Assessing Mucoadhesion in Polymer Gels: The Effect of Method Type and Instrument Variables
Abstract
1. Introduction
2. Materials and Methods
2.1. Materials
2.2. Preparation of Polymeric Systems
2.3. Mucoadhesive Analysis by Detachment Force Evaluation
2.4. Mucoadhesive Analysis Using Rheological Methods
2.4.1. Continuous Shear (Flow) Rheology
2.4.2. Oscillatory Rheology
2.5. Texture Profile Analysis
2.6. Statistical Analysis
3. Results and Discussion
3.1. Polymeric Systems
3.2. Analysis of the Detachment Force
3.3. Rheological Methods
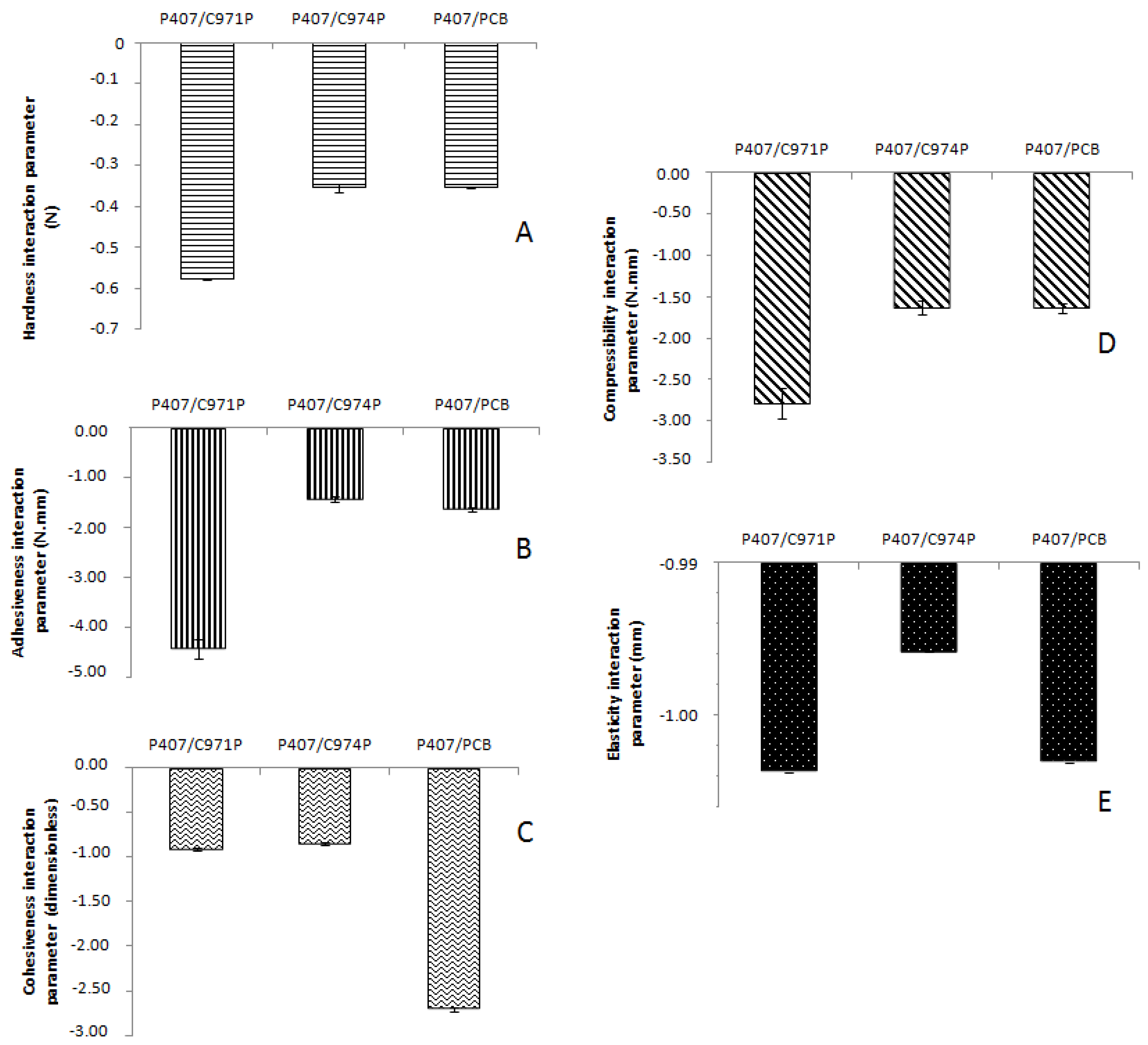
3.4. Texture Profile Analysis
4. Conclusions
Supplementary Materials
Acknowledgments
Author Contributions
Conflicts of Interest
References
- Bassi da Silva, J.; de Souza Ferreira, S.B.; de Freitas, O.; Bruschi, M.L. A critical review about methodologies for the analysis of mucoadhesive properties of drug delivery systems. Drug Dev. Ind. Pharm. 2017, 9045, 1–67. [Google Scholar] [CrossRef] [PubMed]
- Bruschi, M.L.; Jones, D.S.; Panzeri, H.; Gremião, M.P.D.; de Freitas, O.; Lara, E.H.G. Semisolid Systems Containing Propolis for the Treatment of Periodontal Disease: In Vitro Realease Kinetics, Syringeability, Rheological, Textural and Mucoadhesive Properties. J. Pharm. Sci. 2007, 99, 4215–4227. [Google Scholar] [CrossRef] [PubMed]
- Cook, M.T.; Khutoryanskiy, V.V. Mucoadhesion and mucosa-mimetic materials—A mini-review. Int. J. Pharm. 2015, 495, 991–998. [Google Scholar] [CrossRef] [PubMed]
- Borghi-Pangoni, F.B.; Junqueira, M.V.; de Souza Ferreira, S.B.; Silva, L.L.; Rabello, B.R.; Caetano, W.; Diniz, A.; Bruschi, M.L. Screening and In Vitro Evaluation of Mucoadhesive Thermoresponsive System Containing Methylene Blue for Local Photodynamic Therapy of Colorectal Cancer. Pharm. Res. 2015. [Google Scholar] [CrossRef] [PubMed]
- Nho, Y.-C.; Park, J.-S.; Lim, Y.-M. Preparation of Poly(acrylic acid) Hydrogel by Radiation Crosslinking and Its Application for Mucoadhesives. Polymers (Basel) 2014, 6, 890–898. [Google Scholar] [CrossRef]
- Lejoyeux, F.; Ponchel, G.; Wouessidjewe, D.; Peppas, N.A.; Duchěne, D. Bioadhesive tablets influence of the testing medium composition on bioadhesion. Drug Dev. Ind. Pharm. 1989, 15, 2037–2048. [Google Scholar] [CrossRef]
- Almeida, H.; Amaral, M.H.; Lobão, P.; Lobo, J.M.S. In situ gelling systems: A strategy to improve the bioavailability of ophthalmic pharmaceutical formulations. Drug Discov. Today 2014, 19, 400–412. [Google Scholar] [CrossRef] [PubMed]
- Mansuri, S.; Kesharwani, P.; Jain, K.; Tekade, R.K.; Jain, N.K. Mucoadhesion: A promising approach in drug delivery system. React. Funct. Polym. 2016, 100, 151–172. [Google Scholar] [CrossRef]
- Peppas, N.A.; Huang, Y. Nanoscale technology of mucoadhesive interactions. Adv. Drug Deliv. Rev. 2004, 56, 1675–1687. [Google Scholar] [CrossRef] [PubMed]
- Woertz, C.; Preis, M.; Breitkreutz, J.; Kleinebudde, P. Assessment of test methods evaluating mucoadhesive polymers and dosage forms : An overview. Eur. J. Pharm. Biopharm. 2013, 85, 843–853. [Google Scholar] [CrossRef] [PubMed]
- Karolewicz, B. A review of polymers as multifunctional excipients in drug dosage form technology. Saudi Pharm. J. 2015. [Google Scholar] [CrossRef] [PubMed]
- Junqueira, M.V.; Borghi-Pangoni, F.B.; de Souza Ferreira, S.B.; Bruschi, M.L. Evaluation of the methylene blue addition in binary polymeric systems composed by poloxamer 407 and Carbopol 934P using quality by design: Rheological, textural, and mucoadhesive analysis. Drug Dev. Ind. Pharm. 2016, 9045, 1–41. [Google Scholar] [CrossRef] [PubMed]
- Yun Chang, J.; Oh, Y.K.; Soo Kong, H.; Jung Kim, E.; Deuk Jang, D.; Taek Nam, K.; Kim, C.K. Prolonged antifungal effects of clotrimazole-containing mucoadhesive thermosensitive gels on vaginitis. J. Control. Release 2002, 82, 39–50. [Google Scholar] [CrossRef]
- Accili, D.; Menghi, G.; Bonacucina, G.; Di Martino, P.; Palmieri, G.F. Mucoadhesion dependence of pharmaceutical polymers on mucosa characteristics. Eur. J. Pharm. Sci. 2004, 22, 225–234. [Google Scholar] [CrossRef] [PubMed]
- Reineke, J.; Cho, D.Y.; Dingle, Y.L.; Cheifetz, P.; Laulicht, B.; Lavin, D.; Furtado, S.; Mathiowitz, E. Can bioadhesive nanoparticles allow for more effective particle uptake from the small intestine? J. Control. Release 2013, 170, 477–484. [Google Scholar] [CrossRef] [PubMed]
- Vetchý, D.; Landová, H.; Gajdziok, J.; Dolezel, P.; Danek, Z.; Stembírek, J. Determination of dependencies among in vitro and in vivo properties of prepared mucoadhesive buccal films using multivariate data analysis. Eur. J. Pharm. Biopharm. 2014, 86, 498–506. [Google Scholar] [CrossRef] [PubMed]
- Laulicht, B.; Cheifetz, P.; Tripathi, A.; Mathiowitz, E. Are in vivo gastric bioadhesive forces accurately reflected by in vitro experiments? J. Control. Release 2009, 134, 103–110. [Google Scholar] [CrossRef] [PubMed]
- Eshel-Green, T.; Bianco-Peled, H. Mucoadhesive acrylated block copolymers micelles for the delivery of hydrophobic drugs. Colloids Surf. B Biointerfaces 2016, 139, 42–51. [Google Scholar] [CrossRef] [PubMed]
- Hägerström, H.; Edsman, K. Interpretation of mucoadhesive properties of polymer. J. Pharm. Pharmacol. 2001, 53, 1589–1599. [Google Scholar] [CrossRef]
- Hägerström, H.; Edsman, K. Limitations of the rheological mucoadhesion method: The effect of the choice of conditions and the rheological synergism parameter. Eur. J. Pharm. Sci. 2003, 18, 349–357. [Google Scholar] [CrossRef]
- Pund, S.; Joshi, A.; Vasu, K.; Nivsarkar, M.; Shishoo, C. Gastroretentive delivery of rifampicin: In vitro mucoadhesion and in vivo gamma scintigraphy. Int. J. Pharm. 2011, 411, 106–112. [Google Scholar] [CrossRef] [PubMed]
- Bromberg, L.; Temchenko, M.; Alakhov, V.; Hatton, T.A. Bioadhesive properties and rheology of polyether-modified poly(acrylic acid) hydrogels. Int. J. Pharm. 2004, 282, 45–60. [Google Scholar] [CrossRef] [PubMed]
- De Souza Ferreira, S.B.; Bassi da Silva, J.; Borghi-Pangoni, F.B.; Junqueira, M.V.; Bruschi, M.L. Linear correlation between rheological, mucoadhesive and textural properties of thermoresponsive polymer blends for biomedical applications. J. Mech. Behav. Biomed. Mater. 2017, 68, 265–275. [Google Scholar] [CrossRef] [PubMed]
- Otero-Espinar, F.J.; Delgado-Charro, B.; Anguiano-Igea, S.; Blanco-Mendez, J. Use of tensile test in the study of the bioadhesive and swelling properties of polymers. In Data Adquisition and Measurement Techniques; Muñoz-Ruiz, A., Vromans, H., Eds.; Interpharm Press Inc.: Buffalo Grove, IL, USA, 1998; pp. 295–342. [Google Scholar]
- Aka-Any-Grah, A.; Bouchemal, K.; Koffi, A.; Agnely, F.; Zhang, M.; Djabourov, M.; Ponchel, G. Formulation of mucoadhesive vaginal hydrogels insensitive to dilution with vaginal fluids. Eur. J. Pharm. Biopharm. 2010, 76, 296–303. [Google Scholar] [CrossRef] [PubMed]
- Varum, F.J.O.; Veiga, F.; Sousa, J.S.; Basit, A.W. Mucoadhesive platforms for targeted delivery to the colon. Int. J. Pharm. 2011, 420, 11–19. [Google Scholar] [CrossRef] [PubMed]
- Ivarsson, D.; Wahlgren, M. Comparison of in vitro methods of measuring mucoadhesion: Ellipsometry, tensile strength and rheological measurements. Colloids Surf. B Biointerfaces 2012, 92, 353–359. [Google Scholar] [CrossRef] [PubMed]
- Hassan, E.E.; Gallo, J.M. A Simple Rheological Method for the in Vitro Assessment of Mucin-Polymer Bioadhesive Bond Strength. Pharm. Res. 1990, 7, 491–495. [Google Scholar] [CrossRef] [PubMed]
- Jones, D.S.; Bruschi, M.L.; de Freitas, O.; Gremião, M.P.D.; Lara, E.H.G.; Andrews, G.P. Rheological, mechanical and mucoadhesive properties of thermoresponsive, bioadhesive binary mixtures composed of poloxamer 407 and carbopol 974P designed as platforms for implantable drug delivery systems for use in the oral cavity. Int. J. Pharm. 2009, 372, 49–58. [Google Scholar] [CrossRef] [PubMed]
- De Souza Ferreira, S.B.; Bassi da Silva, J.; Junqueira, M.V.; Borghi-Pangoni, F.B.; Guttierres, R.; Bruschi, M.L. The importance of the relationship between mechanical analyses and rheometry of mucoadhesive thermoresponsive polymeric materials for biomedical applications. J. Mech. Behav. Biomed. Mater. 2017, 74, 142–153. [Google Scholar] [CrossRef] [PubMed]
- Hemphill, T.; Campos, W.; Pilehvari, A. Yield-power law model more accurately predicts mud rheology. Oil Gas J. 1993, 91, 45–50. [Google Scholar]
- Jones, D.S. Pharmaceutical Statistics; Pharmaceutical Press: London, UK, 2002. [Google Scholar]
- Zhu, Z.; Zhai, Y.; Zhang, N.; Leng, D.; Ding, P. The development of polycarbophil as a bioadhesive material in pharmacy. Asian J. Pharm. Sci. 2013, 8, 218–227. [Google Scholar] [CrossRef]
- De Souza Ferreira, S.B.; Moço, T.D.; Borghi-Pangoni, F.B.; Junqueira, M.V.; Bruschi, M.L. Rheological, mucoadhesive and textural properties of thermoresponsive polymer blends for biomedical applications. J. Mech. Behav. Biomed. Mater. 2015, 55, 164–178. [Google Scholar] [CrossRef] [PubMed]
- Bassi da Silva, J.; Khutoryanskiy, V.V.; Bruschi, M.L.; Cook, M.T. A mucosa-mimetic material for the mucoadhesion testing of thermogelling semi-solids. Int. J. Pharm. 2017, 528, 586–594. [Google Scholar] [CrossRef] [PubMed]
- Ich Topic Q2 (R1). Validation of Analytical Procedures: Text and methodology. Int. Conf. Harmon. 2005, pp. 1–17. Available online: http://www.ich.org/fileadmin/Public_Web_Site/ICH_Products/Guidelines/Quality/Q2_R1/Step4/Q2_R1__Guideline.pdf (accessed on 7 January 2018).
- Nair, A.B.; Kumria, R.; Harsha, S.; Attimarad, M.; Al-Dhubiab, B.E.; Alhaider, I.A. In vitro techniques to evaluate buccal films. J. Control. Release 2013, 166, 10–21. [Google Scholar] [CrossRef] [PubMed]
- Nep, E.I.; Conway, B.R. Grewia gum 2: Mucoadhesive properties of compacts and gels. Trop. J. Pharm. Res. 2011, 10, 393–401. [Google Scholar] [CrossRef][Green Version]
- Tang, X.; Wang, C. Study on the physical properties of bioadhesive polymers. Chin. Pharm. J. 2005, 40, 361–364. [Google Scholar]
- Carvalho, F.C.; Bruschi, M.L.; Evangelista, R.C.; Gremião, M.P.D. Mucoadhesive drug delivery systems. Braz. J. Pharm. Sci. 2010, 46, 1–18. [Google Scholar] [CrossRef]
- Deacon, M.P.; Davis, S.S.; White, R.J.; Nordman, H.; Carlstedt, I.; Errington, N.; Rowe, A.J.; Harding, S.E. Are chitosan–mucin interactions specific to different regions of the stomach? Velocity ultracentrifugation offers a clue. Carbohydr. Polym. 1999, 38, 235–238. [Google Scholar] [CrossRef]
- Leung, S.S.; Robinson, J.R. In the last decade, bioadhesive polymers/co- polymers have received considerable attention for controlled drug delivery. J. Control. Release 1988, 5, 223–231. [Google Scholar]
- Blanco-Fuente, H.; Vila-Dorrío, B.; Anguiano-Igea, S.; Otero-Espinar, F.J.; Blanco-Méndez, J. Tanned leather: A good model for determining hydrogels bioadhesion. Int. J. Pharm. 1996, 138, 103–112. [Google Scholar] [CrossRef]
- Lejoyeux, F.; Ponchel, G.; Duchene, D. Influence of some technological parameters on the bioadhesive characteristics of polyacrilic acid matrices. STP Pharma 1989, 5, 893–898. [Google Scholar]
- Haugstad, K.E.; Håti, A.G.; Nordgård, C.T.; Adl, P.S.; Maurstad, G.; Sletmoen, M.; Draget, K.I.; Dias, R.S.; Stokke, B.T. Direct determination of chitosan-mucin interactions using a single-molecule strategy: Comparison to alginate-mucin interactions. Polymers (Basel) 2015, 7, 161–185. [Google Scholar] [CrossRef]
- Madsen, F.; Eberth, K.; Smart, J.D. A rheological examination of the mucoadhesive/mucus interaction: The effect of mucoadhesive type and concentration. J. Control. Release 1998, 50, 167–178. [Google Scholar] [CrossRef]
- Callens, C.; Ceulemans, J.; Ludwig, A.; Foreman, P.; Remon, J.P. Rheological study on mucoadhesivity of some nasal powder formulations. Eur. J. Pharm. Biopharm. 2003, 55, 323–328. [Google Scholar] [CrossRef]
- Saiano, F.; Pitarresi, G.; Cavallaro, G.; Licciardi, M.; Giammona, G. Evaluation of mucoadhesive properties of α,β-poly(N-hydroxyethyl)-dl-aspartamide and α,β-poly(aspartylhydrazide) using ATR–FTIR spectroscopy. Polymer (Guildf) 2002, 43, 6281–6286. [Google Scholar] [CrossRef]
- Yang, P.; Chen, H.; Liu, Y.-W. Application of response surface methodology and desirability approach to investigate and optimize the jet pump in a thermoacoustic Stirling heat engine. Appl. Therm. Eng. 2017, 127, 1005–1014. [Google Scholar] [CrossRef]
- Jones, D.S.; Woolfson, A.D.; Brown, A.F. Textural, viscoelastic and mucoadhesive properties of pharmaceutical gels composed of cellulose polymers. Int. J. Pharm. 1997, 151, 223–233. [Google Scholar] [CrossRef]
- Khutoryanskiy, V.V. Advances in Mucoadhesion and Mucoadhesive Polymers. Macromol. Biosci. 2011, 11, 748–764. [Google Scholar] [CrossRef] [PubMed]
- Jones, D.S.; Laverty, T.P.; Morris, C.; Andrews, G.P. Statistical modelling of the rheological and mucoadhesive properties of aqueous poly(methylvinylether-co-maleic acid) networks: Redefining biomedical applications and the relationship between viscoelasticity and mucoadhesion. Colloids Surf. B. Biointerfaces 2016, 144, 125–134. [Google Scholar] [CrossRef] [PubMed]
- Andrews, G.P.; Jones, D.S. Rheological characterization of bioadhesive binary polymeric systems designed as platforms for drug delivery implants. Biomacromolecules 2006, 7, 899–906. [Google Scholar] [CrossRef] [PubMed]
- Hägerström, H. Polymer Gels as Pharmaceutical Dosage Forms: Rheological Performance and Physicochemical Interactions at the Gel-Mucus Interface for Formulations Intended for Mucosal Drug Delivery. Ph.D. Thesis, Faculty of Pharmacy, Uppsala University, Uppsala, Sweden, 2003. [Google Scholar]
- Illum, L.; Farraj, N.F.; Fisher, A.N.; Gill, I.; Miglietta, M.; Benedetti, L.M. Hyaluronic acid ester microspheres as a nasal delivery system for insulin. J. Control. Release 1994, 29, 133–141. [Google Scholar] [CrossRef]
- Lee, J.W.; Park, J.H.; Robinson, J.R. Bioadhesive dosage forms: The next generation. J. Pharm. Sci. 2000, 89, 850–866. [Google Scholar] [CrossRef]
- Jones, D.S.; Woolfson, A.D.; Djokic, J. Texture profile analysis of bioadhesive polymeric semisolids: Mechanical characterization and investigation of interactions between formulation components. J. Appl. Polym. Sci. 1996, 61, 2229–2234. [Google Scholar] [CrossRef]
- Baloglu, E.; Karavana, S.Y.; Senyigit, Z.A.; Guneri, T. Rheological and mechanical properties of poloxamer mixtures as a mucoadhesive gel base. Pharm. Dev. Technol. 2011, 16, 627–636. [Google Scholar] [CrossRef] [PubMed]
- Tugcu-Demiröz, F.; Acartürk, F.; Erdoǧan, D. Development of long-acting bioadhesive vaginal gels of oxybutynin: Formulation, in vitro and in vivo evaluations. Int. J. Pharm. 2013, 457, 25–39. [Google Scholar] [CrossRef] [PubMed]
- Gratieri, T.; Gelfuso, G.M.; Rocha, E.M.; Sarmento, V.H.; de Freitas, O.; Lopez, R.F.V. A poloxamer/chitosan in situ forming gel with prolonged retention time for ocular delivery. Eur. J. Pharm. Biopharm. 2010, 75, 186–193. [Google Scholar] [CrossRef] [PubMed]






| Standard Run | Independent Variables | |||
|---|---|---|---|---|
| X1 | X2 | X3 | X4 | |
| 1 | A | − | − | − |
| 2 | B | − | − | − |
| 3 | A | + | − | − |
| 4 | B | + | − | − |
| 5 | A | − | + | − |
| 6 | B | − | + | − |
| 7 | A | + | + | − |
| 8 | B | + | + | − |
| 9 | A | − | − | + |
| 10 | B | − | − | + |
| 11 | A | + | − | + |
| 12 | B | + | − | + |
| 13 | A | − | + | + |
| 14 | B | − | + | + |
| 15 | A | + | + | + |
| 16 | B | + | + | + |
| 17 | A | 0 | 0 | 0 |
| 18 | B | 0 | 0 | 0 |
| 19 | A | 0 | 0 | 0 |
| 20 | B | 0 | 0 | 0 |
| Factor | − | 0 | + | |
| X1 | Substrate | A: Mucin disk | B: Oral pig mucosal | |
| X2 | Force (N) | 0.03 | 0.065 | 0.10 |
| X3 | Speed (mm/s) | 1.00 | 5.50 | 10.0 |
| X4 | Time (s) | 30.0 | 75.0 | 120.0 |
| Systems | Polymer Amount (%, w/w) | Mucoadhesive Force (N) | Gelation Temperature (°C) | Interaction Parameter (Pa) |
|---|---|---|---|---|
| P407/C971P a | 20/0.20 | 0.352 ± 0.04 | 27.88 ± 0.06 | 1944.73 ± 381.93 |
| P407/C974P b | 15/0.25 | 0.231 ± 0.03 | 36.04 ± 0.06 | 2509.33 ± 215.85 |
| P407/PCB c | 15/0.15 | 0.237 ± 0.01 | 36.42 ± 0.02 | 1927.03 ± 93.85 |
| Experiment | Factors | Adhesive Force (N) | Work (N·mm) | |||
|---|---|---|---|---|---|---|
| Substrate | Applied Force (N) | Velocity (mm/s) | Time (s) | |||
| 1 | A | 0.03 | 1.00 | 30 | 0.133 | 0.131 |
| 2 | B | 0.03 | 1.00 | 30 | 0.121 | 0.081 |
| 3 | A | 0.10 | 1.00 | 30 | 0.189 | 0.829 |
| 4 | B | 0.10 | 1.00 | 30 | 0.128 | 0.110 |
| 5 | A | 0.03 | 10.0 | 30 | 0.169 | 0.313 |
| 6 | B | 0.03 | 10.0 | 30 | 0.255 | 0.110 |
| 7 | A | 0.10 | 10.0 | 30 | 0.329 | 0.927 |
| 8 | B | 0.10 | 10.0 | 30 | 0.223 | 0.405 |
| 9 | A | 0.03 | 1.00 | 120 | 0.138 | 0.259 |
| 10 | B | 0.03 | 1.00 | 120 | 0.120 | 0.055 |
| 11 | A | 0.10 | 1.00 | 120 | 0.365 | 0.740 |
| 12 | B | 0.10 | 1.00 | 120 | 0.110 | 0.083 |
| 13 | A | 0.03 | 10.0 | 120 | 0.200 | 0.469 |
| 14 | B | 0.03 | 10.0 | 120 | 0.115 | 0.245 |
| 15 | A | 0.10 | 10.0 | 120 | 1.247 | 1.033 |
| 16 | B | 0.10 | 10.0 | 120 | 0.303 | 0.383 |
| 17 (C) | A | 0.065 | 5.50 | 75 | 0.191 | 0.548 |
| 18 (C) | B | 0.065 | 5.50 | 75 | 0.157 | 0.125 |
| 19 (C) | A | 0.065 | 5.50 | 75 | 0.236 | 0.715 |
| 20 (C) | B | 0.065 | 5.50 | 75 | 0.169 | 0.242 |
| Formulation | k (Pa.s) of Polymeric System | k (Pa.s) of Mixture | Interaction Parameter (Pa.s) |
|---|---|---|---|
| P407/C 971P | 43,143.33 ± 470.78 | 227.70 ± 9.74 | −42,915.67 |
| P407/C974P | 139.40 ± 6.01 | 107.60 ± 2.84 | −31.83 |
| P407/PCB | 60.96 ± 3.31 | 97.63 ± 2.07 | 36.64 |
| Mucin solution | 0.033 ± 0.001 | ||
| Formulation | G′ (Pa) Polymeric System | G′ (Pa) Mixture | Interaction Parameter (Pa) |
|---|---|---|---|
| P407/C971P | 16,646.00 ± 612.97 | 15,368.17 ± 865.56 | −1305.68 |
| P407/C974P | 3246.00 ± 227.49 | 5528.83 ± 320.13 | 2254.99 |
| P407/PCB | 2660.00 ± 85.46 | 4826.50 ± 279.20 | 2138.65 |
| Mucin | 27.85 ± 2.74 |
| System | TPA Results | ||||
|---|---|---|---|---|---|
| Hardness (N) | Compressibility (N·mm) | Adhesiveness (N·mm) | Elasticity (mm) | Cohesiveness (Dimensionless) | |
| P407/C971P | 1.48 ± 0.04 | 6.74 ± 0.29 | 7.65 ± 0.45 | 1.00 ± 0.01 | 0.87 ± 0.01 |
| P407/C971P + mucin | 0.95 ± 0.01 | 4.06 ± 0.18 | 3.32 ± 0.19 | 1.00 ± 0.00 | 0.92 ± 0.01 |
| P407/C974P | 0.64 ± 0.03 | 2.99 ± 0.12 | 2.53 ± 0.12 | 1.00 ± 0.01 | 0.91 ± 0.01 |
| P407/C974P + mucin | 0.34 ± 0.00 | 1.48 ± 0.08 | 1.20 ± 0.05 | 1.00 ± 0.00 | 1.02 ± 0.01 |
| P407/PCB | 0.56 ± 0.02 | 2.66 ± 0.10 | 2.46 ± 0.06 | 1.00 ± 0.00 | 0.92 ± 0.01 |
| P407/PCB + mucin | 0.26 ± 0.01 | 1.14 ± 0.06 | 0.93 ± 0.05 | 1.00 ± 0.01 | 0.91 ± 0.02 |
© 2018 by the authors. Licensee MDPI, Basel, Switzerland. This article is an open access article distributed under the terms and conditions of the Creative Commons Attribution (CC BY) license (http://creativecommons.org/licenses/by/4.0/).
Share and Cite
Bassi da Silva, J.; Ferreira, S.B.d.S.; Reis, A.V.; Cook, M.T.; Bruschi, M.L. Assessing Mucoadhesion in Polymer Gels: The Effect of Method Type and Instrument Variables. Polymers 2018, 10, 254. https://doi.org/10.3390/polym10030254
Bassi da Silva J, Ferreira SBdS, Reis AV, Cook MT, Bruschi ML. Assessing Mucoadhesion in Polymer Gels: The Effect of Method Type and Instrument Variables. Polymers. 2018; 10(3):254. https://doi.org/10.3390/polym10030254
Chicago/Turabian StyleBassi da Silva, Jéssica, Sabrina Barbosa de Souza Ferreira, Adriano Valim Reis, Michael Thomas Cook, and Marcos Luciano Bruschi. 2018. "Assessing Mucoadhesion in Polymer Gels: The Effect of Method Type and Instrument Variables" Polymers 10, no. 3: 254. https://doi.org/10.3390/polym10030254
APA StyleBassi da Silva, J., Ferreira, S. B. d. S., Reis, A. V., Cook, M. T., & Bruschi, M. L. (2018). Assessing Mucoadhesion in Polymer Gels: The Effect of Method Type and Instrument Variables. Polymers, 10(3), 254. https://doi.org/10.3390/polym10030254

