Synthesis and Characterization of Aluminum 2-Carboxyethyl-Phenyl-Phosphinate and Its Flame-Retardant Application in Polyester
Abstract
:1. Introduction
2. Experimental
2.1. Materials
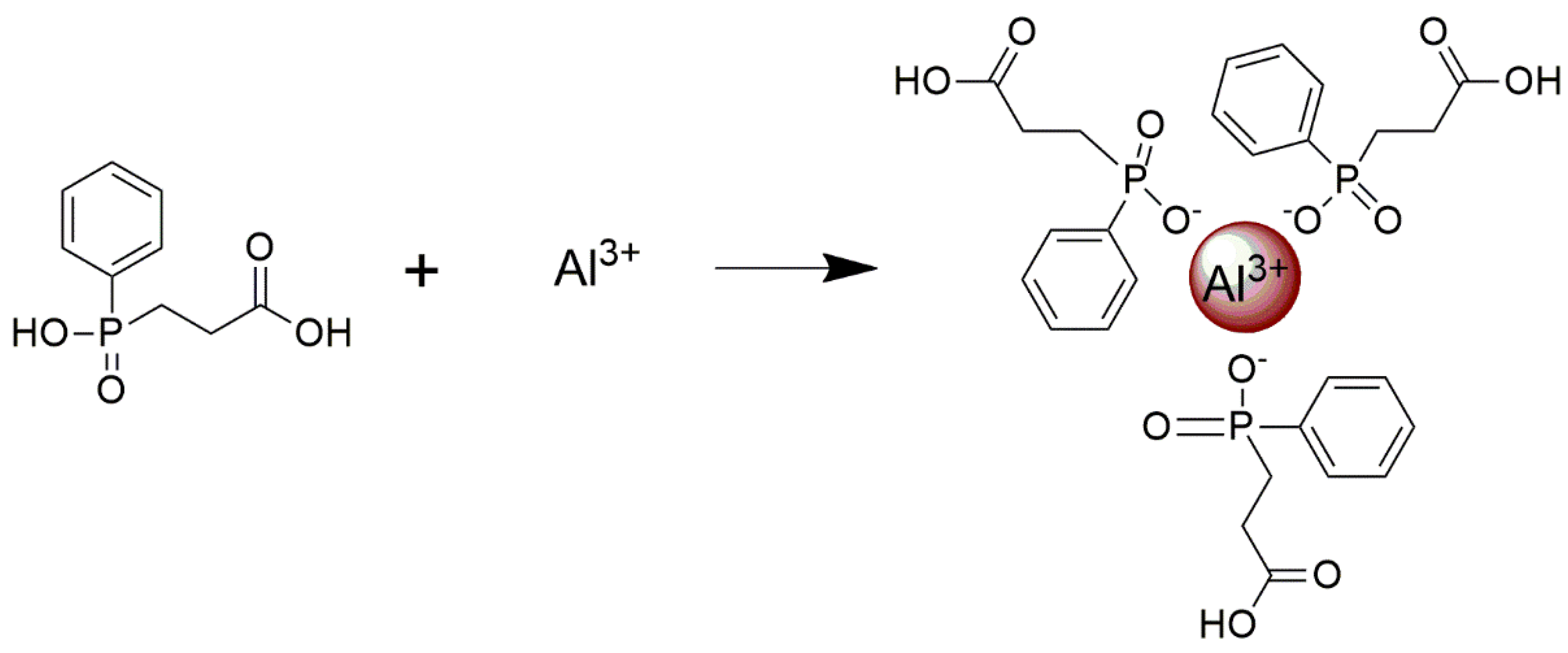
2.2. Synthesis of CPA-Al
2.3. Preparation of Flame-Retardant Textiles and the Control Samples
2.4. Characterization
3. Results and Discussion
3.1. Characterization of the Structure and Thermal Stability of CPA-Al
3.2. LOI and Vertical Burning Test.
3.3. Cone Calorimeter Test
3.4. TGA and TGA-FTIR Analysis
3.5. The Residue Analysis from Cone Calorimeter Test
3.6. Barrier Performance of CPA-Al/PU/T
4. Conclusions
Author Contributions
Funding
Conflicts of Interest
References
- Li, S.N.; Huang, S.; Xu, F.; Xiao, H.; Zhang, F.X.; Zhang, G.X. Preparing polyester/carbon multifunctional fabrics by phosphoric acid carbonization. Cellulose 2019, 26, 8907–8917. [Google Scholar] [CrossRef]
 - Alongi, J.; Carosio, F.; Kiekens, P. Recent Advances in the Design of Water Based-Flame Retardant Coatings for Polyester and Polyester-Cotton Blends. Polymers 2016, 8, 357. [Google Scholar] [CrossRef] [PubMed]
 - Guido, E.; Alongi, J.; Colleoni, C.; Blaio, A.D.; Carosio, F.; Verelst, M.; Malucelli, G.; Rosace, G. Thermal stability and flame retardancy of polyester fabrics sol-gel treated in the presence of boehmite nanoparticles. Polym. Degrad. Stab. 2013, 98, 1609–1616. [Google Scholar] [CrossRef]
 - Didane, N.; Giraud, S.; Devaux, E. Fire performances comparison of back coating and melt spinning approaches for PET covering textiles. Polym. Degrad. Stab. 2012, 97, 1083–1089. [Google Scholar] [CrossRef]
 - Miyake, Y.; Tokumura, M.; Nakayama, H.; Wang, Q.; Amagai, T.; Ogo, S.; Kume, K.; Kobayashi, T.; Takasu, S.; Ogawa, K.; et al. Simultaneous determination of brominated and phosphate flame retardants in flame-retarded polyester curtains by a novel extraction method. Sci. Total Environ. 2017, 601, 1333–1339. [Google Scholar] [CrossRef] [PubMed]
 - Wrobel, G.; Liu, C.H.; Piech, M.; Dardona, S.; Gao, P.X. Synthesis and Thermal Degradation of Fire-Retardant Zinc Hydroxystannate Nanocube Coated Textiles. Sci. Adv. Mater. 2012, 4, 819–824. [Google Scholar] [CrossRef]
 - Behera, K.; Chang, Y.H.; Chiu, F.C.; Yang, J.C. Characterization of poly (lactic acid) s with reduced molecular weight fabricated through an autoclave process. Polym. Test. 2017, 60, 132–139. [Google Scholar] [CrossRef]
 - Behera, K.; Sivanjineyulu, V.; Chang, Y.H.; Chiu, F.C. Thermal properties, phase morphology and stability of biodegradable PLA/PBSL/HAp composites. Polym. Degrad. Stab. 2018, 154, 248–260. [Google Scholar] [CrossRef]
 - Feng, Q.L.; Gu, X.Y.; Zhang, S.; Zhao, B.; Sun, J.; Li, X.Y.; Dong, M.Z. An Antidripping Flame Retardant Finishing for Polyethylene Terephthalate Fabric. Ind. Eng. Chem. Res. 2012, 51, 14708–14713. [Google Scholar] [CrossRef]
 - Mayer-Gall, T.; Plohl, D.; Derksen, L.; Lauer, D.; Neldner, P.; Ali, W.; Fuchs, S.; Gutmann, J.S.; Opwis, K. A Green Water-Soluble Cyclophosphazene as a Flame Retardant Finish for Textiles. Molecules 2019, 24, 3100. [Google Scholar] [CrossRef]
 - Malucelli, G. Biomacromolecules and Bio-Sourced Products for the Design of Flame Retarded Fabrics: Current State of the Art and Future Perspectives. Molecules 2019, 24, 3774. [Google Scholar] [CrossRef] [PubMed]
 - Horrocks, A.R. Textile flammability research since 1980-Personal challenges and partial solutions. Polym. Degrad. Stab. 2013, 98, 2813–2824. [Google Scholar] [CrossRef]
 - Feng, H.S.; Qiu, Y.; Qian, L.J.; Chen, Y.J.; Xu, B.; Xin, F. Flame Inhibition and Charring Effect of Aromatic Polyimide and Aluminum Diethylphosphinate in Polyamide 6. Polymers 2019, 11, 74. [Google Scholar] [CrossRef] [PubMed]
 - Sag, J.; Goedderz, D.; Kukla, P.; Greiner, L.; Schönberger, F.; Döring, M. Phosphorus-Containing Flame Retardants from Biobased Chemicals and Their Application in Polyesters and Epoxy Resins. Molecules 2019, 24, 3746. [Google Scholar] [CrossRef] [PubMed]
 - Lim, K.S.; Bee, S.T.; Sin, L.T.; Tee, T.T.; Ratnam, C.T.; Hui, D.; Rahmat, A.R. A review of application of ammonium polyphosphate as intumescent flame retardant in thermoplastic composites. Compos. Part B 2016, 84, 155–174. [Google Scholar] [CrossRef]
 - Zhou, Y.; Cui, Y.Z.; Liu, G.J.; Lv, L.H. Reach on P/N Type Intumescent Flame Retardant for Polyester Fabric. Adv. Mater. Res. 2013, 785, 714–717. [Google Scholar] [CrossRef]
 - Wattanatanom, W.; Churuchinda, S.; Potiyaraj, P. Intumescent flame retardant finishing of polyester fabrics via the layer-by-layer assembly technique. Int. J. Cloth. Sci. Technol. 2017, 29, 96–105. [Google Scholar] [CrossRef]
 - Zhang, J.J.; Ji, Q.; Shen, X.H.; Xia, Y.Z.; Tan, W.; Wang, F.J.; Kong, Q.S. Flame retardancy and non-isothermal crystallization behaviour of PET/TiO2 nanocomposites. Polym. Polym. Compos. 2012, 20, 399–406. [Google Scholar] [CrossRef]
 - Zhang, J.J.; Ji, Q.; Zhang, P.; Xia, Y.Z.; Kong, Q.S. Thermal stability and flame-retardancy mechanism of poly (ethylene terephthalate)/boehmite nanocomposites. Polym. Degrad. Stab. 2010, 95, 1211–1218. [Google Scholar] [CrossRef]
 - Carosio, F.; Alongi, J.; Malucelli, G. α-Zirconium phosphate-based nanoarchitectures on polyester fabrics through layer-by-layer assembly. J. Mater. Chem. 2011, 21, 10370–10376. [Google Scholar] [CrossRef]
 - Si, M.M.; Feng, J.; Hao, J.W.; Xu, L.S.; Du, J.X. Synergistic flame retardant effects and mechanisms of nano-Sb2O3, in combination with aluminum phosphinate in poly (ethylene terephthalate). Polym. Degrad. Stab. 2013, 100, 70–78. [Google Scholar] [CrossRef]
 - Alongi, J. Investigation on flame retardancy of poly (ethylene terephthalate) for plastics and textiles by combination of an organo-modified sepiolite and Zn phosphinate. Fibers Polym. 2011, 12, 166–173. [Google Scholar] [CrossRef]
 - Yang, W.; Song, L.; Hu, Y.; Lu, H.D.; Yuen, R.K.K. Enhancement of fire retardancy performance of glass-fibre reinforced poly (ethylene terephthalate) composites with the incorporation of aluminum hypophosphite and melamine cyanurate. Compos. Part B 2011, 42, 1057–1065. [Google Scholar] [CrossRef]
 - Sonnier, R.; Otazaghine, B.; Vagner, C.; Bier, F.; Six, J.L.; Durand, A.; Vahabi, H. Exploring the Contribution of Two Phosphorus-Based Groups to Polymer Flammability via Pyrolysis-Combustion Flow Calorimetry. Materials 2019, 12, 2961. [Google Scholar] [CrossRef] [PubMed]
 - Zhang, X.; Zhang, L.P.; Wu, Q.; Mao, Z.P. The influence of synergistic effects of hexakis (4-nitrophenoxy) cyclotriphosphazene and POE-g-MA on anti-dripping and flame retardancy of PET. J. Ind. Eng. Chem. 2013, 19, 993–999. [Google Scholar] [CrossRef]
 - Li, J.W.; Pan, F.; Xu, H.; Zhang, L.P.; Zhong, Y.; Mao, Z.P. The flame-retardancy and anti-dripping properties of novel poly (ethylene terephalate)/cyclotriphosphazene/silicone composites. Polym. Degrad. Stab. 2014, 110, 268–277. [Google Scholar] [CrossRef]
 - Li, J.W.; Zeng, X.D.; Kong, D.Z.; Xu, H.; Zhang, L.P.; Zhong, Y.; Sui, X.F.; Mao, Z.P. Synergistic effects of a novel silicon-containing triazine charring agent on the flame-retardant properties of poly (ethylene terephthalate)/hexakis (4-phenoxy) cyclotriphosphazene composites. Polym. Compos. 2018, 39, 858–868. [Google Scholar] [CrossRef]
 - Wang, J.N.; Su, X.Y.; Mao, Z.P. The flame retardancy and thermal property of poly (ethylene terephthalate)/cyclotriphosphazene modified by montmorillonite system. Polym. Degrad. Stab. 2014, 109, 154–161. [Google Scholar] [CrossRef]
 - Didane, N.; Giraud, S.; Devaux, E.; Lemort, G.; Capon, G. Thermal and fire resistance of fibrous materials made by PET containing flame retardant agents. Polym. Degrad. Stab. 2012, 97, 2545–2551. [Google Scholar] [CrossRef]
 - Didane, N.; Giraud, S.; Devaux, E.; Lemort, G. Development of fire resistant PET fibrous structures based on phosphinate-POSS blends. Polym. Degrad. Stab. 2012, 97, 879–885. [Google Scholar] [CrossRef]
 - Tang, H.Y.; Chen, J.Y.; Guo, Y.H. A novel process for preparing anti-dripping polyethylene terephthalate fibers. Mater. Des. 2010, 31, 3525–3530. [Google Scholar] [CrossRef]
 - Yang, S.; Kim, J.P. Flame retardant polyesters. III. Fibers. J. Appl. Polym. Sci. 2008, 108, 2297–2300. [Google Scholar] [CrossRef]
 - Wu, Z.H.; Li, L.L.; Jiang, S.S.; Hu, Z.X.; Mao, Y.C.; Zhu, M.F. Preparation and Properties of Recycled-Polyester Nanocomposite Fibers Synergistic Modified with Phosphorus Containing Flame-Retardant and α-zirconium Phosphate. Mater. Sci. Forum 2014, 789, 174–177. [Google Scholar] [CrossRef]
 - Li, Q.L.; Huang, F.Q.; Jiang, X.J.; Wen, D.; Feng, X.N.; Wu, K. Preparation and properties of a washable flame-retardant coated fabric. Indian J. Fibre Text. 2016, 41, 40–46. [Google Scholar]
 - Yu, L.; Zhang, S.; Liu, W.; Zhu, X.J.; Chen, X.P.; Chen, X.S. Improving the flame retardancy of PET fabric by photo-induced grafting. Polym. Degrad. Stab. 2010, 95, 1934–1942. [Google Scholar] [CrossRef]
 - Ömeroğulları, Z.; Kut, D. Application of low-frequency oxygen plasma treatment to polyester fabric to reduce the amount of flame retardant agent. Text. Res. J. 2012, 82, 613–621. [Google Scholar] [CrossRef]
 - Carosio, F.; Alongi, J.; Malucelli, G. Flammability and combustion properties of ammonium polyphosphate-/poly (acrylic acid)-based Layer by Layer architectures deposited on cotton, polyester and their blends. Polym. Degrad. Stab. 2013, 98, 1626–1637. [Google Scholar] [CrossRef]
 - Carosio, F.; Laufer, G.; Alongi, J.; Camino, G.; Grunlan, J.C. Layer-by-layer assembly of silica-based flame retardant thin film on PET fabric. Polym. Degrad. Stabil. 2011, 96, 745–750. [Google Scholar] [CrossRef]
 - Jiang, Z.L.; Wang, C.S.; Fang, S.Y.; Ji, P.; Wang, H.P.; Ji, C.C. Durable flame-retardant and antidroplet finishing of polyester fabrics with flexible polysiloxane and phytic acid through layer-by-layer assembly and sol–gel process. J. Appl. Polym. Sci. 2018, 135, 1–10. [Google Scholar] [CrossRef]
 - Gonçalves, A.G.; Jarrais, B.; Pereira, C.; Morgado, J.; Freire, C.; Pereira, M.F.R. Functionalization of textiles with multi-walled carbon nanotubes by a novel dyeing-like process. J. Mater. Sci. 2012, 47, 5263–5275. [Google Scholar] [CrossRef]
 - Liang, S.Y.; Neisius, N.M.; Gaan, S. Recent developments in flame retardant polymeric coatings. Prog. Org. Coat. 2013, 76, 1642–1665. [Google Scholar] [CrossRef]
 - Liu, C.; Fang, Y.F.; Miao, X.M.; Pei, Y.B.; Yan, Y.; Xiao, W.J.; Wu, L.B. Facile fabrication of superhydrophobic polyurethane sponge towards oil-water separation with exceptional flame-retardant performance. Sep. Purif. Technol. 2019, 229, 1–10. [Google Scholar] [CrossRef]
 - Liu, L.B.; Xu, Y.; Li, S.; Xu, M.J.; He, Y.T.; Shi, Z.X.; Li, B. A novel strategy for simultaneously improving the fire safety, water resistance and compatibility of thermoplastic polyurethane composites through the construction of biomimetic hydrophobic structure of intumescent flame retardant synergistic system. Compos. B 2019, 176, 1–14. [Google Scholar]
 - Wu, C.; Wang, X.D.; Zhang, J.Y.; Cheng, J.; Shi, L. Microencapsulation and Surface Functionalization of Ammonium Polyphosphate via In-Situ Polymerization and Thiol-Ene Photograted Reaction for Application in Flame-Retardant Natural Rubber. Ind. Eng. Chem. Res. 2019, 58, 17346–17358. [Google Scholar]
 - Hicyilmaz, A.S.; Altin, Y.; Bedeloglu, A. Polyimide-coated fabrics with multifunctional properties: Flame retardant, UV protective, and water proof. J. Appl. Polym. Sci. 2019, 136, 1–10. [Google Scholar] [CrossRef]
 - Yadav, M.; Chiu, F.C. Cellulose nanocrystals reinforced κ-carrageenan based UV resistant transparent bionanocomposite films for sustainable packaging applications. Carbohydr. Polym. 2019, 211, 181–194. [Google Scholar] [CrossRef]
 













| Samples | Polyester Textile (g) | PU (g) | CPA-Al | |
|---|---|---|---|---|
| g | wt % | |||
| PU/T | 139 | 18 | 0 | 0 | 
| 7.1%CPA-Al/PU/T | 139 | 18 | 12 | 7.1 | 
| 10.3%CPA-Al/PU/T | 139 | 18 | 18 | 10.3 | 
| 14.7%CPA-Al/PU/T | 139 | 18 | 27 | 14.7 | 
| Samples | Td,1% (°C) | Td,5% (°C) | Residuals at 600 °C (wt %) | Residuals at 700 °C (wt %) | 
|---|---|---|---|---|
| CPA | 214 | 248 | 0 | -- | 
| CPA-Al | 300 | 324 | 40.1 | 30.1 | 
| Samples | LOI (%) | Vertical Burning Test | |||
|---|---|---|---|---|---|
| After Flame Time (s) | The Length of Combustion/cm | Dripping | Rating | ||
| PU/T | 20.0 | 32.5 | 30.0 | Yes | NR | 
| 7.1%CPA-Al/PU/T | 23.6 | 30.0 | 16.2 | Yes | NR | 
| 10.3%CPA-Al/PU/T | 23.8 | 8.8 | 9.8 | Yes | B2 | 
| 14.7%CPA-Al/PU/T | 24.5 | 0 | 7.4 | No | B1 | 
| Samples | PHRR (kW/m2) | av-EHC (MJ/m2) | THR (MJ/m2) | TSR (m2/m2) | av-COY (kg/kg) | av-CO2Y (kg/kg) | Residue (wt %) | 
|---|---|---|---|---|---|---|---|
| 7.1%CPA-Al/PU/T | 375 | 22.6 | 29.8 | 1323 | 0.11 | 2.48 | 11.2 | 
| 10.3%CPA-Al/PU/T | 342 | 19.4 | 26.6 | 1395 | 0.15 | 2.69 | 18.9 | 
| 14.7%CPA-Al/PU/T | 267 | 16.8 | 25.2 | 1438 | 0.14 | 2.20 | 24.0 | 
| PU/T | 930 | 25.5 | 38.2 | 989 | 0.07 | 2.80 | 11.9 | 
| Samples | Td, 1% (°C) | Td, 5% (°C) | Residuals at 600 °C (wt %) | 
|---|---|---|---|
| PU/T | 286 | 375 | 9.2 | 
| 7.1%CPA-Al/PU/T | 315 | 388 | 17.2 | 
| 10.3%CPA-Al/PU/T | 321 | 388 | 17.5 | 
| 14.7%CPA-Al/PU/T | 317 | 384 | 19.0 | 
| Samples | Element Content (wt %) | ||||
|---|---|---|---|---|---|
| C | N | O | Al | P | |
| 7.1%CPA-Al/PU/T | 77.64 | 2.07 | 15.98 | 1.74 | 2.57 | 
| 10.3%CPA-Al/PU/T | 70.67 | 1.88 | 19.17 | 3.36 | 4.92 | 
| 14.7%CPA-Al/PU/T | 69.55 | 3.01 | 19.34 | 2.81 | 5.29 | 
| PU/T | 75.84 | 2.98 | 21.18 | -- | -- | 
| Samples | Water Vapor Permeation (g/m2·day) | Contact Angle (°) | 
|---|---|---|
| PU/T | 690.3 | 123.6 | 
| 7.1%CPA-Al/PU/T | 1091.2 | 99.8 | 
| 10.3%CPA-Al/PU/T | 1280.4 | 92.5 | 
| 14.7%CPA-Al/PU/T | 1648.6 | 75.6 | 
© 2019 by the authors. Licensee MDPI, Basel, Switzerland. This article is an open access article distributed under the terms and conditions of the Creative Commons Attribution (CC BY) license (http://creativecommons.org/licenses/by/4.0/).
Share and Cite
Yao, Z.; Liu, X.; Qian, L.; Chen, Y.; Xu, B.; Qiu, Y. Synthesis and Characterization of Aluminum 2-Carboxyethyl-Phenyl-Phosphinate and Its Flame-Retardant Application in Polyester. Polymers 2019, 11, 1969. https://doi.org/10.3390/polym11121969
Yao Z, Liu X, Qian L, Chen Y, Xu B, Qiu Y. Synthesis and Characterization of Aluminum 2-Carboxyethyl-Phenyl-Phosphinate and Its Flame-Retardant Application in Polyester. Polymers. 2019; 11(12):1969. https://doi.org/10.3390/polym11121969
Chicago/Turabian StyleYao, Zhongying, Xinxin Liu, Lijun Qian, Yajun Chen, Bo Xu, and Yong Qiu. 2019. "Synthesis and Characterization of Aluminum 2-Carboxyethyl-Phenyl-Phosphinate and Its Flame-Retardant Application in Polyester" Polymers 11, no. 12: 1969. https://doi.org/10.3390/polym11121969
APA StyleYao, Z., Liu, X., Qian, L., Chen, Y., Xu, B., & Qiu, Y. (2019). Synthesis and Characterization of Aluminum 2-Carboxyethyl-Phenyl-Phosphinate and Its Flame-Retardant Application in Polyester. Polymers, 11(12), 1969. https://doi.org/10.3390/polym11121969
        
