Tunable Thermo-Responsive Copolymers from DEGMA and OEGMA Synthesized by RAFT Polymerization and the Effect of the Concentration and Saline Phosphate Buffer on Its Phase Transition
Abstract
1. Introduction
2. Materials and Methods
2.1. Materials
2.2. Equipment
2.3. Synthesis of 5.amino-4-methyl-4-(propylthiocarbonothioylthio)-5-oxopentanoic Acid (APP)
2.4. Polymer Synthesis
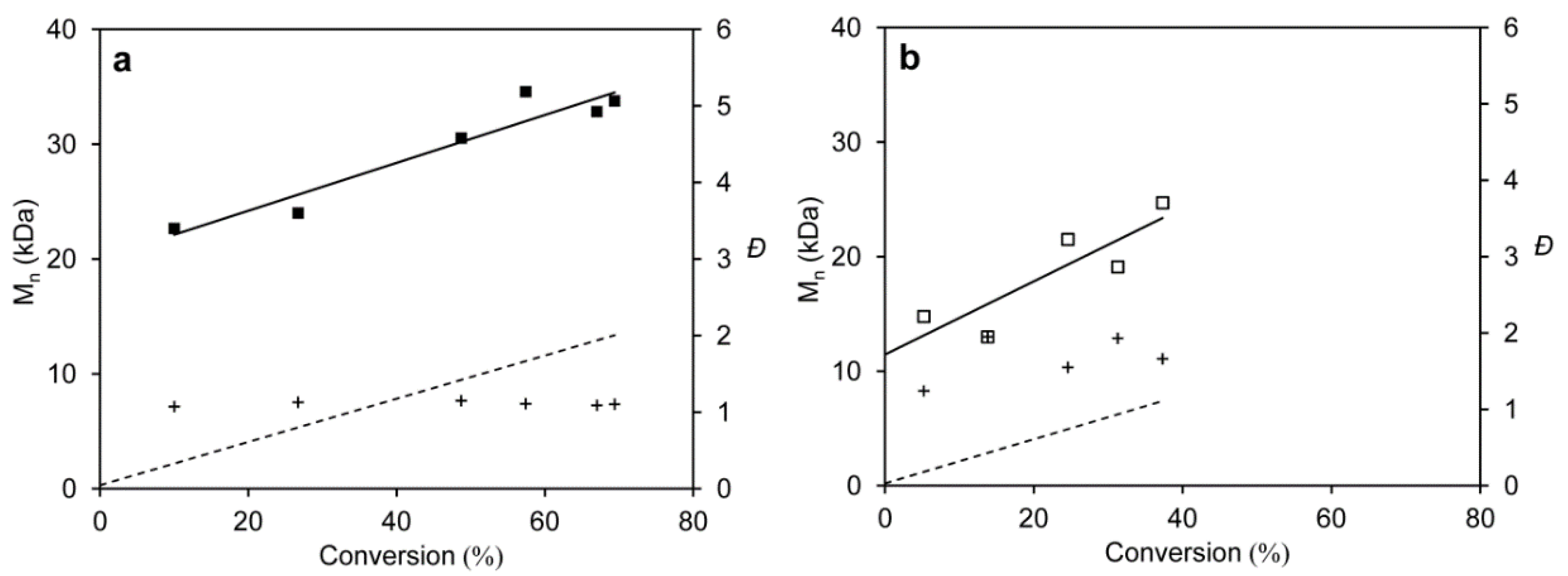
3. Results and Discussion
Thermo-Responsive Behavior
4. Conclusions
Supplementary Materials
Author Contributions
Funding
Acknowledgments
Conflicts of Interest
References
- Ward, M.A.; Georgiou, T.K. Thermoresponsive polymers for biomedical applications. Polymers 2011, 3, 1215–1242. [Google Scholar] [CrossRef]
- Badi, N. Non-linear PEG-based thermoresponsive polymer systems. Prog. Polym. Sci. 2017, 66, 54–79. [Google Scholar] [CrossRef]
- Matanovic, M.R.; Kristl, J.; Grabnar, P.A. Thermoresponsive polymers: Insights into decisive hydrogel characteristics, mechanisms of gelation, and promising biomedical applications. Int. J. Pharm. 2014, 472, 262–275. [Google Scholar] [CrossRef] [PubMed]
- Gandhi, A.; Paul, A.; Sen, S.O.; Sen, K.K. Studies on thermoresponsive polymers: Phase behaviour, drug delivery and biomedical applications. Asian J. Pharm. Sci. 2015, 10, 99–107. [Google Scholar] [CrossRef]
- Pietsch, C.; Schubert, U.S.; Hoogenboom, R. Aqueous polymeric sensors based on temperature-induced polymer phase transitions and solvatochromic dyes. Chem. Comm. 2011, 47, 8750–8765. [Google Scholar] [CrossRef] [PubMed]
- Sedláček, O.; Černoch, P.; Kučka, J.; Konefal, R.; Štěpánek, P.; Vetrík, M.; Lodge, T.P.; Hruby, M. Thermoresponsive Polymers for Nuclear Medicine: Which Polymer Is the Best? Langmuir 2016, 32, 6115–6122. [Google Scholar] [CrossRef]
- Taylor, M.J.; Tomlins, P.; Sahota, T.S. Thermoresponsive Gels. Gels 2017, 3, 4. [Google Scholar] [CrossRef]
- Bordat, A.; Boissenot, T.; Nicolas, J.; Tsapis, N. Thermoresponsive polymer nanocarriers for biomedical applications. Adv. Drug Deliv. Rev. 2018, 138, 162–192. [Google Scholar] [CrossRef]
- Schmaljohann, D. Thermo- and pH-responsive polymers in drug delivery. Adv. Drug Deliv. Rev. 2006, 58, 1655–1670. [Google Scholar] [CrossRef]
- Skrabania, K.; Kristen, J.; Laschewsky, A.; Akdemir, Ö.; Hoth, A.; Lutz, J.-F. Design, Synthesis, and Aqueous Aggregation Behavior of Nonionic Single and Multiple Thermoresponsive Polymers. Langmuir 2007, 23, 84–93. [Google Scholar] [CrossRef]
- Becer, C.R.; Hahn, S.; Fijten, M.W.M.; Thijs, H.M.L.; Hoogenboom, R.; Schubert, U.S. Libraries of methacrylic acid and oligo(ethylene glycol) methacrylate copolymers with LCST behavior. J. Polym. Sci. A Polym. Chem. 2008, 46, 7138–7147. [Google Scholar] [CrossRef]
- Vancoillie, G.; Frank, D.; Hoogenboom, R. Thermoresponsive poly(oligo ethylene glycol acrylates). Prog. Polym. Sci. 2014, 39, 1074–1095. [Google Scholar] [CrossRef]
- Han, S.; Hagiwara, M.; Ishizone, T. Synthesis of Thermally Sensitive Water-Soluble Polymethacrylates by Living Anionic Polymerizations of Oligo(ethylene glycol) Methyl Ether Methacrylates. Macromolecules 2003, 36, 8312–8319. [Google Scholar] [CrossRef]
- Ishizone, T.; Seki, A.; Hagiwara, M.; Han, S. Anionic Polymerizations of Oligo (ethylene glycol) Alkyl Ether Methacrylates: Effect of Side Chain Length and ω-Alkyl Group of Side Chain on Cloud Point in Water. Macromolecules 2008, 41, 2963–2967. [Google Scholar] [CrossRef]
- Bergenudd, H.; Coullerez, G.; Jonsson, M.; Malmstrom, E. Solvent effects on ATRP of oligo(ethylene glycol) methacrylate exploring the limits of control. Macromolecules 2009, 49, 3302–3308. [Google Scholar] [CrossRef]
- Ali, M.M.; Sto1ver, H.D.H. Well-Defined Amphiphilic Thermosensitive Copolymers Based on Poly(ethylene glycol monomethacrylate) and Methyl Methacrylate Prepared by Atom Transfer Radical Polymerization. Macromolecules 2004, 37, 5219–5227. [Google Scholar] [CrossRef]
- Oh, J.K.; Min, K.; Matyjaszewski, K. Preparation of Poly(oligo(ethylene glycol) monomethyl ether methacrylate) by Homogeneous Aqueous AGRET ATRP. Macromolecules 2006, 39, 3161–3167. [Google Scholar] [CrossRef]
- Yamamoto, S.; Pietrasik, J.; Matyjaszewski, K. ATRP Synthesis of Thermally Responsive Molecular Brushes from Oligo(ethylene oxide) Methacrylates. Macromolecules 2007, 40, 9348–9353. [Google Scholar] [CrossRef]
- Yamamoto, S.-H.; Pietrasik, J.; Matyjaszewski, K. The effect of structure on the thermoresponsive nature of well-defined poly(oligo(ethylene oxide) methacrylates) synthesized by ATRP. J. Polym. Sci. A Polym. Chem. 2008, 46, 194–202. [Google Scholar] [CrossRef]
- Bebis, K.; Jones, M.W.; Haddleton, D.M.; Gibson, M.I. Thermoresponsive behaviour of poly[(oligo(ethyleneglycol methacrylate)]s and their protein conjugates: Importance of concentration and solvent system. Polym. Chem. 2011, 2, 975–982. [Google Scholar] [CrossRef]
- Moad, G. RAFT polymerization to form stimuli-responsive polymers. Polym. Chem. 2017, 8, 177–219. [Google Scholar] [CrossRef]
- Moad, G.; Rizzardo, E.; Thang, S.H. Living Radical Polymerization by the RAFT Process. Aust. J. Chem. 2005, 58, 379–410. [Google Scholar] [CrossRef]
- Moad, G.; Rizzardo, E.; Thang, S.H. Living Radical Polymerization by the RAFT Process—A Second Update. Aust. J. Chem. 2009, 62, 1402–1472. [Google Scholar] [CrossRef]
- Moad, G.; Rizzardo, E.; Thang, S.H. Living Radical Polymerization by the RAFT Process—A Third Update. Aust. J. Chem. 2012, 65, 985–1076. [Google Scholar] [CrossRef]
- Montolla-Villegas, K.A.; Licea-Claveríe, A.; Zapata-González, I.; Gómez, E.; Ramírez-Jiménez, A. The effect in the RAFT polymerization of two oligo(ethylene glycol) methacrylates when the CTA 4-cyano-4-(propylthiocarbonothioylthio) pentanoic acid is auto-hydrolyzed to its corresponding amide. J. Polym. Res. 2019, 26, 71–81. [Google Scholar] [CrossRef]
- Rizzardo, E.; Chen, M.; Chong, B.; Moad, G.; Skidmore, M.; Thang, S.H. RAFT Polymerization: Adding to the Picture. Macromol. Symp. 2007, 248, 104–116. [Google Scholar] [CrossRef]
- Furchs, A.V.; Thurecht, K.J. Stability of Trithiocarbonate RAFT Agents Containing Both a Cyano and a Carboxylic Acid Functional Group. ACS Macro Lett. 2017, 6, 287–291. [Google Scholar] [CrossRef]
- Porsch, C.; Hansoon, S.; Nordgren, N.; Malmström, E. Thermo-responsive cellulose-based architectures: Tailoring LCST using poly(ethylene glycol) methacrylates. Polym. Chem. 2011, 2, 1114–1123. [Google Scholar] [CrossRef]
- Lutz, J.F.; Hoth, A. reparation of Ideal PEG Analogues with a Tunable Thermosensitivity by Controlled Radical Copolymerization of 2-(2-Methoxyethoxy)ethyl Methacrylate and Oligo(ethylene glycol) Methacrylate. Macromolecules 2006, 39, 893–896. [Google Scholar] [CrossRef]
- Xiao, H.; Pelton, R.; Hamielec, A. Preparation and kinetic characterization of copolymers of acrylamide and poly(ethylene glycol) (meth)acrylate macromonomers. Polymer 1996, 37, 1201–1209. [Google Scholar] [CrossRef]
- Jones, J.A.; Novo, N.; Flanger, K.; Pagnucco, C.D.; Carew, S.; Cheong, C.; Kong, X.Z.; Burke, N.A.D.; Stöver, H.H. Thermoresponsive copolymers of methacrylic acid and poly(ethylene glycol) methyl ether methacrylate. J. Polym. Sci. A Polym. Chem. 2005, 43, 6095–6104. [Google Scholar] [CrossRef]
- Smolne, S.; Weber, S.; Buback, M. Propagation and Termination Kinetics of Poly(Ethylene Glycol) Methyl Ether Methacrylate in Aqueous Solution. Macromol. Chem. Phys. 2016, 217, 2391–2401. [Google Scholar] [CrossRef]
- Dimarzio, E.A.; Gibbs, J.H. Glass temperature of copolymers. J. Polym. Sci. 1959, 40, 121–131. [Google Scholar] [CrossRef]
- Weber, C.; Hoogenboom, R.; Schubert, U.S. Temperature responsive bio-compatible polymers based on poly(ethylene oxide) and poly(2-oxazoline)s. Prog. Polym. Sci. 2012, 37, 686–714. [Google Scholar] [CrossRef]
- Fang, Q.; Chen, T.; Zhong, Q.; Wang, J. Thermoresponsive polymers based on oligo(ethylene glycol) methyl ether methacrylate and modified substrates with thermosensitivity. Macromol. Res. 2017, 25, 206–213. [Google Scholar] [CrossRef]
- Grishkewish, N.; Akhlaghi, S.P.; Yao, Z.; Berry, R.; Tam, K.C. Cellulose nanocrystal-poly(oligo(ethylene glycol) methacrylate) brushes with tunable LCSTs. Carbohydr. Polym. 2016, 144, 215–222. [Google Scholar] [CrossRef] [PubMed]
- Magnusson, J.P.; Khan, A.; Pasparakis, G.; Saeed, A.O.; Wang, W.; Alexander, C. Ion-Sensitive “Isothermal” Responsive Polymers Prepared in Water. J. Am. Chem. Soc. 2008, 130, 10852–10853. [Google Scholar] [CrossRef]
- Kowalczuk, A.; Mendrek, B.; Żymełka-Miara, I.; Libera, M.; Marcinkowski, A.; Trzebicka, B.; Smet, M.; Dworak, A. Solution behavior of star polymers with oligo(ethylene glycol) methyl ether methacrylate arms. Polymer 2012, 53, 5619–5631. [Google Scholar] [CrossRef]
- Luzon, M.; Boyer, C.; Peinado, C.; Corrales, T.; Whittaker, M.; Tao, L.; Davis, T.P. Water-soluble, thermoresponsive, hyperbranched copolymers based on PEG-methacrylates: Synthesis, characterization, and LCST behavior. J. Polym. Sci. A Polym. Chem. 2010, 48, 2783–2792. [Google Scholar] [CrossRef]















| Sample | OEGMA (%) | Tg (DSC, K) | Tg (GM **, K) |
|---|---|---|---|
| POEGMA | 100 | 213.4 | 213.4 |
| P(OEGMA-co-DEGMA) | 79 * | 218.3 | 218.6 |
| P(OEGMA-co-DEGMA) | 50 * | 224.0 | 225.7 |
| P(OEGMA-co-DEGMA) | 31 * | 228.0 | 230.4 |
| P(OEGMA-co-DEGMA) | 24 * | 230.6 | 232.1 |
| P(OEGMA-co-DEGMA) | 14 * | 236.5 | 234.6 |
| PDEGMA | 0 | 238.0 | 238.0 |
| Sample | Time (min) | OEGMA0: DEGMA0 | OEGMA: DEGMA a | Conv (%) a | Tg (K) b | Mntheob | Mn (g/mol) c | Đc | Tcp (°C) d | Tcp (°C) e | Tcp (°C) f |
|---|---|---|---|---|---|---|---|---|---|---|---|
| PDEGMA | 120 | 0:100 | 0:100 | 69 | 238 | 13281 | 32840 | 1.10 | 25.2 | 21.9 | 21.5 |
| OD 15:85 | 240 | 15:85 | 14:86 | 89 | 236 | 18537 | 39970 | 1.29 | 31.5 | 29.5 | 28.5 |
| OD 25:75 | 240 | 25:75 | 24:76 | 86 | 231 | 20613 | 40360 | 1.23 | 35.9 | 32.3 | 32.0 |
| OD 30:70 | 240 | 30:70 | 31:69 | 95 | 228 | 21360 | 42470 | 1.36 | 41.0 | - | - |
| OD 50:50 | 240 | 50:50 | 50:50 | 81 | 224 | 22996 | 46600 | 1.38 | 45.9 | 41.8 | 42.0 |
| OD 80:20 | 240 | 80:20 | 79:21 | 95 | 216 | 26670 | 58850 | 1.83 | 55.9 | - | - |
| POEGMA | 120 | 100:0 | 100:0 | 38 | 214 | 11795 | 30100 | 1.30 | 66.5 | 61.5 | - |
© 2019 by the authors. Licensee MDPI, Basel, Switzerland. This article is an open access article distributed under the terms and conditions of the Creative Commons Attribution (CC BY) license (http://creativecommons.org/licenses/by/4.0/).
Share and Cite
Ramírez-Jiménez, A.; Montoya-Villegas, K.A.; Licea-Claverie, A.; Gónzalez-Ayón, M.A. Tunable Thermo-Responsive Copolymers from DEGMA and OEGMA Synthesized by RAFT Polymerization and the Effect of the Concentration and Saline Phosphate Buffer on Its Phase Transition. Polymers 2019, 11, 1657. https://doi.org/10.3390/polym11101657
Ramírez-Jiménez A, Montoya-Villegas KA, Licea-Claverie A, Gónzalez-Ayón MA. Tunable Thermo-Responsive Copolymers from DEGMA and OEGMA Synthesized by RAFT Polymerization and the Effect of the Concentration and Saline Phosphate Buffer on Its Phase Transition. Polymers. 2019; 11(10):1657. https://doi.org/10.3390/polym11101657
Chicago/Turabian StyleRamírez-Jiménez, Alejandro, Kathleen Abigail Montoya-Villegas, Angel Licea-Claverie, and Mirian Angelene Gónzalez-Ayón. 2019. "Tunable Thermo-Responsive Copolymers from DEGMA and OEGMA Synthesized by RAFT Polymerization and the Effect of the Concentration and Saline Phosphate Buffer on Its Phase Transition" Polymers 11, no. 10: 1657. https://doi.org/10.3390/polym11101657
APA StyleRamírez-Jiménez, A., Montoya-Villegas, K. A., Licea-Claverie, A., & Gónzalez-Ayón, M. A. (2019). Tunable Thermo-Responsive Copolymers from DEGMA and OEGMA Synthesized by RAFT Polymerization and the Effect of the Concentration and Saline Phosphate Buffer on Its Phase Transition. Polymers, 11(10), 1657. https://doi.org/10.3390/polym11101657

