Structural and Electrical Properties Characterization of Sb1.52Bi0.48Te3.0 Melt-Spun Ribbons
Abstract
:1. Introduction
2. Experimental Details
2.1. Synthesis
2.2. Melt-Spinning Process
2.3. Structural and Chemical Characterizations
2.4. Transport Measurements
3. Results and Discussion
3.1. X-ray Diffraction and Scanning Electron Microscopy
3.2. Transmission Electron Microscopy
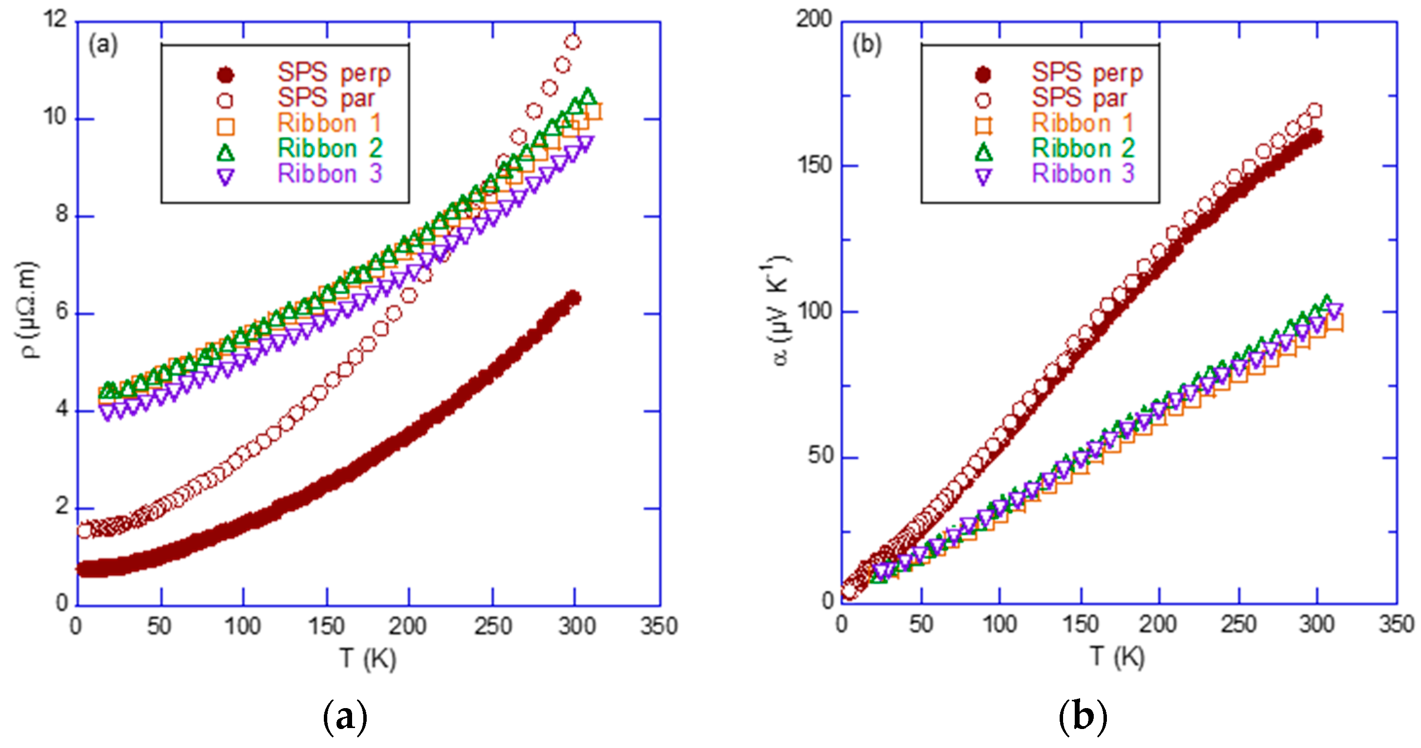
3.3. Transport Properties
4. Conclusions
Acknowledgments
Author Contributions
Conflicts of Interest
References
- Goldsmid, H.J. Thermoelectric Refrigeration; The International Cryogenics Monograph Series; Plenum Press: New York, NY, USA, 1964. [Google Scholar]
- Rowe, D.M. Thermoelectrics and Its Energy Harvesting; CRC Press: Boca Raton, FL, USA, 2012. [Google Scholar]
- Snyder, G.J.; Toberer, E.S. Complex thermoelectric materials. Nat. Mater. 2008, 7, 105–114. [Google Scholar] [CrossRef] [PubMed]
- Brown, S.R.; Kauzlarich, S.M.; Gascoin, F.; Snyder, G.J. Yb14MnSb11: New high efficiency thermoelectric material for power generation. Chem. Mater. 2006, 18, 1873–1877. [Google Scholar] [CrossRef]
- Zhang, H.; Borrmann, H.; Oeschler, N.; Candolfi, C.; Schnelle, W.; Schmidt, M.; Burkhardt, U.; Baitinger, M.; Zhao, J.T.; Grin, Y. Atomic interactions in the p-type clathrate I Ba8Au5.3Ge40.7. Inorg. Chem. 2011, 50, 1250–1257. [Google Scholar] [CrossRef] [PubMed]
- Shi, X.; Yang, J.; Bai, S.; Yang, J.; Wang, H.; Chi, M.; Salvador, J.R.; Zhang, W.; Chen, L.; Wong-Ng, W. On the design of high-efficiency thermoelectric clathrates through a systematic cross-substitution of framework elements. Adv. Funct. Mater. 2010, 20, 755–763. [Google Scholar] [CrossRef]
- Toberer, E.S.; Zevalkink, A.; Crisosto, N.; Snyder, G.J. The zintl compound Ca5Al2Sb6 for low-cost thermoelectric power generation. Adv. Funct. Mater. 2010, 20, 4375–4380. [Google Scholar] [CrossRef]
- Gougeon, P.; Gall, P.; Al Rahal Al Orabi, R.; Fontaine, B.; Gautier, R.; Potel, M.; Zhou, T.; Lenoir, B.; Colin, M.; Candolfi, C.; et al. Synthesis, crystal and electronic structures, and thermoelectric properties of the novel cluster compound Ag3In2Mo15Se19. Chem. Mater. 2012, 24, 2899–2908. [Google Scholar] [CrossRef]
- Al Rahal Al Orabi, R.; Gougeon, P.; Gall, P.; Fontaine, B.; Gautier, R.; Colin, M.; Candolfi, C.; Dauscher, A.; Hejtmanek, J.; Malaman, B.; et al. X-ray characterization, electronic band structure, and thermoelectric properties of the cluster compound Ag2Tl2Mo9Se11. Inorg. Chem. 2014, 53, 11699–11709. [Google Scholar] [CrossRef] [PubMed]
- Kurosaki, K.; Yamanaka, S. Low-thermal-conductivity group 13 chalcogenides as high-efficiency thermoelectric materials. Phys. Status Solidi A 2013, 210, 82–88. [Google Scholar] [CrossRef]
- Lu, X.; Morelli, D.T.; Xia, Y.; Zhou, F.; Ozolins, V.; Chi, H.; Zhou, X.; Uher, C. High performance thermoelectricity in earth-abundant compounds based on natural mineral tetrahedrites. Adv. Energy Mater. 2013, 3, 342–348. [Google Scholar] [CrossRef]
- Suekuni, K.; Kim, F.S.; Nishiate, H.; Ohta, M.; Tanaka, H.I.; Takabatake, T. High-performance thermoelectric minerals: Colusites Cu26V2M6S32 (M = Ge, Sn). Appl. Phys. Lett. 2014, 105, 132107. [Google Scholar] [CrossRef]
- Zhang, H.; Liu, C.X.; Qi, X.L.; Dai, X.; Fang, Z.; Zhang, S.C. Topological insulators in Bi2Se3, Bi2Te3 and Sb2Te3 with a single dirac cone on the surface. Nature Phys. 2009, 5, 438–442. [Google Scholar] [CrossRef]
- Xia, Y.; Qian, D.; Hsieh, D.; Wray, L.; Pal, A.; Lin, H.; Bansil, A.; Grauer, D.; Hor, Y.S.; Cava, R.J.; et al. Observation of a large-gap topological-insulator class with a single dirac cone on the surface. Nat. Phys. 2009, 5, 398–402. [Google Scholar] [CrossRef]
- Ando, Y. Topological insulator materials. J. Phys. Soc. Jpn. 2013, 82, 102001. [Google Scholar] [CrossRef]
- Paglione, J.; Butch, N.P. Growth and characterization of topological insulators. In Topological Insulators, Fundamentals and Perspectives; Ortmann, F., Roche, S., Valenzuela, S.O., Eds.; Wiley-VCH Verlag GmbH & Co., KGaA: Weinheim, Germany, 2015; pp. 245–262. [Google Scholar]
- Abrikosov, N.K.; Bankina, V.F.; Kolomoets, L.A.; Dzhaliashvili, N.V. Deviation of the solid solution from stoichiometry in the section Bi2Te3–Sb2Te3 in the region of Bi0.5Sb1.5Te3 composition. Izv. Akad. Nauk. SSSR Neorg. Mater. 1977, 13, 827–829. (In Russian) [Google Scholar]
- Barash, A.S.; Zhukova, T.B.; Parparov, E.Z. Structure and thermoelectric properties of Bi2Te3-xSex and Bi0,25Sb1,48Te3. Izv. Akad. Nauk. SSSR Neorg. Mater. 1976, 12, 1552. (In Russian) [Google Scholar]
- Rosi, F.D.; Abeles, B.; Jensen, R.V. Materials for thermoelectric refrigeration. J. Phys. Chem. Solids 1959, 10, 191–200. [Google Scholar] [CrossRef]
- Susmann, H.; Loof, K. Copper doping and dislocations in the system Bi2Te3–Sb2Te3. Phys. Stat. Sol. A 1976, 37, 467–471. (In German) [Google Scholar]
- Volotskii, M.P. Investigation of the complex structure of band edges and of the mechanism of carrier scattering in Bi-Sb-Te single crystals. Fiz. Tekh. Polupr. SSSR 1974, 8, 1044. (In Russian) [Google Scholar]
- Yim, W.M.; Amith, A. Bi–Sb alloys for magneto-thermoelectric and thermomagnetic cooling. Solid-State Electron. 1972, 15, 1141–1144. [Google Scholar] [CrossRef]
- Caillat, T.; Carle, M.; Perrin, D.; Scherrer, H.; Scherrer, S. Study of the Bi–Sb–Te phase diagram. J. Phys. Chem. Solids 1992, 53, 227–232. [Google Scholar] [CrossRef]
- Caillat, T.; Carle, M.; Pierrat, P.; Scherrer, H.; Scherrer, S. Thermoelectric properties of (BixSb1−x)2Te3 single crystal solid solutions grown by the THM method. J. Phys. Chem. Solids 1992, 53, 1121–1129. [Google Scholar] [CrossRef]
- Qinghui, J.; Junyou, Y.; Yong, L.; Hongcai, H. Microstructure tailoring in nanostructured thermoelectric materials. J. Adv. Dielect. 2016, 6, 1630002. [Google Scholar]
- Fan, X.A.; Yang, J.Y.; Chen, R.G.; Yun, H.S.; Zhu, W.; Bao, S.Q.; Duan, X.K. Characterization and thermoelectric properties of p-type 25%Bi2Te3–75%Sb2Te3 prepared via mechanical alloying and plasma activated sintering. J. Phys. D Appl. Phys. 2006, 39, 740–745. [Google Scholar] [CrossRef]
- Vasilevskiy, D.; Dawood, M.S.; Masse, J.P.; Turenne, S.; Masut, R.A. Generation of nanosized particles during mechanical alloying and their evolution through the hot extrusion process in bismuth-telluride-based alloys. J. Electron. Mater. 2010, 39, 1890–1896. [Google Scholar] [CrossRef]
- Navratil, J.; Starý, Z.; Plechacek, T. Thermoelectric properties of p-type antimony bismuth telluride alloys prepared by cold pressing. Mater. Res. Bull. 1996, 31, 1559–1566. [Google Scholar] [CrossRef]
- Yamashita, O.; Tomiyoshi, S.; Makita, K. Bismuth telluride compounds with high thermoelectric figures of merit. J. Appl. Phys. 2003, 93, 368–374. [Google Scholar] [CrossRef]
- Pierrat, P.; Dauscher, A.; Lenoir, B.; Martin-Lopez, R.; Scherrer, H. Preparation of the Bi8Sb32Te60 solid solution by mechanical alloying. J. Mater. Sci. 1997, 32, 3653–3657. [Google Scholar] [CrossRef]
- Martin-Lopez, R.; Lenoir, B.; Dauscher, A.; Scherrer, H.; Scherrer, S. Preparation of n-type Bi–Sb–Te thermoelectric material by mechanical alloying. Solid State Commun. 1998, 108, 285–288. [Google Scholar] [CrossRef]
- Glazov, V.M.; Yatmanov, Y.V. Thermoelectric properties of Bi2Te2.4Se0.6 and Bi0.52Sb1.48Te3 semiconductor solid solutions prepared by ultrarapid liquid quenching. Izv. Akad. Nauk. SSSR Neorg. Mater. 1986, 22, 36–40. (In Russian) [Google Scholar]
- Glazov, V.M.; Potemkin, A.Y.; Akopyan, R.A. Preparation of homogeneous inorganic solid solutions by diffusionless solidification. Izv. Akad. Nauk. SSSR Neorg. Mater. 1996, 32, 1461–1465. (In Russian) [Google Scholar]
- Gogishvili, O.S.; Lalikin, S.P.; Krivoruchko, S.P.; Pyrychidi, K.I.; Zanava, E.S. Synthesis of alloys based on chalcogenides of Bi and Sb by ultra-fast quenching method. In Proceedings of the VII Chemistry, Physics and Technical Application of Chalcogenides, Uzhhorod, Ukraine, 24–27 October 1988; p. 368. (In Russian). [Google Scholar]
- Gogishvili, O.S.; Kononov, G.G.; Krivoruchko, S.P.; Lavrinenko, I.P.; Ovsyanko, I.I. Structural study of (Bi,Sb)2Te3 alloys synthesized by quenching from the liquid state. Izv. Akad. Nauk SSSR Neorg. Mater. 1991, 27, 923. (In Russian) [Google Scholar]
- Dreglea, A. Boundary-Value Problems in Melt Spinning Modeling: Analytical and Numerical Methods; Lambert Acad. Publ. GmbH & Co., KG: Saarbrucken, Germany, 2012. [Google Scholar]
- Xie, W.; Tang, X.; Yan, Y.; Zhang, Q.; Tritt, T.M. High thermoelectric performance BiSbTe alloy with unique low-dimensional structure. J. Appl. Phys. 2009, 105, 113713. [Google Scholar] [CrossRef]
- Xie, W.; Tang, X.; Yan, Y.; Zhang, Q.; Tritt, T.M. Unique nanostructures and enhanced thermoelectric performance of melt-spun BiSbTe alloys. Appl. Phys. Lett. 2009, 94, 102111. [Google Scholar] [CrossRef]
- Xie, W.; He, J.; Kang, H.J.; Tang, X.; Zhu, S.; Laver, M.; Wang, S.; Copley, J.R.D.; Brown, C.M.; Zhang, Q.; et al. Identifying the specific nanostructures responsible for the high thermoelectric performance of (Bi,Sb)2Te3 nanocomposites. Nano Lett. 2010, 10, 3283–3289. [Google Scholar] [CrossRef] [PubMed]
- Xie, W.J.; He, J.; Zhu, S.; Su, X.L.; Wang, S.Y.; Holgate, T.; Graff, J.W.; Ponnambalam, V.; Poon, S.J.; Tang, X.F.; et al. Simultaneously optimizing the independent thermoelectric properties in (Ti,Zr,Hf)(Co,Ni)Sb alloy by in situ forming InSb nanoinclusions. Acta Mater. 2010, 58, 4705–4713. [Google Scholar] [CrossRef]
- Xie, W.; He, J.; Zhu, S.; Holgate, T.; Wang, S.; Tang, X.; Zhang, Q.; Tritt, T.M. Investigation of the sintering pressure and thermal conductivity anisotropy of melt-spun spark-plasma-sintered (Bi,Sb)2Te3 thermoelectric materials. J. Mater. Res. 2011, 26, 1791–1799. [Google Scholar] [CrossRef]
- Xie, W.; Wang, S.; Zhu, S.; He, J.; Tang, X.; Zhang, Q.; Tritt, T.M. High performance Bi2Te3 nanocomposites prepared by single-element-melt-spinning spark-plasma sintering. J. Mater. Sci. 2013, 48, 2745–2760. [Google Scholar] [CrossRef]
- Ivanova, L.D.; Petrova, L.I.; Granatkina, Y.V.; Leontyev, V.G.; Ivanov, A.S.; Varlamov, S.A.; Prilepo, Y.P.; Sychev, A.M.; Chuik, A.G.; Bashkov, I.V. Thermoelectric and mechanical properties of the Bi0.5Sb1.5Te3 solid solution prepared by melt spinning. Inorg. Mater. 2013, 49, 120–126. [Google Scholar] [CrossRef]
- Koukharenko, E.; Frety, N.; Shepelevich, V.G.; Tedenac, J.C. Thermoelectric properties of Bi2Te3 material obtained by the ultrarapid quenching process route. J. Alloys Compd. 2000, 299, 254–257. [Google Scholar] [CrossRef]
- Koukharenko, E.; Vassilev, G.P.; Nancheva, N.; Docheva, P.; Tedenac, J.C.; Frety, N.; Shepelevich, V.G. defects in Sb2−xBixTe3 foils. J. Alloys Compd. 1999, 287, 239–242. [Google Scholar] [CrossRef]
- Koukharenko, E.; Frety, N.; Nabias, G.; Shepelevich, V.G.; Tedenac, J.C. Microstructural study of Bi2Te3 material obtained by ultrarapid quenching process route. J. Cryst. Growth 2000, 209, 773–778. [Google Scholar] [CrossRef]
- Koukharenko, E.; Shepelevich, V.G. Structural and thermoelctric properties of rapidly quenched Bi2−xSbxTe foils. Inorg. Mater. 1999, 35, 115–117. [Google Scholar]
- Koukharenko, E.; Frety, N.; Shepelevich, V.G.; Tedenac, J.C. Microstructure and thermoelectric properties of thin foils of bismuth telluride alloys. Mater. Res. Soc. Symp. Proc. 1999, 545, 507–512. [Google Scholar] [CrossRef]
- Koukharenko, E.; Frety, N.; Shepelevich, V.G.; Tedenac, J.C. Electrical and microstructural properties of Bi2−xSbxTe and Bi2−xSbxTe2 foils obtained by the ultrarapid quenching process. J. Mater. Sci. Mater. Electron. 2003, 14, 383–388. [Google Scholar] [CrossRef]
- Ohorodniichuk, V.; Candolfi, C.; Masschelein, P.; Baranek, P.; Dalicieux, P.; Dauscher, A.; Lenoir, B. Influence of preparation processing on the transport properties of melt-spun Sb2−xBixTe3+y. J. Electron. Mater. 2016, 45, 1561–1569. [Google Scholar] [CrossRef]
- Huang, S.C.; Laforce, R.; Ritter, A.; Goehner, R. Rapid solidification characteristics in melt-spinning a Ni-base superalloy. Met. Trans. A 1985, 16, 1773–1779. [Google Scholar] [CrossRef]
- Fedotov, A.S.; Svito, I.A.; Gusakova, S.V.; Shepelevich, V.G.; Saad, A.; Mazanik, A.V.; Fedotov, A.K. Electronic properties of Bi-Sn diluted alloys. Mater. Today 2014, 2, 629–636. [Google Scholar] [CrossRef]
- Boettinger, W.J.; Perepezko, J.H. Rapidly Solidified Alloys: Processes, Structures, Properties, Applications; Liebermann, H.H., Ed.; Marcel Dekker Inc.: New York, NY, USA, 1993. [Google Scholar]
- Birkholz, M. Thin Film Analysis by X-ray Scattering; John Wiley & Sons: Somerset, NJ, USA, 2006. [Google Scholar]
- Creagh, D.C.; Hubbell, J.H. X-ray absorption (or attenuation) coefficients. In International Tables for Crystallography C; Wilson, A.J.C., Prince, E., Kluwer, D., Eds.; Kluwer Academic Publishers: Dordrecht, The Netherlands, 1999; p. 220. [Google Scholar]
- Almeida, M.; Alcácer, L.; Oostra, S. Anisotropy of Thermopower in N-methyl-N-ethylmorpholinium bistetracyanoquinodimethane, MEM(TCNQ)2 in the Region of the High-Temperature Phase Transitions. Phys. Rev. B 1984, 30, 2839–2844. [Google Scholar] [CrossRef]
- Huebener, H.P. Thermoelectric Power of Lattice Vacancies of Gold. Phys. Rev. 1964, 135, A1281–A1291. [Google Scholar] [CrossRef]
- Ohorodniichuk, V.; Dauscher, A.; Masschelein, P.; Candolfi, C.; Baranek, P.; Dalicieux, P.; Lenoir, B. Influence of the nozzle diameter as a control parameter of the properties of melt-spun Sb2−xBixTe3. J. Electron. Mater. 2016, 45, 1419–1424. [Google Scholar] [CrossRef]
- Ivanov, L.D.; Kop’ev, I.M.; Lobzov, M.A.; Abrikosov, N.K. Mechanical properties of sngle-crystals of solid solutions of the system Sb1.5Bi0.5Te3–Bi2Se3. Inorg. Mater. 1987, 23, 1288–1291. [Google Scholar]
- Jacquot, A.; Vollmer, F.; Bayer, B.; Jaegle, M.; Ebling, D.G.; Böttner, H. Thermal conductivity measurements on challenging samples by the 3-omega method. J. Electron. Mater. 2010, 39, 1621–1626. [Google Scholar] [CrossRef]
- Goltsman, B.M.; Kudinov, V.A.; Smirnov, I.A. Semiconductor Thermoelectric Materials Based on Bi2Te3 (Nauka, Moscow, 1972); Army Foreign Science and Technology Center: Charlottesville, VA, USA, 1973. [Google Scholar]
- Lan, Y.; Poudel, B.; Ma, Y.; Wang, D.; Dresselhaus, M.S.; Chen, G.; Ren, Z. Structure study of bulk nanograined thermoelectric bismuth antimony telluride. Nano Lett. 2009, 9, 1419–1422. [Google Scholar] [CrossRef] [PubMed]
- Li, G.; Gadelrab, K.R.; Souier, T.; Potapov, P.L.; Chen, G.; Chiesa, M. Mechanical properties of BixSb2−xTe3 nanostructured thermoelectric material. Nanotechnology 2012, 23, 065703. [Google Scholar] [CrossRef] [PubMed]
- Peranio, N.; Eibl, O. Structural modulations in Bi2Te3. J. Appl. Phys. 2008, 103, 024314. [Google Scholar] [CrossRef]
- Homer, M.D.; Medlin, L. Preparation Methods for TEM Specimens of Bismuth Telluride and Related Thermoelectric Alloys. Microsc. Microanal. 2012, 18, 1482–1500. [Google Scholar] [CrossRef]
- Thonhauser, T.; Jeon, G.S.; Mahan, G.D.; Sofo, J.O. Stress-induced defects in Sb2Te3. Phys. Rev. B 2003, 68, 205207. [Google Scholar] [CrossRef]
- Pecheur, P.; Toussaint, G. Tight-binding studies of crystal stability and defects in Bi2Te3. J. Phys. Chem. Solids 1994, 55, 327–338. [Google Scholar] [CrossRef]
- Manyakin, S.M.; Volkov, M.P. Microstructure of (Bi0.25Sb0.75)2Te3 Profiled Crystals Grown by Directed Crystallization Method. In Proceedings of the Twenty-First International Conference on Thermoelectrics, Long Beach, CA, USA, 25–29 August 2002; pp. 21–23. [Google Scholar]













| RH (cm3 C−1) | ρ (μΩ m) | pH (1019 cm−3) | μH (cm2 V−1 s−1) | |
|---|---|---|---|---|
| SPS | 0.17 | 6.4 | 3.7 | 266 |
| Ribbon | 0.07 | 10 | 9.1 | 70 |
© 2017 by the authors. Licensee MDPI, Basel, Switzerland. This article is an open access article distributed under the terms and conditions of the Creative Commons Attribution (CC BY) license (http://creativecommons.org/licenses/by/4.0/).
Share and Cite
Ohorodniichuk, V.; Dauscher, A.; Branco Lopes, E.; Migot, S.; Candolfi, C.; Lenoir, B. Structural and Electrical Properties Characterization of Sb1.52Bi0.48Te3.0 Melt-Spun Ribbons. Crystals 2017, 7, 172. https://doi.org/10.3390/cryst7060172
Ohorodniichuk V, Dauscher A, Branco Lopes E, Migot S, Candolfi C, Lenoir B. Structural and Electrical Properties Characterization of Sb1.52Bi0.48Te3.0 Melt-Spun Ribbons. Crystals. 2017; 7(6):172. https://doi.org/10.3390/cryst7060172
Chicago/Turabian StyleOhorodniichuk, Viktoriia, Anne Dauscher, Elsa Branco Lopes, Sylvie Migot, Christophe Candolfi, and Bertrand Lenoir. 2017. "Structural and Electrical Properties Characterization of Sb1.52Bi0.48Te3.0 Melt-Spun Ribbons" Crystals 7, no. 6: 172. https://doi.org/10.3390/cryst7060172
APA StyleOhorodniichuk, V., Dauscher, A., Branco Lopes, E., Migot, S., Candolfi, C., & Lenoir, B. (2017). Structural and Electrical Properties Characterization of Sb1.52Bi0.48Te3.0 Melt-Spun Ribbons. Crystals, 7(6), 172. https://doi.org/10.3390/cryst7060172
