Next Article in Journal
Preparation and Characterization of Superabsorbent Polymers Based on Starch Aldehydes and Carboxymethyl Cellulose
Next Article in Special Issue
Electrochromism in Electropolymerized Films of Pyrene-Triphenylamine Derivatives
Previous Article in Journal
Recent Progress of Imprinted Polymer Photonic Waveguide Devices and Applications
Previous Article in Special Issue
Soluble Electrochromic Polymers Incorporating Benzoselenadiazole and Electron Donor Units (Carbazole or Fluorene): Synthesis and Electronic-Optical Properties
 
 
Font Type:
Arial Georgia Verdana
Font Size:
Aa Aa Aa
Line Spacing:
Column Width:
Background:
Article

Electrochromic Devices Based on Poly(2,6-di(9H-carbazol-9-yl)pyridine)-Type Polymer Films and PEDOT-PSS

1
Department of Chemical and Materials Engineering, National Kaohsiung University of Science and Technology, Kaohsiung 80778, Taiwan
2
Institute of Materials Science and Engineering, National Central University, Taoyuan 32001, Taiwan
3
Department of Chemical Engineering and Materials Engineering, National Yunlin University of Science and Technology, Yunlin 64002, Taiwan
4
Department of Materials Science and Engineering, Feng Chia University, Taichung 40724, Taiwan
*
Author to whom correspondence should be addressed.
Polymers 2018, 10(6), 604; https://doi.org/10.3390/polym10060604
Submission received: 21 April 2018 / Revised: 21 May 2018 / Accepted: 29 May 2018 / Published: 31 May 2018
(This article belongs to the Special Issue Electrochromic Polymers)

Abstract

:
2,6-Di(9H-carbazol-9-yl)pyridine (DiCP) was synthesized and its corresponding homopolymer (PDiCP) and copolymers (P(DiCP-co-CPDT), P(DiCP-co-CPDT2), P(DiCP-co-CPDTK), and P(DiCP-co-CPDTK2)) were synthesized electrochemically. The anodic copolymer with DiCP:cyclopentadithiophene ketone (CPDTK) = 1:1 feed molar ratio showed high transmittance change (ΔT%) and colouration efficiency (η), which were measured as 39.5% and 184.1 cm2 C−1 at 1037 nm, respectively. Electrochromic devices (ECDs) were composed of PDiCP, P(DiCP-co-CPDT), P(DiCP-co-CPDT2), P(DiCP-co-CPDTK), and P(DiCP-co-CPDTK2) as anodically-colouring polymers, and poly(3,4-ethylenedioxythiophene)-poly(styrene sulfonic acid) (PEDOT-PSS) as cathodically-colouring polymers. P(DiCP-co-CPDTK)/PEDOT-PSS ECD showed light silverish-yellow at 0.0 V, light grey at 0.7 V, grey at 1.3 V, light greyish blue at 1.7 V, and greyish blue at 2.0 V. Moreover, P(DiCP-co-CPDTK)/PEDOT-PSS ECD presented high ΔT (38.2%) and high η (633.8 cm2 C−1) at 635 nm.

Graphical Abstract

1. Introduction

Organic electroactive materials (OEM) have played a role in science and commercial electronic devices due to their benefits of facile processing, flexibility of molecular design and synthesis, and reversibility between oxidation and reduction processes [1]. Conjugated polymers (CPs) were widely-studied organic electroactive materials due to their potential applications in supercapacitors [2], light-emitting diodes [3,4,5], electrochromic devices (ECDs) [6,7,8], solar cells [9,10], fluorescent sensors [11,12], catalysts for methanol electroxidation [13,14,15], and organic transistors [16]. Among these applications, scientists have focused immensely in ECDs by virtue of their multicolour and energy-saving characteristics after applying a voltage [17].
During the last decade, several CPs, such as polythiophenes (PTh) [18], polycarbazoles (PCz) [19,20], polytriphenylamines [21,22], polyanilines (PANI) [23], polyindoles [24,25], polyazulenes [26], and polyimides [27] have been widely studied for use as electrochromic materials. Among these CPs, PCz showed a light colour in the neutral state and a deep colour in oxidized state. Carbazole derivatives can be functionalized at the 9-, 3,6-, and 2,7-positions and a wide variation of alkyl and phenyl chains can be incorporated at the 9-, 3,6-, and 2,7-positions of carbazole derivatives. Metin et al. synthesized a star-shaped compound (2,4,6-tris((9H-carbazol-2-yl)oxy)-1,3,5-triazine (CTR)) and reported that P(CTR) switches between dark turquoise and transparent with an optical contrast of 50%, the ∆T of P(CTR)/P(EDOT) ECD was measured as 32% at 615 nm [28]. Zhang et al. reported that a multichromic copolymer (P(CDPN-co-EDOT)) revealed claret red, green, cadet blue, and blue from neutral to oxidized states. P(CDPN-co-EDOT) film showed ∆T of 36% in the visible region and a ∆T of 43% in the near-infrared region [29]. PTh and their derivatives were usually employed to diminish the band gap and improve the conjugation of the polymer backbone. The derivatives of PTh (poly(3,4-ethylenedioxythiophene)s (PEDOT) and poly(3,4-(2,2-dimethylpropylenedioxy)thiophene)s (PProDOT-Me2)) comprised two electron-donating oxygen atoms at 3,4-positions of thiophene ring, which diminished the onset potentials of oxidation for polymer films and diminished the band gaps of polymer films. Moreover, PEDOT and PProDOT-Me2 showed high transmissivity in the doped state and low transmissivity in the undoped state, which made PEDOT and PProDOT-Me2 promising candidates for use as cathodic electrodes in electrochromic devices [30]. Furthermore, copolymerization is an efficient and promising way to improve electrochromic properties of the CPs. Copolymerization of dissimilar monomers containing numerous distinct units can bring about interesting combinations of the electrochromic characteristics. For this affair, copolymers based on carbazole and bithiophene derivatives are copolymerized in the study. 2,6-di(9H-carbazol-9-yl)pyridine comprises two carbazole groups linked by a pyridine ring, the carbazole and pyridine groups are electron-donating and electron-withdrawing groups, respectively. Cyclopentadithiophene ketone (CPDTK) comprises two thiophene rings linked by a single bond and a carbonyl group at the 2-position and 3-position of thiophene rings, respectively, the thiophene and carbonyl groups are electron-donating and electron-withdrawing groups, respectively. Electrochromic polymers based on monomers possessing donor-acceptor-donor (D-A-D) units can adjust the colour in their doped and dedoped states and the colour of dual type electrochromic devices at various voltages.
Up to now, the incorporation of a 2,6-di(9H-carbazol-9-yl)pyridine unit into electrochromic polymer backbones and the electrochromic behaviors of poly(2,6-di(9H-carbazol-9-yl)pyridine)s at various potentials have not been reported. In the present work, 2,6-di(9H-carbazol-9-yl)pyridine (DiCP) is synthesized and its corresponding homopolymer (PDiCP) and copolymers (P(DiCP-co-CPDT), P(DiCP-co-CPDT2), P(DiCP-co-CPDTK), and P(DiCP-co-CPDTK2)) are synthesized using electrochemical copolymerization. The spectroelectrochemical behaviours of PDiCP, P(DiCP-co-CPDT), P(DiCP-co-CPDT2), P(DiCP-co-CPDTK), and P(DiCP-co-CPDTK2) films at various potentials are comprehensively studied. It is interesting to explore that the slight structural modifications of the bithiophene derivatives give rise to diverse spectroelectrochemical behaviours. Moreover, five ECDs were fabricated using PDiCP, P(DiCP-co-CPDT), P(DiCP-co-CPDT2), P(DiCP-co-CPDTK), and P(DiCP-co-CPDTK2) films as the anodically-colouring polymers, poly(3,4-ethylenedioxythiophene)-poly(styrene sulfonic acid) (PEDOT-PSS) as the cathodically-colouring polymer. The optical contrast, colouration efficiency, switching property, optical memory, and redox stability of the five ECDs were also studied.

2. Materials and Methods

2.1. Materials

2,6-dibromopyridine, carbazole, and PEDOT-PSS (1.3 wt % dispersion in water) were purchased from Aldrich (St. Louis, MO, USA). 4H-cyclopenta[2,1-b:3,4-b’]dithiophene (CPDT) and cyclopentadithiophene ketone were purchased from Tokyo Chemical (Tokyo, Japan), PMMA (Mw = 350,000), LiClO4, and propylene carbonate were purchased from Acros organics (Geel, Belgium), Aldrich (St. Louis, MO, USA), and Alfa Aesar (Haverhill, MA, USA), respectively, and were used as received.

2.2. Synthesis of 2,6-di(9H-carbazol-9-yl)pyridine (DiCP)

2,6-dibromopyridine (3.55 g, 15 mmol), carbazole (10.03 g, 60 mmol), K2CO3 (8.29 g, 60 mmol), Cu powder (2.41 g, 38 mmol), and 30 mL triethylene glycol dimethyl ether were added in a two-neck round-bottom flask and stirred at 175 °C for 48 h. Triethylene glycol dimethyl ether was vaporized using a rotavapor under reduced pressure, and the crude product was purified through column chromatography (silica gel with an eluent of dichloromethane/hexane mixture). Recrystallization from toluene to give desired DiCP. Yield: 62%. 1H NMR (700 MHz, DMSO-d6): δ 8.42 (dd, 1H, pyridine-H), 8.28 (d, 4H, carbazole-H), 7.93 (d, 4H, carbazole-H), 7.88 (d, 2H, pyridine-H), 7.45 (dd, 4H, carbazole-H), 7.35 (dd, 4H, carbazole-H). Elem. Anal. Calcd. for C29H19N3: C, 85.06%; H, 4.68%; N, 10.26%. Found: C, 84.95%; H, 4.59%; N, 10.21%.

2.3. Electrochemical Polymerization of PDiCP, P(DiCP-co-CPDT), P(DiCP-co-CPDT2), P(DiCP-co-CPDTK), and P(DiCP-co-CPDTK2) Films

PDiCP, P(DiCP-co-CPDT), P(DiCP-co-CPDT2), P(DiCP-co-CPDTK), and P(DiCP-co-CPDTK2) films were electrosynthesized using cyclic voltammetry (CV) between 0.0 and 1.5 V with a scan rate of 100 mV s−1 in an acetonitrile (ACN)/dichloromethane (DCM) (1:1, by volume) solution containing 0.2 M LiClO4 as an electrolyte, the feed species and molar ratio of anodically-colouring polymers are presented in Table 1. The counter and reference electrodes of the electrochemical system are a platinum wire and an Ag/AgCl (3 M KCl) electrode, respectively. The cathodic PEDOT-PSS film is prepared using spin-coating methods, and the spin condition for preparing PEDOT-PSS film is 2000 rpm. The active area of polymer electrode is 1.0 cm × 1.5 cm. The electrochemical polymerization schemes of PDiCP, P(DiCP-co-CPDT), and P(DiCP-co-CPDTK) are shown in Figure 1.

2.4. Preparation of Dual-Type Electrochromic Devices

The electrolyte consisting of PMMA, LiClO4, PC, and ACN was prepared according to previously published work [31], and the electrolyte was coated on anodic PDiCP, P(DiCP-co-CPDT), P(DiCP-co-CPDT2), P(DiCP-co-CPDTK), and P(DiCP-co-CPDTK2) films. Eventually, the cathodic PEDOT-PSS film was placed onto the electrolyte to fabricate electrochromic devices.

2.5. Electrochemical and Electrochromic Characterization

The electrochemical characterizations of polymer films were carried out in three-component cells. An ITO coated glass, Pt wire, and Ag/AgCl (3 M KCl) electrode were used as working, counter, and reference electrodes, respectively. The electrochromic experiments and double potential chronoamperometry were implemented with a Hitachi spectrophotometer and a CHI627D (CH Instruments, Austin, TX, USA) electrochemical analyser.

3. Results and Discussion

3.1. Electrochemical Polymerizations

The electrooxidation of DiCP, CPDTK, and CPDT in 0.2 M LiClO4 ACN/DCM solution were shown in Figure 2. The onset potential of oxidation for DiCP, CPDT, and CPDTK were 1.15, 0.95, and 1.10 V, respectively. The onset potential of CPDT is smaller than that of CPDTK, this can be attributed to the withdrawing keto groups of CPDTK increasing the onset potential significantly. Moreover, the differences between onset potential of oxidation for DiCP vs. CPDTK and DiCP vs. CPDT are less than 0.2 V, indicating the copolymerizations of DiCP with CPDTK (or CPDT) are practicable. Figure 3 shows the electrochemical synthesis of PDiCP, P(DiCP-co-CPDT), P(DiCP-co-CPDT2), P(DiCP-co-CPDTK), and P(DiCP-co-CPDTK2) in 0.2 M LiClO4/ACN/DCM solution (ACN:DCM = 1:1, by volume) at 100 mV s−1 on ITO working electrode.
The current densities of the redox peaks increase with increasing scanning CV cycles, implying both deposition of the polymer films and that the deposited polymers are conducting [32]. The oxidation peaks of PDiCP, P(DiCP-co-CPDT), P(DiCP-co-CPDT2), P(DiCP-co-CPDTK), and P(DiCP-co-CPDTK2) located at 1.15, 1.10, 1.10, 0.9 and 0.9 V, respectively, whereas the reduction peaks of PDiCP, P(DiCP-co-CPDT), P(DiCP-co-CPDT2), P(DiCP-co-CPDTK), and P(DiCP-co-CPDTK2) located at 0.75, 0.45, 0.5, 0.6, and 0.6 V, respectively. The redox peaks and CV curves of P(DiCP-co-CPDT), P(DiCP-co-CPDT2), P(DiCP-co-CPDTK), and P(DiCP-co-CPDTK2) are different from the oxidation and reduction peaks and CV curves of PDiCP, indicating the formation of P(DiCP-co-CPDT), P(DiCP-co-CPDT2), P(DiCP-co-CPDTK), and P(DiCP-co-CPDTK2) films on ITO electrodes. Specific capacitances of PDiCP, P(DiCP-co-CPDT), P(DiCP-co-CPDT2), P(DiCP-co-CPDTK), and P(DiCP-co-CPDTK2) electrodes are 76, 92, 94, 85, and 88 F/g, respectively.
Figure 4 shows the CV curves of deposited P(DiCP-co-CPDTK) film at 10, 50, 100, 150, and 200 mV s−1 in 0.2 M LiClO4/ACN/DCM solution, the P(DiCP-co-CPDTK) film shows well-defined redox peaks at various scan rates and the anodic and cathodic peak current densities are proportional to the scan rates (inset of Figure 4), inferring the P(DiCP-co-CPDTK) film was stuck onto ITO glass and the redox process of the copolymer film was not diffusional control [33].

3.2. Spectroelectrochemical Characterizations of Homopolymer and Copolymer Films

Figure 5 shows the spectroelectrochemical spectra of PDiCP, P(DiCP-co-CPDT), P(DiCP-co-CPDT2), P(DiCP-co-CPDTK), and P(DiCP-co-CPDTK2) films at various potentials in 0.2 M LiClO4/ACN/DCM solution, and that there is no prominent absorption peak of PDiCP film at 0.0 V.
Upon increasing the potential progressively, new bands appeared at 425 and 1000 nm, which could be assigned to the formation of charge carriers for PDiCP film [34]. However, P(DiCP-co-CPDT), P(DiCP-co-CPDT2), P(DiCP-co-CPDTK), and P(DiCP-co-CPDTK2) films showed π-π* (or n-π*) transition peaks at 485, 500, 392, and 395 nm, respectively, which were different to the absorption spectra of PDiCP film in the neutral state. The UV–VIS spectra of P(DiCP-co-CPDT) film recorded for various potentials exhibit isosbestic points, suggesting the presence of neutral and oxidized P(DiCP-co-CPDT) films which are active towards different irradiations at different potentials. The charge carrier bands of P(DiCP-co-CPDT), P(DiCP-co-CPDT2), P(DiCP-co-CPDTK), and P(DiCP-co-CPDTK2) films in 0.2 M LiClO4/ACN/DCM solution showed significant variations at 1000 nm from neutral to oxidation states.
The PDiCP film showed three kinds of colour variations from neutral to oxidation state, PDiCP film was light gray at 0.0 V, dark khaki at 1.0 V, and grey black at 1.2 V. For the copolymer films, P(DiCP-co-CPDT) and P(DiCP-co-CPDT2) films were light brown at 0.0 V, light cadet blue at 0.4 V, and navy blue at 1.1 (or 1.3 V), whereas P(DiCP-co-CPDTK) and P(DiCP-co-CPDTK2) films were light yellow at 0.0 V, grey at 0.8 V, and rock grey at 1.1 V. The colorimetric values (L*, a*, and b*) and CIE chromaticity diagrams of PDiCP, P(DiCP-co-CPDT2), and P(DiCP-co-CPDTK) films at various potentials are displayed in Table 2.
The optical band gap (Eg) of PDiCP homopolymer film calculated using Planck equation was 2.58 eV:
Eg = 1241/λonset
where the onset UV absorption wavelength (λonset) of the π-π* transition band of PDiCP was 481 nm [35,36]. The onset oxidation potential vs. Ag/AgCl (3 M KCl) was 0.82 V, the EFOC of ferrocene/ferrocenium vs. Ag/AgCl (3 M KCl) determined using cyclic voltammetry was 0.80 V, and the onset oxidation potential vs. EFOC was found to be 0.02 V. The HOMO and LUMO energy levels of PDiCP determined from the onset oxidation potential with respect to the energy level of ferrocene/ferrocenium couple (−4.8 eV less than vacuum energy level) [37,38] and Eg were taken as −4.82 and −2.24 eV, respectively.
Figure 6 showed the electrochromic switching profiles of PDiCP, P(DiCP-co-CPDT), P(DiCP-co-CPDT2), P(DiCP-co-CPDTK), and P(DiCP-co-CPDTK2) films in 0.2 M LiClO4/ACN/DCM solution, which were monitored using double potential-step chronoamperometry by repeating potentials between 0.0 and 1.2 V with a time interval of 10 s. The ΔT of PDiCP at 1025 nm, P(DiCP-co-CPDT) at 1034 nm, P(DiCP-co-CPDT2) at 1034 nm, P(DiCP-co-CPDTK) at 1037 nm, and P(DiCP-co-CPDTK2) at 890 nm from the bleaching state to the colouration state in 0.2 M LiClO4/ACN/DCM solution were calculated to be 18.8, 28.3, 29.1, 39.5, and 35.9%, respectively. Among these polymer films, P(DiCP-co-CPDTK) film presents the highest ΔT, and copolymers (P(DiCP-co-CPDT), P(DiCP-co-CPDT2), P(DiCP-co-CPDTK), and P(DiCP-co-CPDTK2)) present higher ΔT than that of homopolymer (PDiCP) in 0.2 M LiClO4/ACN/DCM solution, implying the copolymerization of DiCP with CPDT (or CPDTK) monomer results in the increase of ΔT in 0.2 M LiClO4/ACN/DCM solution. The colouration switching time (τc) and bleaching switching time (τb) of polymer films in 0.2 M LiClO4/ACN/DCM solution are listed in Table 3, the τc and τb are determined at 90% of the whole transmittance change. The τc and τb of PDiCP, P(DiCP-co-CPDT), P(DiCP-co-CPDT2), P(DiCP-co-CPDTK), and P(DiCP-co-CPDTK2) films in 0.2 M LiClO4/ACN/DCM solution are in the range of 1.9–6.7 s.
ΔOD is the change of optical density, which can be calculated using the equation [39]:
Δ OD = log ( T o x T r e d )
where Tox and Tred refer to the transmittance (%) of oxidized and neutral states, respectively. The ΔOD of PDiCP, P(DiCP-co-CPDT), P(DiCP-co-CPDT2), P(DiCP-co-CPDTK), and P(DiCP-co-CPDTK2) films at specific wavelengths in 0.2 M LiClO4/ACN/DCM solution are listed in Table 3. P(DiCP-co-CPDT2) film shows the largest ΔOD among these polymer films in 0.2 M LiClO4/ACN/DCM solution.
Colouration efficiency (η) is an important parameter for electrochromic materials and devices, and can be calculated using the formula [40]:
η = Δ OD Q d
where Qd is the injected/ejected charge of the polymer films (or devices) per active area. Table 3 lists the η of homopolymer and copolymer films in 0.2 M LiClO4/ACN/DCM solution, the η of PDiCP at 1025 nm, P(DiCP-co-CPDT) at 1034 nm, P(DiCP-co-CPDT2) at 1034 nm, P(DiCP-co-CPDTK) at 1037 nm, and P(DiCP-co-CPDTK2) at 890 nm are 123.8, 149.5, 80.9, 184.1, and 111.5 cm2 C−1, respectively.
The comparisons of transmittance changes and colouration efficiencies with reported polymer films were displayed in Table 4, P(DiCP-co-CPDTK) film showed higher transmittance change than those reported for PETCB film at 1100 nm [41], PMCzP film at 460 nm [42], and PBCz film at 1050 nm [43]. However, P(DiCP-co-CPDTK) film showed a lower transmittance change than those reported for P(BCz1-co-Inc1) film at 787 nm [44] and P(NO2-3Cz) film at 710 nm [45]. On the other hand, P(DiCP-co-CPDTK) film revealed higher η than those reported for P(BCz1-co-Inc1) [44], P(NO2-3Cz) [45], and PBCz films [43].

3.3. Spectroelectrochemical Characterizations of Electrochromic Devices

Five dual type ECDs based on PDiCP, P(DiCP-co-CPDT), P(DiCP-co-CPDT2), P(DiCP-co-CPDTK), and P(DiCP-co-CPDTK2) films as anodically-colouring polymers and PEDOT-PSS film as cathodically-colouring polymer were fabricated, which were denominated as PDiCP/PEDOT-PSS, P(DiCP-co-CPDT)/PEDOT-PSS, P(DiCP-co-CPDT2)/PEDOT-PSS, P(DiCP-co-CPDTK)/PEDOT-PSS, and P(DiCP-co-CPDTK2)/PEDOT-PSS ECDs, respectively. Figure 7a–e displayed the UV–VIS spectra of PDiCP/PEDOT-PSS, P(DiCP-co-CPDT)/PEDOT-PSS, P(DiCP-co-CPDT2)/PEDOT-PSS, P(DiCP-co-CPDTK)/PEDOT-PSS, and P(DiCP-co-CPDTK2)/PEDOT-PSS ECDs, respectively.
At 0.0 V, PDiCP/PEDOT-PSS ECD did not show distinct absorption peaks in the ultraviolet and visible zones. At this moment, anodic PDiCP film was in its reduced state, displaying a light grey colour. The cathodic PEDOT-PSS film was in the oxidized state, displaying a limpid colour. Accordingly, the PDiCP/PEDOT-PSS ECD displayed light grey colour at 0.0 V. Upon increasing the voltages gradually, PDiCP film started to oxidize and PEDOT-PSS film began to reduce. Accordingly, new peaks at 420 and 637 nm emerged gradually and the PDiCP/PEDOT-PSS ECD presented as dark blue at 1.9 V. The main electrochromic response of PDiCP/PEDOT-PSS ECD comes from the PEDOT-PSS layer. Table 5 summarized the electrochromic photographs, colorimetric values (L*, a*, and b*) and CIE chromaticity diagrams of the P(DiCP-co-CPDTK)/PEDOT-PSS ECD at various potentials. P(DiCP-co-CPDTK)/PEDOT-PSS ECD showed light silverish-yellow at 0.0 V, light grey at 0.7 V, grey at 1.3 V, light greyish blue at 1.7 V, and greyish blue at 2.0 V.
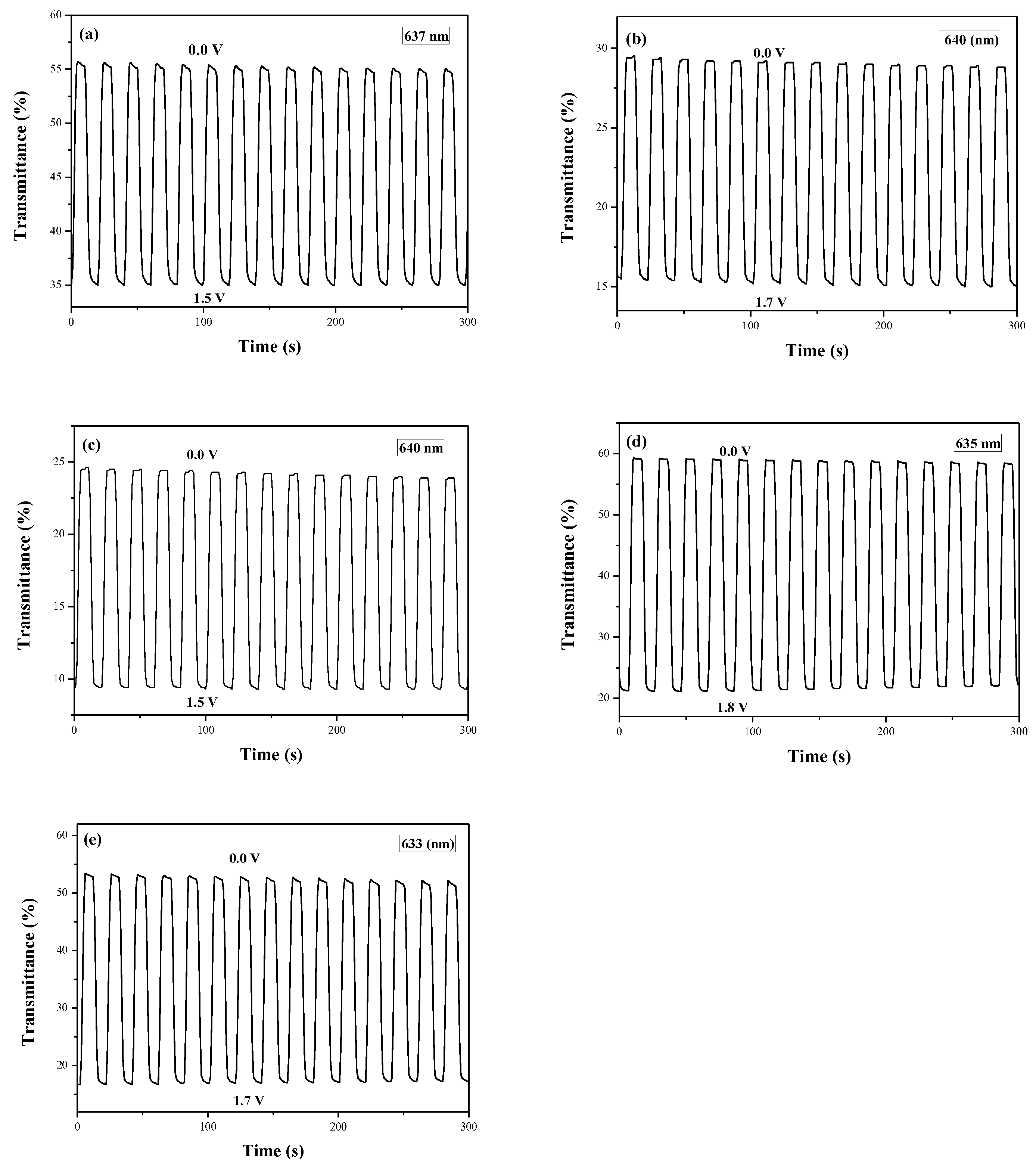
Figure 8 showed the electrochromic switching profiles of PDiCP/PEDOT-PSS, P(DiCP-co-CPDT)/PEDOT-PSS, P(DiCP-co-CPDT2)/PEDOT-PSS, P(DiCP-co-CPDTK)/PEDOT-PSS, and P(DiCP-co-CPDTK2)/PEDOT-PSS ECDs, the transmittance variations of these ECDs were carried out between 0.0 V and 1.8 V with a time interval of 10 s. The ΔT, ΔOD, Qd, η, τc, and τb of PDiCP/PEDOT-PSS, P(DiCP-co-CPDT)/PEDOT-PSS, P(DiCP-co-CPDT2)/PEDOT-PSS, P(DiCP-co-CPDTK)/PEDOT-PSS, and P(DiCP-co-CPDTK2)/PEDOT-PSS ECDs estimated at the second cycle are listed in Table 6.
P(DiCP-co-CPDTK)/PEDOT-PSS and P(DiCP-co-CPDTK2)/PEDOT-PSS ECDs revealed larger ΔT than that of PDiCP/PEDOT-PSS ECD, whereas P(DiCP-co-CPDT)/PEDOT-PSS and P(DiCP-co-CPDT2)/PEDOT-PSS ECDs revealed smaller ΔT than that of PDiCP/PEDOT-PSS ECD, implying the incorporation of P(DiCP-co-CPDTK) and P(DiCP-co-CPDTK2) as the anodically-colouring polymers led to a higher ΔT than those of PDiCP, P(DiCP-co-CPDT), and P(DiCP-co-CPDT2) electrodes. In other aspects, the colouration efficiencies of PDiCP/PEDOT-PSS, P(DiCP-co-CPDT)/PEDOT-PSS, P(DiCP-co-CPDT2)/PEDOT-PSS, P(DiCP-co-CPDTK)/PEDOT-PSS, and P(DiCP-co-CPDTK2)/PEDOT-PSS ECDs were 259.7 mC cm−2 at 637 nm, 358.0 mC cm−2 at 640 nm, 461.5 mC cm−2 at 640 nm, 633.8 mC cm−2 at 635 nm, and 510.4 mC cm−2 at 633 nm, respectively. The colouration efficiencies of P(DiCP-co-CPDT)/PEDOT-PSS, P(DiCP-co-CPDT2)/PEDOT-PSS, P(DiCP-co-CPDTK)/PEDOT-PSS, and P(DiCP-co-CPDTK2)/PEDOT-PSS ECDs were greater than that of PDiCP/PEDOT-PSS ECD.
The comparisons of transmittance changes and colouration efficiencies with reported ECDs were displayed in Table 7, P(DiCP-co-CPDTK)/PEDOT-PSS ECD showed higher transmittance change than those reported for PtCz/PProDOT-Me2 [46], poly(2,5-bis(9-methyl-9H-carbazol-3-yl)-1,3,4-oxadiazole)/PEDOT [47], poly(4,4′-di(N-carbazolyl)biphenyl)/PEDOT ECDs [48], and was comparable to those reported for poly(4,4′-di(N-carbazoyl)biphenyl-co-4H-cyclopenta[2,1-b:3,4-b′]dithiophene)/PEDOT [49] and P(tnCz1-co-bTp2)/PProDOT-Me2 ECDs [50]. On the other side, P(DiCP-co-CPDTK)/PEDOT-PSS ECD revealed higher η at 635 nm than those reported for PtCz/PProDOT-Me2 [46], poly(4,4′-di(N-carbazoyl)biphenyl-co-4H-cyclopenta[2,1-b:3,4-b′]dithiophene)/PEDOT [49], and P(tnCz1-co-bTp2)/PProDOT-Me2 ECDs [50], which made P(DiCP-co-CPDTK)/PEDOT-PSS ECD desirable for applications in rear-view mirrors of vehicles.

3.4. Optical Memory of ECDs

The ability to maintain a bleached (or coloured) state at open circuit of PDiCP/PEDOT-PSS, P(DiCP-co-CPDT)/PEDOT-PSS, P(DiCP-co-CPDT2)/PEDOT-PSS, P(DiCP-co-CPDTK)/PEDOT-PSS, and P(DiCP-co-CPDTK2)/PEDOT-PSS ECDs was measured in bleached and coloured states by applying a potential for 1 s in a time interval of each 100 s [51]. As shown in Figure 9, the PDiCP/PEDOT-PSS, P(DiCP-co-CPDT)/PEDOT-PSS, P(DiCP-co-CPDT2)/PEDOT-PSS, P(DiCP-co-CPDTK)/PEDOT-PSS, and P(DiCP-co-CPDTK2)/PEDOT-PSS ECDs showed almost no transmittance change in bleached state, displaying satisfactory optical memories in bleached state. However, ECDs were rather less stable than those in the bleached state, but the transmittance variations were less than 4% in the coloured state, indicating the PDiCP/PEDOT-PSS, P(DiCP-co-CPDT)/PEDOT-PSS, P(DiCP-co-CPDT2)/PEDOT-PSS, P(DiCP-co-CPDTK)/PEDOT-PSS, and P(DiCP-co-CPDTK2)/PEDOT-PSS ECDs had desirable optical memories.

3.5. Redox Stability of ECDs

The multiple switching stability of PDiCP/PEDOT-PSS, P(DiCP-co-CPDT2)/PEDOT-PSS, and P(DiCP-co-CPDTK)/PEDOT-PSS ECDs was monitored using CV at potentials between 0.0 and 1.8 V with a scan rate of 500 mV s1 as displayed in Figure 10 [52]. Electrochemical activity of 89.0%, 87.2%, and 92.4% was preserved after 500 cycles, respectively, and 81.2%, 86.6%, and 88.8%, respectively, of electrochemical activity was preserved after 1000 cycles for PDiCP/PEDOT-PSS, P(DiCP-co-CPDT2)/PEDOT-PSS, and P(DiCP-co-CPDTK)/PEDOT-PSS ECDs. P(DiCP-co-CPDT2)/PEDOT-PSS and P(DiCP-co-CPDTK)/PEDOT-PSS ECDs employed copolymers as anodic electrodes presented better multiple cycling stability than that of PDiCP (homopolymer)/PEDOT-PSS ECD. Considering the above consequences, these ECDs displayed adequate redox stability for electrochromic applications.

4. Conclusions

An anodic homopolymer (PDiCP) and four copolymers (P(DiCP-co-CPDT), P(DiCP-co-CPDT2), P(DiCP-co-CPDTK), and P(DiCP-co-CPDTK2)) were prepared electrochemically. PDiCP homopolymer film was light grey in the neutral state, dark khaki in the intermediate state, and grey black in the oxidized states. For the copolymer films, P(DiCP-co-CPDT) and P(DiCP-co-CPDT2) films were light brown at 0.0 V, light cadet blue at 0.4 V, and navy blue at 1.2 (or 1.3 V), whereas P(DiCP-co-CPDTK) and P(DiCP-co-CPDTK2) films were light yellow at 0.0 V, grey at 0.8 V, and rock grey at 1.1 V. Electrochromic switching characterizations of anodically-colouring polymers revealed high ΔT and η for P(DiCP-co-CPDTK) film, which were determined as 39.5% and 184.1 cm2 C−1 at 1037 nm, respectively. Five dual-type ECDs based on PDiCP, P(DiCP-co-CPDT), P(DiCP-co-CPDT2), P(DiCP-co-CPDTK), and P(DiCP-co-CPDTK2) films as anodically-colouring polymers and PEDOT-PSS film as cathodically-colouring polymer were fabricated and their spectroelectrochemical properties were characterized. P(DiCP-co-CPDTK)/PEDOT-PSS ECD revealed light silverish-yellow, light grey, grey, light greyish blue, and greyish blue at 0.0 V, 0.7 V, 1.3 V, 1.7 V, and 2.0 V, respectively. P(DiCP-co-CPDTK)/PEDOT-PSS and P(DiCP-co-CPDTK2)/PEDOT-PSS ECDs showed high ΔT (38.2% and 36.0% for P(DiCP-co-CPDTK)/PEDOT-PSS and P(DiCP-co-CPDTK2)/PEDOT-PSS ECDs, respectively), high η (633.8 and 510.4 mC cm−2 for P(DiCP-co-CPDTK)/PEDOT-PSS and P(DiCP-co-CPDTK2)/PEDOT-PSS ECDs, respectively), and high ΔOD values. In addition, P(DiCP-co-CPDTK)/PEDOT-PSS displayed suitable redox stability and optical memory.

Author Contributions

C.-W.K. conceived the research topic. B.-W.W. and T.-Y.W. carried out the experiments. C.-W.K., T.-Y.W., J.-C.C., L.-T.L., J.-K.C., and T.-H.H. analysed the electrochromic properties.

Acknowledgments

The authors thank the Ministry of Science and Technology of Republic of China for financially supporting this project.

Conflicts of Interest

The authors declare no conflict of interest.

References

  1. Ding, Y.; Zhang, C.; Zhang, L.; Zhou, Y.; Yu, G. Molecular engineering of organic electroactive materials for redox flow batteries. Chem. Soc. Rev. 2018, 47, 69–103. [Google Scholar] [CrossRef] [PubMed]
  2. Fu, W.C.; Hsieh, Y.T.; Wu, T.Y.; Sun, I.W. Electrochemical preparation of porous poly(3,4-ethylenedioxythiophene) electrodes from room temperature ionic liquids for supercapacitors. J. Electrochem. Soc. 2016, 163, G61–G68. [Google Scholar] [CrossRef]
  3. Wu, T.Y.; Chen, Y. Synthesis, optical and electrochemical properties of novel copolymers containing alternate 2,3-quinoxaline and hole-transporting units. J. Polym. Sci. Part A Polym. Chem. 2002, 40, 4570–4580. [Google Scholar] [CrossRef]
  4. Al-Asbahi, B.A.; Haji Jumali, M.H.; AlSalhi, M.S. Enhanced optoelectronic properties of PFO/fluorol 7GA hybrid light emitting diodes via additions of TiO2 nanoparticles. Polymers 2016, 8, 334. [Google Scholar] [CrossRef]
  5. Wu, T.Y.; Chen, Y. Synthesis and characterization of novel luminescent polymers with alternate phenothiazine and divinylbenzene units. J. Polym. Sci. Part A Polym. Chem. 2002, 40, 4452–4462. [Google Scholar] [CrossRef]
  6. Hsiao, S.-H.; Liao, Y.-C. Facile synthesis of electroactive and electrochromic triptycene poly(ether-imide)s containing triarylamine units via oxidative electro-coupling. Polymers 2017, 9, 497. [Google Scholar] [CrossRef]
  7. Sato, K.; Mizukami, R.; Mizuma, T.; Nishide, H.; Oyaizu, K. Synthesis of dimethyl-substituted polyviologen and control of charge transport in electrodes for high-resolution electrochromic displays. Polymers 2017, 9, 86. [Google Scholar] [CrossRef]
  8. Hacioglu, S.O.; Yiğit, D.; Ermis, E.; Soylemez, S.; Güllü, M.; Toppare, L. Syntheses and electrochemical characterization of low oxidation potential nitrogen analogs of pedot as electrochromic materials. J. Electrochem. Soc. 2016, 163, E293–E299. [Google Scholar] [CrossRef]
  9. Wang, R.; Yan, X.; Yang, X.; Wang, Y.; Li, H.; Sheng, C. Long lived photoexcitation dynamics in π-conjugated polymer/PbS quantum dot blended films for photovoltaic application. Polymers 2017, 9, 352. [Google Scholar] [CrossRef]
  10. Raja, R.; Luo, S.; Hsiow, C.-Y.; Rwei, S.-P.; Wang, L. Novel two-dimensional conjugated polymer containing fluorinated bithiophene as donor and benzoselenodiazole as acceptor units with vinyl-terthiophene pendants for polymer photovoltaic cells. Polymers 2017, 9, 272. [Google Scholar] [CrossRef]
  11. Wu, T.Y.; Sheu, R.B.; Chen, Y. Synthesis, optically acid-sensory and electrochemical properties of novel polyoxadiazole derivatives. Macromolecules 2004, 37, 725–733. [Google Scholar] [CrossRef]
  12. Wu, T.Y.; Chen, Y. Poly(phenylene vinylene)-based copolymers containing 3,7-phenothiazylene and 2,6-pyridylene chromophores: Fluorescence sensors for acids, metal ions, and oxidation. J. Polym. Sci. Part A Polym. Chem. 2004, 42, 1272–1284. [Google Scholar] [CrossRef]
  13. Wu, T.Y.; Kuo, C.W.; Chen, Y.L.; Chang, J.K. Copolymers based on indole-6-carboxylic acid and 3,4-ethylenedioxythiophene as platinum catalyst support for methanol oxidation. Catalysts 2015, 5, 1657–1672. [Google Scholar] [CrossRef]
  14. Kuo, C.W.; Chen, S.J.; Chen, P.R.; Tsai, W.T.; Wu, T.Y. Doping process effect of polyaniline doped with poly(styrenesulfonic acid) supported platinum for methanol oxidation. J. Taiwan Inst. Chem. Eng. 2013, 44, 497–504. [Google Scholar] [CrossRef]
  15. Wu, T.Y.; Chen, B.K.; Chang, J.K.; Chen, P.R.; Kuo, C.W. Nanostructured poly(aniline-co-metanilic acid) as platinum catalyst support for electro-oxidation of methanol. Int. J. Hydrog. Energy 2015, 40, 2631–2640. [Google Scholar] [CrossRef]
  16. Horowitz, G. Organic Field–Effect Transistors. Adv. Mater. 1998, 10, 365–377. [Google Scholar] [CrossRef]
  17. Hsiao, S.H.; Chiu, Y.T. Electrosynthesis and electrochromic properties of poly(amide-triarylamine)s containing triptycene units. RSC Adv. 2015, 5, 90941–90951. [Google Scholar] [CrossRef]
  18. Liu, J.; Mi, S.; Xu, Z.; Wu, J.; Zheng, J.; Xu, C. Solution-processable thiophene-based electrochromic polymers bearing trifluoromethyl rather than long side chains. Org. Electron. 2016, 37, 169–177. [Google Scholar] [CrossRef]
  19. Su, Y.-S.; Wu, T.-Y. Three carbazole-based polymers as potential anodically coloring materials for high-contrast electrochromic devices. Polymers 2017, 9, 284. [Google Scholar] [CrossRef]
  20. Hsiao, S.H.; Wu, L.C. Fluorescent and electrochromic polymers from 2,8-di(carbazol-9-yl)dibenzothiophene and its S,S-dioxide derivative. Dyes Pigments 2016, 134, 51–63. [Google Scholar] [CrossRef]
  21. Lu, Q.; Cai, W.; Niu, H.; Wang, W.; Bai, X.; Hou, Y. Novel polyamides with 5H-dibenzo[b,f]azepin-5-yl-substituted triphenylamine: Synthesis and visible-NIR electrochromic properties. Polymers 2017, 9, 542. [Google Scholar] [CrossRef]
  22. Hsiao, S.-H.; Lu, H.-Y. Electrosynthesis of aromatic poly(amide-amine) films from triphenylamine-based electroactive compounds for electrochromic applications. Polymers 2017, 9, 708. [Google Scholar] [CrossRef]
  23. Wu, T.Y.; Li, W.B.; Kuo, C.W.; Chou, C.F.; Liao, J.W.; Chen, H.R.; Tseng, C.G. Study of poly(methyl methacrylate)-based gel electrolyte for electrochromic device. Int. J. Electrochem. Sci. 2013, 8, 10720–10732. [Google Scholar]
  24. Kuo, C.-W.; Wu, T.-Y.; Fan, S.-C. Applications of poly(indole-6-carboxylic acid-co-2,2′-bithiophene) films in high-contrast electrochromic devices. Coatings 2018, 8, 102. [Google Scholar] [CrossRef]
  25. Kuo, C.W.; Hsieh, T.H.; Hsieh, C.K.; Liao, J.W.; Wu, T.Y. Electrosynthesis and characterization of four electrochromic polymers based on carbazole and indole-6-carboxylic acid and their applications in high-contrast electrochromic devices. J. Electrochem. Soc. 2014, 161, D782–D790. [Google Scholar] [CrossRef]
  26. Ding, G.; Cho, C.M.; Chen, C.; Zhou, D.; Wang, X.; Tan, A.Y.X.; Xu, J.; Lu, X. Black-to-transmissive electrochromism of azulene-based donor–acceptor copolymers complemented by poly(4-styrene sulfonic acid)-doped poly(3,4-ethylenedioxythiophene). Org. Electron. 2013, 14, 2748–2755. [Google Scholar] [CrossRef]
  27. Hsiao, S.-H.; Liao, W.-K.; Liou, G.-S. Synthesis and electrochromism of highly organosoluble polyamides and polyimides with bulky trityl-substituted triphenylamine units. Polymers 2017, 9, 511. [Google Scholar] [CrossRef]
  28. Guzel, M.; Soganci, T.; Akgun, M.; Ak, M. Carbazole functionalized star shaped triazine monomer and its electrochromic applications. J. Electrochem. Soc. 2015, 162, H527–H534. [Google Scholar] [CrossRef]
  29. Ouyang, M.; Fu, Z.; Lv, X.; Hu, B.; Wang, P.; Huang, S.; Dai, Y.; Zhang, C. A multichromic copolymer based on 4-(9H-carbazol-9-yl)-N,N-diphenylaniline and 3,4-ethylenedioxythiophene prepared via electrocopolymerization. J. Electrochem. Soc. 2013, 160, H787–H792. [Google Scholar] [CrossRef]
  30. Su, Y.S.; Chang, J.C.; Wu, T.Y. Applications of three dithienylpyrroles-based electrochromic polymers in high-contrast electrochromic devices. Polymers 2017, 9, 114. [Google Scholar] [CrossRef]
  31. Kuo, C.W.; Chen, B.K.; Li, W.B.; Tseng, L.Y.; Wu, T.Y.; Tseng, C.G.; Chen, H.R.; Huang, Y.C. Effects of supporting electrolytes on spectroelectrochemical and electrochromic properties of polyaniline-poly(styrene sulfonic acid) and poly(ethylenedioxythiophene)-poly(styrene sulfonic acid)-based electrochromic device. J. Chin. Chem. Soc. 2014, 61, 563–570. [Google Scholar] [CrossRef]
  32. Chang, K.H.; Wang, H.P.; Wu, T.Y.; Sun, I.W. Optical and electrochromic characterizations of four 2,5-dithienylpyrrole-based conducting polymer films. Electrochim. Acta 2014, 119, 225–235. [Google Scholar] [CrossRef]
  33. Carbas, B.B.; Kivrak, A.; Teke, E.; Zora, M.; Önal, A.M. Electrochemical polymerization of a new low-voltage oxidized thienylenepyrrole derivative and its electrochromic device application. J. Electroanal. Chem. 2014, 729, 15–20. [Google Scholar] [CrossRef]
  34. Soganci, T.; Soyleyici, H.C.; Ak, M.; Cetisli, H. An amide substituted dithienylpyrrole based copolymer: Its electrochromic properties physical and analytical electrochemistry, electrocatalysis, and photoelectrochemistry. J. Electrochem. Soc. 2016, 163, H59–H66. [Google Scholar] [CrossRef]
  35. Wu, T.Y.; Tsao, M.H.; Chen, F.L.; Su, S.G.; Chang, C.W.; Wang, H.P.; Lin, Y.C.; Ou-Yang, W.C.; Sun, I.W. Synthesis and characterization of organic dyes containing various donors and acceptors. Int. J. Mol. Sci. 2010, 11, 329–353. [Google Scholar] [CrossRef] [PubMed]
  36. Tsao, M.H.; Wu, T.Y.; Wang, H.P.; Sun, I.W.; Su, S.G.; Lin, Y.C.; Chang, C.W. An efficient metal free sensitizer for dye-sensitized solar cells. Mater. Lett. 2011, 65, 583–586. [Google Scholar] [CrossRef]
  37. Wu, T.Y.; Chen, Y. Synthesis and characterization of luminescent copolymers containing iminodibenzyl and divinylbenzene chromophores. J. Polym. Sci. Part A Polym. Chem. 2002, 40, 3847–3857. [Google Scholar] [CrossRef]
  38. Chen, Y.; Wu, T.Y. Synthesis, optical and electrochemical properties of luminescent copolymers containing N-hexyl-3,8-iminodibenzyl chromophores. Polymer 2001, 42, 9895–9901. [Google Scholar] [CrossRef]
  39. Wu, T.Y.; Li, J.L. Electrochemical synthesis, optical, electrochemical and electrochromic characterizations of indene and 1,2,5-thiadiazole-based poly(2,5-dithienylpyrrole) derivatives. RSC Adv. 2016, 6, 15988–15998. [Google Scholar] [CrossRef]
  40. Wu, T.-Y.; Chung, H.-H. Applications of tris(4-(thiophen-2-yl)phenyl)amine- and dithienylpyrrole-based conjugated copolymers in high-contrast electrochromic devices. Polymers 2016, 8, 206. [Google Scholar] [CrossRef]
  41. Hu, B.; Lv, X.; Sun, J.; Bian, G.; Ouyang, M.; Fu, Z.; Wang, P.; Zhang, C. Effects on the electrochemical and electrochromic properties of 3,6 linked polycarbazole derivative by the introduction of different acceptor groups and copolymerization. Org. Electron. 2013, 14, 1521–1530. [Google Scholar] [CrossRef]
  42. Wang, B.; Zhao, J.; Xiao, J.; Cui, C.; Liu, R. Synthesis and electropolymerization of 9H-carbazol-9-ylpyrene and its electrochromic properties and electrochromic device application. Int. J. Electrochem. Sci. 2012, 7, 2781–2795. [Google Scholar]
  43. Kuo, C.-W.; Wu, T.-L.; Lin, Y.-C.; Chang, J.-K.; Chen, H.-R.; Wu, T.-Y. Copolymers based on 1,3-bis(carbazol-9-yl)benzene and three 3,4-ethylenedioxythiophene derivatives as potential anodically coloring copolymers in high-contrast electrochromic devices. Polymers 2016, 8, 368. [Google Scholar] [CrossRef]
  44. Kuo, C.W.; Wu, T.Y.; Huang, M.W. Electrochromic characterizations of copolymers based on 4,4′-bis(N-carbazolyl)-1,1′-biphenyl and indole-6-carboxylic acid and their applications in electrochromic devices. J. Taiwan Inst. Chem. Eng. 2016, 68, 481–488. [Google Scholar] [CrossRef]
  45. Hsiao, S.H.; Lin, S.W. Electrochemical synthesis of electrochromic polycarbazole films from N-phenyl-3,6-bis(N-carbazolyl)carbazoles. Polym. Chem. 2016, 7, 198–211. [Google Scholar] [CrossRef]
  46. Kuo, C.W.; Chang, J.K.; Lin, Y.C.; Wu, T.Y.; Lee, P.Y.; Ho, T.H. Poly(tris(4-carbazoyl-9-ylphenyl)amine)/three poly(3,4-ethylenedioxythiophene) derivatives complementary high-contrast electrochromic devices. Polymers 2017, 9, 543. [Google Scholar] [CrossRef]
  47. Udum, Y.A.; Gündoğdu Hızlıateş, C.; Ergün, Y.; Toppare, L. Electrosynthesis and characterization of an electrochromic material containing biscarbazole–oxadiazole units and its application in an electrochromic device. Thin Solid Films 2015, 595, 61–67. [Google Scholar] [CrossRef]
  48. Koyuncu, S.; Gultekin, B.; Zafer, C.; Bilgili, H.; Can, M.; Demic, S.; Kaya, I.; Icli, S. Electrochemical and optical properties of biphenyl bridged-dicarbazole oligomer films: Electropolymerization and electrochromism. Electrochim. Acta 2009, 54, 5694–5702. [Google Scholar] [CrossRef]
  49. Chen, S.; Gao, Q.; Zhao, J.; Cui, C.; Yang, W.; Zhang, X. Electrosyntheses, characterizations and electrochromic properties of a novel copolymer of 4,4′-di(N-carbazoyl)biphenyl with 4H-cyclopenta[2,1-b:3,4-b′]dithiophene. Int. J. Electrochem. Sci. 2012, 7, 5256–5272. [Google Scholar]
  50. Kuo, C.-W.; Lee, P.-Y. Electrosynthesis of copolymers based on 1,3,5-tris(N-carbazolyl)benzene and 2,2′-bithiophene and their applications in electrochromic devices. Polymers 2017, 9, 518. [Google Scholar] [CrossRef]
  51. Wu, T.Y.; Su, Y.S. Electrochemical synthesis and characterization of 1,4-benzodioxan-based electrochromic polymer and its application in electrochromic devices. J. Electrochem. Soc. 2015, 162, G103–G112. [Google Scholar] [CrossRef]
  52. Wu, T.Y.; Liao, J.W.; Chen, C.Y. Electrochemical synthesis, characterization and electrochromic properties of indan and 1,3-benzodioxole-based poly(2,5-dithienylpyrrole) derivatives. Electrochim. Acta 2014, 150, 245–262. [Google Scholar] [CrossRef]
Figure 1. The electrochemical polymerization schemes of PDiCP, P(DiCP-co-CPDT), and P(DiCP-co-CPDTK).
Figure 1. The electrochemical polymerization schemes of PDiCP, P(DiCP-co-CPDT), and P(DiCP-co-CPDTK).
Polymers 10 00604 g001aPolymers 10 00604 g001b
Figure 2. Electrooxidation of (a) 4 mM DiCP; (b) 4 mM CPDTK; and (c) 4 mM CPDT in 0.2 M LiClO4 containing ACN/DCM (1:1, by volume) solution at a scan rate of 100 mV s−1.
Figure 2. Electrooxidation of (a) 4 mM DiCP; (b) 4 mM CPDTK; and (c) 4 mM CPDT in 0.2 M LiClO4 containing ACN/DCM (1:1, by volume) solution at a scan rate of 100 mV s−1.
Polymers 10 00604 g002
Figure 3. Electrochemical synthesis of (a) PDiCP; (b) P(DiCP-co-CPDT); (c) P(DiCP-co-CPDT2); (d) P(DiCP-co-CPDTK); and (e) P(DiCP-co-CPDTK2) in ACN/DCM (1:1, by volume) solution at 100 mV s−1 on the ITO working electrode.
Figure 3. Electrochemical synthesis of (a) PDiCP; (b) P(DiCP-co-CPDT); (c) P(DiCP-co-CPDT2); (d) P(DiCP-co-CPDTK); and (e) P(DiCP-co-CPDTK2) in ACN/DCM (1:1, by volume) solution at 100 mV s−1 on the ITO working electrode.
Polymers 10 00604 g003
Figure 4. CV curves of the P(DiCP-co-CPDTK) films at different scan rates between 10 and 200 mV s−1 in 0.2 M LiClO4/ACN/DCM solution. Scan rate dependence of the anodic and cathodic peak current densities for P(DiCP-co-CPDTK) films (inset).
Figure 4. CV curves of the P(DiCP-co-CPDTK) films at different scan rates between 10 and 200 mV s−1 in 0.2 M LiClO4/ACN/DCM solution. Scan rate dependence of the anodic and cathodic peak current densities for P(DiCP-co-CPDTK) films (inset).
Polymers 10 00604 g004
Figure 5. UV–VIS spectra of (a) PDiCP; (b) P(DiCP-co-CPDT); (c) P(DiCP-co-CPDT2); (d) P(DiCP-co-CPDTK); and (e) P(DiCP-co-CPDTK2) electrodes on ITO in 0.2 M LiClO4 containing ACN/DCM (1:1, by volume) solution.
Figure 5. UV–VIS spectra of (a) PDiCP; (b) P(DiCP-co-CPDT); (c) P(DiCP-co-CPDT2); (d) P(DiCP-co-CPDTK); and (e) P(DiCP-co-CPDTK2) electrodes on ITO in 0.2 M LiClO4 containing ACN/DCM (1:1, by volume) solution.
Polymers 10 00604 g005
Figure 6. Transmittance changes of (a) PDiCP; (b) P(DiCP-co-CPDT); (c) P(DiCP-co-CPDT2); (d) P(DiCP-co-CPDTK); and (e) P(DiCP-co-CPDTK2) electrodes in a 0.2 M LiClO4 containing ACN/DCM (1:1, by volume) solution.
Figure 6. Transmittance changes of (a) PDiCP; (b) P(DiCP-co-CPDT); (c) P(DiCP-co-CPDT2); (d) P(DiCP-co-CPDTK); and (e) P(DiCP-co-CPDTK2) electrodes in a 0.2 M LiClO4 containing ACN/DCM (1:1, by volume) solution.
Polymers 10 00604 g006
Figure 7. UV–VIS spectra of (a) PDiCP/PEDOT-PSS; (b) P(DiCP-co-CPDT)/PEDOT-PSS; (c) P(DiCP-co-CPDT2)/PEDOT-PSS; (d) P(DiCP-co-CPDTK)/PEDOT-PSS; and (e) P(DiCP-co-CPDTK2)/PEDOT-PSS ECDs.
Figure 7. UV–VIS spectra of (a) PDiCP/PEDOT-PSS; (b) P(DiCP-co-CPDT)/PEDOT-PSS; (c) P(DiCP-co-CPDT2)/PEDOT-PSS; (d) P(DiCP-co-CPDTK)/PEDOT-PSS; and (e) P(DiCP-co-CPDTK2)/PEDOT-PSS ECDs.
Polymers 10 00604 g007
Figure 8. Optical contrast of (a) PDiCP/PEDOT-PSS; (b) P(DiCP-co-CPDT)/PEDOT-PSS; (c) P(DiCP-co-CPDT2)/PEDOT-PSS; (d) P(DiCP-co-CPDTK)/PEDOT-PSS; and (e) P(DiCP-co-CPDTK2)/PEDOT-PSS ECDs with a residence time of 10 s.
Figure 8. Optical contrast of (a) PDiCP/PEDOT-PSS; (b) P(DiCP-co-CPDT)/PEDOT-PSS; (c) P(DiCP-co-CPDT2)/PEDOT-PSS; (d) P(DiCP-co-CPDTK)/PEDOT-PSS; and (e) P(DiCP-co-CPDTK2)/PEDOT-PSS ECDs with a residence time of 10 s.
Polymers 10 00604 g008
Figure 9. Open circuit stability of (a) PDiCP/PEDOT-PSS; (b) P(DiCP-co-CPDT)/PEDOT-PSS; (c) P(DiCP-co-CPDT2)/PEDOT-PSS; (d) P(DiCP-co-CPDTK)/PEDOT-PSS; and (e) P(DiCP-co-CPDTK2)/PEDOT-PSS devices.
Figure 9. Open circuit stability of (a) PDiCP/PEDOT-PSS; (b) P(DiCP-co-CPDT)/PEDOT-PSS; (c) P(DiCP-co-CPDT2)/PEDOT-PSS; (d) P(DiCP-co-CPDTK)/PEDOT-PSS; and (e) P(DiCP-co-CPDTK2)/PEDOT-PSS devices.
Polymers 10 00604 g009
Figure 10. Cyclic voltammograms of (a) PDiCP/PEDOT-PSS; (b) P(DiCP-co-CPDT2)/PEDOT-PSS; and (c) P(DiCP-co-CPDTK)/PEDOT-PSS devices with a scan rate of 500 mV s−1 at the first, 500th, and 1000th cycles.
Figure 10. Cyclic voltammograms of (a) PDiCP/PEDOT-PSS; (b) P(DiCP-co-CPDT2)/PEDOT-PSS; and (c) P(DiCP-co-CPDTK)/PEDOT-PSS devices with a scan rate of 500 mV s−1 at the first, 500th, and 1000th cycles.
Polymers 10 00604 g010
Table 1. Feed species of anodically-colouring polymers (a)–(e).
Table 1. Feed species of anodically-colouring polymers (a)–(e).
ElectrodesAnodically Colouring PolymersFeed Species of Anodic PolymerFeed Molar Ratio of Anodic Polymer
(a)PDiCP4 mM DiCPDiCP
(b)P(DiCP-co-CPDT)2 mM DiCP + 2 mM CPDTDiCP:CPDT = 1:1
(c)P(DiCP-co-CPDT2)2 mM DiCP + 4 mM CPDTDiCP:CPDT = 1:2
(d)P(DiCP-co-CPDTK)2 mM DiCP + 2 mM CPDTKDiCP:CPDTK = 1:1
(e)P(DiCP-co-CPDTK2)2 mM DiCP + 4 mM CPDTKDiCP:CPDTK = 1:2
Table 2. Colorimetric values (L*, a*, and b*), CIE chromaticity values (x, y), and CIE diagrams of (a) PDiCP, (b) P(DiCP-co-CPDT2), and (c) P(DiCP-co-CPDTK) films at various applied potentials.
Table 2. Colorimetric values (L*, a*, and b*), CIE chromaticity values (x, y), and CIE diagrams of (a) PDiCP, (b) P(DiCP-co-CPDT2), and (c) P(DiCP-co-CPDTK) films at various applied potentials.
FilmsPotential (V)L*a*b*xyDiagrams
PDiCP0.095.000.271.750.440.40 Polymers 10 00604 i001
0.594.980.301.760.440.40
0.795.000.261.860.440.40
0.994.600.092.320.450.40
1.094.230.004.470.450.41
1.293.01−0.4311.730.450.41
DiCP-co-CPDT2)0.033.5711.7023.100.530.41 Polymers 10 00604 i002
0.638.97−1.7312.830.460.43
0.736.72−3.155.230.440.42
0.935.03−3.84−3.050.420.41
1.134.60−4.40−3.720.420.41
1.334.66−5.80−0.160.420.42
P(DiCP-co-CPDTK)0.086.69−0.545.950.450.41 Polymers 10 00604 i003
0.485.69−0.266.820.450.41
0.785.110.157.040.450.41
0.884.770.408.940.450.41
0.984.470.4512.530.460.41
1.184.481.9314.060.460.42
Table 3. Optical and electrochemical properties investigated at the selected applied wavelength for the electrodes.
Table 3. Optical and electrochemical properties investigated at the selected applied wavelength for the electrodes.
Electrodesλ (nm)ToxTredΔTΔODQd (mC cm−2)η (cm2 C−1)τc (s)τb (s)
PDiCP102553.171.918.80.131.05123.81.94.5
P(DiCP-co-CPDT)103412.340.628.30.513.41149.54.03.5
P(DiCP-co-CPDT2)10344.633.729.10.8610.6380.96.73.9
P(DiCP-co-CPDTK)103717.156.639.50.512.77184.12.73.2
P(DiCP-co-CPDTK2)89038.274.135.90.282.51111.51.92.4
Table 4. Transmittance changes and colouration efficiencies of carbazole-based polymer films.
Table 4. Transmittance changes and colouration efficiencies of carbazole-based polymer films.
Polymer FilmsΔTmax (%)η (cm2 C−1)Ref.
PETCB36 (1100 nm)---41
PMCzP29 (460 nm)---42
PBCz18.6 (1050 nm)180.343
P(BCz1-co-Inc1)43.0 (787 nm)148 44
P(NO2-3Cz)52 (710 nm)3545
P(DiCP-co-CPDTK)39.5 (1037 nm)184.1This work
Table 5. Electrochromic photographs, colourimetric values (L*, a*, and b*), CIE chromaticity values (x, y), and CIE diagram of P(DiCP-co-CPDTK)/PEDOT-PSS ECD at various applied potentials.
Table 5. Electrochromic photographs, colourimetric values (L*, a*, and b*), CIE chromaticity values (x, y), and CIE diagram of P(DiCP-co-CPDTK)/PEDOT-PSS ECD at various applied potentials.
Potential (V)PhotographsL*a*b*xyDiagram
0.0 Polymers 10 00604 i00481.81−3.79−0.900.430.41 Polymers 10 00604 i009
0.7 Polymers 10 00604 i00579.79−3.16−1.020.440.41
1.3 Polymers 10 00604 i00568.79−10.12−10.640.410.40
1.7 Polymers 10 00604 i00761.27−16.09−21.180.370.39
2.0 Polymers 10 00604 i00855.36−19.91−29.700.340.38
Table 6. Optical and electrochemical properties investigated at the selected applied wavelength for the devices.
Table 6. Optical and electrochemical properties investigated at the selected applied wavelength for the devices.
Devicesλ (nm)ToxTredΔTΔODQd (mC cm−2)η (cm2 C−1)τc (s)τb (s)
PDiCP/PEDOT-PSS63735.155.620.50.200.70259.72.72.0
P(DiCP-co-CPDT)/PEDOT-PSS64015.329.514.20.290.81358.02.52.1
P(DiCP-co-CPDT2)/PEDOT-PSS6409.424.715.30.420.91461.52.62.7
P(DiCP-co-CPDTK)/PEDOT-PSS63521.159.338.20.450.71633.82.42.5
P(DiCP-co-CPDTK2)/PEDOT-PSS63317.153.136.00.490.96510.42.62.4
Table 7. Transmittance changes and colouration efficiencies of ECDs.
Table 7. Transmittance changes and colouration efficiencies of ECDs.
ECD ConfigurationΔTmax (%)ηmax (cm2 C−1)Ref.
PtCz/PProDOT-Me236 (572 nm)343.4 (572 nm)46
poly(2,5-bis(9-methyl-9H-carbazol-3-yl)-1,3,4-oxadiazole)/PEDOT35 (620 nm)---47
poly(4,4′-di(N-carbazolyl)biphenyl)/PEDOT19 (550 nm)---48
poly(4,4′-di(N-carbazoyl)biphenyl-co- 4H-cyclopenta[2,1-b:3,4-b′]dithiophene)/PEDOT39.8 (628 nm)319.98 (628 nm)49
P(tnCz1-co-bTp2)/PProDOT-Me240 (630 nm)519 (630 nm)50
P(DiCP-co-CPDTK)/PEDOT-PSS38.2 (635 nm)634 (635 nm)This work

Share and Cite

MDPI and ACS Style

Kuo, C.-W.; Wu, B.-W.; Chang, J.-K.; Chang, J.-C.; Lee, L.-T.; Wu, T.-Y.; Ho, T.-H. Electrochromic Devices Based on Poly(2,6-di(9H-carbazol-9-yl)pyridine)-Type Polymer Films and PEDOT-PSS. Polymers 2018, 10, 604. https://doi.org/10.3390/polym10060604

AMA Style

Kuo C-W, Wu B-W, Chang J-K, Chang J-C, Lee L-T, Wu T-Y, Ho T-H. Electrochromic Devices Based on Poly(2,6-di(9H-carbazol-9-yl)pyridine)-Type Polymer Films and PEDOT-PSS. Polymers. 2018; 10(6):604. https://doi.org/10.3390/polym10060604

Chicago/Turabian Style

Kuo, Chung-Wen, Bo-Wei Wu, Jeng-Kuei Chang, Jui-Cheng Chang, Li-Ting Lee, Tzi-Yi Wu, and Tsung-Han Ho. 2018. "Electrochromic Devices Based on Poly(2,6-di(9H-carbazol-9-yl)pyridine)-Type Polymer Films and PEDOT-PSS" Polymers 10, no. 6: 604. https://doi.org/10.3390/polym10060604

APA Style

Kuo, C.-W., Wu, B.-W., Chang, J.-K., Chang, J.-C., Lee, L.-T., Wu, T.-Y., & Ho, T.-H. (2018). Electrochromic Devices Based on Poly(2,6-di(9H-carbazol-9-yl)pyridine)-Type Polymer Films and PEDOT-PSS. Polymers, 10(6), 604. https://doi.org/10.3390/polym10060604

Note that from the first issue of 2016, this journal uses article numbers instead of page numbers. See further details here.

Article Metrics

Back to TopTop