Dynamics of Dislocations in Smectic A Liquid Crystals Doped with Nanoparticles
Abstract
1. Introduction
2. Theoretical Models
2.1. Intrinsic Mobility
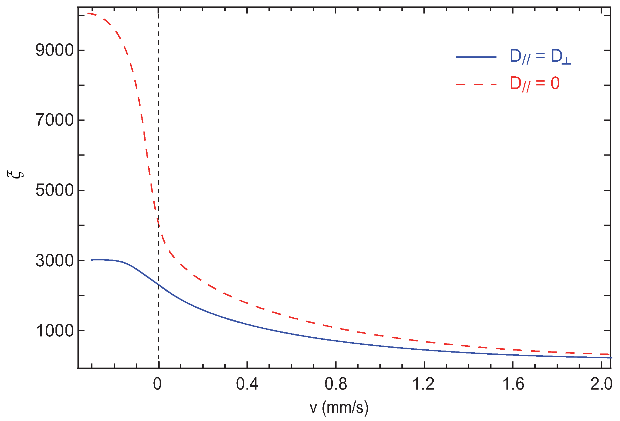
2.2. Mobility in the Presence of a Cottrell Cloud
3. Experiments
3.1. Mobility Measurement in Free-Standing Films
3.2. Mobility Measurement by Creep Test on Homeotropic Samples
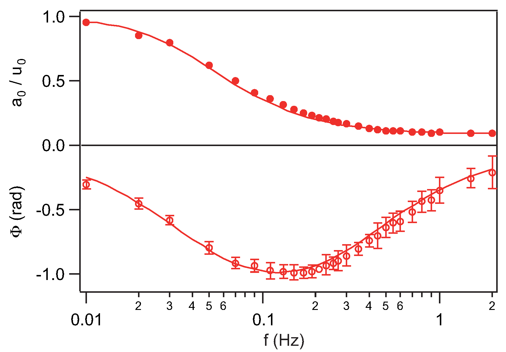
3.2.1. Piezoelectric Rheometer
3.2.2. Modeling the Behavior of a Homeotropic Sample
3.2.3. Dislocation Mobility in the Pure LC
3.2.4. Dislocation Mobility in the LC Doped with Nanoparticles
4. Conclusions and Outlooks
Acknowledgments
Conflicts of Interest
References
- Friedel, J. Dislocations; Pergamon Press: Oxford, UK, 1964. [Google Scholar]
- Nabarro, F.R.N. Theory of Crystal Dislocations; Dover: New York, NY, USA, 1987. [Google Scholar]
- Landau, L.; Lifshitz, E. Theory of Elasticity, Second Edition; Pergamon Press: New York, NY, USA, 1981. [Google Scholar]
- Kléman, M. Points, Lines and Walls: In Liquid Crystals, Magnetic Systems and Various Ordered Media; John Wiley & Sons Inc.: Hoboken, NJ, USA, 1982. [Google Scholar]
- Kléman, M. Defects in liquid crystals. Rep. Prog. Phys. 1989, 52, 555–654. [Google Scholar] [CrossRef]
- Kléman, M.; Friedel, J. Disclinations, dislocations, and continuous defects: A reappraisal. Rev. Mod. Phys. 2008, 80, 61–115. [Google Scholar] [CrossRef]
- De Gennes, P.G.; Prost, J. The Physics of Liquid Crystals; Pergamon Press: Oxford, UK, 1995. [Google Scholar]
- Oswald, P.; Pieranski, P. Nematic and Cholesteric Liquids Crystals: Concepts and Physical Properties Illustrated by Experiments; Taylor & Francis: Boca Raton, FL, USA, 2005. [Google Scholar]
- Oswald, P.; Pieranski, P. Smectic and Columnar Liquids Crystals: Concepts and Physical Properties Illustrated by Experiments; Taylor & Francis: Boca Raton, FL, USA, 2006. [Google Scholar]
- Oswald, P. Rheophysics The Deformation and Flow of Matter; Cambridge University Press: Cambridge, UK, 2009. [Google Scholar]
- Hirth, J.P.; Lothe, J. Theory of Dislocations, 2nd ed.; Clarendon Press: Oxford, UK, 1992. [Google Scholar]
- Kléman, M.; Williams, C. Interaction between parallel edge dislocation lines in a smectic A liquid crystal. J. Phys. Lett. (France) 1974, 35, L49–L51. [Google Scholar] [CrossRef]
- Kléman, M. Linear theory of dislocations in a smectic A. J. Phys. (France) 1974, 35, 595–600. [Google Scholar] [CrossRef]
- Holyst, R.; Oswald, P. Dislocations in uniaxial lamellar phases of liquid crystals, polymers and amphiphilic systems. Int. J. Mod. Phys. B 1995, 9, 1515–1573. [Google Scholar] [CrossRef]
- Géminard, J.C.; Laroche, C.; Oswald, P. Edge dislocation in a vertical smectic-A film: Line tension versus film thickness and Burgers vector. Phys. Rev. E 1998, 58, 5923–5925. [Google Scholar] [CrossRef]
- Brener, E.A.; Marchenko, V.I. Nonlinear theory of dislocations in smectic crystals: An exact solution. Phys. Rev. E 1999, 59, R4752–R4753. [Google Scholar] [CrossRef] [PubMed]
- Santangelo, C.D.; Kamien, R.D. Bogomol’nyi, Prasad, and Sommerfield Configurations in Smectics. Phys. Rev. Lett. 2003, 91, 045506. [Google Scholar] [CrossRef]
- Santangelo, C.D.; Kamien, R.D. Curvature and topology in smectic-A liquid crystals. Proc. R. Soc. A 2005, 461, 2911–2921. [Google Scholar] [CrossRef]
- De Gennes, P.G. Viscous flow in smectic A liquid crystals. Phys. Fluids 1974, 17, 1645–1654. [Google Scholar] [CrossRef]
- Dubois-Violette, E.; Guazzelli, E.; Prost, J. Dislocation motion in layered structures. Phil. Mag. 1983, 48, 727–747. [Google Scholar] [CrossRef]
- Martin, P.C.; Parodi, O.; Pershan, P.S. Unified Hydrodynamic Theory for Crystals, Liquid Crystals, and Normal Fluids. Phys. Rev. A 1972, 6, 2401–2420. [Google Scholar] [CrossRef]
- Oswald, P. Lien entre perméation et dislocations vis dans les phases lamellaires. C. R. Acad. Sci. Sér. II 1987, 304, 1043–1046. [Google Scholar]
- Denolf, K.; Van Roie, B.; Glorieux, C.; Thoen, J. Effect of Nonmesogenic Impurities on the Order of the Nematic to Smectic-A Phase Transition in Liquid Crystals. Phys. Rev. Lett. 2006, 97, 107801. [Google Scholar] [CrossRef] [PubMed]
- Çetinkaya, M.C.; Yildiz, S.; Özbek, H.; Losada-Pérez, P.; Leys, J.; Thoen, J. High-resolution birefringence investigation of octylcyanobiphenyl (8CB): An upper bound on the discontinuity at the smectic-A to nematic phase transition. Phys. Rev. E 2013, 88, 042502. [Google Scholar] [CrossRef] [PubMed]
- Brochard, F. Dynamique des fluctuations près d’une transition smectique A-nématique du 2e ordre. J. Phys. (France) 1973, 34, 411–422. [Google Scholar] [CrossRef]
- Milette, J.; Toader, V.; Reven, L.; Lennox, R.B. Tuning the miscibility of gold nanoparticles dispersed in liquid crystals via the thiol-for-DMAP reaction. J. Mater. Chem. 2011, 21, 9043–9050. [Google Scholar] [CrossRef]
- Milette, J.; Relaix, S.; Lavigne, C.; Toader, V.; Cowling, S.J.; Saez, I.M.; Lennox, R.B.; Goodby, J.W.; Reven, L. Reversible long-range patterning of gold nanoparticles by smectic liquid crystals. Soft Matter 2012, 8, 6593–6598. [Google Scholar] [CrossRef]
- Oswald, P.; Lejček, L. Drag of a Cottrell atmosphere by an edge dislocation in a smectic-A liquid crystal. Eur. Phys. J. E 2017, 40, 84. [Google Scholar] [CrossRef]
- Lejček, L. Point-like impurity-dislocation interactions in smectic A liquid crystals. Liq. Cryst. 1986, 1, 473–482. [Google Scholar] [CrossRef]
- Oswald, P.; Milette, J.; Relaix, S.; Reven, L.; Dequidt, A.; Lejček, L. Alloy hardening of a smectic A liquid crystal doped with gold nanoparticles. EPL 2013, 103, 46004. [Google Scholar] [CrossRef]
- Slavinec, M.; Kralj, S.; Žumer, S.; Sluckin, T.J. Surface depinning of smectic-A edge dislocations. Phys. Rev. E 2001, 63, 031705. [Google Scholar] [CrossRef] [PubMed]
- Ambrožič, M.; Kralj, S.; Žumer, S.; Svenšek, D. Annihilation of edge dislocations in smectic-A liquid crystals. Phys. Rev. E 2004, 70, 051704. [Google Scholar] [CrossRef] [PubMed]
- Ribotta, R.; Durand, G. Mechanical instabilities of smectic-A liquid crystals under dilative or compressive stresses. J. Phys. (France) 1977, 38, 179–204. [Google Scholar] [CrossRef]
- Clark, N.; Hurd, A.J. Elastic light scattering by smectic A focal conic defects. J. Phys. (France) 1982, 43, 1159–1165. [Google Scholar] [CrossRef][Green Version]
- Friedel, G. Mesomorphic states of matter. Ann. Phys. (Paris) 1922, 18, 273–474. [Google Scholar]
- Pershan, P.S. Structure of Liquid Crystal Phases; World Scientific: Singapore, 1988. [Google Scholar]
- De Jeu, W.H.; Ostrovskii, B.I.; Shalaginov, A.N. Structure and fluctuations of smectic membranes. Rev. Mod. Phys. 2003, 75, 181–235. [Google Scholar] [CrossRef]
- Stannarius, R.; Harth, K. Inclusions in freely suspended smectic films. In Liquid Crystals with Nano and Microparticles; Word Scientific: Singapore, 2016. [Google Scholar]
- Géminard, J.C.; Holyst, R.; Oswald, P. Meniscus and Dislocations in Free-Standing Films of Smectic-A Liquid Crystals. Phys. Rev. Lett. 1997, 78, 1924–1928. [Google Scholar] [CrossRef]
- Picano, F.; Holyst, R.; Oswald, P. Coupling between meniscus and smectic-A films: Circular and catenoid profiles, induced stress, and dislocation dynamics. Phys. Rev. E 2000, 62, 3747–3757. [Google Scholar] [CrossRef]
- Lejček, L.; Oswald, P. Influence of surface tension on the stability of edge dislocations in smectic A liquid crystals. J. Phys. II (France) 1991, 1, 931–937. [Google Scholar] [CrossRef]
- Picano, F.; Oswald, P.; Kats, E. Disjoining pressure and thinning transitions in smectic-A liquid crystal films. Phys. Rev. E 2001, 63, 021705. [Google Scholar] [CrossRef] [PubMed]
- Poniewierski, A.; Oswald, P.; Holyst, R. Contact Angle between Smectic Film and Its Meniscus. Langmuir 2002, 18, 1511–1517. [Google Scholar] [CrossRef]
- Jacquet, R.; Schneider, F. Dependence of film tension on the thickness of smectic films. Phys. Rev. E 2003, 67, 021707. [Google Scholar] [CrossRef] [PubMed]
- Dolganov, P.V.; Cluzeau, P.; Joly, G.; Dolganov, V.K.; Nguyen, H.T. Interaction of surfaces in smectic membranes and their instability near thinning transitions. Phys. Rev. E 2005, 72, 031713. [Google Scholar] [CrossRef] [PubMed]
- Oswald, P.; Pieranski, P.; Picano, F.; Holyst, R. When Boundaries Dominate: Dislocation Dynamics in Smectic Films. Phys. Rev. Lett. 2001, 88, 015503. [Google Scholar] [CrossRef] [PubMed]
- Caillier, F.; Oswald, P. Direct measurement of the permeability of the meniscus bordering a free-standing smectic-A film. Phys. Rev. E 2004, 70, 031704. [Google Scholar] [CrossRef]
- Dolganov, P.V.; Kats, E.I.; Joly, G.; Dolganov, V.K. Collapse of Islands in Freely Suspended Smectic Nanofilms. JETP Lett. 2017, 106, 229–233. [Google Scholar] [CrossRef]
- Meyer, R.B.; Stebler, B.; Lagerwall, S.T. Observation of edge dislocations in smectic liquid crystals. Phys. Rev. Lett. 1978, 41, 1393–1397. [Google Scholar] [CrossRef]
- Lagerwall, S.T.; Meyer, R.B.; Stebler, B. Direct observation of dislocations in smectics. Ann. Phys. (Paris) 1978, 3, 249–255. [Google Scholar] [CrossRef]
- Chan, W.K.; Webb, W.W. Observation of elementary edge dislocations in phospholipid multilayers and of their annealing as a determination of the permeation coefficient. J. Phys. (France) 1981, 42, 1007–1013. [Google Scholar] [CrossRef]
- Bartolino, R.; Durand, G. Plasticity in a Smectic-A Liquid Crystal. Phys. Rev. Lett. 1977, 39, 1346–1349. [Google Scholar] [CrossRef]
- Oswald, P.; Le Fur, D. Réalisation d’une cellule de déformation adaptée à l’étude des cristaux liquides smectiques. C. R. Acad. Sci. (Paris) Sér. II 1981, 297, 699. [Google Scholar]
- Oswald, P. Viscoelasticity of a homeotropic nematic slab. Phys. Rev. E 2005, 92, 062508. [Google Scholar] [CrossRef]
- Oswald, P.; Poy, G. Dislocations dynamics during the nonlinear creep of a homeotropic sample of smectic-A liquid crystal. Eur. Phys. J. E 2018, 41, 73. [Google Scholar] [CrossRef]
- Orsay Group on Liquid Crystals. On some flow properties of smectic A. J. Phys. Colloq. (France) 1975, 36, C1-305–C1-313. [Google Scholar]
- Bourdon, L.; Kléman, M.; Lejček, L.; Taupin, D. On static helical instabilities of screw dislocations in a SmA phase and on their consequence on plasticity. J. Phys. (France) 1981, 42, 261–268. [Google Scholar] [CrossRef][Green Version]
- Oswald, P.; Kléman, M. Experimental evidence for helical instability of screw dislocation lines in a smectic A phase. J. Phys. Lett. (France) 1981, 45, L319–L328. [Google Scholar] [CrossRef]
- Herke, R.A.; Clark, N.A.; Handschy, M.A. Dynamic behavior of oscillatory plastic flow in a smectic liquid crystal. Phys. Rev. E 1997, 56, 3028. [Google Scholar] [CrossRef]
- Ishikawa, K.; Uemera, T.; Takezoe, H.; Fukuda, A. Screw dislocations decorated by disclinations of C-directors observed in thin ferroelectric smectic liquid crystal cells. Jpn. J. Appl. phys. 1984, 23, L666–L669. [Google Scholar] [CrossRef]
- Kléman, M.; Williams, C.E.; Costello, J.M.; Gulik-Krzywicki, T. Defect structures in lyotropic smectic phases revealed by freeze-fracture electron microscopy. Philos. Mag. 1977, 35, 33–56. [Google Scholar] [CrossRef]
- Allain, M. Possible defect-mediated phase transition in a lyotropic liquid crystal. Electron microscopy observations. Europhys. Lett. 1986, 2, 597–602. [Google Scholar] [CrossRef]
- Zasadzinski, J.A.N. Direct observations of dislocations in thermotropic smectics using freeze-fracture replication. J. Phys. (France) 1990, 51, 747–756. [Google Scholar] [CrossRef]
- Lelidis, I.; Blanc, C.; Kléman, M. Optical and confocal microscopy observations of screw dislocations in smectic-A liquid crystals. Phys. Rev. E 2006, 74, 051710. [Google Scholar] [CrossRef]
- Repula, A.; Grelet, E. Elementary Edge and Screw Dislocations Visualized at the Lattice Periodicity Level in the Smectic Phase of Colloidal Rods. Phys. Rev. Lett. 2018, 121, 097801. [Google Scholar] [CrossRef]
- Lelidis, I.; Kléman, M.; Martin, J.L. Dislocation Mobility in Smectic Liquid Crystals. Mol. Cryst. Liq. Cryst. Sci. Technol. Sect. A 1999, 330, 457–464. [Google Scholar] [CrossRef]
- Lelidis, I.; Kléman, M.; Martin, J.L. Static and dynamic observations of dislocations and other defects in smectic Cano wedges. Mol. Cryst. Liq. Cryst. Sci. Technol. Sect. A 2000, 351, 187–196. [Google Scholar] [CrossRef]
- Blanc, C.; Zuodar, N.; Lelidis, I.; Kléman, M.; Martin, J.L. Defect dynamics in a smectic Grandjean-Cano wedge. Phys. Rev. E 2004, 69, 011705. [Google Scholar] [CrossRef]
- Kléman, M. Dislocations vis et surfaces minima dans les smectiques A. Phil. Mag. 1976, 34, 79–87. [Google Scholar] [CrossRef]
- PLeiner, H. Energetics of screw dislocations in smectic A liquid crystals. Liq. Cryst. 1988, 3, 249–258. [Google Scholar] [CrossRef]
- Tian-You, F.; Xian-Fang, L. The stress field and energy of screw dislocation in smectic A liquid crystals and the mistakes of the classical solution. Chin. Phys. J. 2014, 23, 046102. [Google Scholar]
- Żywociński, A.; Picano, F.; Oswald, P.; Géminard, J.C. Edge dislocation in a vertical smectic-A film: Line tension versus temperature and film thickness near the nematic phase. Phys. Rev. E 2000, 62, 8133. [Google Scholar] [CrossRef]
- Oswald, P. Compressive creep of a smectic-A phase. C. R. Acad. Sci. (Paris) Sér. II 1983, 296, 1385–1388. [Google Scholar]
- Bartolino, R.; Durand, G. Dislocation Effects on the Viscoelastic Properties of a Smectic A Liquid Crystal. Mol. Cryst. Liq. Cryst. 1977, 40, 117–132. [Google Scholar] [CrossRef]
- Nallet, F.; Prost, J. Edge dislocation arrays in swollen lamellar phases. Europhys. Lett. 1987, 4, 307–313. [Google Scholar] [CrossRef]
- Quilliet, C.; Fabre, P.; Veyssié, M. Penetration length of ferrosmectics. J. Phys. II (France) 1993, 3, 1371–1386. [Google Scholar] [CrossRef]
- Schneider, F. Measurement of the viscosity coefficient η3 in free-standing smectic films. Phys. Rev. E 2006, 74, 021709. [Google Scholar] [CrossRef]
- Oswald, P.; Kléman, M. Lubrication theory of smectic A phases. J. Phys. Lett. (France) 1982, 43, L411–L415. [Google Scholar] [CrossRef]
- Fischer, T.E.; Bhattacharya, S.; Sahler, R.; Lauer, J.L.; Ahn, Y.-J. Lubrication by a Smectic Liquid Crystal. Tribol. Trans. 1988, 31, 442–448. [Google Scholar] [CrossRef]
- Bartolino, R.; Durand, G. Elastic, nonlinear and plastic behaviour of the smectic A phase. Nuovo Cimento D 1984, 3, 903–913. [Google Scholar] [CrossRef]
- Oswald, P.; Allain, M. Influence of structural defects on the viscoelastic properties of a lamellar lyotropic phase. J. Phys. (France) 1985, 46, 831–838. [Google Scholar] [CrossRef]
- Cross, B.; Crassous, J. Rheological properties of a highly confined film of a lyotropic lamellar phase. Eur. Phys. J. E 2004, 14, 249–257. [Google Scholar] [CrossRef]
- Paz, L.; Di Meglio, J.M.; Dvolaitzky, M.; Ober, R.; Taupin, C. Highly Curved Defects in Lyotropic (Nonionic) Lamellar Phases. Origin and Role in Hydration Process. J. Phys. Chem. 1984, 88, 3415–3418. [Google Scholar] [CrossRef]
- Allain, M.; Di Meglio, J.M. Highly Curved Defects in Lyotropic Lamellar Phases. Mol. Cryst. Liq. Cryst. 1984, 124, 115–124. [Google Scholar] [CrossRef]
- Bagdassarian, C.K.; Roux, D.; Ben-Shaul, A.; Gelbart, W.M. Curvature defects in lamellar phases of amphiphile–water systems. J. Chem. Phys. 1991, 94, 3030–3041. [Google Scholar] [CrossRef]
- Constantin, D.; Oswald, P. Diffusion Coefficients in a Lamellar Lyotropic Phase: Evidence for Defects Connecting the Surfactant Structure. Phys. Rev. Lett. 2000, 85, 4297–4300. [Google Scholar] [CrossRef]
- Constantin, D. Topological evolution in the ordered and isotropic phases of a lyotropic system. In Phase Transitions. Applications to Liquid Crystals, Organic Electronic and Optoelectronic Fields, Editor: Vlad Popa-Nita; Research Signpost: Kerala, India, 2006. [Google Scholar]
- Ferreira, T.M.; Topgaard, D.; Samuli Ollila, O.H. Molecular Conformation and Bilayer Pores in a Nonionic Surfactant Lamellar Phase Studied with 1H–13C Solid-State NMR and Molecular Dynamics Simulations. Langmuir 2014, 30, 461–469. [Google Scholar] [CrossRef]

















© 2019 by the author. Licensee MDPI, Basel, Switzerland. This article is an open access article distributed under the terms and conditions of the Creative Commons Attribution (CC BY) license (http://creativecommons.org/licenses/by/4.0/).
Share and Cite
Oswald, P. Dynamics of Dislocations in Smectic A Liquid Crystals Doped with Nanoparticles. Crystals 2019, 9, 400. https://doi.org/10.3390/cryst9080400
Oswald P. Dynamics of Dislocations in Smectic A Liquid Crystals Doped with Nanoparticles. Crystals. 2019; 9(8):400. https://doi.org/10.3390/cryst9080400
Chicago/Turabian StyleOswald, Patrick. 2019. "Dynamics of Dislocations in Smectic A Liquid Crystals Doped with Nanoparticles" Crystals 9, no. 8: 400. https://doi.org/10.3390/cryst9080400
APA StyleOswald, P. (2019). Dynamics of Dislocations in Smectic A Liquid Crystals Doped with Nanoparticles. Crystals, 9(8), 400. https://doi.org/10.3390/cryst9080400
