Enhanced Interfacial Adhesion of Polylactide/Poly(ε-caprolactone)/Walnut Shell Flour Composites by Reactive Extrusion with Maleinized Linseed Oil
Abstract
1. Introduction
2. Materials and Methods
2.1. Materials
2.2. Reactive Extrusion
2.3. Material Characterization
2.3.1. Mechanical Tests
2.3.2. Morphology
2.3.3. Thermal Analysis
2.3.4. Thermomechanical Tests
2.3.5. Water Uptake Measurements
2.4. Statistical Analysis
3. Results and Discussion
3.1. Morphology of WSF Particles
3.2. Mechanical Properties of PLA/PCL/WSF Composites
3.3. Morphology of PLA/PCL/WSF Composites
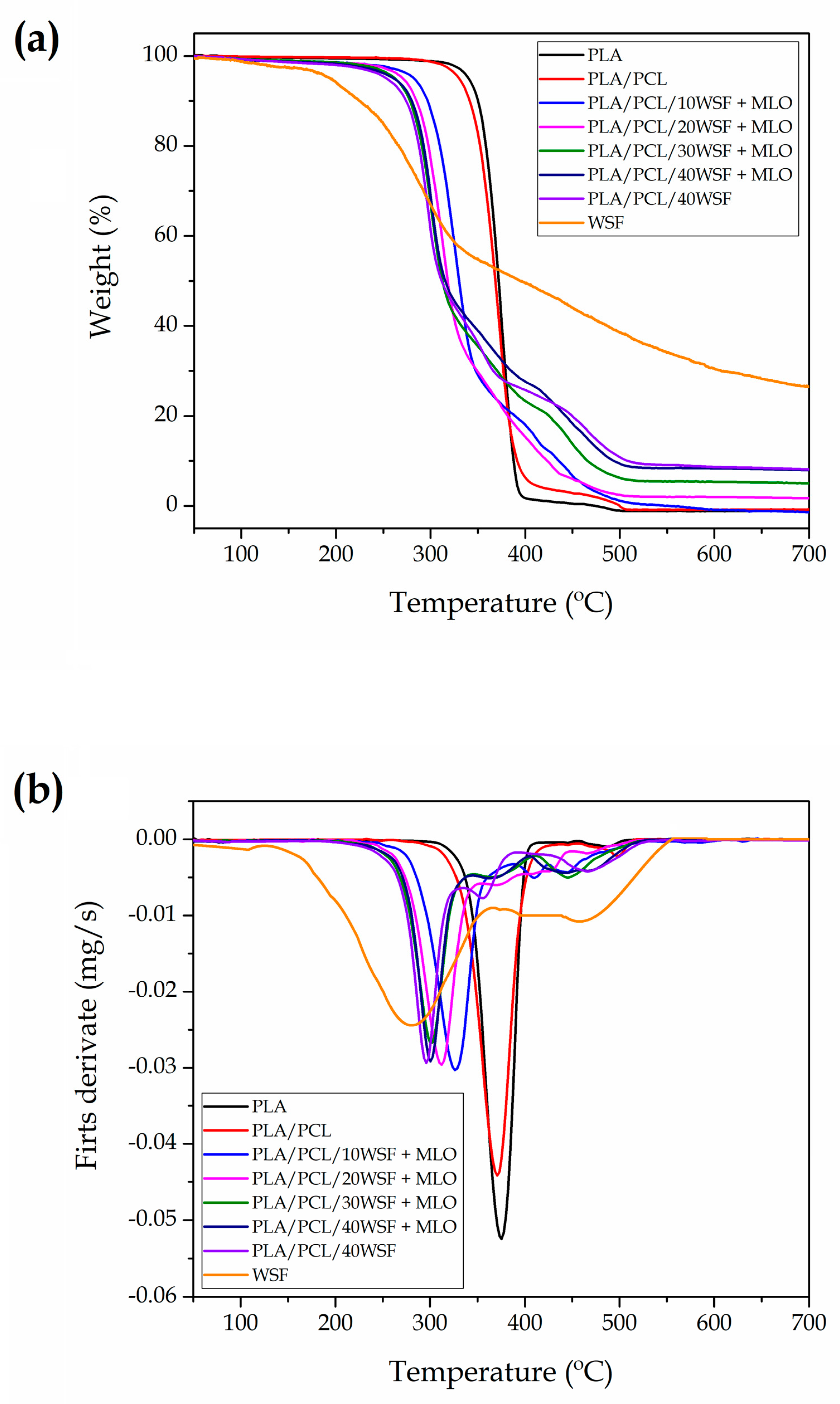
3.4. Thermal Properties of PLA/PCL/WSF Composites
3.5. Thermomechanical Properties of PLA/PCL/WSF Composites
3.6. Water Uptake of PLA/PCL/WSF Composites
4. Conclusions
Author Contributions
Funding
Acknowledgments
Conflicts of Interest
References
- Averous, L.; Moro, L.; Dole, P.; Fringant, C. Properties of thermoplastic blends: Starch–polycaprolactone. Polymer 2000, 41, 4157–4167. [Google Scholar] [CrossRef]
- Zini, E.; Scandola, M. Green composites: An overview. Polym. Compos. 2011, 32, 1905–1915. [Google Scholar] [CrossRef]
- Joshi, S.V.; Drzal, L.T.; Mohanty, A.K.; Arora, S. Are natural fiber composites environmentally superior to glass fiber reinforced composites? Compos. Part A Appl. Sci. Manuf. 2004, 35, 371–376. [Google Scholar] [CrossRef]
- Faruk, O.; Bledzki, A.K.; Fink, H.P.; Sain, M. Progress report on natural fiber reinforced composites. Macromol. Mater. Eng. 2014, 299, 9–26. [Google Scholar] [CrossRef]
- Quiles-Carrillo, L.; Montanes, N.; Garcia-Garcia, D.; Carbonell-Verdu, A.; Balart, R.; Torres-Giner, S. Effect of different compatibilizers on injection-molded green composite pieces based on polylactide filled with almond shell flour. Compos. Part B Eng. 2018, 147, 76–85. [Google Scholar] [CrossRef]
- Quiles-Carrillo, L.; Montanes, N.; Sammon, C.; Balart, R.; Torres-Giner, S. Compatibilization of highly sustainable polylactide/almond shell flour composites by reactive extrusion with maleinized linseed oil. Ind. Crop. Prod. 2018, 111, 878–888. [Google Scholar] [CrossRef]
- Liminana, P.; Garcia-Sanoguera, D.; Quiles-Carrillo, L.; Balart, R.; Montanes, N. Development and characterization of environmentally friendly composites from poly (butylene succinate) (PBS) and almond shell flour with different compatibilizers. Compos. Part B Eng. 2018, 144, 153–162. [Google Scholar] [CrossRef]
- Torres-Giner, S.; Hilliou, L.; Melendez-Rodriguez, B.; Figueroa-Lopez, K.J.; Madalena, D.; Cabedo, L.; Covas, J.A.; Vicente, A.A.; Lagaron, J.M. Melt processability, characterization, and antibacterial activity of compression-molded green composite sheets made of poly(3-hydroxybutyrate-co-3-hydroxyvalerate) reinforced with coconut fibers impregnated with oregano essential oil. Food Packag. Shelf Life 2018, 17, 39–49. [Google Scholar] [CrossRef]
- Quiles-Carrillo, L.; Montanes, N.; Lagaron, J.M.; Balart, R.; Torres-Giner, S. On the use of acrylated epoxidized soybean oil as a reactive compatibilizer in injection-molded compostable pieces consisting of polylactide filled with orange peel flour. Polym. Int. 2018, 67, 1341–1351. [Google Scholar] [CrossRef]
- Ndazi, B.S.; Karlsson, S. Characterization of hydrolytic degradation of polylactic acid/rice hulls composites in water at different temperatures. Express Polym. Lett. 2011, 5, 119–131. [Google Scholar] [CrossRef]
- Yussuf, A.; Massoumi, I.; Hassan, A. Comparison of polylactic acid/kenaf and polylactic acid/rise husk composites: The influence of the natural fibers on the mechanical, thermal and biodegradability properties. J. Polym. Environ. 2010, 18, 422–429. [Google Scholar] [CrossRef]
- Montava-Jordà, S.; Torres-Giner, S.; Ferrandiz-Bou, S.; Quiles-Carrillo, L.; Montanes, N. Development of sustainable and cost-competitive injection-molded pieces of partially bio-based polyethylene terephthalate through the valorization of cotton textile waste. Int. J. Mol. Sci. 2019, 20, 1378. [Google Scholar] [CrossRef]
- Garcia-Garcia, D.; Carbonell-Verdu, A.; Jordá-Vilaplana, A.; Balart, R.; Garcia-Sanoguera, D. Development and characterization of green composites from bio-based polyethylene and peanut shell. J. Appl. Polym. Sci. 2016, 133. [Google Scholar] [CrossRef]
- Ferrero, B.; Fombuena, V.; Fenollar, O.; Boronat, T.; Balart, R. Development of natural fiber-reinforced plastics (NFRP) based on biobased polyethylene and waste fibers from posidonia oceanica seaweed. Polym. Compos. 2015, 36, 1378–1385. [Google Scholar] [CrossRef]
- Laka, M.; Chernyavskaya, S.; Maskavs, M. Cellulose-containing fillers for polymer composites. Mech. Compos. Mater. 2003, 39, 183–188. [Google Scholar] [CrossRef]
- Khalil, H.A.; Bhat, A.; Yusra, A.I. Green composites from sustainable cellulose nanofibrils: A review. Carbohydr. Polym. 2012, 87, 963–979. [Google Scholar] [CrossRef]
- Cheng, S.; Lau, K.-T.; Liu, T.; Zhao, Y.; Lam, P.-M.; Yin, Y. Mechanical and thermal properties of chicken feather fiber/PLA green composites. Compos. Part B Eng. 2009, 40, 650–654. [Google Scholar] [CrossRef]
- Nampoothiri, K.M.; Nair, N.R.; John, R.P. An overview of the recent developments in polylactide (PLA) research. Bioresour. Technol. 2010, 101, 8493–8501. [Google Scholar] [CrossRef]
- Growth in PLA Bioplastics: A Production Capacity of over 800,000 Tonnes Expected by 2020; Nova-Institute Press Release: Hürth, Germany, 2012.
- Castro-Aguirre, E.; Iñiguez-Franco, F.; Samsudin, H.; Fang, X.; Auras, R. Poly(lactic acid)—Mass production, processing, industrial applications, and end of life. Adv. Drug Deliv. Rev. 2016, 107, 333–366. [Google Scholar] [CrossRef]
- Semba, T.; Kitagawa, K.; Ishiaku, U.S.; Hamada, H. The effect of crosslinking on the mechanical properties of polylactic acid/polycaprolactone blends. J. Appl. Polym. Sci. 2006, 101, 1816–1825. [Google Scholar] [CrossRef]
- Cai, H.; Dave, V.; Gross, R.A.; McCarthy, S.P. Effects of physical aging, crystallinity, and orientation on the enzymatic degradation of poly(lactic acid). J. Polym. Sci. Part B Polym. Phys. 1996, 34, 2701–2708. [Google Scholar] [CrossRef]
- Kakroodi, A.R.; Kazemi, Y.; Rodrigue, D.; Park, C.B. Facile production of biodegradable PCL/PLA in situ nanofibrillar composites with unprecedented compatibility between the blend components. Chem. Eng. J. 2018, 351, 976–984. [Google Scholar] [CrossRef]
- Matta, A.K.; Rao, R.U.; Suman, K.N.S.; Rambabu, V. Preparation and characterization of biodegradable PLA/PCL polymeric blends. Procedia Mater. Sci. 2014, 6, 1266–1270. [Google Scholar] [CrossRef]
- Averous, L. Biodegradable multiphase systems based on plasticized starch: A review. J. Macromol. Sci. Part C 2004, 44, 231–274. [Google Scholar] [CrossRef]
- Rosa, D.S.; Guedes, C.G.F.; Casarin, F. Mechanical behavior and biodegradation of poly(ε-caprolactone)/starch blends with and without expansor. Polym. Bull. 2005, 54, 321–333. [Google Scholar] [CrossRef]
- Ferri, J.M.; Fenollar, O.; Jorda-Vilaplana, A.; García-Sanoguera, D.; Balart, R. Effect of miscibility on mechanical and thermal properties of poly(lactic acid)/polycaprolactone blends. Polym. Int. 2016, 65, 453–463. [Google Scholar] [CrossRef]
- Imre, B.; Pukánszky, B. Compatibilization in bio-based and biodegradable polymer blends. Eur. Polym. J. 2013, 49, 1215–1233. [Google Scholar] [CrossRef]
- Ebrahimi, A.; Zarei, A.; Fatahi, R.; Varnamkhasti, M.G. Study on some morphological and physical attributes of walnut used in mass models. Sci. Hortic. 2009, 121, 490–494. [Google Scholar] [CrossRef]
- Zhou, S.; Wei, Y.; Li, B.; Wang, H. Cleaner recycling of iron from waste copper slag by using walnut shell char as green reductant. J. Clean. Prod. 2019, 217, 423–431. [Google Scholar] [CrossRef]
- Açıkalın, K. Thermogravimetric analysis of walnut shell as pyrolysis feedstock. J. Therm. Anal. Calorim. 2011, 105, 145–150. [Google Scholar] [CrossRef]
- Li, X.; Cai, Z.; Winandy, J.E.; Basta, A.H. Selected properties of particleboard panels manufactured from rice straws of different geometries. Bioresour. Technol. 2010, 101, 4662–4666. [Google Scholar] [CrossRef]
- Barczewski, M.; Sałasińska, K.; Szulc, J. Application of sunflower husk, hazelnut shell and walnut shell as waste agricultural fillers for epoxy-based composites: A study into mechanical behavior related to structural and rheological properties. Polym. Test. 2019, 75, 1–11. [Google Scholar] [CrossRef]
- Pirayesh, H.; Khazaeian, A.; Tabarsa, T. The potential for using walnut (Juglans Regia L.) shell as a raw material for wood-based particleboard manufacturing. Compos. Part B Eng. 2012, 43, 3276–3280. [Google Scholar] [CrossRef]
- Gürü, M.; Atar, M.; Yıldırım, R. Production of polymer matrix composite particleboard from walnut shell and improvement of its requirements. Mater. Des. 2008, 29, 284–287. [Google Scholar] [CrossRef]
- Salasinska, K.; Barczewski, M.; Górny, R.; Kloziński, A. Evaluation of highly filled epoxy composites modified with walnut shell waste filler. Polym. Bull. 2018, 75, 2511–2528. [Google Scholar] [CrossRef]
- Ayrilmis, N.; Kaymakci, A.; Ozdemir, F. Physical, mechanical, and thermal properties of polypropylene composites filled with walnut shell flour. J. Ind. Eng. Chem. 2013, 19, 908–914. [Google Scholar] [CrossRef]
- Zahedi, M.; Pirayesh, H.; Khanjanzadeh, H.; Tabar, M.M. Organo-modified montmorillonite reinforced walnut shell/polypropylene composites. Mater. Des. 2013, 51, 803–809. [Google Scholar] [CrossRef]
- Borah, J.S.; Kim, D.S. Recent development in thermoplastic/wood composites and nanocomposites: A review. Korean J. Chem. Eng. 2016, 33, 3035–3049. [Google Scholar] [CrossRef]
- Torres-Giner, S.; Montanes, N.; Fombuena, V.; Boronat, T.; Sanchez-Nacher, L. Preparation and characterization of compression-molded green composite sheets made of poly(3-hydroxybutyrate) reinforced with long pita fibers. Adv. Polym. Technol. 2018, 37, 1305–1315. [Google Scholar] [CrossRef]
- Wei, L.; McDonald, A.G. A review on grafting of biofibers for biocomposites. Materials 2016, 9, 303. [Google Scholar] [CrossRef] [PubMed]
- Bayrak, A.; Kiralan, M.; Ipek, A.; Arslan, N.; Cosge, B.; Khawar, K.M. Fatty acid compositions of linseed (Linum usitatissimum L.) genotypes of different origin cultivated in turkey. Biotechnol. Biotechnol. Equip. 2010, 24, 1836–1842. [Google Scholar] [CrossRef]
- Ford, E.N.; Mendon, S.K.; Rawlins, J.W.; Thames, S.F. Spectroscopic analysis of cotton treated with neutralized maleinized soybean oil. J. Am. Oil Chem. Soc. 2011, 88, 681–687. [Google Scholar] [CrossRef]
- Ford, E.N.; Rawlins, J.W.; Mendon, S.K.; Thames, S.F. Effect of acid value on the esterification mechanism of maleinized soybean oil with cotton. J. Coat. Technol. Res. 2012, 9, 637–641. [Google Scholar] [CrossRef]
- Ferri, J.; Garcia-Garcia, D.; Sánchez-Nacher, L.; Fenollar, O.; Balart, R. The effect of maleinized linseed oil (MLO) on mechanical performance of poly(lactic acid)-thermoplastic starch (PLA-TPS) blends. Carbohydr. Polym. 2016, 147, 60–68. [Google Scholar] [CrossRef]
- Quiles-Carrillo, L.; Montanes, N.; Pineiro, F.; Jorda-Vilaplana, A.; Torres-Giner, S. Ductility and toughness improvement of injection-molded compostable pieces of polylactide by melt blending with poly(ε-caprolactone) and thermoplastic starch. Materials 2018, 11, 2138. [Google Scholar] [CrossRef] [PubMed]
- Simoes, C.; Viana, J.; Cunha, A. Mechanical properties of poly(ε-caprolactone) and poly(lactic acid) blends. J. Appl. Polym. Sci. 2009, 112, 345–352. [Google Scholar] [CrossRef]
- Quiles-Carrillo, L.; Duart, S.; Montanes, N.; Torres-Giner, S.; Balart, R. Enhancement of the mechanical and thermal properties of injection-molded polylactide parts by the addition of acrylated epoxidized soybean oil. Mater. Des. 2018, 140, 54–63. [Google Scholar] [CrossRef]
- Quiles-Carrillo, L.; Blanes-Martínez, M.M.; Montanes, N.; Fenollar, O.; Torres-Giner, S.; Balart, R. Reactive toughening of injection-molded polylactide pieces using maleinized hemp seed oil. Eur. Polym. J. 2018, 98, 402–410. [Google Scholar] [CrossRef]
- Xiong, Z.; Li, C.; Ma, S.; Feng, J.; Yang, Y.; Zhang, R.; Zhu, J. The properties of poly(lactic acid)/starch blends with a functionalized plant oil: Tung oil anhydride. Carbohydr. Polym. 2013, 95, 77–84. [Google Scholar] [CrossRef]
- Wu, C.-Y.; Lui, W.-B.; Peng, J. Optimization of extrusion variables and maleic anhydride content on biopolymer blends based on poly(hydroxybutyrate-co-hydroxyvalerate)/poly(vinyl acetate) with tapioca starch. Polymers 2018, 10, 827. [Google Scholar] [CrossRef]
- Chieng, B.; Ibrahim, N.; Then, Y.; Loo, Y. Epoxidized vegetable oils plasticized poly(lactic acid) biocomposites: Mechanical, thermal and morphology properties. Molecules 2014, 19, 16024–16038. [Google Scholar] [CrossRef]
- Urquijo, J.; Guerrica-Echevarría, G.; Eguiazábal, J.I. Melt processed PLA/PCL blends: Effect of processing method on phase structure, morphology, and mechanical properties. J. Appl. Polym. Sci. 2015, 132. [Google Scholar] [CrossRef]
- Dufresne, A.; Dupeyre, D.; Paillet, M. Lignocellulosic flour-reinforced poly(hydroxybutyrate-co-valerate) composites. J. Appl. Polym. Sci. 2003, 87, 1302–1315. [Google Scholar] [CrossRef]
- Balart, J.F.; García-Sanoguera, D.; Balart, R.; Boronat, T.; Sánchez-Nacher, L. Manufacturing and properties of biobased thermoplastic composites from poly(lactid acid) and hazelnut shell wastes. Polym. Compos. 2018, 39, 848–857. [Google Scholar] [CrossRef]
- Ferri, J.M.; Garcia-Garcia, D.; Montanes, N.; Fenollar, O.; Balart, R. The effect of maleinized linseed oil as biobased plasticizer in poly(lactic acid)-based formulations. Polym. Int. 2017, 66, 882–891. [Google Scholar] [CrossRef]
- Xiong, Z.; Yang, Y.; Feng, J.; Zhang, X.; Zhang, C.; Tang, Z.; Zhu, J. Preparation and characterization of poly(lactic acid)/starch composites toughened with epoxidized soybean oil. Carbohydr. Polym. 2013, 92, 810–816. [Google Scholar] [CrossRef]
- Quiles-Carrillo, L.; Montanes, N.; Jorda-Vilaplana, A.; Balart, R.; Torres-Giner, S. A comparative study on the effect of different reactive compatibilizers on injection-molded pieces of bio-based high-density polyethylene/polylactide blends. J.Appl. Polym. Sci. 2019, 136, 47396. [Google Scholar] [CrossRef]
- Balart, J.; Fombuena, V.; Fenollar, O.; Boronat, T.; Sánchez-Nacher, L. Processing and characterization of high environmental efficiency composites based on PLA and hazelnut shell flour (HSF) with biobased plasticizers derived from epoxidized linseed oil (ELO). Compos. Part B Eng. 2016, 86, 168–177. [Google Scholar] [CrossRef]
- Yasuniwa, M.; Tsubakihara, S.; Ohoshita, K.; Tokudome, S.I. X-ray studies on the double melting behavior of poly(butylene terephthalate). J. Polym. Sci. Part B Polym. Phys. 2001, 39, 2005–2015. [Google Scholar] [CrossRef]
- Yasuniwa, M.; Tsubakihara, S.; Sugimoto, Y.; Nakafuku, C. Thermal analysis of the double-melting behavior of poly(l-lactic acid). J. Polym. Sci. Part B Polym. Phys. 2004, 42, 25–32. [Google Scholar] [CrossRef]
- Martin, O.; Averous, L. Poly(lactic acid): Plasticization and properties of biodegradable multiphase systems. Polymer 2001, 42, 6209–6219. [Google Scholar] [CrossRef]
- Chun, K.S.; Husseinsyah, S.; Osman, H. Properties of coconut shell powder-filled polylactic acid ecocomposites: Effect of maleic acid. Polym. Eng. Sci. 2013, 53, 1109–1116. [Google Scholar] [CrossRef]
- Lee, S.-Y.; Kang, I.-A.; Doh, G.-H.; Yoon, H.-G.; Park, B.-D.; Wu, Q. Thermal and mechanical properties of wood flour/talc-filled polylactic acid composites: Effect of filler content and coupling treatment. J. Thermoplast. Compos. Mater. 2008, 21, 209–223. [Google Scholar] [CrossRef]
- Signori, F.; Coltelli, M.-B.; Bronco, S. Thermal degradation of poly(lactic acid) (PLA) and poly(butylene adipate-co-terephthalate) (PBAT) and their blends upon melt processing. Polym. Degrad. Stab. 2009, 94, 74–82. [Google Scholar] [CrossRef]
- Vilay, V.; Mariatti, M.; Ahmad, Z.; Pasomsouk, K.; Todo, M. Characterization of the mechanical and thermal properties and morphological behavior of biodegradable poly(l-lactide)/poly(ε-caprolactone) and poly(l-lactide)/poly(butylene succinate-co-l-lactate) polymeric blends. J. Appl. Polym. Sci. 2009, 114, 1784–1792. [Google Scholar] [CrossRef]
- Faulstich de Paiva, J.M.; Frollini, E. Unmodified and modified surface sisal fibers as reinforcement of phenolic and lignophenolic matrices composites: Thermal analyses of fibers and composites. Macromol. Mater. Eng. 2006, 291, 405–417. [Google Scholar] [CrossRef]
- Yang, H.; Yan, R.; Chen, H.; Lee, D.H.; Zheng, C. Characteristics of hemicellulose, cellulose and lignin pyrolysis. Fuel 2007, 86, 1781–1788. [Google Scholar] [CrossRef]
- Souza, B.S.; Moreira, A.P.D.; Teixeira, A.M.R.F. Tg-ftir coupling to monitor the pyrolysis products from agricultural residues. J. Therm. Anal. Calorim. 2009, 97, 637. [Google Scholar] [CrossRef]
- Essabir, H.; Hilali, E.; Elgharad, A.; El Minor, H.; Imad, A.; Elamraoui, A.; Al Gaoudi, O. Mechanical and thermal properties of bio-composites based on polypropylene reinforced with nut-shells of argan particles. Mater. Des. 2013, 49, 442–448. [Google Scholar] [CrossRef]
- Essabir, H.; Achaby, M.E.I.; Hilali, E.I.M.; Bouhfid, R.; Qaiss, A. Morphological, structural, thermal and tensile properties of high density polyethylene composites reinforced with treated argan nut shell particles. J. Bionic Eng. 2015, 12, 129–141. [Google Scholar] [CrossRef]
- Laaziz, S.A.; Raji, M.; Hilali, E.; Essabir, H.; Rodrigue, D.; Bouhfid, R.; Qaiss, A.E.K. Bio-composites based on polylactic acid and argan nut shell: Production and properties. Int. J. Biol. Macromol. 2017, 104, 30–42. [Google Scholar] [CrossRef] [PubMed]
- Torres-Giner, S.; Montanes, N.; Fenollar, O.; García-Sanoguera, D.; Balart, R. Development and optimization of renewable vinyl plastisol/wood flour composites exposed to ultraviolet radiation. Mater. Des. 2016, 108, 648–658. [Google Scholar] [CrossRef]
- Muthuraj, R.; Misra, M.; Mohanty, A.K. Biodegradable compatibilized polymer blends for packaging applications: A literature review. J. Appl. Polym. Sci. 2018, 135, 45726. [Google Scholar] [CrossRef]
- Malin, M.; Hiljanen-Vainio, M.; Karjalainen, T.; Seppälä, J. Biodegradable lactone copolymers. II. Hydrolytic study of ε-caprolactone and lactide copolymers. J. Appl. Polym. Sci. 1996, 59, 1289–1298. [Google Scholar] [CrossRef]







| Sample. | PLA (wt %) | PCL (wt %) | WSF (wt %) | MLO (phr) |
|---|---|---|---|---|
| PLA | 100 | 0 | 0 | 0 |
| PLA/PCL | 80 | 20 | 0 | 0 |
| PLA/PCL/10WSF + MLO | 72 | 18 | 10 | 5 |
| PLA/PCL/20WSF + MLO | 64 | 16 | 20 | 5 |
| PLA/PCL/30WSF + MLO | 56 | 14 | 30 | 5 |
| PLA/PCL/40WSF + MLO | 48 | 12 | 40 | 5 |
| PLA/PCL/40WSF | 48 | 12 | 40 | 0 |
| Piece | E (MPa) | σmax (MPa) | εb (%) | Shore D Hardness | Impact Strength (kJ/m2) |
|---|---|---|---|---|---|
| PLA | 1101.1 ± 50.1 a | 61.1 ± 0.8 a | 8.9 ± 0.2 a | 81.4 ± 1.7 a | 24.3 ± 2.1 a |
| PLA/PCL | 943.3 ± 24.2 b | 50.8 ± 0.4 b | 10.4 ± 1.4 a | 76.4 ± 2.1 a | 26.1 ± 2.3 a |
| PLA/PCL/10WSF + MLO | 832.9 ± 25.5 c | 25.4 ± 0.3 c | 18.7 ± 1.7 b | 75.0 ± 1.2 b | 24.5 ± 2.8 a |
| PLA/PCL/20WSF + MLO | 787.7 ± 35.3 d | 21.8 ± 1.1 c | 16.1 ± 2.2 b | 74.6 ± 1.8 b | 22.6 ± 1.9 a |
| PLA/PCL/30WSF + MLO | 723.2 ± 29.6 d | 13.4 ± 1.0 d | 3.1 ± 0.7 c | 75.4 ± 0.5 b | 13.1 ± 1.4 b |
| PLA/PCL/40WSF + MLO | 714.5 ± 49.5 d | 10.4 ± 1.3 d | 2.1 ± 0.5 c | 75.9 ± 0.6 b | 9.4 ± 1.6 c |
| PLA/PCL/40WSF | 604.8 ± 52.9 d | 8.9 ± 2.2 d | 1.5 ± 0.1 c | 77.8 ± 1.3 a | 4.9 ± 0.9 d |
| Sample | Tm PCL (°C) | ∆Hm PCL (J/g) | TCC PLA (°C) | ∆HCC PLA (J/g) | Tm PLA (°C) | ∆Hm PLA (J/g) |
|---|---|---|---|---|---|---|
| PLA | - | - | 113.0 ± 0.6 a | 31.0 ± 0.8 a | 165.9 ± 0.4 a / 172.2 ± 0.6 b | 37.0 ± 0.9 a |
| PLA/PCL | 57.8 ± 0.8 a | 8.0 ± 0.3 a | 99.1 ± 0.8 b | 16.5 ± 0.8 b | 170.2 ± 0.7 c | 38.5 ± 0.8 a |
| PLA/PCL/10WSF + MLO | 56.5 ± 0.9 a | 6.9 ± 0.4 b | 98.9 ± 0.7 b | 15.8 ± 0.6 b | 169.3 ± 0.8 c | 33.9 ± 0.6 b |
| PLA/PCL/20WSF + MLO | 56.3 ± 0.7 a | 6.7 ± 0.2 b | 95.9 ± 0.9 c | 15.5 ± 0.6 b | 167.5 ± 0.6 d | 32.5 ± 0.6 b |
| PLA/PCL/30WSF + MLO | 55.8 ± 1.1 a | 5.6 ± 0.3 c | 96.0 ± 0.8 c | 12.7 ± 0.5 c | 166.7 ± 0.7 d | 24.9 ± 0.5 c |
| PLA/PCL/40WSF + MLO | 57.0 ± 1.0 a | 4.7 ± 0.4 d | 96.9 ± 0.7 c | 11.3 ± 0.6 c | 167.6 ± 0.6 d | 20.8 ± 0.6 d |
| PLA/PCL/40WSF | 56.5 ± 0.9 a | 4.6 ± 0.5 d | 94.6 ± 0.6 d | 10.9 ± 0.6 d | 164.6 ± 0.5 a | 20.5 ± 0.6 d |
| Sample | T5% (°C) | Tdeg (°C) | Residual Mass (%) |
|---|---|---|---|
| PLA | 340.3 ± 1.2 a | 375.3 ± 1.2 a | 0.6 ± 0.2 a |
| PLA/PCL | 329.6 ± 1.3 b | 369.7 ± 0.9 b | 0.3 ± 0.2 a |
| PLA/PCL/10WSF + MLO | 282.4 ± 1.6 c | 326.5 ± 1.4 c | 1.8 ± 0.7 b |
| PLA/PCL/20WSF + MLO | 270.1 ± 1.1 d | 311.6 ± 1.1 d | 2.3 ± 0.6 b |
| PLA/PCL/30WSF + MLO | 262.7 ± 0.9 e | 302.7 ± 0.6 e | 5.5 ± 0.9 c |
| PLA/PCL/40WSF + MLO | 259.8 ± 1.4 e | 300.2 ± 0.9 e | 7.8 ± 0.7 c |
| PLA/PCL/40WSF | 252.3 ± 1.5 f | 293.5 ± 1.1 f | 8.2 ± 0.8 c |
| WSF | 194.1 ± 0.5 g | 278.5 ± 1.8 g | 27.5 ± 1.2 d |
| Sample | E (MPa) at −80 °C | E (MPa) at 20 °C | Tg PCL (°C) | Tg PLA (°C) |
|---|---|---|---|---|
| PLA | 1745 ± 16 a | 1536 ± 12 a | - | 68.4 ± 0.9 a |
| PLA/PCL | 1782 ± 12 a | 1375 ± 11 b | −53.4 ± 1.2 a | 64.4 ± 0.7 b |
| PLA/PCL/10WSF + MLO | 1792 ± 13 a | 1260 ± 8 c | −51.9 ± 0.9 b | 64.9 ± 1.0 b |
| PLA/PCL/20WSF + MLO | 1846 ± 17 b | 1275 ± 10 c | −50.6 ± 0.8 b | 65.0 ± 0.8 b |
| PLA/PCL/30WSF + MLO | 1850 ± 10 b | 1120± 12 d | −46.1 ± 1.1 c | 64.4 ± 0.9 b |
| PLA/PCL/40WSF + MLO | 2175 ± 24 c | 1330 ± 14 e | −45.8 ± 0.7 c | 63.8 ± 0.7 b |
| PLA/PCL/40WSF | 2055 ± 20 d | 1470 ± 9 f | −51.2 ± 1.0 b | 63.0 ± 1.1 b |
© 2019 by the authors. Licensee MDPI, Basel, Switzerland. This article is an open access article distributed under the terms and conditions of the Creative Commons Attribution (CC BY) license (http://creativecommons.org/licenses/by/4.0/).
Share and Cite
Montava-Jordà, S.; Quiles-Carrillo, L.; Richart, N.; Torres-Giner, S.; Montanes, N. Enhanced Interfacial Adhesion of Polylactide/Poly(ε-caprolactone)/Walnut Shell Flour Composites by Reactive Extrusion with Maleinized Linseed Oil. Polymers 2019, 11, 758. https://doi.org/10.3390/polym11050758
Montava-Jordà S, Quiles-Carrillo L, Richart N, Torres-Giner S, Montanes N. Enhanced Interfacial Adhesion of Polylactide/Poly(ε-caprolactone)/Walnut Shell Flour Composites by Reactive Extrusion with Maleinized Linseed Oil. Polymers. 2019; 11(5):758. https://doi.org/10.3390/polym11050758
Chicago/Turabian StyleMontava-Jordà, Sergi, Luis Quiles-Carrillo, Nuria Richart, Sergio Torres-Giner, and Nestor Montanes. 2019. "Enhanced Interfacial Adhesion of Polylactide/Poly(ε-caprolactone)/Walnut Shell Flour Composites by Reactive Extrusion with Maleinized Linseed Oil" Polymers 11, no. 5: 758. https://doi.org/10.3390/polym11050758
APA StyleMontava-Jordà, S., Quiles-Carrillo, L., Richart, N., Torres-Giner, S., & Montanes, N. (2019). Enhanced Interfacial Adhesion of Polylactide/Poly(ε-caprolactone)/Walnut Shell Flour Composites by Reactive Extrusion with Maleinized Linseed Oil. Polymers, 11(5), 758. https://doi.org/10.3390/polym11050758

