Soluble Electrochromic Polymers Incorporating Benzoselenadiazole and Electron Donor Units (Carbazole or Fluorene): Synthesis and Electronic-Optical Properties
Abstract
:1. Introduction
2. Experimental Section
2.1. Materials
2.2. Instrumentation and Characterization
2.3. Synthesis of the 2,7-Substituted BSe with Thiophene Derivatives
2.3.1. Synthesis of HT-BSe
2.3.2. The Synthesis of HoT-BSe
2.3.3. The Synthesis of OoT-BSe
2.3.4. General Procedure for the Bromination Reaction of HT-BSe, HoT-BSe, and OoT-BSe (Scheme 1)
The Synthesis of 2Br-HoT-BSe
The Synthesis of 2Br-OoT-BSe
2.3.5. Copolymer Syntheses
General Procedure for the Synthesis of the Copolymers (Scheme 2)
Synthesis of P(HoT-BSe-OC)
Synthesis of P(OoT-Bse-OC)
Synthesis of P(HT-BSe-OF)
Synthesis of P(HoT-BSe-OF)
Synthesis of P(OoT-BSe-OF)
3. Results and Discussion
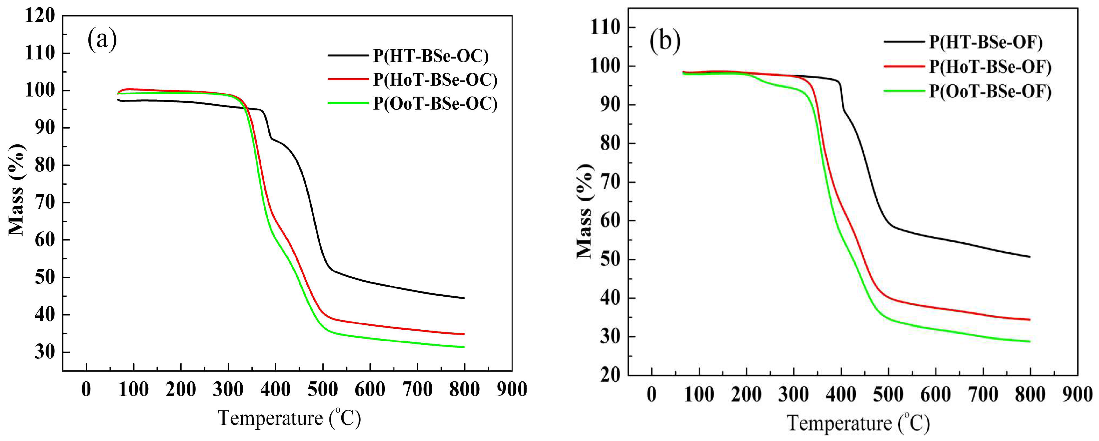
3.1. Molecular Weight and Thermogravimetric Analysis
3.2. Electrochemical Properties
3.3. Optical Properties
3.4. Spectroelectrochemistry
3.5. Chronoabsorptometry
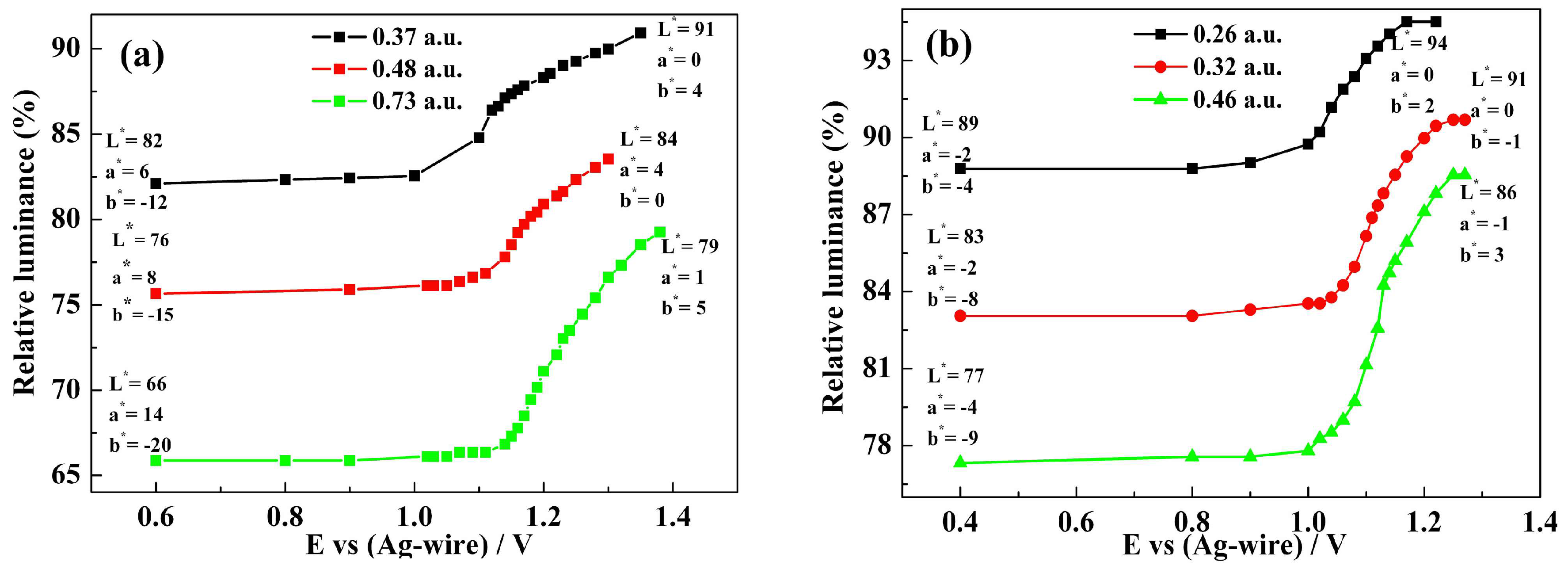
3.6. Colorimetry
4. Conclusions
Supplementary Materials
Acknowledgments
Author Contributions
Conflicts of Interest
References
- Lv, X.J.; Li, W.J.; Ouyang, M.; Zhang, Y.J.; Wright, D.S.; Zhang, C. Polymeric electrochromic materials with donor-acceptor structures. J. Mater. Chem. 2017, 5, 12–28. [Google Scholar] [CrossRef]
- Yu, C.Y.; Godana, A.S. Conjugated polymer nanoparticles based on fluorenes, PEGylated carbazoles and diphenylamines. Eur. Polym. J. 2018, 99, 165–171. [Google Scholar] [CrossRef]
- Roncali, J. Synthesis principles for bandgap control in linear π-conjugated systems. Chem. Rev. 1997, 97, 173–205. [Google Scholar] [CrossRef] [PubMed]
- Koyuncu, F.B.; Sefer, E.; Koyuncu, S.; Ozdemir, E. A New low band gap electrochromic polymer containing 2,5-bis-dithienyl-1H-pyrrole and 2,1,3-benzoselenadiazole moiety with high contrast ratio. Polymer 2011, 52, 5772–5779. [Google Scholar] [CrossRef]
- Kong, L.Q.; Wang, M.; Ju, X.P.; Zhao, J.S.; Zhang, Y.; Xie, Y. The availability of neutral can, green, blue and purple colors from simple D-A-type polymers with commercially available thiophene derivatives as the donor units. Polymers 2017, 9, 656. [Google Scholar] [CrossRef]
- Held, M.; Zakharko, Y.; Wang, M.; Jakubka, F.; Gannott, F.; Rumer, J.W.; Ashraf, R.S.; McCulloch, I.; Zaumseil, J. Photo- and electroluminescence of ambipolar, high-mobility, donor-acceptor polymers. Org. Electron. 2016, 32, 220–227. [Google Scholar] [CrossRef]
- Li, W.; Liu, Z.Y.; Yang, R.J.; Guan, Q.; Jiang, W.G.; Islam, A.; Lei, T.; Hong, L.; Peng, R.X.; Ge, Z.Y. High-performance polymer solar cells employing rhodamines as cathode interfacial layers. ACS Appl. Mater. Interfaces 2017, 9, 27083–27089. [Google Scholar] [CrossRef] [PubMed]
- Kim, J.H.; Park, J.B.; Shin, S.A.; Hyun, M.H.; Hwang, D.H. Low bandgap polymers consisting of 2,1,3-benzoselenadiazole and carbazole derivatives with thiophene or selenophene π-bridges. Polymer 2014, 55, 3605–3613. [Google Scholar] [CrossRef]
- Shih, C.C.; Chiu, Y.C.; Lee, W.Y.; Chen, J.Y.; Chen, W.C. Conjugated polymer nanoparticles as nano floating gate electrets for high performance nonvolatile organic transistor memory devices. Adv. Funct. Mater. 2015, 25, 1511–1519. [Google Scholar] [CrossRef]
- Ju, X.P.; Kong, L.Q.; Zhao, J.S.; Bai, G.Y. Synthesis and electrochemical capacitive performance of thieno[3,4-b]pyrazine-based donor-acceptor type copolymers used as supercapacitor electrode material. Electrochim. Acta 2017, 238, 36–48. [Google Scholar] [CrossRef]
- Xing, X.; Zeng, Q.; Vagin, M.; Fahlman, M.; Zhang, F.L. Fast switching polymeric electrochromics with facile processed water dispersed nanoparticles. Nano Energy 2018, 47, 123–129. [Google Scholar] [CrossRef]
- Amb, C.M.; Dyer, A.L.; Reynolds, J.R. Navigating the color palette of solution-processable electrochromic polymers. Chem. Mater. 2011, 23, 397–415. [Google Scholar] [CrossRef]
- Xie, H.H.; Wang, M.; Kong, L.Q.; Zhang, Y.; Ju, X.P.; Zhao, J.S. The optimization of donor-to-acceptor feed ratios with the aim of obtaining black-to-transmissive switching polymers based on isoindigo as the electron-deficient moiety. RSC Adv. 2017, 7, 11840–11851. [Google Scholar] [CrossRef]
- Kaya, E.; Balan, A.; Baran, D.; Cirpan, A.; Toppare, L. Electrochromic and optical studies of solution processable benzotriazole and fluorene containing copolymer. Org. Electron. 2011, 12, 202–209. [Google Scholar] [CrossRef]
- He, B.; Neo, W.T.; Chen, T.L.; Klivansky, L.M.; Wang, H.X.; Tan, T.W.; Teat, S.J.; Xu, J.W.; Liu, Y. Low bandgap conjugated polymers based on a nature-inspired bay-annulated indigo (BAI) acceptor as stable electrochromic materials. ACS Sustain. Chem. Eng. 2016, 4, 2797–2805. [Google Scholar] [CrossRef]
- Xu, C.X.; Zhao, J.S.; Wang, M.; Cui, C.S.; Liu, R.M. Electrosynthesis and characterization of a donor-acceptor type electrochromic materials from poly(4,7-dicarbazole-9-yl-2,1,3-benzothiadia-zole) and its application in electrochromic devices. Thin Solid Films 2013, 527, 232–238. [Google Scholar] [CrossRef]
- Shin, S.A.; Park, J.B.; Kim, J.H.; Hwang, D.H. Synthesis and characterization of 2,1,3-benzoselenadiazole-based conjugated polymers for organic photovoltaic cells. Synth. Met. 2013, 172, 54–62. [Google Scholar] [CrossRef]
- Zhou, E.; Cong, J.; Hashimoto, K.; Tajima, K. A benzoselenadiazole-based low band gap polymer: Synthesis and photovoltaic application. Macromolecules 2013, 46, 763–768. [Google Scholar] [CrossRef]
- Gibson, G.L.; McCormick, T.M.; Seferos, D.S. Atomistic band gap engineering in donor-acceptor polymers. J. Am. Chem. Soc. 2012, 134, 539–547. [Google Scholar] [CrossRef] [PubMed]
- Zhao, W.; Cai, W.Z.; Xu, R.X.; Yang, W.; Gong, X.; Wu, H.B.; Cao, Y. Novel conjugated alternating copolymer based on 2,7-carbazole and 2,1,3-benzoselenadiazole. Polymer 2010, 51, 3196–3202. [Google Scholar] [CrossRef]
- Chen, C.P.; Wu, P.J.; Liou, S.Y.; Chan, Y.H. Ultrabright benzoselenadiazole-based semiconducting polymer dots for specific cellular imaging. RSC Adv. 2013, 3, 17507–17514. [Google Scholar] [CrossRef]
- Kim, J.H.; Shin, S.A.; Park, J.B.; Song, C.E.; Shin, W.S.; Yang, H.; Li, Y.F.; Hwang, D.H. Fluorinated benzoselenadiazole-based low band gap polymers for high efficiency inverted single and tandem organic photovoltaic cells. Macromolecules 2014, 47, 1613–1622. [Google Scholar] [CrossRef]
- Yasuda, T.; Imase, T.; Yamamoto, T. Synthesis, characterization, and optical and electrochemical properties of new 2,1,3-benzoselenadiazole-based CT-Type copolymers. Macromolecules 2005, 38, 7378–7385. [Google Scholar] [CrossRef]
- Toksabay, S.; Hacioglu, S.O.; Unlu, N.A.; Cirpan, A.; Tappare, L. Thieno[3,2-b]thiophene as π-bridge at different acceptor systems for electrochromic applications. Polymer 2014, 55, 3093–3099. [Google Scholar] [CrossRef]
- Zhao, H.; Wei, Y.Y.; Zhao, J.S.; Wang, M. Three donor-acceptor polymeric electrochromic materials employing 2,3-bis(4-(decyloxy)phenyl)pyrido[4,3-b]-pyrazine as acceptor unit and thiophene derivatives as donor units. Electrochim. Acta 2014, 146, 231–241. [Google Scholar] [CrossRef]
- Zhou, E.; Yamakawa, S.; Zhang, Y.; Tajima, K.; Yang, C.; Hashimoto, K. Indolo[3,2-b]carbazole-based alternating donor-acceptor copolymers: Synthesis, properties and photovoltaic application. J. Mater. Chem. 2009, 19, 7730–7737. [Google Scholar] [CrossRef]
- Hsiao, S.H.; Liao, W.K.; Liou, G.S. Synthesis and electrochromism of highly organosoluble polyamides and polyimides with bulky trityl-substituted triphenylamine units. Polymers 2017, 9, 511. [Google Scholar] [CrossRef]
- Hsiao, S.H.; Liao, Y.C. Facile synthesis of electroactive and electrochromic triptycene poly(ether-imides)s containing triarylamine units via oxidative electro-coupling. Polymers 2017, 9, 497. [Google Scholar] [CrossRef]
- Wu, J.H.; Chen, W.C.; Liou, G.S. Triphenylamine-based luminogens and fluorescent polyimides: Effects of functional groups and substituents on photophysical behaviors. Polym. Chem. 2016, 7, 1569–1576. [Google Scholar] [CrossRef]
- Lin, K.W.; Chen, S.; Lu, B.Y.; Xu, J.K. Hybrid π-conjugated polymers from dibenzo pentacyclic centers: Precursor design, electrosynthesis and electrochromics. Sci. China Chem. 2017, 60, 38–53. [Google Scholar] [CrossRef]
- Lu, B.Y.; Zhen, S.J.; Zhang, S.M.; Xu, J.K.; Zhao, G.Q. Highly stable hybrid selenophene-3,4-ethylenedioxythiophene as electrically conducting and electrochromic polymers. Polym. Chem. 2014, 5, 4896–4908. [Google Scholar] [CrossRef]
- Bulloch, R.H.; Kerszulis, J.A.; Dyer, A.L.; Reynolds, J.R. An electrochromic painter’s palette: Color mixing via solution co-processing. ACS Appl. Mater. Interfaces 2015, 7, 1406–1412. [Google Scholar] [CrossRef] [PubMed]
- Liu, Y.X.; Wang, M.; Zhao, J.S.; Cui, C.S.; Liu, J.F. Effects of alkyl or alkoxy side chains on the electrochromic properties of four ambipolar donor-acceptor type polymers. RSC Adv. 2014, 4, 52712–52726. [Google Scholar] [CrossRef]
- Sun, S.J.; Menšík, M.; Toman, P.; Gagliardi, A.; Král, K. Influence of acceptor on charge mobility in stacked π-conjugated polymers. Chem. Phys. 2018, 501, 8–14. [Google Scholar] [CrossRef]
- Wu, J.T.; Liou, G.S. A novel panchromatic shutter based on an ambipolar electrochromic system without supporting electrolyte. Chem. Commun. 2018, 54, 2619–2622. [Google Scholar] [CrossRef] [PubMed]
- Hsiao, S.H.; Chen, Y.Z. Electrosynthesis of redox-active and electrochromic polymer films from triphenylamine-cored star-shaped molecules end-capped with arylamine groups. Eur. Polym. J. 2018, 99, 422–436. [Google Scholar] [CrossRef]
- Li, S.; Liu, G.L.; Ju, X.P.; Zhang, Y.; Zhao, J.S. Synthesis, characterization and application of four novel electrochromic materials employing nitrotriphenylamine units as the acceptor and different thiophene derivatives as the donor. Polymers 2017, 9, 173. [Google Scholar] [CrossRef]
- Gunbus, G.E.; Durmus, A.; Tappare, L. A unique processable green polymer with a transmissive oxidized state for realization of potential RGB-based electrochromic device applications. Adv. Funct. Mater. 2008, 18, 2026–2030. [Google Scholar] [CrossRef]











| Polymer | Yield (%) | b Mn(kDa) | a Mw (kDa) | PDI | c Td (°C) |
|---|---|---|---|---|---|
| P(HT-BSe-OC) | 84 | 7.6 | 16.9 | 2.2 | 359 |
| P(HT-BSe-OF) | 81 | 7.8 | 16.2 | 2.1 | 398 |
| P(HoT-BSe-OC) | 78 | 7.0 | 14.3 | 2.0 | 340 |
| P(HoT-BSe-OF) | 89 | 6.7 | 15.6 | 2.3 | 335 |
| P(OoT-BSe-OC) | 86 | 6.7 | 14.3 | 2.1 | 334 |
| P(OoT-BSe-OF) | 82 | 6.5 | 15.4 | 2.4 | 265 |
| Polymer | Eonset, vs. (Ag-wire)/V | Absorption, λmax/nm | Neutral state | ||||
|---|---|---|---|---|---|---|---|
| Solution | Film | λonset/ nm | a Eg,opt/ eV | b HOMO/eV | c LUMO/eV | ||
| P(HT-BSe-OC) | 1.15 | 371,547 | 377,568 | 698 | 1.78 | −5.57 | −3.79 |
| P(HoT-BSe-OC) | 1.03 | 396,572 | 402,592 | 724 | 1.71 | −5.45 | −3.74 |
| P(OoT-BSe-OC) | 1.04 | 390,561 | 399,582 | 713 | 1.74 | −5.46 | −3.72 |
| P(HT-BSe-OF) | 1.14 | 372,545 | 368,582 | 709 | 1.75 | −5.56 | −3.81 |
| P(HoT-BSe-OF) | 0.995 | 397,569 | 403,590 | 721 | 1.72 | −5.42 | −3.69 |
| P(OoT-BSe-OF) | 1.13 | 392,562 | 398,579 | 713 | 1.74 | −5.55 | −3.81 |
| a Polymers | λ (nm) | Optical contrast (ΔT%) | Response time (s) | Coloration efficiency (CE, cm2·C−1) |
|---|---|---|---|---|
| P(HT-BSe-OC) | 568 | 16.22 | 3.69 | 58.53 |
| 820 | 27.95 | 2.9 | 91.68 | |
| 1560 | 43.89 | 3.6 | 164.65 | |
| P(HoT-BSe-OC) | 590 | 22.06 | 2.48 | 94.83 |
| 910 | 28.47 | 1.14 | 144.66 | |
| 1530 | 52.45 | 0.6 | 149.22 | |
| P(OoT-BSe-OC) | 590 | 17.18 | 2.9 | 26.30 |
| 1510 | 44.27 | 1.6 | 184.83 | |
| P(HT-BSe-OF) | 580 | 11.65 | 2.08 | 68.33 |
| 870 | 14.25 | 1.9 | 53.26 | |
| 1650 | 21.29 | 0.81 | 194.79 | |
| P(HoT-BSe-OF) | 590 | 19.99 | 1.73 | 116.45 |
| 860 | 28.72 | 0.26 | 141.84 | |
| 1590 | 45.89 | 0.15 | 218.55 | |
| P(OoT-BSe-OF) | 580 | 12.42 | 2.65 | 99.31 |
| 870 | 23.60 | 1.48 | 135.10 | |
| 1510 | 40.54 | 1.21 | 182.74 |
© 2018 by the authors. Licensee MDPI, Basel, Switzerland. This article is an open access article distributed under the terms and conditions of the Creative Commons Attribution (CC BY) license (http://creativecommons.org/licenses/by/4.0/).
Share and Cite
Xu, J.; Ji, Q.; Kong, L.; Du, H.; Ju, X.; Zhao, J. Soluble Electrochromic Polymers Incorporating Benzoselenadiazole and Electron Donor Units (Carbazole or Fluorene): Synthesis and Electronic-Optical Properties. Polymers 2018, 10, 450. https://doi.org/10.3390/polym10040450
Xu J, Ji Q, Kong L, Du H, Ju X, Zhao J. Soluble Electrochromic Polymers Incorporating Benzoselenadiazole and Electron Donor Units (Carbazole or Fluorene): Synthesis and Electronic-Optical Properties. Polymers. 2018; 10(4):450. https://doi.org/10.3390/polym10040450
Chicago/Turabian StyleXu, Jianzhong, Qi Ji, Lingqian Kong, Hongmei Du, Xiuping Ju, and Jinsheng Zhao. 2018. "Soluble Electrochromic Polymers Incorporating Benzoselenadiazole and Electron Donor Units (Carbazole or Fluorene): Synthesis and Electronic-Optical Properties" Polymers 10, no. 4: 450. https://doi.org/10.3390/polym10040450
APA StyleXu, J., Ji, Q., Kong, L., Du, H., Ju, X., & Zhao, J. (2018). Soluble Electrochromic Polymers Incorporating Benzoselenadiazole and Electron Donor Units (Carbazole or Fluorene): Synthesis and Electronic-Optical Properties. Polymers, 10(4), 450. https://doi.org/10.3390/polym10040450
