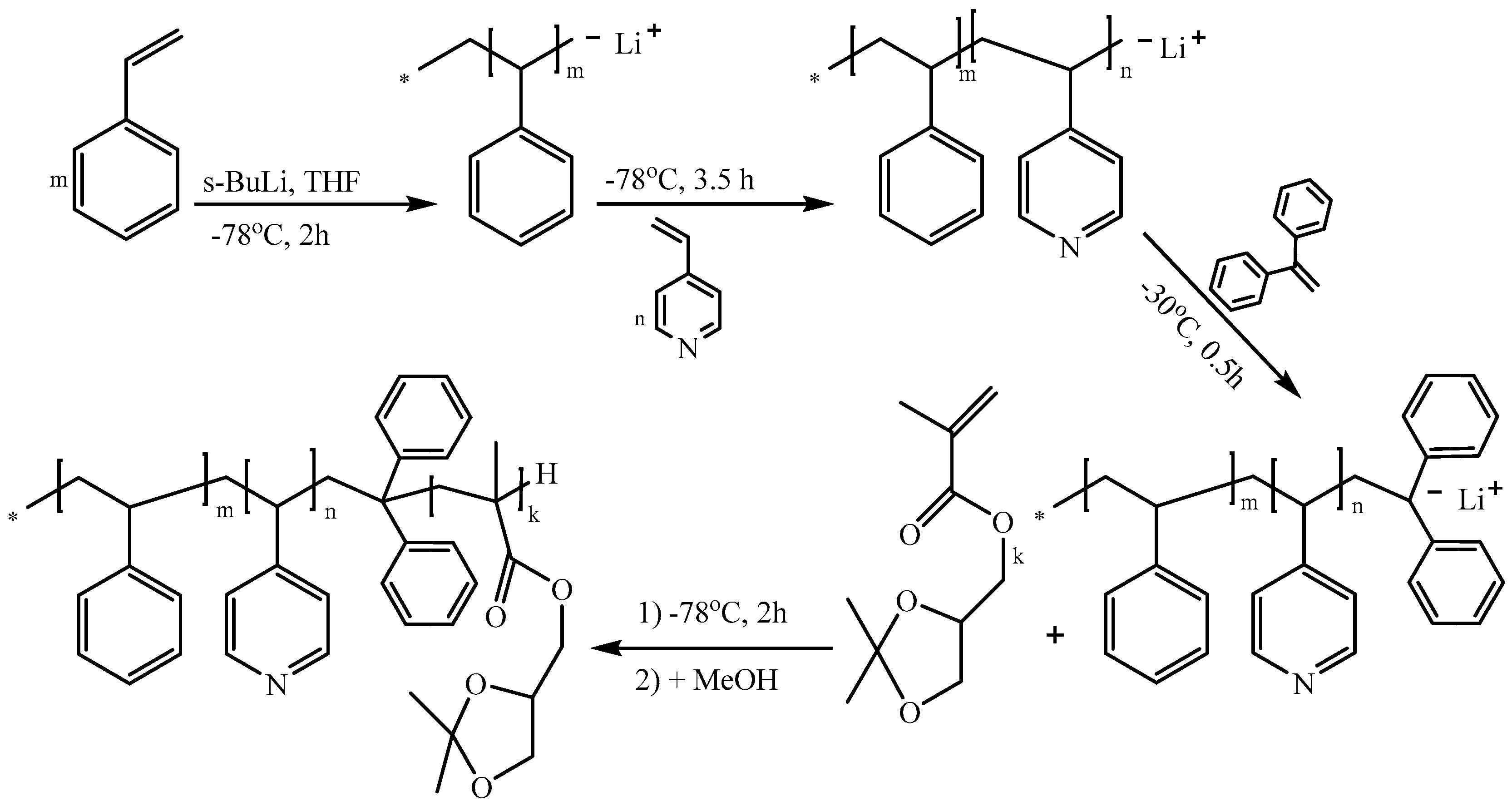
2.9. Synthesis of Polystyrene-block-poly(4-vinylpyridine)-block-poly(solketal methacrylate) Triblock Terpolymers
2.10. Membrane Fabrication
2.11. Post-Modification of PS-b-P4VP-b-PSMA Triblock Terpolymer and Membranes
3. Results
3.1. Bulk Morphology of the Triblock Terpolymers
3.2. Preparation of the Membranes by SNIPS
3.3. Post-Modification of the Membranes
3.4. Contact Angle Measurements
3.5. Membrane Permeation and Retention Performance
4. Conclusions
Supplementary Materials
Author Contributions
Funding
Acknowledgments
Conflicts of Interest
References
- Stadler, R.; Auschra, C.; Beckmann, J.; Krappe, U.; Voight-Martin, I.; Leibler, L. Morphology and thermodynamics of symmetric poly(a-block-b-block-c) triblock copolymers. Macromolecules 1995, 28, 3080–3097. [Google Scholar] [CrossRef]
- Bates, F.S.; Fredrickson, G.H. Block copolymers—Designer soft materials. Phys. Today 1999, 52, 32–38. [Google Scholar] [CrossRef]
- Leibler, L. Theory of microphase separation in block copolymers. Macromolecules 1980, 13, 1602–1617. [Google Scholar] [CrossRef]
- Darling, S.B. Directing the self-assembly of block copolymers. Prog. Polym. Sci. 2007, 32, 1152–1204. [Google Scholar] [CrossRef]
- Bates, F.S.; Hillmyer, M.A.; Lodge, T.P.; Bates, C.M.; Delaney, K.T.; Fredrickson, G.H. Multiblock polymers: Panacea or pandora’s box? Science 2012, 336, 434–440. [Google Scholar] [CrossRef]
- Matsen, M.W.; Bates, F.S. Block copolymer microstructures in the intermediate-segregation regime. J. Chem. Phys. 1997, 106, 2436–2448. [Google Scholar] [CrossRef]
- Auschra, C.; Stadler, R. Polymer alloys based on poly(2,6-dimethyl-1,4-phenylene ether) and poly(styrene-co-acrylonitrile) using poly(styrene-b-(ethylene-co-butylene)-b-methyl methacrylate) triblock copolymers as compatibilizers. Macromolecules 1993, 26, 6364–6377. [Google Scholar] [CrossRef]
- Abetz, V.; Boschetti-de-Fierro, A. Block copolymers in the condensed state. In Polymer Science: A Comprehensive Reference; Matyjaszewski, K., Möller, M., Eds.; Elsevier: Amsterdam, The Netherlands, 2012; pp. 3–44. [Google Scholar]
- Fustin, C.-A.; Abetz, V.; Gohy, J.-F. Triblock terpolymer micelles: A personal outlooka. Eur. Phys. J. E 2005, 16, 291–302. [Google Scholar] [CrossRef]
- Pendergast, M.M.; Mika Dorin, R.; Phillip, W.A.; Wiesner, U.; Hoek, E.M.V. Understanding the structure and performance of self-assembled triblock terpolymer membranes. J. Membr. Sci. 2013, 444, 461–468. [Google Scholar] [CrossRef]
- Ludwigs, S.; Böker, A.; Voronov, A.; Rehse, N.; Magerle, R.; Krausch, G. Self-assembly of functional nanostructures from ABC triblock copolymers. Nat. Mater. 2003, 2, 744. [Google Scholar] [CrossRef]
- Thurn-Albrecht, T.; Schotter, J.; Kästle, G.A.; Emley, N.; Shibauchi, T.; Krusin-Elbaum, L.; Guarini, K.; Black, C.T.; Tuominen, M.T.; Russell, T.P. Ultrahigh-density nanowire arrays grown in self-assembled diblock copolymer templates. Science 2000, 290, 2126–2129. [Google Scholar] [CrossRef] [PubMed]
- Zhang, J.; Li, T.; Mannion, A.M.; Schneiderman, D.K.; Hillmyer, M.A.; Bates, F.S. Tough and sustainable graft block copolymer thermoplastics. ACS Macro Lett. 2016, 5, 407–412. [Google Scholar] [CrossRef]
- Breiner, U.; Krappe, U.; Abetz, V.; Stadler, R. Cylindrical morphologies in asymmetric ABC triblock copolymers. Macromol. Chem. Phys. 1997, 198, 1051–1083. [Google Scholar] [CrossRef]
- Phillip, W.A.; Dorin, R.M.; Werner, J.; Hoek, E.M.V.; Wiesner, U.; Elimelech, M. Tuning structure and properties of graded triblock terpolymer-based mesoporous and hybrid films. Nano Lett. 2011, 11, 2892–2900. [Google Scholar] [CrossRef] [PubMed]
- Tsitsilianis, C.; Sfika, V. Heteroarm star-like micelles formed from polystyrene-block-poly(2-vinyl pyridine)-block-poly(methyl methacrylate) ABC triblock copolymers in toluene. Macromol. Rapid Commun. 2001, 22, 647–651. [Google Scholar] [CrossRef]
- Schacher, F.H.; Rupar, P.A.; Manners, I. Functional block copolymers: Nanostructured materials with emerging applications. Angew. Chem. Int. Ed. 2012, 51, 7898–7921. [Google Scholar] [CrossRef]
- Gohy, J.-F.; Lohmeijer, B.G.G.; Varshney, S.K.; Décamps, B.; Leroy, E.; Boileau, S.; Schubert, U.S. Stimuli-responsive aqueous micelles from an ABC metallo-supramolecular triblock copolymer. Macromolecules 2002, 35, 9748–9755. [Google Scholar] [CrossRef]
- Jackson, E.A.; Hillmyer, M.A. Nanoporous membranes derived from block copolymers: From drug delivery to water filtration. ACS Nano 2010, 4, 3548–3553. [Google Scholar] [CrossRef]
- Hahn, J.; Clodt, J.I.; Filiz, V.; Abetz, V. Protein separation performance of self-assembled block copolymer membranes. RSC Adv. 2014, 4, 10252–10260. [Google Scholar] [CrossRef]
- Sutisna, B.; Polymeropoulos, G.; Mygiakis, E.; Musteata, V.; Peinemann, K.V.; Smilgies, D.M.; Hadjichristidis, N.; Nunes, S.P. Artificial membranes with selective nanochannels for protein transport. Polym. Chem. 2016, 7, 6189–6201. [Google Scholar] [CrossRef]
- Barboiu, M.; Gilles, A. From natural to bioassisted and biomimetic artificial water channel systems. Acc. Chem. Res. 2013, 46, 2814–2823. [Google Scholar] [CrossRef] [PubMed]
- Miller, D.J.; Dreyer, D.R.; Bielawski, C.W.; Paul, D.R.; Freeman, B.D. Surface modification of water purification membranes. Angew. Chem. Int. Ed. 2017, 56, 4662–4711. [Google Scholar] [CrossRef] [PubMed]
- Fu, W.; Pei, T.; Mao, Y.; Li, G.; Zhao, Y.; Chen, L. Highly hydrophilic poly(vinylidene fluoride) ultrafiltration membranes modified by poly(n-acryloyl glycinamide) hydrogel based on multi-hydrogen bond self-assembly for reducing protein fouling. J. Membr. Sci. 2019, 572, 453–463. [Google Scholar] [CrossRef]
- Rajesh, S.; Jayalakshmi, A.; Senthilkumar, S.; Sankar, H.S.H.; Mohan, D.R. Performance evaluation of poly(amide-imide) incorporated cellulose acetate ultrafiltration membranes in the separation of proteins and its fouling propensity by afm imaging. Ind. Eng. Chem. Res. 2011, 50, 14016–14029. [Google Scholar] [CrossRef]
- Lee, A.; Elam, J.W.; Darling, S.B. Membrane materials for water purification: Design, development, and application. Environ. Sci. Water Res. Technol. 2016, 2, 17–42. [Google Scholar] [CrossRef]
- Elimelech, M.; Phillip, W.A. The future of seawater desalination: Energy, technology, and the environment. Science 2011, 333, 712–717. [Google Scholar] [CrossRef]
- Ulbricht, M. Advanced functional polymer membranes. Polymer 2006, 47, 2217–2262. [Google Scholar] [CrossRef]
- Bucher, T.; Filiz, V.; Abetz, C.; Abetz, V. Formation of thin, isoporous block copolymer membranes by an upscalable profile roller coating process—A promising way to save block copolymer. Membranes 2018, 8, 57. [Google Scholar] [CrossRef]
- Phillip, W.A.; Hillmyer, M.A.; Cussler, E.L. Cylinder orientation mechanism in block copolymer thin films upon solvent evaporation. Macromolecules 2010, 43, 7763–7770. [Google Scholar] [CrossRef]
- Abetz, V. Isoporous block copolymer membranes. Macromol. Rapid Commun. 2015, 36, 10–22. [Google Scholar] [CrossRef]
- Peinemann, K.V.; Abetz, V.; Simon, P.F. Asymmetric superstructure formed in a block copolymer via phase separation. Nat. Mater. 2007, 6, 992–996. [Google Scholar] [CrossRef] [PubMed]
- Hahn, J.; Filiz, V.; Rangou, S.; Clodt, J.; Jung, A.; Buhr, K.; Abetz, C.; Abetz, V. Structure formation of integral-asymmetric membranes of polystyrene-block-poly(ethylene oxide). J. Polym. Sci. Part B Polym. Phys. 2013, 51, 281–290. [Google Scholar] [CrossRef]
- Karunakaran, M.; Nunes, S.P.; Qiu, X.; Yu, H.; Peinemann, K.-V. Isoporous ps-b-peo ultrafiltration membranes via self-assembly and water-induced phase separation. J. Membr. Sci. 2014, 453, 471–477. [Google Scholar] [CrossRef]
- Jung, A.; Rangou, S.; Abetz, C.; Filiz, V.; Abetz, V. Structure formation of integral asymmetric composite membranes of polystyrene-block-poly(2-vinylpyridine) on a nonwoven. Macromol. Mater. Eng. 2012, 297, 790–798. [Google Scholar] [CrossRef]
- Wang, J.; Rahman, M.M.; Abetz, C.; Rangou, S.; Zhang, Z.; Abetz, V. Novel post-treatment approaches to tailor the pore size of ps-b-phema isoporous membranes. Macromol. Rapid Commun. 2018, 39, 1800435. [Google Scholar] [CrossRef]
- Schöttner, S.; Schaffrath, H.-J.; Gallei, M. Poly(2-hydroxyethyl methacrylate)-based amphiphilic block copolymers for high water flux membranes and ceramic templates. Macromolecules 2016, 49, 7286–7295. [Google Scholar] [CrossRef]
- Karunakaran, M.; Shevate, R.; Peinemann, K.-V. Nanostructured double hydrophobic poly(styrene-b-methyl methacrylate) block copolymer membrane manufactured via a phase inversion technique. RSC Adv. 2016, 6, 29064–29071. [Google Scholar] [CrossRef][Green Version]
- Höhme, C.; Hahn, J.; Lademann, B.; Meyer, A.; Bajer, B.; Abetz, C.; Filiz, V.; Abetz, V. Formation of high thermally stable isoporous integral asymmetric block copolymer membranes. Eur. Polym. J. 2016, 85, 72–81. [Google Scholar] [CrossRef]
- Weidman, J.L.; Mulvenna, R.A.; Boudouris, B.W.; Phillip, W.A. Unusually stable hysteresis in the ph-response of poly(acrylic acid) brushes confined within nanoporous block polymer thin films. J. Am. Chem. Soc. 2016, 138, 7030–7039. [Google Scholar] [CrossRef]
- Jung, A.; Filiz, V.; Rangou, S.; Buhr, K.; Merten, P.; Hahn, J.; Clodt, J.; Abetz, C.; Abetz, V. Formation of integral asymmetric membranes of AB diblock and ABC triblock copolymers by phase inversion. Macromol. Rapid Commun. 2013, 34, 610–615. [Google Scholar] [CrossRef]
- Keskin, D.; Clodt, J.I.; Hahn, J.; Abetz, V.; Filiz, V. Postmodification of ps-b-p4vp diblock copolymer membranes by arget atrp. Langmuir 2014, 30, 8907–8914. [Google Scholar] [CrossRef] [PubMed]
- Refojo, M.F. Glyceryl methacrylate hydrogels. J. Appl. Polym. Sci. 1965, 9, 3161–3170. [Google Scholar] [CrossRef]
- Mori, H.; Hirao, A.; Nakahama, S.; Senshu, K. Synthesis and surface characterization of hydrophilic-hydrophobic block copolymers containing poly(2,3-dihydroxypropyl methacrylate). Macromolecules 1994, 27, 4093–4100. [Google Scholar] [CrossRef]
- Zhang, H.; Ruckenstein, E. A novel successive route to well-defined water-soluble poly(2,3-dihydroxypropyl methacrylate) and amphiphilic block copolymers based on an osmylation reaction. Macromolecules 2000, 33, 4738–4744. [Google Scholar] [CrossRef]
- Hahn, J.; Clodt, J.I.; Abetz, C.; Filiz, V.; Abetz, V. Thin isoporous block copolymer membranes: It is all about the process. ACS Appl. Mater. Interfaces 2015, 7, 21130–21137. [Google Scholar] [CrossRef]
- Yu, D.M.; Mapas, J.K.D.; Kim, H.; Choi, J.; Ribbe, A.E.; Rzayev, J.; Russell, T.P. Evaluation of the interaction parameter for poly(solketal methacrylate)-block-polystyrene copolymers. Macromolecules 2018, 51, 1031–1040. [Google Scholar] [CrossRef]
- Saleem, S.; Rangou, S.; Abetz, C.; Lademann, B.; Filiz, V.; Abetz, V. Block copolymer membranes from polystyrene-b-poly(solketal methacrylate) (ps-b-psma) and amphiphilic polystyrene-b-poly(glyceryl methacrylate) (ps-b-pgma). Polymers 2017, 9, 216. [Google Scholar] [CrossRef]
- Stegelmeier, C.; Filiz, V.; Abetz, V.; Perlich, J.; Fery, A.; Ruckdeschel, P.; Rosenfeldt, S.; Förster, S. Topological paths and transient morphologies during formation of mesoporous block copolymer membranes. Macromolecules 2014, 47, 5566–5577. [Google Scholar] [CrossRef]
- Radjabian, M.; Abetz, C.; Fischer, B.; Meyer, A.; Abetz, V. Influence of solvent on the structure of an amphiphilic block copolymer in solution and in formation of an integral asymmetric membrane. ACS Appl. Mater. Interfaces 2017, 9, 31224–31234. [Google Scholar] [CrossRef]
- Brandrup, J.; Immergut, E.H.; Grulke, E.A.; Abe, A.; Bloch, D.R. Polymer Handbook; Wiley: New York, NY, USA, 1999; Volume 4. [Google Scholar]
- Van Krevelen, D.W.; Nijenhuis, K.T. Cohesive properties and solubility. In Properties of Polymers, 4th ed.; Elsevier: Amsterdam, The Netherlands, 2009. [Google Scholar]
- Jayalakshmi, A.; Rajesh, S.; Mohan, D. Fouling propensity and separation efficiency of epoxidated polyethersulfone incorporated cellulose acetate ultrafiltration membrane in the retention of proteins. Appl. Surf. Sci. 2012, 258, 9770–9781. [Google Scholar] [CrossRef]
- Niu, X.; Li, D.; Chen, Y.; Ran, F. Modification of a polyethersulfone membrane with a block copolymer brush of poly(2-methacryloyloxyethyl phosphorylcholine-co-glycidyl methacrylate) and a branched polypeptide chain of arg–glu–asp–val. RSC Adv. 2019, 9, 25274–25284. [Google Scholar] [CrossRef]
- Yang, F.; Liu, Y.; Zhang, Y.; Ren, B.; Xu, J.; Zheng, J. Synthesis and characterization of ultralow fouling poly(n-acryloyl-glycinamide) brushes. Langmuir 2017, 33, 13964–13972. [Google Scholar] [CrossRef] [PubMed]
- Hancock, L.F.; Fagan, S.M.; Ziolo, M.S. Hydrophilic, semipermeable membranes fabricated with poly(ethylene oxide)–polysulfone block copolymer. Biomaterials 2000, 21, 725–733. [Google Scholar] [CrossRef]
- Xu, Z.-K.; Nie, F.-Q.; Qu, C.; Wan, L.-S.; Wu, J.; Yao, K. Tethering poly(ethylene glycol)s to improve the surface biocompatibility of poly(acrylonitrile-co-maleic acid) asymmetric membranes. Biomaterials 2005, 26, 589–598. [Google Scholar] [CrossRef]
- Lazos, D.; Franzka, S.; Ulbricht, M. Size-selective protein adsorption to polystyrene surfaces by self-assembled grafted poly(ethylene glycols) with varied chain lengths. Langmuir 2005, 21, 8774–8784. [Google Scholar] [CrossRef]
- Jachimska, B.; Wasilewska, M.; Adamczyk, Z. Characterization of globular protein solutions by dynamic light scattering, electrophoretic mobility, and viscosity measurements. Langmuir 2008, 24, 6866–6872. [Google Scholar] [CrossRef]
- Wavhal, D.S.; Fisher, E.R. Hydrophilic modification of polyethersulfone membranes by low temperature plasma-induced graft polymerization. J. Membr. Sci. 2002, 209, 255–269. [Google Scholar] [CrossRef]
- Tsuchida, E.; Honda, K.; Sata, H. Reversible oxygenation of heme bound to polyvinylpyridine and polyvinylimidazole. Biopolymers 1974, 13, 2147–2159. [Google Scholar] [CrossRef]
- Tsuchida, E.; Honda, K.; Hasegawa, E. Complexes between synthetic polymer ligands and ferri- and ferro-protoporphyrin ix. Biochim. Biophys. Acta (BBA) Protein Struct. 1975, 393, 483–495. [Google Scholar] [CrossRef]
- Su, Y.-L.; Cheng, W.; Li, C.; Jiang, Z. Preparation of antifouling ultrafiltration membranes with poly(ethylene glycol)-graft-polyacrylonitrile copolymers. J. Membr. Sci. 2009, 329, 246–252. [Google Scholar] [CrossRef]









| Polymers a,b | Mn (kg/mol) | Ð |
|---|---|---|
| PS71-b-P4VP26-b-PSMA3145 | 145 | 1.06 |
| PS70-b-P4VP25-b-PSMA5143 | 143 | 1.03 |
| PS71-b-P4VP17-b-PSMA1291 | 91 | 1.12 |
| Polymer | δD (MPa0.5) a | δP (MPa0.5) a | δH (MPa0.5) a | δ = √ δD2 + δP2 + δH2 |
|---|---|---|---|---|
| PS | 18.5 | 4.5 | 2.9 | 19.3 |
| P4VP | 18.1 | 7.2 | 6.8 | 19.0 |
| THF | 16.8 | 5.7 | 8.0 | 19.5 |
| DMF | 17.4 | 13.7 | 11.3 | 24.8 |
| DOX | 17.5 | 1.8 | 9.0 | 19.8 |
| Acetone | 15.5 | 10.4 | 7.0 | 19.9 |
| Water | 15.6 | 16.0 | 42.3 | 47.8 |
| Solubility Parameters by the Hoy Method [52] | ||||
| PSMA | 16.76 | 9.35 | 5.54 | 19.9 |
| PGMA | 19.25 | 9.23 | 14.4 | 25.8 |
| Membrane/BSA | % BSA Retention | Average Pore Diameter/Size (nm) |
|---|---|---|
| PS71-b-P4VP26-b-PSMA3145 | 90 | 26 ± 3 a |
| PS71-b-P4VP26-b-PGMA3145 | 24 | 26 ± 4 a |
| BSA | - | 7.6 [59] |
© 2019 by the authors. Licensee MDPI, Basel, Switzerland. This article is an open access article distributed under the terms and conditions of the Creative Commons Attribution (CC BY) license (http://creativecommons.org/licenses/by/4.0/).
Share and Cite
Saleem, S.; Rangou, S.; Abetz, C.; Filiz, V.; Abetz, V. Isoporous Membranes from Novel Polystyrene-b-poly(4-vinylpyridine)-b-poly(solketal methacrylate) (PS-b-P4VP-b-PSMA) Triblock Terpolymers and Their Post-Modification. Polymers 2020, 12, 41. https://doi.org/10.3390/polym12010041
Saleem S, Rangou S, Abetz C, Filiz V, Abetz V. Isoporous Membranes from Novel Polystyrene-b-poly(4-vinylpyridine)-b-poly(solketal methacrylate) (PS-b-P4VP-b-PSMA) Triblock Terpolymers and Their Post-Modification. Polymers. 2020; 12(1):41. https://doi.org/10.3390/polym12010041
Chicago/Turabian StyleSaleem, Sarah, Sofia Rangou, Clarissa Abetz, Volkan Filiz, and Volker Abetz. 2020. "Isoporous Membranes from Novel Polystyrene-b-poly(4-vinylpyridine)-b-poly(solketal methacrylate) (PS-b-P4VP-b-PSMA) Triblock Terpolymers and Their Post-Modification" Polymers 12, no. 1: 41. https://doi.org/10.3390/polym12010041
APA StyleSaleem, S., Rangou, S., Abetz, C., Filiz, V., & Abetz, V. (2020). Isoporous Membranes from Novel Polystyrene-b-poly(4-vinylpyridine)-b-poly(solketal methacrylate) (PS-b-P4VP-b-PSMA) Triblock Terpolymers and Their Post-Modification. Polymers, 12(1), 41. https://doi.org/10.3390/polym12010041

