Preparation of Polyimide/Graphene Oxide Nanocomposite and Its Application to Nonvolatile Resistive Memory Device
Abstract
1. Introduction
2. Materials and Methods
2.1. Materials
2.2. Characterization
2.3. Preparation of PI-GO
2.4. Preparation of PI-GO Memory Device
3. Results and Discussion
3.1. Preparation of PI-GO
3.2. Characterization of PI-GO
3.3. Fabrication of PI-GO-Based Memory Device
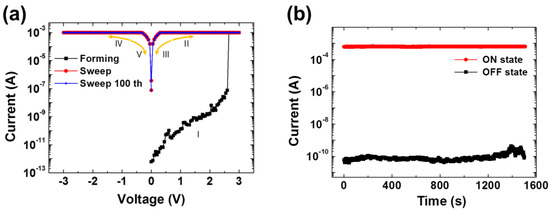
3.4. Memory Device Characteristics
4. Conclusion
Author Contributions
Funding
Conflicts of Interest
References
- Geim, A.K.; Novoselov, K.S. The rise of graphene. Nat. Mater. 2007, 6, 183–191. [Google Scholar] [CrossRef] [PubMed]
- Novoselov, K.S.; Geim, A.K.; Morozov, S.V.; Jiang, D.; Zhang, Y.; Dubonos, S.V.; Grigorieva, I.V.; Firsov, A.A. Electric field effect in atomically thin carbon films. Science 2004, 306, 666–669. [Google Scholar] [CrossRef] [PubMed]
- Geim, A.K. Graphene: Status and prospects. Science 2009, 324, 1530–1534. [Google Scholar] [CrossRef] [PubMed]
- Liao, L.; Lin, Y.-C.; Bao, M.; Cheng, R.; Bai, J.; Liu, Y.; Qu, Y.; Wang, K.L.; Huang, Y.; Duan, X. High-speed graphene transistors with a self-aligned nanowire gate. Nature 2010, 467, 305–308. [Google Scholar] [CrossRef] [PubMed]
- Garaj, S.; Hubbard, W.; Reina, A.; Kong, J.; Branton, D.; Golovchenko, J.A. Graphene as a subnanometre trans-electrode membrane. Nature 2010, 467, 190–193. [Google Scholar] [CrossRef] [PubMed]
- Park, O.-K.; Kim, S.-G.; You, N.-H.; Ku, B.-C.; Hui, D.; Lee, J.H. Synthesis and properties of iodo functionalized graphene oxide/polyimide nanocomposites. Compos. Part B Eng. 2014, 56, 365–371. [Google Scholar] [CrossRef]
- Liu, L.-H.; Lerner, M.M.; Yan, M. Derivitization of pristine graphene with well-defined chemical functionalities. Nano Lett. 2010, 10, 3754–3756. [Google Scholar] [CrossRef] [PubMed]
- Bai, S.; Shen, X.; Zhu, G.; Xu, Z.; Liu, Y. Reversible phase transfer of graphene oxide and its use in the synthesis of graphene-based hybrid materials. Carbon 2011, 49, 4563–4570. [Google Scholar] [CrossRef]
- Hummers, W.S.; Offeman, R.E. Preparation of graphitic oxide. J. Am. Chem. Soc. 1958, 80, 1339. [Google Scholar] [CrossRef]
- Wang, G.; Shen, X.; Wang, B.; Yao, J.; Park, J. Synthesis and characterisation of hydrophilic and organophilic graphene nanosheets. Carbon 2009, 47, 1359–1364. [Google Scholar] [CrossRef]
- Park, S.; Ruoff, R.S. Chemical methods for the production of graphenes. Nat. Nano 2009, 4, 217–224. [Google Scholar] [CrossRef] [PubMed]
- Yang, L.; Si, L.P.; Teo, J.K.H.; Toh, C.L.; Lau, S.K.; Ma, J.; Lu, X. A biomimetic approach to enhancing interfacial interactions: Polydopamine-coated clay as reinforcement for epoxy resin. ACS Appl. Mater. Interfaces 2016, 3, 3026–3032. [Google Scholar] [CrossRef] [PubMed]
- Xing, L.; Wang, Y.; Wang, S.; Zhang, Y.; Mao, S.; Wang, G.; Liu, J.; Huang, L.; Li, H.; Belfiore, L.A.; Tang, J. Effects of Modified Graphene Oxide on Thermal and Crystallization Properties of PET. Polymers 2018, 10, 613. [Google Scholar] [CrossRef]
- Dreyer, D.R.; Park, S.; Bielawski, C.W.; Ruoff, R.S. The chemistry of graphene oxide. Chem. Soc. Rev. 2010, 39, 228–240. [Google Scholar] [CrossRef] [PubMed]
- Zhang, S.-P.; Song, H.-O. Supramolecular graphene oxide-alkylamine hybrid materials: Variation of dispersibility and improvement of thermal stability. New J. Chem. 2012, 36, 1733–1738. [Google Scholar] [CrossRef]
- Bourlinos, A.B.; Gournis, D.; Petridis, D.; Szabó, T.; Szeri, A.; Dékány, I. Graphite Oxide: Chemical Reduction to Graphite and Surface Modification with Primary Aliphatic Amines and Amino Acids. Langmuir 2003, 19, 6050–6055. [Google Scholar] [CrossRef]
- Li, W.; Tang, X.-Z.; Zhang, H.-B.; Jiang, Z.-G.; Yu, Z.-Z.; Du, X.-S.; Mai, Y.-W. Simultaneous surface functionalization and reduction of graphene oxide with octadecylamine for electrically conductive polystyrene composites. Carbon 2011, 49, 4724–4730. [Google Scholar] [CrossRef]
- Cao, Y.; Feng, J.; Wu, P. Alkyl-functionalized graphene nanosheets with improved lipophilicity. Carbon 2010, 48, 1683–1685. [Google Scholar] [CrossRef]
- Niyogi, S.; Bekyarova, E.; Itkis, M.E.; McWilliams, J.L.; Hamon, M.A.; Haddon, R.C. Solution Properties of Graphite and Graphene. J. Am. Chem. Soc. 2006, 128, 7720–7721. [Google Scholar] [CrossRef] [PubMed]
- Liu, Z.; Robinson, J.T.; Sun, X.; Dai, H. PEGylated Nanographene Oxide for Delivery of Water-Insoluble Cancer Drugs. J. Am. Chem. Soc. 2008, 130, 10876–10877. [Google Scholar] [CrossRef] [PubMed]
- Bao, C.; Guo, Y.; Song, L.; Kan, Y.; Qian, X.; Hu, Y. In situ preparation of functionalized graphene oxide/epoxy nanocomposites with effective reinforcements. J. Mater. Chem. 2011, 21, 13290–13298. [Google Scholar] [CrossRef]
- Lee, C.; Wei, X.; Kysar, J.W.; Hone, J. Measurement of the elastic properties and intrinsic strength of monolayer graphene. Science 2008, 321, 385–388. [Google Scholar] [CrossRef] [PubMed]
- Liu, Y.; Deng, R.; Wang, Z.; Liu, H. Carboxyl-functionalized graphene oxide-polyaniline composite as a promising supercapacitor material. J. Mater. Chem. 2012, 22, 13619–13624. [Google Scholar] [CrossRef]
- Wu, G.; Xu, X.; He, X.; Yan, Y. Preparation and characterization of graphene oxide-modified sapium sebiferum oil-based polyurethane composites with improved thermal and mechanical properties. Polymers 2018, 10, 133. [Google Scholar] [CrossRef]
- Lee, I.-Y.; Kannan, E.S.; Kim, G.-H. Capacitance-voltage and current-voltage characteristics of graphite oxide thin films patterned by ultraviolet photolithography. Appl. Phys. Lett. 2009, 95, 263308. [Google Scholar] [CrossRef]
- Wang, S.; Pu, J.; Chan, D.S.H.; Cho, B.J.; Loh, K.P. Wide memory window in graphene oxide charge storage nodes. Appl. Phys. Lett. 2010, 96, 143109. [Google Scholar] [CrossRef]
- Wu, C.; Li, F.; Zhang, Y.; Guo, T.; Chen, T. Highly reproducible memory effect of organic multilevel resistive-switch device utilizing graphene oxide sheets/polyimide hybrid nanocomposite. Appl. Phys. Lett. 2011, 99, 042108. [Google Scholar] [CrossRef]
- Irwin, R.S. Photoreaction of amphiphilic diolefins in monolayers formed on an air-water interface. J. Polym. Sci. Part C Polym. Lett. 1988, 26, 159–163. [Google Scholar] [CrossRef]
- Liaw, D.-J.; Liaw, B.-Y.; Li, L.-J.; Sillion, B.; Mercier, R.; Thiria, R.; Sekiguchi, H. Synthesis and characterization of new soluble polyimides from 3,3′,4,4′-benzhydrol tetracarboxylic dianhydride and various diamines. Chem. Mater. 1998, 10, 734–739. [Google Scholar] [CrossRef]
- Mathews, A.S.; Kim, I.; Ha, C.S. Fully aliphatic polyimides from adamantane-based diamines for enhanced thermal stability, solubility, transparency, and low dielectric constant. J. Appl. Polym. Sci. 2006, 102, 3316–3326. [Google Scholar] [CrossRef]
- Wachsman, E.D.; Frank, C.W. Effect of cure history on the morphology of polyimide: Fluorescence spectroscopy as a method for determining the degree of cure. Polymer 1988, 29, 1191–1197. [Google Scholar] [CrossRef]
- Lin, W.P.; Liu, S.J.; Gong, T.; Zhao, Q.; Huang, W. Polymer-based resistive memory materials and devices. Adv. Mater. 2014, 26, 570–606. [Google Scholar] [CrossRef] [PubMed]
- Baek, A.; Bednorz, J.G.; Gerber, C.H.; Rossel, C.; Widmer, D. Reproducible switching effect in thin oxide films for memory applications. Appl. Phys. Lett. 2000, 77, 139. [Google Scholar]
- Heremans, P.; Gelinck, G.H.; Muller, R.; Baeg, K.J.; Kim, D.Y.; Noh, Y.Y. Polymer and organic nonvolatile memory devices. Chem. Mater. 2011, 23, 341–358. [Google Scholar] [CrossRef]
- Yu, H.W.; Kim, M.H.; Kim, Y.S.; Lee, J.S.; Kim, K.K.; Choi, S.J.; Cho, S.H. Al-doped ZnO as a switching layer for transparent bipolar resistive switching memory. Electron. Mater. Lett. 2014, 10, 321–324. [Google Scholar] [CrossRef]
- Kurosawa, T.; Higashihara, T.; Ueda, M. Polyimide memory: A pithy guideline for future applications. Polym. Chem. 2013, 4, 16–30. [Google Scholar] [CrossRef]
- Park, S.; Kim, K.; Kim, D.M.; Kwon, W.; Choi, J.; Ree, M. High temperature polyimide containing anthracene moiety and its structure, interface, and nonvolatile memory behavior. ACS Appl. Mater. Interfaces 2011, 3, 765–773. [Google Scholar] [CrossRef] [PubMed]
- Yu, H.C.; Kim, M.Y.; Lee, J.S.; Lee, K.H.; Baeck, K.K.; Kim, K.K.; Cho, S.H.; Chung, C.M. Fully transparent nonvolatile resistive polymer memory. J. Polym. Sci. Part A Polym. Chem. 2016, 54, 918–925. [Google Scholar] [CrossRef]
- Wu, X.; Xu, H.; Wang, Y.; Rogach, A.L.; Shen, Y.; Zhao, N. General observation of the memory effect in metal-insulator-ITO structures due to indium diffusion. Semicond. Sci. Technol. 2015, 30, 074002. [Google Scholar] [CrossRef]
- Kantam, R.; Holland, R.; Khanna, B.P.; Revell, K.D. An optimized method for the synthesis of 2,6-diaminoanthracene. Tetrahedron Lett. 2011, 52, 5083–5085. [Google Scholar] [CrossRef]
- Zhang, S.; Li, Y.; Ma, T.; Zhao, J.; Xu, X.; Yang, F.; Xiang, X.-Y. Organosolubility and optical transparency of novel polyimides derived from 2′,7′-bis(4-aminophenoxy)-spiro(fluorene-9,9′-xanthene). Polym. Chem. 2010, 1, 485–493. [Google Scholar] [CrossRef]
- Wang, J.-Y.; Yang, S.-Y.; Huang, Y.-L.; Tien, H.-W.; Chin, W.-K.; Ma, C.-C.M. Preparation and properties of graphene oxide/polyimide composite films with low dielectric constant and ultrahigh strength via in situpolymerization. J. Mater. Chem. 2011, 21, 13569–13575. [Google Scholar] [CrossRef]
- Pokharel, P.; Pant, B.; Pokhrel, K.; Pant, H.R.; Lim, J.-G.; Lee, D.S.; Kim, H.-Y.; Choi, S. Effects of functional groups on the graphene sheet for improving the thermomechanical properties of polyurethane nanocomposites. Compos. Part B Eng. 2015, 78, 192–201. [Google Scholar] [CrossRef]
- Abidin, A.S.Z.; Yusoh, K.; Jamari, S.S.; Abdullah, A.H.; Ismail, Z. Surface functionalization of graphene oxide with octadecylamine for improved thermal and mechanical properties in polybutylene succinate nanocomposite. Polym. Bull. 2018, 75, 3499–3522. [Google Scholar] [CrossRef]
- Zhang, K.; Zhang, L.L.; Zhao, X.; Wu, J. Graphene/polyaniline nanofiber composites as supercapacitor electrodes. Chem. Mater. 2010, 22, 1392–1401. [Google Scholar] [CrossRef]
- Pramoda, K.P.; Hussain, H.; Koh, H.M.; Tan, H.R.; He, C.B. Covalent bonded polymer–graphene nanocomposites. J. Polym. Sci. Part A Polym. Chem. 2010, 48, 4262–4267. [Google Scholar] [CrossRef]
- Xu, Z.; Gao, C. In situ Polymerization approach to graphene-reinforced nylon-6 composites. Macromolecules 2010, 43, 6716–6723. [Google Scholar] [CrossRef]
- Su, P.-G.; Lu, Z.-M. Flexibility and electrical and humidity-sensing properties of diamine-functionalized graphene oxide films. Sens. Actuators B 2015, 211, 157–163. [Google Scholar] [CrossRef]
- Yu, G.; Wu, P. Effect of chemically modified graphene oxide on the phase separation behaviour and properties of an epoxy/polyetherimide binary system. Polym. Chem. 2014, 5, 96–104. [Google Scholar] [CrossRef]
- Dehghanzad, B.; Aghjeh, M.K.R.; Rafeie, O.; Tavakolic, A.; Oskooie, A.J. Synthesis and characterization of graphene and functionalized graphene via chemical and thermal treatment methods. RSC Adv. 2016, 6, 3578–3585. [Google Scholar] [CrossRef]
- Luong, N.D.; Hippi, U.; Korhonen, J.T.; Soininen, A.J.; Ruokolainen, J.; Johansson, L.-S.; Nam, J.-D.; Sinh, L.H.; Seppälä, J. Enhanced mechanical and electrical properties of polyimide film by graphene sheets via in situ polymerization. Polymer 2011, 52, 5237–5242. [Google Scholar] [CrossRef]
- Ramakrishnan, S.; Dhakshnamoorthy, M.; Jelmy, E.J.; Vasanthakumari, R.; Kothurkar, N.K. Synthesis and characterization of graphene oxide–polyimide nanofiber composites. RSC Adv. 2014, 4, 9743–9749. [Google Scholar] [CrossRef]
- Zhu, J.; Lee, C.-H.; Joh, H.-I.; Kim, H.C.; Lee, S. Synthesis and Properties of Polyimide Composites Containing Graphene Oxide via In-Situ Polymerization. Carbon Lett. 2012, 4, 230–235. [Google Scholar] [CrossRef]
- Song, P.; Zhang, X.; Sun, M.; Cui, X.; Lin, Y. Synthesis of graphene nanosheets via oxalic acid-induced chemical reduction of exfoliated graphite oxide. RSC Adv. 2012, 2, 1168–1173. [Google Scholar] [CrossRef]
- Dikin, D.A.; Stankovich, S.; Zimney, E.J.; Piner, R.D.; Dommett, G.H.B.; Evmenenko, G.; Nguyen, S.T.; Ruoff, R.S. Preparation and characterization of graphene oxide paper. Nature Lett. 2007, 448, 06016. [Google Scholar] [CrossRef] [PubMed]
- Qiu, Y.; Guo, F.; Hurt, R.; Külaots, I. Explosive thermal reduction of graphene oxide-based materials: Mechanism and safety implications. Carbon 2014, 72, 215–223. [Google Scholar] [CrossRef] [PubMed]
- Qiu, Y.; Moore, S.; Hurt, R.; Külaots, I. Influence of external heating rate on the structure and porosity of thermally exfoliated graphite oxide. Carbon 2017, 111, 651–657. [Google Scholar] [CrossRef] [PubMed]
- Stankovich, S.; Dikin, D.A.; Piner, R.D.; Kohlhaas, K.A.; Kleinhammes, A.; Jia, Y.; Wu, Y.; Nguyen, S.T.; Ruoff, R.S. Synthesis of graphene-based nanosheets via chemical reduction of exfoliated graphite oxide. Carbon 2007, 45, 1558–1565. [Google Scholar] [CrossRef]
- Neelgund, G.M.; Oki, A.; Luo, Z. In situ deposition of hydroxyapatite on graphene nanosheets. Mater. Res. Bull. 2013, 48, 175–179. [Google Scholar] [CrossRef] [PubMed]
- Zhang, S.P.; Xiong, P.; Yang, X.J.; Wang, X. Novel PEG functionalized graphene nanosheets: Enhancement of dispersibility and thermal stability. Nanoscale 2011, 3, 2169–2174. [Google Scholar] [CrossRef] [PubMed]
- Tao, Z.; Yang, S.; Chen, J.; Fan, L. Synthesis and characterization of imide ring and siloxane-containing cycloaliphatic epoxy resins. Eur. Polym. J. 2007, 43, 1470–1479. [Google Scholar] [CrossRef]
- Hong, S.K.; Kim, J.E.; Kim, S.O.; Choi, S.-Y.; Cho, B.J. Flexible resistive switching memory device based on graphene oxide. IEEE Electron Device Lett. 2010, 31, 1005–1007. [Google Scholar] [CrossRef]
- Kim, S.H.; Yook, K.S.; Jang, J.; Lee, J.Y. Correlation of memory characteristics of polymer bistable memory devices with metal deposition process. Synth. Met. 2008, 158, 861–864. [Google Scholar] [CrossRef]
- Zhang, P.; Gao, C.; Xu, B.; Qi, L.; Jiang, C.; Gao, M.; Xue, D. Structural phase transition effect on resistive switching behavior of MoS 2-polyvinylpyrrolidone nanocomposites films for flexible memory devices. Small 2016, 12, 2077–2084. [Google Scholar] [CrossRef] [PubMed]
- Ji, Y.S.; Choe, M.H.; Cho, B.J.; Song, S.H.; Yoon, J.W.; Ko, H.C.; Lee, T.H. Organic nonvolatile memory devices with charge trapping multilayer graphene film. Nanotechnology 2012, 23, 105202. [Google Scholar] [CrossRef] [PubMed]
- Lee, S.H.; Oh, S.H.; Ji, Y.S.; Kim, J.W.; Kang, R.; Khim, D.Y.; Lee, S.H.; Yeo, J.S.; Lu, N.; Kim, M.J.; et al. Side chains contributions to characteristics of resistive memory based on water-soluble polyfluorenes: Effects of structure and length of side pendant group. Org. Electron. 2014, 15, 1290–1298. [Google Scholar] [CrossRef]







© 2018 by the authors. Licensee MDPI, Basel, Switzerland. This article is an open access article distributed under the terms and conditions of the Creative Commons Attribution (CC BY) license (http://creativecommons.org/licenses/by/4.0/).
Share and Cite
Choi, J.-Y.; Yu, H.-C.; Lee, J.; Jeon, J.; Im, J.; Jang, J.; Jin, S.-W.; Kim, K.-K.; Cho, S.; Chung, C.-M. Preparation of Polyimide/Graphene Oxide Nanocomposite and Its Application to Nonvolatile Resistive Memory Device. Polymers 2018, 10, 901. https://doi.org/10.3390/polym10080901
Choi J-Y, Yu H-C, Lee J, Jeon J, Im J, Jang J, Jin S-W, Kim K-K, Cho S, Chung C-M. Preparation of Polyimide/Graphene Oxide Nanocomposite and Its Application to Nonvolatile Resistive Memory Device. Polymers. 2018; 10(8):901. https://doi.org/10.3390/polym10080901
Chicago/Turabian StyleChoi, Ju-Young, Hwan-Chul Yu, Jeongjun Lee, Jihyun Jeon, Jaehyuk Im, Junhwan Jang, Seung-Won Jin, Kyoung-Kook Kim, Soohaeng Cho, and Chan-Moon Chung. 2018. "Preparation of Polyimide/Graphene Oxide Nanocomposite and Its Application to Nonvolatile Resistive Memory Device" Polymers 10, no. 8: 901. https://doi.org/10.3390/polym10080901
APA StyleChoi, J.-Y., Yu, H.-C., Lee, J., Jeon, J., Im, J., Jang, J., Jin, S.-W., Kim, K.-K., Cho, S., & Chung, C.-M. (2018). Preparation of Polyimide/Graphene Oxide Nanocomposite and Its Application to Nonvolatile Resistive Memory Device. Polymers, 10(8), 901. https://doi.org/10.3390/polym10080901

