Dielectric and Thermal Conductivity of Epoxy Resin Impregnated Nano-h-BN Modified Insulating Paper
Abstract
1. Introduction
2. Materials and Methods
2.1. Sample Preparation
2.2. Measurement System
3. Results
3.1. Thermal Conductivity Characteristics of Non-Modified and Nanno-h-BN-Modified RIP
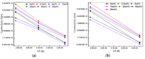
3.2. DC Conductivity Characteristics of Unmodified and Nano-h-BN-Modified RIP
3.3. DC Breakdown Strength Characteristics of Naon-Modified RIP
3.4. Space Charge Characteristics of Unmodified and Nano-h-BN-Modified RIP
4. Discussion
5. Conclusions
- Nano-boron nitride can improve the thermal conductivity of RIP while maintaining low DC conductivity and high DC breakdown strength performance;
- Proper concentration of nano-h-BN can reduce the sensitivity of RIP conductance to temperature;
- 50 wt % nano-h-BN modified RIP inhibits space charge compared with unmodified RIP.
Author Contributions
Funding
Conflicts of Interest
References
- Chen, Q.; Yang, H. Dielectric Properties of Epoxy Resin Impregnated Nano-SiO₂ Modified Insulating Paper. Polymers 2019, 11, 393. [Google Scholar] [CrossRef] [PubMed]
- Cao, W.; Shen, W.; Wu, K. Study on the properties of space charge and breakdown for epoxy-paper composites. IEEJ Trans. Electr. Electron. Eng. 2015, 10, 364–367. [Google Scholar] [CrossRef]
- Ning, X.; Peng, Z.; Feng, H.; Liu, P. Dielectric properties of epoxy and epoxy/creep paper composites dry casings. Chin. J. Electr. Eng. 2015, 35, 995–1001. [Google Scholar]
- Zhang, L. ±1000 kV DC Wall-Piercing Bushing Electric Field Distribution Research. Ph.D. Thesis, Shandong University, Shandong, China, 2014. [Google Scholar]
- Zhang, S. Electro thermal coupling model applied to the calculation of radial temperature and electric field distribution of high-pressure dry DC bushings. Chin. Electr. Eng. J. 2013, 36, 191–200. [Google Scholar]
- Yan, Z. The effect of CB/LDPE composite media on the suppression of space charge mechanism and conductance characteristics on electric field distribution. J. Chin. Electr. Eng. 2017, 14, 311–321. [Google Scholar]
- Wang, S. Study on the effect of nano-Al2O3 on the properties of low-density polyethylene high-voltage DC cable insulation materials. J. Chin. Electr. Eng. 2016, 24, 22–27. [Google Scholar]
- Shang, N.; Chen, Q.; Qin, J. Dielectric properties of nano-TiO2/liquid silicone rubber DC cable accessory insulation composites. J. Compos. Mater. 2019, 36, 110–119. [Google Scholar]
- Zhao, H. Suppression of space charge and electrical dendritization by MgO/LDPE nanocomposites. J. Chin. Electr. Eng. 2012, 32, 196–202. [Google Scholar]
- Gong, J.; Li, Z. Experimental study on space charge and breakdown characteristics of boron nitride/epoxy composites. Insul. Mater. 2016, 6, 20–27. [Google Scholar]
- Huang, X. Boron nitride based poly (phenylene sulfide) composites with enhanced thermal conductivity and breakdown strength. In Proceedings of the IEEE 2014 International Conference on Electrical Insulating Materials, Toki Messe, Niigata City, Japan, 1–5 June 2014. [Google Scholar]
- Lin, Y. Epoxy thermoset resins with high pristine thermal conductivity. High Volt. 2017, 2, 139–146. [Google Scholar] [CrossRef]
- Wang, Z. Epoxy/h-BN composites based on oriented boron nitride platelets with high thermally conductivity for electronic encapsulation. In Proceedings of the 2017 IEEE International Workshop on Integrated Power Packing (IWIPP), TU Delft, The Netherlands, 5–7 April 2017; pp. 1–4. [Google Scholar]
- Moradi, S. Achieving High Thermal Conductivity in Epoxy Composites: Effect of Boron Nitride Particle Size and Matrix-Filler Interface. Polymers 2019, 11, 1156. [Google Scholar] [CrossRef] [PubMed]
- Wang, X. Thermally Conductive and Electrical Insulation BNNS/CNF Aerogel Nano-Paper. Polymers 2019, 11, 660. [Google Scholar] [CrossRef] [PubMed]
- Chen, Q.; Liu, H.; Chi, M.; Wang, Y.; Wei, X. Experimental Study on Influence of Trap Parameters on Dielectric Characteristics of Nano-Modified Insulation Pressboard. Materials 2017, 10, 90. [Google Scholar] [CrossRef] [PubMed]
- Liao, R.J.; Yuan, L.; Zhang, F.Z.; Yang, L.J.; Wang, K.; Duan, L. Preparation of montmorillonite modified insulation paper and study on its electrical characteristics. High Volt. Eng. 2014, 40, 33–39. [Google Scholar]
- Chen, Q.G.; Liu, H.Q.; Zhuge, X.L.; Wei, X.L. Analysis of dielectric properties and electric field homogenization of modified insulation pressboard based on nano SiC. Electr. Mach. Control 2014, 18, 79–84, 94. [Google Scholar]
- Phan, H.P.; Dinh, T.; Nguyen, T.K.; Vatani, A.; Md Foisal, A.R.; Qamar, A.; Kermany, A.R.; Dao, D.V.; Nguyen, N.T. Self-sensing paper-based actuators employing ferromagnetic nanoparticles and graphite. Appl. Phys. Lett. 2017, 110, 144101. [Google Scholar] [CrossRef]
- Jarred, F.; Toan, D. Low-Cost Graphite on Paper Pressure Sensor for a Robot Gripper with a Trivial Fabrication Process. Sensors 2018, 18, 3300. [Google Scholar]
- Tu, Y.P.; He, J.; Wang, Q.; Liu, M.; Xu, G.L.; Ding, L.J. Measurement of thermally stimulated current in ZnO varistor. Proc. CSEE 2010, 30, 116–121. [Google Scholar]
- Meleshenko, V.N.; Ogon’kov, V.G.; Chirikov, A.V.; Serebryannikov, S.V.; Serebryannikov, S.S.; Cherkasov, A.P. The thermal conductivity of electrical-insulating materials and insulation systems. Russ. Electr. Eng. 2017, 88, 609–614. [Google Scholar] [CrossRef]
- Shang, N.; Chen, Q. Preparation and Dielectric Properties of SiC/LSR Nanocomposites for Insulation of High Voltage Direct Current Cable Accessories. Materials 2018, 11, 403. [Google Scholar] [CrossRef]
- Huang, X.; Zhang, Q.; Jiang, P. The effect of nanoparticle shape on the electrical properties of linear low density polyethylene nanocomposites. Chin. Electr. Eng. J. 2016, 24, 15–21. [Google Scholar]
- Wang, W.; Min, D.; Li, S. Understanding the Conduction and Breakdown Properties of Polyethylene Nanodielectrics: Effect of deep traps. IEEE Trans. Dielectr. Electr. Insul. 2016, 23, 564–572. [Google Scholar] [CrossRef]











| Temperature (K) | 0 wt % | 2.5 wt % | 5 wt % | 10 wt % | 20 wt % | 40 wt % | 50 wt % |
|---|---|---|---|---|---|---|---|
| 298.15→323.15 | 9.03 | 7.77 | 5.92 | 6.74 | 4.78 | 6.56 | 7.37 |
| 323.15→348.15 | 7.80 | 10.41 | 7.48 | 6.54 | 6.46 | 3.50 | 2.66 |
| 298.15→348.15 | 87.24 | 90.11 | 57.63 | 57.37 | 42.16 | 33.02 | 29.65 |
| Temperature (K) | 0 wt % | 2.5 wt % | 5 wt % | 10 wt % | 20 wt % | 40 wt % | 50 wt % |
|---|---|---|---|---|---|---|---|
| 298.15→323.15 | 8904 | 8023 | 7469 | 7905 | 6779 | 7814 | 8205 |
| 323.15→348.15 | 9808 | 10980 | 9639 | 9110 | 9064 | 6783 | 5855 |
| 298.15→348.15 | 9321 | 9387 | 8471 | 8461 | 7833 | 7338 | 7121 |
© 2019 by the authors. Licensee MDPI, Basel, Switzerland. This article is an open access article distributed under the terms and conditions of the Creative Commons Attribution (CC BY) license (http://creativecommons.org/licenses/by/4.0/).
Share and Cite
Yang, H.; Chen, Q.; Wang, X.; Chi, M.; Liu, H.; Ning, X. Dielectric and Thermal Conductivity of Epoxy Resin Impregnated Nano-h-BN Modified Insulating Paper. Polymers 2019, 11, 1359. https://doi.org/10.3390/polym11081359
Yang H, Chen Q, Wang X, Chi M, Liu H, Ning X. Dielectric and Thermal Conductivity of Epoxy Resin Impregnated Nano-h-BN Modified Insulating Paper. Polymers. 2019; 11(8):1359. https://doi.org/10.3390/polym11081359
Chicago/Turabian StyleYang, Hongda, Qingguo Chen, Xinyu Wang, Minghe Chi, Heqian Liu, and Xin Ning. 2019. "Dielectric and Thermal Conductivity of Epoxy Resin Impregnated Nano-h-BN Modified Insulating Paper" Polymers 11, no. 8: 1359. https://doi.org/10.3390/polym11081359
APA StyleYang, H., Chen, Q., Wang, X., Chi, M., Liu, H., & Ning, X. (2019). Dielectric and Thermal Conductivity of Epoxy Resin Impregnated Nano-h-BN Modified Insulating Paper. Polymers, 11(8), 1359. https://doi.org/10.3390/polym11081359

