Abstract
The Nuclear Quadrupole Resonance spectroscopy data of functionalized azoles (imidazoles, triazoles and corresponding benzazoles) are reviewed and critically discussed. The possibility of studying the tautomerism of azoles by the NQR method is considered.
Keywords:
35Cl NQR spectra; structure; tautomerism; imidazoles; triazoles; benzimidazoles; benzothiazole 1. Introduction
The studies of the structural peculiarities and tautomeric transformations of functionalized azoles and related heterocycles by multinuclear Nuclear Magnetic Resonance (NMR) Spectroscopy, Nuclear Quadrupole Resonance (NQR) spectroscopy and Electron Spin Resonance (ESR spectroscopy, quantum chemistry, and other physico-chemical techniques were performed by us over decades [1,2,3,4,5,6,7,8,9,10,11,12,13,14,15,16,17,18,19,20,21,22,23,24,25,26,27,28,29,30,31,32,33,34,35,36]. The outcomes of these studies are discussed in monography, reviews, and a dissertation [37,38,39,40,41,42,43,44,45,46]. The azole core occupies an important place in the chemistry of heterocyclic compounds. Their unique properties and unusual biological activity attract great attention from a wide circle of researchers. Azole derivatives are employed as pharmaceuticals, high power materials, radiosensitizers, ionic liquids, multi-faceted bases in peptide nucleic acids, coloring pigments, regulators of plant growth, pesticides and herbicides, plastifying agents, precursors of nanocomposites, and building blocks for organic chemistry [37,46,47,48,49]. Extensive employment of azoles necessitates a deeper understanding of the features of their electron structure, spectral characteristics, and tautomeric transformations. Tautomerism of azoles is one of the most appealing issues in theoretical investigations of their reactivity and electronic properties. The reasonable interpretation of the chemical behavior and biological activity of these heterocycles is improbable without determination of tautomeric forms and the factors influencing the relative stability. The prototropic exchange in the azoles in the solution occurs rather quickly on the NMR time scale, therefore the change in the temperature of the solution does not cause changes in the spectra. As a rule, time-averaged signals appear in the NMR spectra. Therefore, the study of azoles in the solid state is necessary for understanding the tautomeric processes.
2. The Structure and Tautomerism of Substituted Azoles
2.1. Chlorinated Five-Membered Azoles
Possible chlorotropic rearrangements in 1,2,3-triazoles and benzotriazoles were analyzed [50], since it was disclosed that chlorine exchange occurred in 1-chloro-4,5-diphenyl-1,2,3-triazole [51]. The intensive subsequent NMR [46,50], and NQR [46], studies evidenced that the compound turned out to be symmetrical 2-chloro-4,5-diphenyl-1,2,3-triazole5,6-dichloro-4,7-dimethylbenzotriazole. Some examples of chlorotropic transformations in other azoles are also known [52,53]. The chlorotropic exchange in 1-chlorobenzimidazole revealed by NMR spectroscopy is due to the rapid intermolecular transfer of a chlorine atom between 1-chlorobenzimidazole and benzimidazole in a CCl4/CH3OH/K2CO3 medium [52,53]. A similar chlorotropic rearrangement was observed in the equilibrium exchange process between 1-chloroindole and 3-chloro-3H-indole, i.e., the fast intermolecular transformations of 1-chloroindole to 3-chloroindole in the related media were detected [53]. The base-promoted intermolecular mechanism rationalizes chlorotropic processes in N-chlorosubstituted azoles. NQR spectroscopy data are missing.
X-ray single-crystal analysis of 1,2,4-triazole (Scheme 1) have revealed a crystalline state of the asymmetric 1H(2H)-tautomer (A, C) [54,55]. Quantum-chemical (ab initio) calculations of 1,2,4-triazole tautomers suggest the prevailing of 1H(2H)-1,2,4-triazole in gas phase as compared to 4H-1,2,4-tautomer by ~7 kcal/mol [56,57,58,59], that agrees with experimental data [60,61].
Scheme 1.
The possible tautomeric forms of 1,2,4-triazole.
In addition, 1H-form [62,63,64,65] is favorable in a solution, and the alkylation of 1,2,4-triazole affords two isomers: 1-alkyl- and 4-alkyl-1,2,4-triazole in a ratio of ~10:1 [66]. A low content of 2H-1,2,4-triazole (~5%) can be contained in a strong polar solvent [60]. It is not a surprise that 3-nitro-1-nitromethyl-1H-1,2,4-triazole is presented as 1H-form in the solid state [67].
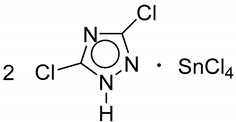
We studied the 3,5-dichloro-1,2,4-triazole (1) by 35Cl NQR spectroscopy and showed that it also exists as the 1H-tautomer (Scheme 2) (Table 1) [46,68,69].
Scheme 2.
The possible tautomers of 3,5-dicloro-1,2,4-triazole.
Table 1.
The 35Cl NQR frequencies at 77 K (ν, MHz) and signal-to noise ratio (s/n) in the spectra of chloro-containing 1,2,4-triazoles (1–6) and imidazoles (7–12).
The 35Cl NQR spectral data of a polycrystalline sample of 3,5-dichloro-l,2,4-triazole (1) differs insignificantly in the signal intensity ratios from those reported previously (Table 1) [70]. The 35Cl NQR spectrum of 1 also differs from that expected from the single crystal X-Ray analysis (ambient temperature) [71]. These data assume that compound 1 could be a 1-H tautomer (A). Establishing the structure of the compounds using nuclear quadrupole spectroscopy 35Cl and the assignment of signals in the experimental spectra without attracting quantum chemical calculations in many cases quite is difficult.
The C(3)-C1(3) and C(5)-C1(5) bond lengths are slightly different [72]. So, it can be anticipated that the spectrum would contain a doublet or two sets of signals. Nevertheless, the real spectrum shows four NQR resonance signals. Two extremal signals display splitting, Δν ~ 1.6 MHz, while the two other ones are detected in the center of this quadruplet. The distinction of the experimental and the expected spectra can be caused by a phase transition and, hence, different crystalline phases for monocrystalline and polycrystalline samples, as well as the existence of a mixture of tautomers in polycrystalline samples.
Commonly, analogous splitting of signals is detected in the spectrum of 1-methyl-3,5-dichloro-1,2,4-triazole (2). This cannot be rationalized by the formation of a mixture of two tautomers. The signals of triazole 2 are downfield shifted as compared to those of 1. This relates qualitatively to a ratio of the inductive constants of the CH3 and H substituents. According to ab initio calculations the 1-H tautomer 1 is a little bit stable (by 3.1 kcal/mol) compared to the 4-H tautomer [46].
Thus, on the basis of multiple signals in the 35Cl NQR spectrum, slightly different from the expected from X-ray data, it has been found that 3,5-dichloro-1,2,4-triazole (1) is present as 1H-tautomer with an uncommon phase composition. Later Elguero with co-authors [72] has shown that in crystal, this triazole is present as trimer with intermolecular hydrogen bonds N(1)-H…N(2).
The “pyridinic” nitrogen in the ClCN moiety causes the decrease of the NQR frequency of the chlorine atom as compared with the “pyrrolic” nitrogen [68,73]. This is supported by experimental and calculated frequencies. This regularity should also be observed in 3,5-dichloro-l,2,4-triazole derivatives.
The complexation of 1 with SnCl4 and protonation augment the 35Cl NQR frequency (Table 1). Here, the electron-withdrawing properties of the triazole cycle enhance, and the negative charge on chlorine atoms reduces simultaneously. The spectral characteristics assume a complex formation and protonation with participation of the N(4) atom. When the N(2) atom is involved in the coordination, a singlet or slightly split signal are anticipated. The calculated frequency splitting of a 4-H cation agrees well the experimental data. The calculations show that this cation is more stable than the 2-H isomer [68]. The augmentation of the 35Cl NQR frequency on going from a neutral molecule to a cation is ~2.6 MHz for 1 and 2.2 MHz for 11. The transition from a neutral state to an anion includes the frequency lowering to 2.6 and 2.0 MHz for 1 and 11, respectively. The value of the frequency change in going from the anion to the cation is greater for the triazole cycle than for the imidazole cycle. Asymmetry in the alteration of the chlorine electronic density is manifested for two heterocycles, if these compounds are transformed into an ionic form. The generation of a cation induces a higher rearrangement of the chlorine electron density than that which is observed upon transition to the anion. The calculations [68] predict another situation because in the anion the negative charge is localized only in the cycle and on two chlorine atoms. In the cation, a part of the positive charge is transferred by hydrogen atoms and, therefore, the chlorine atoms are not “sensitive” enough to the alterations in the charge state. The discrepancy between the experimental and calculated data is probably owing to the electron deficiency of the rings.
In going to the cation this ability enhances notably, which increases the Cl frequency. Here, one should bear in mind that in going from the neutral state to the cation the degree of p-π- conjugation also augments and this, in turn, lowers the NQR frequency.
For example, the 1H-tautomer of 3-nitro-1,2,4-triazole and its 5-substituted is the most stable both in gas phase and solution [74,75,76,77,78,79,80]. Here the “labile” hydrogen relates to the heteroatom, the most distant from the nitro moiety. The labile proton in 5-amino-1,2,4-triazole is close to the nitrogen atom adjacent to the amino group (X-ray data) [81,82], i.e., the 5-amino-1-hydrogen-1,2,4-triazole structure is formed.
2.2. Chloro-Containing Benzazoles
We studied 35Cl NQR spectra at 77 K of the chloro-containing benzimidazole derivatives (13–18) (Table 2) [46,83].
Table 2.
The 35Cl NQR frequencies at 77 K (ν, MHz) and signal-to noise ratio (s/n) in the NQR spectra of chloro-containing benzimidazoles and benzothiazole (13–18).
Calculations of the 2-trichloromethylbenzimidazole molecule have been carried out for three possible orientations of the trichloromethyl group relative to the benzimidazole ring plane (Scheme 3, conformation A, B, C) [38,46,83].
Scheme 3.
Conformations of the trichloromethyl group in benzimidazole cycle plane.
If the situation is realized when the dihedral angle φ = 0° (conformation A), then in the 35Cl NQR spectrum should expect one low frequency signal and two high-frequency signals (possibly only one, but double intensity). For conformations with φ = 180° (conformation C) calculations, as in the classic Towns–Daley approximation, and with using the modified Equation (1) show that there should be one signal in the spectrum high frequency and two low frequency signals (or one double intensity signal). In the case of perpendicular orientation of one chlorine atoms to the cycle plane (conformer B) three signals should be recorded.
The modification of the Townes–Dailey equation does not account for the effect of the different diffusivity of the pi-orbital on gradient of the electric field (Equation (1)) [68,84].
where ν is the calculated NQR frequency, k is the empirical constant, Pxx, Pyy and Pzz are the population of the corresponding р-orbital of the indicator atom, and ξz is the exponent index of the corresponding pi-orbital of the Slater type.
Thus, the 35Cl NQR experimental spectrum of 2-trichloromethyl-benzimidazole (13), consisting of six signals (Table 2), can be explained by the presence in the crystal unit cell of two molecules, having a conformation close to B.
The 35Cl NQR spectral data of 2-trichloromethyl-5(6)-nitrobenzimidazole (14) and the АМ1 and РМ3 calculation results of its tautomers show that the 5-nitro tautomer is more favorable than 6-nitro tautomer (Scheme 4) [38,46,68,85].
Scheme 4.
Tautomers of 2-trichloromethyl-5(6)-nitrobenzimidazole.
The introduction of the nitro group into 2-trichloromethylbenzimidazole increases the 35Cl NQR average frequency owing to the electron-withdrawing effect of the nitro group despite its distant location from the indicator atom. The presence of two 35Cl signals, assigned to three chlorine atoms, with an intensity ratio of 1:2 (40.574 and 39.724 MHz) in the NQR spectrum of this compound evidences that its existence in the view of the conformer A or C where two chlorine atoms are located over and under the plane of the benzimidazole ring, and the third chlorine atom is placed in the ring plane. The data of the quantum-chemical calculations demonstrate a preference of conformer C, while H-bonding stabilizes the conformer A (Scheme 3) [83,85]. The enthalpy of the conformers A and C of 2-trichloromethyl-5(6)-nitrobenzimidazole 14 calculated by AM1 and PM3 methods and the 35Cl NQR frequencies computed from the Townes–Dailey equation (TD) [86], and the modified Townes–Dailey Equation (1) [68,84], have been studied (Table 3) [83,85].
Table 3.
The formation heats (H, kcal/mol) of the conformers A and C of 2-trichloromethyl-5(6)-nitrobenzimidazole and 35Cl NQR frequencies (v, MHz), obtained from Townes–Dailey (TD) and modified Townes–Dailey (MTD) equations [38,46,68].
The analyses of these, others, and our data [84,87,88,89,90,91] shows that usage of the modified Townes–Dailey equation is more preferable then Townes–Dailey equation for the elucidation of structure and assignment of signals in the 35Cl NQR spectra of organochlorine compounds.
The average frequency of the 35Cl NQR signals of compound 14 (Table 2) is higher than compound 13, that can be rationalized by the electron-withdrawing influence of the nitro group, despite its being removed from the indicator atom. The reducing of the resonance frequency of the 35Cl NQR signals of compounds 15 and 16 as compared to 13 is apparently due to a decrease in the number of chlorine atoms in the substituent in position 2 of the benzimidazole cycle. The protonation of the molecule 13 leads to the formation of cation 17 (benzimidazolium perchlorate), and is accompanied by an augmentation of the 35C1 NQR frequency (Table 2). A slight splitting in the NQR spectrum of compound 15 excludes the orientation of one of the chlorine atoms in the plane of the benzimidazole ring (i.e., the conformations of similar A and C). Otherwise, there should be a substantial nonequivalence of these chlorine atoms, similar to the trichloromethyl derivative 13 and 14.
Prototropic exchange in 2-chloro-5(6)-methoxybenzimidazole in THF at 173 K is decelerated and two tautomers are separately detected (Scheme 5) [92,93].
Scheme 5.
Tautomers of 2-chloro-5(6)-methoxybenzimidazole.
Forty percent of 5-methoxy and 60% of 6-methoxy tautomer are observed, which corresponds to an equilibrium constant of 0.67. Unfortunately, the NQR spectrum of this compound could not be obtained.
3. Conclusions
Tautomeric transformations, structural peculiarities and distribution of electron in tautomeric and non-tautomeric imidazole derivatives (2-methyl-5-nitroimidazoles, metronidazole) [94,95], 5-substituted tetrazoles [96], 1,3,4-thiadiazole derivatives [97], indazoles [98], benzimidazoles [99], and other nitrogen-containing compounds [100,101,102,103], were investigated by NMR–NQR double resonance and quantum chemical methods. The asymmetry parameter in derivatives of 5-nitroimidazoles is reduced with augmentation of the substituent size. The insertion of the substituent in position 1 of the imidazole cycle redistributes p-electron density and its delocalization from the nitrogen atom –N (N-3) to the nitrogen NH (N-1). Even very weak substituent effects could substantially alter the change the electron density distribution in imidazoles [94,95]. Unfortunately, authors [94,95] gave a wrong name of imidazoles (2-nitro-5-methylimidazoles), which are indeed 2-methyl-5-nitroimidazoles. As mentioned above, the numbering of azoles starts from the NH nitrogen atom (or N-organyl) to other heteroatoms. The π–electron density and N-1 bond population, calculated by the Townes–Dailey approach, described by Dr. Lucken [86] and Dr. Dolgushin [68,83,84,87,88,89,90,91], enhances with lengthening of the substituent in the position 1 (N-1) [94,95]. The data of NMR–NQR study and quantum-chemical investigations of thermodynamic stability of the tautomeric forms of indazole show that the 1H form is more highly stable (21.4 kJ mol−1) than the 2H form [98].
Thus, NQR spectroscopy is crucial for the investigation of the tautomerism of functional heterocyclic compounds. In addition, NQR spectroscopy is an excellent tool for studying the structure of chlorine derivatives of heteroatomic and heterocyclic compounds.
This review is dedicated to the memory of Dr. G.V. Dolgushin, who for many years headed the research of organic and elementoorganic compounds using nuclear quadrupole resonance spectroscopy.
Conflicts of Interest
The authors declare no conflict of interest.
References
- Stefaniak, L.; Kamienski, B.; Webb, G.A.; Larina, L.I.; Lopyrev, V.A.; Voronkov, M.G. Investigation of benzimidazoles. VII. A 13C and 15N NMR study of some nitrobenzimidazolones. Bull. Pol. Acad. Sci. Chem. 1991, 39, 317–319. [Google Scholar]
- Starikova, O.V.; Dolgushin, G.V.; Larina, L.I.; Komarova, T.N.; Lopyrev, V.A. Synthesis of new stable carbenes from the corresponding 1,3-dialkylimidazolium and benzimidazolium salts. Arkivoc 2003, 13, 119–124. [Google Scholar]
- Starikova, V.V.; Dolgushin, G.V.; Larina, L.I.; Ushakov, P.E.; Komarova, T.N.; Lopyrev, V.A. Synthesis of 1,3-dialkylimidazolium and 1,3-dialkylbenz-imidazolium salts. Russ. J. Org. Chem. 2003, 39, 1467–1470. [Google Scholar] [CrossRef]
- Titova, I.A.; Vakulskaya, T.I.; Larina, L.I.; Mizandrontsev, M.I.; Volkov, V.A.; Dolgushin, G.V.; Lopyrev, V.A. Vicarious nucleophilic C-amination of nitrobenzene and 5- and 6-nitro-1-methylbenzimidazoles. Russ. J. Org. Chem. 2005, 41, 1306–1315. [Google Scholar] [CrossRef]
- Komarova, T.N.; Larina, L.I.; Abramova, E.V.; Dolgushin, G.V. Synthesis and structure of silylsubstitued imidazol-2-ylidenes and their precursors. Russ. J. Gen. Chem. 2007, 77, 1089–1092. [Google Scholar] [CrossRef]
- Yaroshenko, T.I.; Nakhmanovich, A.S.; Larina, L.I.; Elokhina, V.N.; Amosova, S.V. Interaction of benzimidazole-2-thione with propargyl bromide and 1,3-dibromopropyne. Chem. Heterocycl. Chem. 2008, 44, 1129–1134. [Google Scholar] [CrossRef]
- Vakulskaya, T.I.; Larina, L.I.; Protsuk, N.I.; Lopyrev, V.A. Tautomerism of 3-nitro-1,2,4-triazole-5-one radical anions. Magn. Reson. Chem. 2009, 47, 716–719. [Google Scholar] [CrossRef]
- Larina, L.I.; Rozinov, V.G.; Dmitrichenko, M.Y.; Eskova, L.A. NMR investigation of chlorophosphorylation products of N-vinylazoles. Magn. Reson. Chem. 2009, 47, 149–157. [Google Scholar] [CrossRef]
- Larina, L.I.; Milata, V. 1H, 13C and 15N NMR spectroscopy and tautomerism of nitrobenzotriazoles. Magn. Reson. Chem. 2009, 47, 142–148. [Google Scholar] [CrossRef]
- Myachina, G.F.; Ermakova, T.G.; Kuznetsova, N.P.; Sultangareev, R.G.; Larina, L.I.; Klyba, L.V.; Suchanov, G.T.; Trofimov, B.A. Optimization of the synthesis of 2-phenyl-1,2,3-triazole. Chem. Heterocycl. Compd. 2010, 46, 79–81. [Google Scholar] [CrossRef]
- Larina, L.I.; Rozinov, V.G.; Rudyakova, E.V.; Savosik, V.A.; Levkovskaya, G.G.; Dmitrichenko, M.Y.; Bidusenko, I.A. Reaction of phosphorus pentachloride with N-vinylimidazole and N-vinylbenzimidazole. Russ. J. Gen. Chem. 2010, 80, 374–375. [Google Scholar] [CrossRef]
- Bella, M.; Milata, V.; Larina, L.I. 2-Amino-x-nitrobenzimidazoles as precursors of food borne carcinogens: A new approach to IQ synthesis. J. Heterocycl. Chem. 2012, 49, 293–296. [Google Scholar] [CrossRef]
- Yarosh, N.O.; Zhilitskaya, L.V.; Shagun, L.G.; Dorofeev, I.A.; Larina, L.I.; Voronkov, M.G. Alkylation of 2-methylimidazole with iodomethyl ketones of the aliphatic, aromatic, and heteroaromatic series. Russ. J. Org. Chem. 2013, 49, 475–477. [Google Scholar] [CrossRef]
- Shagun, L.G.; Dorofeev, I.A.; Yarosh, N.O.; Zhilitskaya, L.V.; Larina, L.I.; Voronkov, M.G. Alkylation of C- and N-aminotriazoles with α-iodoketones. Russ. J. Org. Chem. 2013, 49, 1676–1679. [Google Scholar] [CrossRef]
- Voronkov, M.G.; Yarosh, N.O.; Zhilitskaya, L.V.; Shagun, L.G.; Dorofeev, I.A.; Larina, L.I. Ketoalkylation of 2,4-dihydro-3H-1,2,4-triazol-3-one in dimethylsulfoxide. Russ. J. Gen. Chem. 2013, 83, 2340–2342. [Google Scholar] [CrossRef]
- Voronkov, M.G.; Shagun, L.G.; Dorofeev, I.A.; Zhilitskaya, L.V.; Yarosh, N.O.; Larina, L.I. Unusual reaction of 3-amino-1,2,4-triazole with 1,3-diiodpropan-2-one. Russ. Chem. Bull. 2014, 63, 2554–2556. [Google Scholar]
- Shagun, L.G.; Dorofeev, I.A.; Klyba, L.V.; Larina, L.I.; Yarosh, N.O.; Zhilitskaya, L.V.; Sanzheeva, E.R. Synthesis of the first organylcyclosiloxane containing a benzimidazole fragment in the cycle. Russ. J. Org. Chem. 2014, 50, 1377–1379. [Google Scholar] [CrossRef]
- Medvedeva, A.S.; Demina, M.M.; Konkova, T.V.; Wu, C.Z.; Larina, L.I. Synthesis of 4-triaklylsilyl(germyl)-1H-1,2,3-triazolcarbaldehyde oximes. Chem. Heterocycl. Compd. 2014, 50, 967–971. [Google Scholar] [CrossRef]
- Popov, A.V.; Rudyakova, E.V.; Larina, L.I.; Kobelevskaya, V.A.; Levkovskaya, G.G. Ratio of 1,3- and 1,5-dialkyl-substituted pyrazoles obtained from chlorovinyl alkyl ketones and alkylhydrazines, 3(5)-pyrazoles and alkyl bromides. Russ. J. Org. Chem. 2014, 50, 1650–1662. [Google Scholar] [CrossRef]
- Shagun, L.G.; Dorofeev, I.A.; Zhilitskaya, L.V.; Yarosh, N.O.; Larina, L.I. Synthesis of the first siloxane derivatives of triazoles. Chem. Heterocycl. Compd. 2014, 50, 1332–1337. [Google Scholar] [CrossRef]
- Shagun, L.G.; Dorofeev, I.A.; Zhilitskaya, L.V.; Larina, L.I.; Yarosh, N.O. One-pot synthesis of disulfide-tethered ionic liquids by the reaction between 4H-1,2,4-triazole-3-thiol and α-iodoketones. Mendeleev Commun. 2015, 25, 334–335. [Google Scholar] [CrossRef]
- Shagun, L.G.; Dorofeev, I.A.; Zhilitskaya, L.V.; Yarosh, N.O.; Larina, L.I. Unusual reaction of triazole derivatives with 1-(iodomethyl)-1,1,3,3,3-pentamethyldisiloxane. Russ. Chem. Bull. 2015, 64, 2261–2264. (In Russian) [Google Scholar] [CrossRef]
- Zhilitskaya, L.V.; Yarosh, N.O.; Shagun, L.G.; Dorofeev, I.A.; Larina, L.I. Alkylation of imidazole and benzimidazole derivatives with 1-(iodomethyl)-1,1,3,3,3-pentamethyldisiloxane—A new method for the preparation of organocyclosiloxane iodides. Chem. Heterocycl. Compd. 2015, 51, 381–384. [Google Scholar] [CrossRef]
- Annenkov, V.М.; Palshin, V.A.; Verkhozina, O.N.; Larina, L.I.; Danilivtseva, E.N. Composite nanoparticles: A new way to siliceous materials and a model of biosilica synthesis. Mater. Chem. Phys. 2015, 165, 227–234. [Google Scholar] [CrossRef]
- Yarosh, N.O.; Zhilitskaya, L.V.; Shagun, L.G.; Larina, L.I.; Dorofeev, I.A. The synthesis of the first acetylenic silyl derivatives of 2-methylimidazole and benzimisazole. Russ. J. Gen. Chem. 2015, 85, 2304–2308. [Google Scholar] [CrossRef]
- Yarosh, N.O.; Zhilitskaya, L.V.; Shagun, L.G.; Dorofeev, I.A.; Larina, L.I.; Klyba, L.V. Solvent- and base-free synthesis of 2-methylimidazolium 1,3-bis(silylalkanes) salts. Mendeleev Commun. 2016, 26, 426–428. [Google Scholar] [CrossRef]
- Medvedeva, A.S.; Demina, M.M.; Vu, T.D.; Andreev, M.V.; Shaglaeva, N.S.; Larina, L.I. β-Cyclodextrin-catalyzed three-component synthesis of 4,5-disubstituted 1,2,3-(NH)-triazoles from propynals, trimethylsilyl azide and malononitrile in water. Mendeleev Commun. 2016, 26, 326–328. [Google Scholar] [CrossRef]
- Yarosh, N.O.; Zhilitskaya, L.V.; Shagun, L.G.; Dorofeev, I.A.; Larina, L.I.; Klyba, L.V. Interaction of benzimidazole and benzotriazole with iodomethyl(-4-[iodomethyl(dimethyl)sylil]butyl)-dimethylsilane. Russ. J. Org. Chem. 2016, 52, 1229–1232. (In Russian) [Google Scholar] [CrossRef]
- Vchislo, N.V.; Verochkina, E.A.; Larina, L.I.; Vashchenko, A.V.; Chuvashev, Y.A. The reaction of 2-alkenals with o-phenylenediamine: A route to benzimidazoles and quinoxalines. Mendeleev Commun. 2017, 27, 166–168. [Google Scholar] [CrossRef]
- Popov, A.V.; Kobelevskaya, V.A.; Larina, L.I.; Levkovskaya, G.G. Synthesis of 3-(5-chloropyrazol-3-yl)propenals, basic precursors of new pyrazole derivatives. Mendeleev Commun. 2017, 27, 178–183. [Google Scholar] [CrossRef]
- Andreev, M.V.; Medvedeva, A.S.; Larina, L.I.; Demina, M.M. Synthesis of 5-aminoisoxazoles from 3-trimethylsilyl-2-propynamides. Mendeleev Commun. 2017, 27, 175–177. [Google Scholar] [CrossRef]
- Shagun, L.G.; Dorofeev, I.A.; Zhilitskaya, L.V.; Yarosh, N.O.; Larina, L.I. Synthesis of annelated heterocyclic systems based on 2-mercaptoimidazoline and α-iodoketones. Chem. Heterocycl. Compd. 2017, 53, 920–923. [Google Scholar] [CrossRef]
- Zhilitskaya, L.V.; Yarosh, N.O.; Shagun, L.G.; Dorofeev, I.A.; Larina, L.I. Siloxane derivatives of 2-mercaptobenzothiazole. Mendeleev Commun. 2017, 27, 352–355. [Google Scholar] [CrossRef]
- Tikhonov, N.I.; Khutsishvili, S.S.; Larina, L.I.; Pozdnyakov, A.S.; Emelyanov, A.I.; Prozorova, G.F.; Vashchenko, A.V.; Vakul’skaya, T.I. Silver polymer complexes as precursors of nanocomposites based on polymers of 1-vinyl-1,2,4-triazole. J. Mol. Struct. 2019, 1180, 272–279. [Google Scholar] [CrossRef]
- Popov, A.V.; Kobelevskaya, V.A.; Larina, L.I.; Rozentsveig, I.B. Synthesis of poly-functionalized pyrazoles under Vilsmeier-Haack reaction conditions. ARKIVOC 2019, 2017. [Google Scholar] [CrossRef]
- Shagun, L.G.; Dorofeev, I.A.; Zhilitskaya, L.V.; Yarosh, N.O.; Larina, L.I. Synthesis of triiodides of imidazoles and benzimidazoles. Russ. J. Org. Chem. 2019, 55, 1229–1232. (In Russian) [Google Scholar]
- Larina, L.I.; Lopyrev, V.A. Nitroazoles: Synthesis, Structure and Applications; Springer: New York, NY, USA, 2009; 446p. [Google Scholar]
- Larina, L.I. Tautomerism and Structure of Azoles: Nuclear Magnetic Resonance Spectroscopy. Adv. Heterocycl. Chem. 2018, 124, 233–321. [Google Scholar]
- Larina, L.I.; Lopyrev, V.A.; Voronkov, M.G. Methods of nitroazoles synthesis. Russ. J. Org. Chem. 1994, 30, 1141–1179. [Google Scholar]
- Lopyrev, V.A.; Larina, L.I.; Voronkov, M.G. Nitration of Azoles. Rev. Heteroatom Chem. 1994, 11, 27–64. [Google Scholar]
- Larina, L.I.; Lopyrev, V.A. Synthesis of nitrobenzazoles. Part 1. In Targets in Heterocyclic Systems—Chemistry and Properties; Attanasi, O.A., Spinelli, D., Eds.; Italian Society Chemistry: Rome, Italy, 2005; Volume 9, pp. 327–365. [Google Scholar]
- Larina, L.I.; Titova, I.A.; Lopyrev, V.A. Synthesis of nitrobenzazoles. Part 2. In Targets in Heterocyclic Systems—Chemistry and Properties; Attanasi, O.A., Spinelli, D., Eds.; Italian Society Chemistry: Rome, Italy, 2006; Volume 10, pp. 321–359. [Google Scholar]
- Larina, L.I.; Lopyrev, V.A. Nuclear Magnetic Resonance of Nitroazoles. In Topics in Heterocyclic Systems—Synthesis, Reactions and Properties; Attanasi, O.A., Spinelli, D., Eds.; Research Signpost: Trivandrum, India, 1996; Volume 1, pp. 187–237. [Google Scholar]
- Larina, L.I.; Lopyrev, V.A.; Klyba, L.V.; Bochkarev, V.N. Mass Spectrometry of Nitroazoles. In Targets in Heterocyclic Systems. Chemistry and Properties; Attanasi, O.A., Spinelli, D., Eds.; Italian Society Chemistry: Rome, Italy, 1998; Volume 2, pp. 443–470. [Google Scholar]
- Lopyrev, V.A.; Larina, L.I.; Vakulskaya, T.I. Quantitative estimation of electronic substituent effects in five-membered, nitrogen-containing aromatic heterocycles. Russ. Chem. Rev. 1986, 55, 411–425. [Google Scholar] [CrossRef]
- Larina, L.I. NMR Spectroscopy and Structure of Substituted Azoles. Ph.D. Thesis, Irkutsk Institute of Chemistry, Russian Academy of Science, Irkutsk, Russia, 2003; 285p. (In Russian). [Google Scholar]
- Pozharskii, A.F.; Soldatenko, A.T.; Katritzky, A.R. Why nature prefers heterocycles. In Heterocycles in Life and Society: An Introduction to Heterocyclic Chemistry and Biochemistry, Medicine and Agriculture, 2nd ed.; John Wiley & Sons Ltd.: West Sussex, UK, 2011; 382p. [Google Scholar]
- Anusevicius, Z.; Soffers, A.E.M.F.; Cenas, N.; Sarlauskas, J.; Segura-Aguilar, J.; Rietjens, I.M.C.M. Quantitative structure activity relationships for the electron transfer reactions of Anabaena PCC7119 ferredoxin-NADP(+) oxidoreductase with nitrobenzene and nitrobenzimidazolone derivatives: Mechanistic implications. FEBS Lett. 1999, 450, 44–48. [Google Scholar] [CrossRef]
- Demirayak, S.; Kayagil, I.; Yurttas, L. Microwave supported synthesis of some novel 1,3-diarylpyrazino[1,2-a]benzimidazole derivatives and investigation of their anticancer activities. Eur. J. Med. Chem. 2011, 46, 411–416. [Google Scholar] [CrossRef] [PubMed]
- Canada, J.; Claramunt, R.M.; De Mendoza, J.; Elguero, J. On the possibility of chlorotropy in aromatic azoles: The case of 1,2,3-triazoles and benzotriazoles. Heterocycles 1985, 23, 2225–2228. [Google Scholar]
- Gallagher, T.C.; Sasse, M.J.; Storr, R.C. Fragmentation of N-chlorotriazoles. J. Chem. Soc. Chem. Commun. 1979, 9, 419–420. [Google Scholar] [CrossRef]
- De Rosa, M.; Canudas, N.; Arnold, D. Chlorotropy of 1-chlorobenzimidazole. J. Org. Chem. 2013, 78, 7264–7267. [Google Scholar] [CrossRef] [PubMed]
- De Rosa, M.; Alonso, T.; Ledia, J. Studies of the mechanism of chlorination of indoles. Detection of N-chloroindole and 3-chloro-3H-indole as intermediates. J. Org. Chem. 1978, 43, 2637–2643. [Google Scholar] [CrossRef]
- Jeffrey, G.A.; Ruble, J.R.; Yates, J.H. Neutron diffraction at 15 and 120 K and ab initio molecular-orbital studies of the molecular structure of 1,2,4-triazole. Acta Crystallogr. B 1983, 39, 388–394. [Google Scholar] [CrossRef]
- Fuhmann, P.; Karitsansky, T.; Luger, P. Experimental electron density study of 1,2,4-triazole at 15 K. A Comparison with ab initio calculations. Zeitschrift Kristallographie 1997, 212, 213–220. [Google Scholar]
- Ramsden, C.A. The influence of aza-substitution on azole aromaticity. Tetrahedron 2010, 66, 2695–2699. [Google Scholar] [CrossRef]
- Claramunt, R.M.; Sanz, D.; Alkorta, I.; Elguero, J.; Foces-Foces, C.; Llamas-Saiz, A.L. Ab initio study of azolides: Energetic and spectroscopic properties. J. Heterocycl. Chem. 2001, 38, 443–450. [Google Scholar] [CrossRef]
- Alkorta, I.; Elguero, J. A density functional theoretical study of the influence of cavities and water molecules on tautomerism: The case of pyridones and 1,2,4-triazoles linked to crown ethers and esters. J. Heterocycl. Chem. 2001, 38, 1387–1391. [Google Scholar] [CrossRef]
- Curtis, A.D.M.; Jennings, N. Comprehensive Heterocyclic Chemistry III: A Review of the Literature 1995–2007; Katritzky, A.R., Ramsden, C.A., Scriven, E.F.V., Taylor, R.J.K., Eds.; Elsevier: Oxford, UK, 2008; Volume 5, 160p. [Google Scholar]
- Elguero, J.; Katritzky, A.R.; Denisko, O.V. Ptototropic Tautomerism of Heterocycles: Heteroaromatic Tautomerism—General Overview and Methodology. Adv. Heterocycl. Chem. 2000, 76, 2–86. [Google Scholar]
- Minkin, V.I.; Garnovskii, A.D.; Elguero, J.; Katritzky, A.R.; Denisko, O.V. Tautomerism of Heterocycles: Five-Membered Rings with Two or More Heteroatoms. Adv. Heterocycl. Chem. 2000, 76, 159–323. [Google Scholar]
- Bojarska-Olejnik, E.; Stefaniak, L.; Witanowski, M.; Webb, G.A. 15N NMR investigation of prototropic equilibria of some triazoles. Bull. Pol. Acad. Sci. Chem. 1987, 35, 85–90. [Google Scholar]
- Creagh, L.D.; Trutt, P. Nuclear Magnetic Resonance studies of triazoles. 1. Tautomerism of 1,2,4-triazole. J. Org. Chem. 1968, 33, 2956–2957. [Google Scholar] [CrossRef]
- Bojarska-Olejnik, E.; Stefaniak, L.; Witanowski, M.; Webb, G.A. 15N NMR Investigation of the tautomeric equilibria of some 1,2,4-triazoles and related compounds. Magn. Reson. Chem. 1986, 24, 911–914. [Google Scholar] [CrossRef]
- Jaszunski, M.; Mikkelsen, K.V.; Rizzo, A.; Witanowski, M. A Study of the nitrogen NMR spectra of azoles and their solvent dependence. J. Phys. Chem. A 2000, 104, 1466–1473. [Google Scholar] [CrossRef]
- Aberhaim, D.; Diez-Barra, E.; de la Hoz, A.; Loupy, A.; Sanchez-Migallon, A. Selective alkylation of 1,2,4-triazole and benzotriazole in the absence of solvent. Heterocycles 1994, 38, 793–803. [Google Scholar]
- Vasiliev, A.D.; Astakhov, A.M.; Golubtsova, L.A.; Kruglyakova, L.A.; Stepanov, R.S. 3-Nitro-1-nitromethyl-1H-1,2,4-triazole. Acta Crystallogr. Sect. C 2000, 56, 999–1000. [Google Scholar] [CrossRef]
- Dolgushin, G.V.; Lazarev, I.M.; Larina, L.I.; Lopyrev, V.A.; Voronkov, M.G. A 35Cl NQR and MNDO Study of 3,5-dichloro-1,2,4-triazole and Its Ionic Forms. Zeitschrift Naturforschung A 1994, 49, 167–170. [Google Scholar] [CrossRef]
- Dolgushin, G.V.; Lazarev, I.M.; Larina, L.I.; Lopyrev, V.A.; Voronkov, M.G. A 35Cl NQR and MNDO study of 3,5-dichloro-1,2,4-triazole and its Ionic Forms. In Proceedings of the XII International Symposium on Nuclear Quadrupole Resonance Spectroscopy, Zurich, Switzerland, 19–23 July 1993. [Google Scholar]
- Makarskii, V.V.; Voronkov, M.G.; Feshin, V.P.; Lopyrev, V.A.; Berestennikov, N.I.; Shibanova, E.F.; Volkova, L.I. Molecular structure of 1,2,4-triazole. Doklady AN SSSR 1975, 220, 101–104. [Google Scholar]
- Starova, G.A.; Frank-Kamenetskaya, O.V.; Makarskii, V.V. Molecular and crystal structure of 3,5-dichloro-1H-1,2,4-triazole. Kristallografiya 1990, 35, 769–771. (In Russian) [Google Scholar]
- Garcia, M.A.; Lopez, C.; Peters, O.; Claramunt, R.M.; Klein, O.; Schagen, D.; Limbach, H.H.; Foces-Foces, C.; Elguero, J. Triple proton transfer in crystalline 3,5-dibromo-1H-1,2,4-triazole and 3,5-dicloro-1H-1,2,4-triazole studies by variable-temperature 15N NMR and ab initio calculations. Magn. Reson. Chem. 2000, 38, 604–614. [Google Scholar] [CrossRef]
- Garcia, M.L.S.; Smith, J.A.S.; Bavin, P.M.G.; Ganellin, C.R. 14N and 2H Quadrupole Double Resonance in substituted imidazoles. J. Chem. Soc. Perkin Trans. 1983, 9, 1391–1399. [Google Scholar] [CrossRef]
- Licht, H.H.; Ritter, H.; Bircher, H.R.; Bigler, P. Tautomerism in Nitrotriazoles: Structure investigation by combined 1H, 13C and 15N NMR spectroscopy. Magn. Reson. Chem. 1998, 36, 343–350. [Google Scholar] [CrossRef]
- Bojarska-Olejnik, E.; Stefaniak, L.; Witanowski, M.; Hamdi, B.T.; Webb, G.A. Application of 15N NMR to study of tautomeric in some monocyclic triazoles. Magn. Reson. Chem. 1985, 23, 166–169. [Google Scholar] [CrossRef]
- Kofman, T.P. 5-Amino-1,2,4-triazole and its derivatives. Russ. J. Org. Chem. 2002, 38, 1231–1243. [Google Scholar] [CrossRef]
- Sorescu, D.C.; Bennett, C.M.; Thompson, D.L. Theoretical Studies of the Structure, Tautomerism, and Vibrational Spectra of 3-Amino-5-nitro-1,2,4-triazole. J. Phys. Chem. A 1998, 102, 10348–10357. [Google Scholar] [CrossRef]
- Pevzner, M.S.; Fedorova, E.Y.; Shokhor, I.N.; Bagal, L.I. Heterocyclic nitrocompounds. IX. Dipole moments of 3(5)-nitro-1,2,4-triazoles. Chem. Heterocycl. Compd. 1971, 2, 275–278. (In Russian) [Google Scholar]
- Bojarska-Olejnik, E.; Stefaniak, L.; Witanowski, M.; Webb, G.A. A 15N NMR Study on Some 3-Methylthio-1,2,4-Triazoles and Related Compounds. Bull. Pol. Acad. Sci. Chem. 1986, 34, 289–293. [Google Scholar]
- Vokin, A.I.; Sherstyannikova, L.V.; Krivoruchka, I.G.; Abzaeva, K.A.; Lopyrev, V.A.; Turchaninov, V.K. Solvatochromism of heteroaromatic compounds: XV. 3-Nitro-1,2,4-triazol-5one. Russ. J. Gen. Chem. 2002, 72, 456–459. [Google Scholar] [CrossRef]
- Makarskii, V.V.; Starova, G.A.; Frank-Kamenetskaya, O.V.; Lopyrev, V.A. Molecular structure of 3-amino-1,2,4-triazole. Chem. Heterocycl. Compd. 1977, 8, 1138–1139. (In Russian) [Google Scholar] [CrossRef]
- Starova, G.A.; Frank-Kamenetskaya, O.V.; Makarskii, V.V.; Lopyrev, V.A. Crystal and molecular structure of 5-amino-1H-1,2,4-triazole. Kristallografiya 1978, 23, 849–851. (In Russian) [Google Scholar]
- Dolgushin, G.V.; Larina, L.I.; Nikitin, P.A.; Lopyrev, V.A. 35Cl NQR spectra and the structure of chloro-containing benzimidazole derivatives. Russ. J. Gen. Chem. 1996, 66, 1889–1893. [Google Scholar]
- Nikitin, P.A.; Lazarev, I.M.; Dolgushin, G.V. Refinement of the Townes-Dailey theory. MNDO calculation of 35CI NQR frequencies. Mendeleev Commun. 1995, 5, 13–14. [Google Scholar] [CrossRef]
- Dolgushin, G.V.; Lazarev, I.M.; Nikitin, P.A.; Larina, L.I.; Voronkov, M.G. A Cl-35 NQR and MNDO Investigation of inorganic and organic chlorine compounds. In Fifteenth Austin Symposium on Molecular Structure; University of Texas: Austin, TX, USA, 1994; p. 113. [Google Scholar]
- Lucken, E.A.C. Nuclear Quadrupole Coupling Constants; Academic Press: New York, NY, USA, 1969. [Google Scholar]
- Dolgushin, G.V.; Lazarev, I.M.; Nikitin, P.A.; Larina, L.I. 35Cl NQR of the N-Cl Bond and the Modified Townes-Daily Theory. Zeitschrift Naturforschung A 1996, 51, 544–548. [Google Scholar] [CrossRef]
- Dolgushin, G.V.; Lazarev, I.M.; Nikitin, P.A.; Larina, L.I.; Voronkov, M.G. A 35Cl NQR and MNDO Investigation of Inorganic and Organic Chlorine Compounds. NQI Newsl. 1994, 1, 37. [Google Scholar]
- Dolgushin, G.V.; Lazarev, I.M.; Nikitin, P.A.; Larina, L.I. 35Cl NQR and Quantum Chemistry. N-Cl Bond. NQI Newsl. 1995, 1, 3–4. [Google Scholar]
- Dolgushin, G.V.; Lazarev, I.M.; Nikitin, P.A.; Larina, L.I. 35Cl NQR of the N-Cl bond and modified Townes-Dailey Theory. In Proceedings of the XIIIth International Symposium on Nuclear Quadrupole Interactions, Providence, RI, USA, 23–28 July 1995; p. 25. [Google Scholar]
- Dolgushin, G.V.; Lazarev, I.M.; Nikitin, P.A.; Larina, L.I. 35Cl NQR and quantum chemistry. N-Cl bond. In Proceedings of the Fourth International Conference on Heteroatom Chemistry, Seoul, Korea, 30 July–4 August 1995; p. 161. [Google Scholar]
- Benassi, R.; Lazzeretti, P.; Schenetti, L.; Taddei, F.; Vivarelli, P. NMR study of tautomerism in substituted 2-chlorobenzimidazoles. Tetrahedron Lett. 1971, 12, 3299–3300. [Google Scholar] [CrossRef]
- Claramunt, R.M.; Lopez, C.; Alkorta, I.; Elguero, J.; Yang, R.; Schulman, S. The tautomerism of omeprazole in solution: 1H and 13C NMR study. Magn. Reson. Chem. 2006, 42, 712–714. [Google Scholar] [CrossRef]
- Latosinska, J.N.; Seliger, J.; Nogaj, B. Electron density distribution in 2-nitro-5-methylimidazole derivatives studied by NMR-NQR double resonance. Magn. Reson. Chem. 1999, 37, 878–880. [Google Scholar] [CrossRef]
- Latosinska, J.N.; Koput, J. Analysis of the NQR parameters in 2-nitro-5-methylimidazole derivatives by quantum chemical calculations. Phys. Chem. Chem. Phys. 2000, 2, 145–150. [Google Scholar] [CrossRef]
- Pirnat, J.; Luznik, J.; Jazbinsek, V.; Zagar, V.; Seliger, J.; Klapotke, T.M.; Trontel, Z. 14N NQR in the tetrazole family. Chem. Phys. 2009, 364, 98–104. [Google Scholar] [CrossRef]
- Seliger, J.; Zagar, V.; Latosinska, J.N. 14N NQR, 1H NMR and DFT/QTAIM study of hydrogen bonding and polymorphism in selected solid 1,3,4-thiadiazole derivatives. Phys. Chem. Chem. Phys. 2010, 12, 13007–13019. [Google Scholar] [CrossRef] [PubMed]
- Latosinska, J.N. Thermodinamic stability of indazole studied by NMR-NQR spectroscopy and ab initio calculations. Magn. Reson. Chem. 2000, 38, 192–196. [Google Scholar] [CrossRef]
- Latosinska, J.N.; Latosinska, M.; Seliger, J.; Zagar, V.; Maurin, J.K.; Orzeszko, A.; Kazimierczuk, Z. Structural study of selected polyhalogenated benzimidazoles (Protein Kinase CK2 Inhibitors) by nuclear quadrupole double resonance, X-ray, and density functional theory. J. Phys. Chem. A 2010, 114, 563–575. [Google Scholar] [CrossRef] [PubMed]
- Seliger, J.; Zagar, V. Crystallization of an amorphous solid studied by nuclear quadrupole double resonance. Chem. Phys. 2013, 421, 44–48. [Google Scholar] [CrossRef]
- Seliger, J.; Zagar, V. Hydrogen bonds in co-crystals and salts of 2-amino-4,6-dimethylpyrimidine and carboxylic acids studied by nuclear quadrupole resonance. J. Phys. Chem. B 2013, 117, 6946–6956. [Google Scholar] [CrossRef] [PubMed]
- Seliger, J.; Zagar, V. Tautomerism and possible polymorphism in solid hydroxypyridines and pyridones studied by 14N NQR. J. Phys. Chem. B 2013, 117, 1653–1658. [Google Scholar] [CrossRef] [PubMed]
- Latosinska, J.N.; Seliger, J.; Grechishkin, V.; Spychala, J. Studies of the electronic structureof 4-N-cytosine derivatives by NMR-NQR double resonance spectroscopy. Magn. Reson. Chem. 1999, 37, 881–884. [Google Scholar] [CrossRef]
© 2019 by the author. Licensee MDPI, Basel, Switzerland. This article is an open access article distributed under the terms and conditions of the Creative Commons Attribution (CC BY) license (http://creativecommons.org/licenses/by/4.0/).






















