Hybrid Composites Based on Polypropylene with Basalt/Hazelnut Shell Fillers: The Influence of Temperature, Thermal Aging, and Water Absorption on Mechanical Properties
Abstract
:1. Introduction
2. Materials and Methods
2.1. Materials
- The chopped basalt fibers (BCS17-6.4-KV16) with a cutting length of 6.4 mm and a nominal diameter of 17 μm were supplied by Basaltex (Wevelgem, Belgium).
- Hazelnut shells were ground on a Retsch EMAX mill (Retsch GmbH, Haan, Germany). The particle size was from 90 to 200 μm. The shells were treated with 5% NaOH for 1 h, rinsed with water, and dried for 2 h at 90 °C in a molecular drier.
- The maleic anhydride PP (MAPP) PP SCONA TPPP 9112 GA was supplied by Byk (Altana AG, Wesel, Germany).
2.2. Methods of Testing
2.2.1. Preparation of Composite Specimens
2.2.2. Density
2.2.3. Vicat Softening Temperature Measurement
2.2.4. Mechanical Testing
2.2.5. Thermal Conductivity
2.2.6. Thermal Expansion
2.2.7. Creep Test
2.2.8. Composite Morphology
2.2.9. Water Absorption
2.2.10. Thermal Aging
3. Results and Discussion
3.1. Physical and Processing Properties
3.2. Mechanical Properties
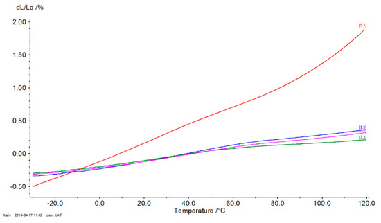
3.3. Thermal Conductivity and Coefficient of Thermal Expansion
3.4. Creep Test
3.5. Fractographic Investigation
3.6. The Influence of Water Absorption and Thermal Aging
4. Conclusions
Author Contributions
Funding
Acknowledgments
Conflicts of Interest
References
- Bledzki, A.K.; Mamun, A.A.; Erdmann, K.; Volk, J. Characterization of Grain By-Products and Properties of Its Biodegrade Composites. In Proceedings of the Naro.Tech Messe und Kongresse fü Nachwa Chsende Rohstoffe, Erfurt, Germany, 6–9 September 2007; pp. 1–11. Available online: http://www.escm.eu.org/docs/eccm13/2615.pdf (accessed on 15 November 2019).
- Fuad, M.Y.A.; Mustafah, J.; Mansor, M.S.; Ishak, Z.A.M.; Omar, A.K.M. Thermal properties of polypropylene/rice husk ash composites. Polym. Int. 1995, 38, 33–43. [Google Scholar] [CrossRef]
- Chun, K.S.; Husseinsyah, S.; Osman, H. Utilization of cocoa pod husk as filler in polypropylene biocomposites: Effect of maleated polypropylene. J. Thermoplast. Compos. Mater. 2015, 28, 1507–1521. [Google Scholar] [CrossRef]
- García-García, D.; Carbonell, A.; Samper, M.D.; García-Sanoguera, D.; Balart, R. Green composites based on polypropylene matrix and hydrophobized spend coffee ground (SCG) powder. Compos. Part B Eng. 2015, 78, 256–265. [Google Scholar] [CrossRef]
- Factfish. Available online: http://www.factfish.com/ (accessed on 12 November 2019).
- Çöpür, Y.; Güler, C.; Akgül, M.; Taşçioǧlu, C. Some chemical properties of hazelnut husk and its suitability for particleboard production. Build. Environ. 2007, 42, 2568–2572. [Google Scholar] [CrossRef]
- Gurbanov, N.A.; Abbasov, I.I.; Ismayilova, K.H.; Hasanova, N.A. Production of Polypropylene Matrix Polymer Composites with Hazelnut Shell Fillings. Phys. Mech. Prop. 2018, 16, 559–565. [Google Scholar]
- Balart, J.F.; Garc, D.; Balart, R.; Boronat, T. Manufacturing and Properties of Biobased Thermoplastic Composites From Poly (lactid acid) and Hazelnut Shell Wastes. Polym. Compos. 2018, 39, 848–857. [Google Scholar] [CrossRef]
- Vikas, G.; Sudheer, M. A Review on Properties of Basalt Fiber Reinforced Polymer Composites. Am. J. Mater. Sci. 2017, 7, 156–165. [Google Scholar]
- Bunsell, A.R. Handbook of Properties of Textile and Technical Fibres; Woodhead Publishing: Cambridge, UK, 2018; ISBN 9781782424581. [Google Scholar]
- Sang, L.; Zheng, G.; Hou, W.; Yang, X.; Wei, Z. Crystallization and mechanical properties of basalt fiber-reinforced polypropylene composites with different elastomers. J. Therm. Anal. Calorim. 2018, 134, 1531–1543. [Google Scholar] [CrossRef]
- Greco, A.; Maffezzoli, A.; Casciaro, G.; Caretto, F. Mechanical properties of basalt fibers and their adhesion to polypropylene matrices. Compos. Part B Eng. 2014, 67, 233–238. [Google Scholar] [CrossRef]
- Botev, M.; Betchev, H.; Bikiaris, D.; Panayiotou, C. Mechanical Properties and Viscoelastic Behavior of Basalt. J. Appl. Polym. Sci. 1999, 74, 523–531. [Google Scholar] [CrossRef]
- Manikandan, V.; Winowlin Jappes, J.T.; Suresh Kumar, S.M.; Amuthakkannan, P. Investigation of the effect of surface modifications on the mechanical properties of basalt fibre reinforced polymer composites. Compos. Part B Eng. 2012, 43, 812–818. [Google Scholar] [CrossRef]
- Yang, W.; Jia, Z.; Chen, Y.; Zhang, Y.; Si, J.; Lu, H.; Yang, B. Carbon nanotube reinforced polylactide/basalt fiber composites containing aluminium hypophosphite: Thermal degradation, flame retardancy and mechanical properties. RSC Adv. 2015, 5, 105869–105879. [Google Scholar] [CrossRef]
- Swolfs, Y.; Gorbatikh, L.; Verpoest, I. Fibre hybridisation in polymer composites: A review. Compos. Part A Appl. Sci. Manuf. 2014, 67, 181–200. [Google Scholar] [CrossRef]
- Mazur, K.; Kuciel, S.; Salasinska, K. Mechanical, fire, and smoke behaviour of hybrid composites based on polyamide 6 with basalt/carbon fibres. J. Compos. Mater. 2019, 53, 3979–3991. [Google Scholar] [CrossRef]
- Samal, S.K.; Mohanty, S.; Nayak, S.K. Banana/glass fiber-reinforced polypropylene hybrid composites: Fabrication and performance evaluation. Polym. Plast. Technol. Eng. 2009, 48, 397–414. [Google Scholar] [CrossRef]
- Guo, G.; Finkenstadt, V.L.; Nimmagadda, Y. Mechanical properties and water absorption behavior of injection-molded wood fiber/carbon fiber high-density polyethylene hybrid composites. Adv. Compos. Hybrid Mater. 2019, 1–11. Available online: https://link.springer.com/article/10.1007/s42114-019-00116-5 (accessed on 15 November 2019). [CrossRef]
- Franciszczak, P.; Kalniņš, K.; Błędzki, A.K. Hybridisation of man-made cellulose and glass reinforcement in short-fibre composites for injection moulding—Effects on mechanical performance. Compos. Part B Eng. 2018, 145, 14–27. [Google Scholar] [CrossRef]
- Karger-Kocsis, J.; Bárány, T. Polypropylene Handbook; Springer International Publishing: Cham, Switzerland, 2019; Volume 43, ISBN 978-3-030-12902-6. [Google Scholar]
- Demirer, H.; Kartal, İ.; Yıldırım, A.; Büyükkaya, K. The Utilisability of Ground Hazelnut Shell as Filler in Polypropylene Composites. Acta Phys. Pol. A 2018, 134, 254–257. [Google Scholar] [CrossRef]
- Kufel, A.; Kuciel, S. Study on mechanical properties of basalt fibre reinforced polypropylene composites. In Modern Polymeric Materials For Environment Applications; Pielichowski, K., Ed.; Tomasz Majka Publisher: Tarnów, Poland, 2019; pp. 229–237. [Google Scholar]
- Idicula, M.; Boudenne, A.; Umadevi, L.; Ibos, L.; Candau, Y.; Thomas, S. Thermophysical properties of natural fibre reinforced polyester composites. Compos. Sci. Technol. 2006, 66, 2719–2725. [Google Scholar] [CrossRef]
- Dobreva, D.; Nenkova, S.; Vasileva, S. Morphology and mechanical properties of polypropylene-wood flour composites. BioResources 2006, 1, 209–219. [Google Scholar]
- Franco-Marquès, E.; Méndez, J.A.; Pèlach, M.A.; Vilaseca, F.; Bayer, J.; Mutjé, P. Influence of coupling agents in the preparation of polypropylene composites reinforced with recycled fibers. Chem. Eng. J. 2011, 166, 1170–1178. [Google Scholar] [CrossRef]















| Symbol | Composition | Density, g/cm3 | Vicat Softening Temperature, °C |
|---|---|---|---|
| PP | 100% polypropylene HP 500N | 0.886 | 150.6 |
| PP5B5H | 87 wt% PP + 5 wt% BF + 5 wt% HS + 3 wt% MAPP | 0.992 | 158.0 |
| PP7B7H | 82 wt% PP + 7.5 wt% BF + 7.5 wt% HS + 3 wt% MAPP | 0.993 | 161.2 |
| PP10B10H | 77 wt% PP + 10 wt% BS + 10 wt% HS + 3 wt% MAPP | 0.997 | 161.8 |
| Specimen | Linear Coefficient of Thermal Expansion (−20 to 50 °C) α × 10−6, 1/K |
|---|---|
| PP | 136.6 |
| PP5B5H | 54.8 |
| PP7B7H | 47.4 |
| PP10B10H | 45.8 |
| PP | PP5B5H | PP7B7H | PP10B10H | |
|---|---|---|---|---|
| g | ||||
| Before drying | 36.78 | 32.9 | 34.13 | 34.91 |
| After drying at 70 °C | 36.79 | 32.84 | 33.96 | 34.71 |
| Percentage weight difference | −0.03% | 0.18% | 0.50% | 0.57% |
© 2019 by the authors. Licensee MDPI, Basel, Switzerland. This article is an open access article distributed under the terms and conditions of the Creative Commons Attribution (CC BY) license (http://creativecommons.org/licenses/by/4.0/).
Share and Cite
Kufel, A.; Kuciel, S. Hybrid Composites Based on Polypropylene with Basalt/Hazelnut Shell Fillers: The Influence of Temperature, Thermal Aging, and Water Absorption on Mechanical Properties. Polymers 2020, 12, 18. https://doi.org/10.3390/polym12010018
Kufel A, Kuciel S. Hybrid Composites Based on Polypropylene with Basalt/Hazelnut Shell Fillers: The Influence of Temperature, Thermal Aging, and Water Absorption on Mechanical Properties. Polymers. 2020; 12(1):18. https://doi.org/10.3390/polym12010018
Chicago/Turabian StyleKufel, Anna, and Stanisław Kuciel. 2020. "Hybrid Composites Based on Polypropylene with Basalt/Hazelnut Shell Fillers: The Influence of Temperature, Thermal Aging, and Water Absorption on Mechanical Properties" Polymers 12, no. 1: 18. https://doi.org/10.3390/polym12010018
APA StyleKufel, A., & Kuciel, S. (2020). Hybrid Composites Based on Polypropylene with Basalt/Hazelnut Shell Fillers: The Influence of Temperature, Thermal Aging, and Water Absorption on Mechanical Properties. Polymers, 12(1), 18. https://doi.org/10.3390/polym12010018

