Abstract
The pressure effects on the lattice parameters and elastic constants of the tetragonal RNiBC (R=Y, Lu) are investigated by means of the first principles. The predicted lattice constants and elastic constants of YNiBC and LuNiBC at 0 GPa agree well with the available data. By the elastic stability criteria under isotropic pressure, it is predicted that YNiBC and LuNiBC with tetragonal structure are not mechanically stable above 93 GPa and 50 GPa, respectively. Pugh’s modulus ratio, Poisson’s ratio, Vickers hardness, elastic anisotropy and Debye temperature of YNiBC in the pressure range of 0–100 GPa and LuNiBC in the pressure range of 0-60 GPa are further investigated. It is shown that the ductility and Debye temperature of tetragonal RNiBC (R=Y, Lu) increase with increasing pressure, and LuNiBC is more ductile and lower Debye temperature than YNiBC under different pressures.
1. Introduction
Since the pioneering and seminal discovery of the superconducting alloy system Y-Ni-B-C [1,2] by Nagarajan et al., much attention has been paid to synthesizing single phase samples of quaternary boro-carbides. Cava et al. [3] have synthesized the quaternary nickel borocarbides RNiBC (R=Y and rare earths), and found that Lu and Y compounds exhibit the highest superconducting transition temperatures ( 16.6 and 15.6 K, respectively), while compounds with magetic rare earths exhibit lower : T ( K), E ( K), H ( K). The body-centered-tetragonal RNiBC (R=Y, Lu) have space group and their crystal structure is shown in Figure 1, which also can be seen as a layered structure consisting of the NaCl-type Y-C layers separated by the Ni-B layers with 1:1 approaching each other alternately stacked [4]. Because RNiBC (R=Y, Lu) have high- superconductivity, considerable theoretical as well as experimental attention has been focused on these borocarbide system. From experimental measurements, inelastic-neutron-scattering curve techniques [5] were employed to measure the low-lying phonon-dispersion curves of LuNiBC along the [100] and [001] symmetry directions, while results of Raman measurements on RNiBC (R=Lu, Ho, and Y) single crystals were reported by Park et al. [6]. Meenakshi et al. [7] investigated the high pressure behaviour of YNiBC at room temperature by electrical resistivity, thermopower and X-ray diffraction incorporating imaging plate. Recently, Weber et al. [8] reported an inelastic neutron scattering investigation of phonons with energies up to 159 meV in YNiBC. From theoretical research, Mattheiss [9] calculated band structures of LuNiBC and YNiBC via the linearized augmented-plane-wave (LAPW) method. Lee et al. [10] systematically researched the electronic structures of Ni-based superconducting quaternary compounds YNiBX (X=B, C, N, and O) by employing the linearized muffin-tin orbital band method. The effect of pressure on the compressibilities of LuNiBC and YNiBC has been investigated within the local-density approximation (LDA) to density-functional theory (DFT) [11,12]. Recently, Wang et al. [13] calculated the elastic and electronic structure properties of YNiBC under pressure by performing the generalized gradient approximation (GGA) and LDA correction scheme in the frame of DFT. More recently, Tütüncü et al. [14] systematically investigated the structural, electronic, vibrational, and superconducting properties of borocarbide superconductors RMBC (R=Lu, La, Y; M=Ni, Pd, Pt) by employing the ab initio pseudopotential calculations. All these researches are very important to further scientific and technical investigations. However, so far, the influence of pressure on the structural, elastic and mechanical properties of tetragonal RNiBC (R=Y, Lu) has received little attention.
Figure 1.
Crystal structure of YNiBC.
Elastic properties of a solid are very important because they are closely associated with some physical properties such as bulk modulus, shear modulus, Young’s modulus, Poisson’s ratio, the velocity of sound of longitudinal wave and shear wave. f And the pressure dependence of the elastic constants of a material is important for predicting and understanding the mechanical strength, stability, and phase transitions of a material. Motivated by the interest in the elastic and mechanical properties of RNiBC (R=Y, Lu), in this paper we will take the first-principles calculations to further investigate the structural, elastic and mechanical properties of RNiBC (R=Y, Lu) under pressure. The rest of the paper is organized as follows. The theory and computational details are given in Section 2. Results and discussions are presented in Section 3. Finally, the summary of our main results are drawn in Section 4.
2. Theory and Computational Details
Our first-principles calculations are performed using the VASP code, which is based on the DFT [15,16,17]. The ion-electron interaction is described by the projector augmented wave (PAW) method [18,19], and the exchange-correlation function is described within the GGA according to the Perdew-Burke-Ernzerhof (PBE) functional [20]. In this work, the 4s, 4p, 4d and 5s electrons for Y, the 5d and 6s electrons for Lu, the 2s and 2p electrons for C, the 2s and 2p electrons for B, and the 3d and 4s electrons for Ni are treated as valence and the remaining electrons are kept frozen. Reciprocal space is represented by Monkhorst-Pack special k-point scheme [21] with 15 × 15 × 5 grid meshes. The plane wave cutoff energy is chosen to be 600 eV and the energy convergence criterion is set to 10 eV for all calculations.
In this paper, the finite-strain continuum elastic theory is employed to calculate the elastic constants [22,23,24,25]. The deformation tensor
where and are the initial and strained configurations at the equilibrium, respectively, with i and j (= 1, 2, 3) represent Cartesian coordinates. The relation between the elastic constants and the strain energy density can be expressed as [22,23]
where is the Lagrangian strain tensor, which is defined as [24]
For RNiBC (R=Y, Lu) with tetragonal structure, there are six independent elastic constants , , , , and . To calculate the complete elastic constants, we introduce six Lagrangian strain tensors in terms of a single strain parameter , and the strain energy density can be Taylor expanded in powers of the strain parameter as
where V is the volume at the given pressure and is the combination of the elastic constants. We consider six sets of deformations:
The corresponding strain energy density on deformation parameter for each considered strain mode can be expressed as
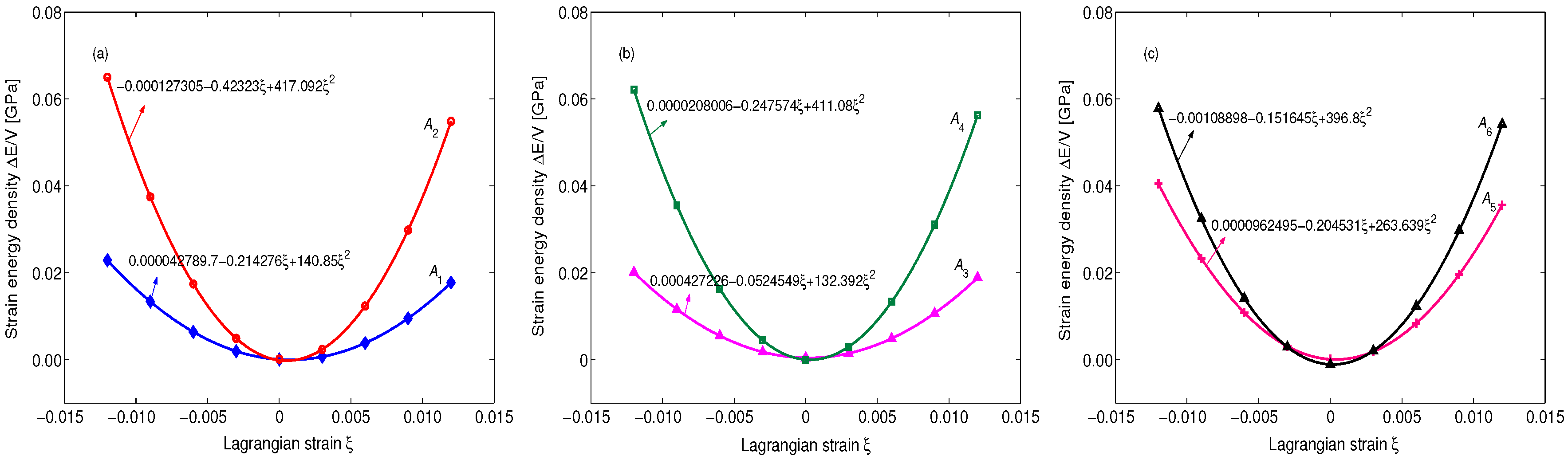
varies between −0.012 and 0.012 with step 0.003 for each strain mode = 1,2, …, 6). Taking YNiBC at 0 GPa as an example, Figure 2 shows the strain energy density as a function of deformation parameter for the considered six strain modes. The discrete points indicate the values from the first principles calculations and the solid curves represent the results obtained from the second-order polynomial fitting.
Figure 2.
The strain-energy density relations of YNiBC at 0 GPa. The discrete points indicate the values from the first principles calculations and the solid curves represent the results obtained from the second-order polynomial fitting.
Based on the calculated elastic constants, the bulk modulus B and shear modulus G can be evaluated in terms of the Voigt-Reuss-Hill (VRH) scheme [26]. The Voigt modulus [27] are
and the Reuss modulus [28] are
Hill [26] proposed that the effective bulk and shear moduli should be the arithmetic mean values of the Voigt and Reuss moduli and thus obtained by
3. Results and Discussion
For RNiBC (R=Y, Lu) with tetragonal structure, the initial structural model is built according to the previous available lattice parameters. There are six atoms per unit cell, with Y(Lu) located at (0, 0, 0), the two Ni atoms at (0, 0.5, 0.25) and (0, 0.5, 0.75), the two B atoms at positions (0, 0, z) and (1, 1, 1−z), and the C atom at (0, 0, 0.5), where z is the so-called internal parameter. Therefore, this structure is defined by two lattice parameters (a and c) and one internal parameter (z). These lattice parameters under different pressures are calculated by optimizing crystal structure at the given pressure. When optimizing the structural parameters of RNiBC (R=Y, Lu), the full relaxations with respect to the volume, shape and all internal atomic positions for the unit cell are carried out until the change in the total energy is smaller than 10 eV between two ionic steps relaxation. The calculated equilibrium lattice constants (a and c) and the internal parameter (z) at 0 GPa are presented and compared with available experimental [29,30,31,32,33,34,35,36,37,38] and theoretical results [11,13,14,39] in Table 1. The maximum deviations of the calculated equilibrium lattice constants a and c for RNiBC (R=Y, Lu) correspond to 1.22% and 1.37% as compared with the respective experimental values, while the internal parameters z are almost equal to their experimental values. This level of disagreement in the lattice constants is quite common for theories based on the GGA. Besides, the pressure dependent parameters , and the ratio are illustrated in Figure 3, where and are the equilibrium structure parameters at GPa. In both systems the ratio decreases more quickly than with increasing pressure, indicating that the compression along c-axis is larger.
Table 1.
Comparison of the calculated lattice parameters (Å) for RNiBC (R=Y, Lu) at GPa with the previous theoretical results and experimental data.
Figure 3.
Normalized parameters , , of (a) YNiBC and (b) LuNiBC as a function of pressure.
Knowledge of the values of elastic constants is crucial for understanding the structural stability. The calculated elastic constants of RNiBC (R=Y, Lu) under different pressures are tabulated in Table 2, together with the experimental data [40] and other theoretical results [13]. It is found that our calculated elastic constants of YNiBC agree well with the previous results. From Table 2, whatever YNiBC or LuNiBC, it is clearly found that , , , , increase and the change of remains almost invariant with increasing pressure. The change of the elastic constants of YNiBC is similar to the Ref. [13] reported by Wang et al. It is also noted that for YNiBC, which indicates that atomic bonding strength along the plane between the nearest neighbors is stronger than that along the plane in the whole range of pressure, but LuNiBC has the opposite change trend. Besides, the relation for RNiBC (R=Y, Lu) predicts that the [100](001) shear is expected to be relatively easy in comparison with the [100](010) shear in the whole range of pressure. Moreover, the elastic stability criterion for a tetragonal crystal under isotropic pressure is as follows [25,41,42]:
where (), , . With increasing pressure can not be firstly satisfied among all the mechanical stability conditions for RNiBC (R=Y, Lu). Figure 4 shows versus pressure for RNiBC (R=Y, Lu). It is observed that the values of YNiBC and LuNiBC are equal to zero at pressures about 93.6 GPa and 50.5 GPa, respectively, which indicates that the tetragonal structure is not mechanically stable above pressures about 93.6 GPa and 50.5 GPa for YNiBC and LuNiBC, respectively. Wang et al. [13] suggested that the structure phase transition of YNiBC may happen when GPa.
Table 2.
Calculated elastic constants (GPa) of RNiBC (R=Y, Lu) under different pressures and compared with available data.
Figure 4.
versus pressure for RNiBC (R=Y, Lu).
In order to predict the plastic properties of solids, Pugh [43] introduced a simple relationship that linked empirically the brittle or ductile behavior of materials with their elastic moduli by . A ductile manner of material with lower and brittle materials with higher , the critical value which separates ductile and brittle materials is about 0.57. Figure 5a shows the value as a function of pressure for RNiBC (R=Y, Lu). It is clear that the ratio decreases with increasing pressure and the calculated values are all lower than 0.57 regardless of YNiBC or LuNiBC, which indicates that they display ductile nature and pressure can improve their ductilities. Furthermore, it is observed from Figure 5a that the value of LuNiBC is always smaller than that of YNiBC, illustrating that LuNiBC is more ductility than YNiBC under different pressures. In addition, Poisson’s ratio with can also reflect the ductile properties, which usually ranges from −1 to 0.5, the smaller the Poisson’s ratio leading to more brittle behavior of a material. Figure 5b presents the pressure dependent Poisson’s ratio for RNiBC (R=Y, Lu). The values of increase accordingly along with pressure increasing regardless of YNiBC or LuNiBC, and the value of LuNiBC is always larger than that of YNiBC under different pressures. That is, we can obtain the same conclusion from both the and . Moreover, hardness is another important parameter to describe the mechanical properties of a material, which is employed to characterize the ability of a material resistance to elastic and permanent plastic deformation or brittle failure [44]. Both the and have close relationship with the hardness of materials. Recently, based on the Teter’s famous empirical correlation [45], a simplified formula of Vickers hardness proposed by Chen et al. [46,47] can be expressed as , where . The calculated values of Vickers hardness for RNiBC (R=Y, Lu) under different pressures are plotted in Figure 5c. Obviously, the hardness of RNiBC (R=Y, Lu) decreases with increasing pressure and LuNiBC has smaller Vickers hardness value than YNiBC under different pressures, suggesting that the metallic bonding of LuNiBC is stronger than that of YNiBC under different pressures. In other words, high pressure results in increase of ductility for both YNiBC and LuNiBC, and LuNiBC is more ductility than YNiBC under different pressures.
Figure 5.
(a) Quotient of shear to bulk modulus ; (b) Poisson’s ratio and (c) Vickers hardness as a function of pressure for RNiBC (R=Y, Lu).
The elastic anisotropy of crystal is one of the most important parameters for engineering science and estimating mechanical properties of compounds. For a tetragonal crystal the elastic anisotropy can be described by the two shear factors and . In the case of an isotropic crystal, or equals to one, while any value smaller or larger than one is anisotropy. For RNiBC (R=Y, Lu), and can be expressed as [48]:
The anisotropy factors along shear plane and along shear plane for RNiBC (R=Y, Lu) are plotted in Figure 6. It is a pity that there are still no experimental data for comparison. For YNiBC the shear anisotropic factor along shear plane increases sharply from 1.75 to 3.32, and for LuNiBC it increases sharply from 2.16 to 5.69. However, the change of remains almost invariant with increasing pressure regardless of YNiBC or LuNiBC. In addition, Ranganathan and Ostoja-Starzewski [49] summarized the existing anisotropy theories and developed a universal elastic anisotropy index , which is defined as
Figure 6.
The pressure dependence of the shear anisotropy factors (, ) and universal anisotropy factor () for (a) YNiBC and (b) LuNiBC, respectively.
represents an isotropic material and a nonzero value of is a measure of the anisotropy. Figure 6 also shows the pressure dependence of the for RNiBC (R=Y, Lu). It is clear that both YNiBC and LuNiBC are anisotropic materials and their anisotropy can be enhanced with increasing pressure. Besides, LuNiBC has more anisotropy than YNiBC under different pressures.
The Debye temperature () is also an important fundamental parameter since it is closely related to the specific heat, thermal conductivity, melting temperature, etc. The can be obtained from elastic constants by the following equations [50,51]:
where h is the Plank’s constant, k is the Boltzmann’s constant, n is the number of atoms per unit cell, is the Avogadro’s number, is the density, M is the molecular weight, respectively. , and are the average, shear and longitudinal sound velocities, respectively.
Table 3 displays the pressure dependence of , , , and for RNiBC (R=Y, Lu). Meanwhile, various elastic wave velocities and Debye temperature with pressure are also showed in Figure 7 in order to clearly see their change with pressure. It can be found that, as the pressure increases, the densities and the longitudinal sound velocities increase monotonously, for YNiBC the shear sound velocity firstly increases from 3566.17 m/s and then starts to decrease from 3793.77 m/s to 3788.02 m/s after 90 GPa, and for LuNiBC it firstly increases from 2965.24 m/s and then starts to decrease from 3120.50 m/s to 3088.95 m/s after 40 GPa. Because of the pressure effect on the shear and longitudinal sound velocities, for YNiBC the average sound velocity firstly increases from 3990.44 m/s and then starts to decrease from 4294.42 m/s to 4288.85 m/s after 90 GPa, and for LuNiBC it firstly increases from 3323.92 m/s and then starts to decrease from 3519.38 m/s to 3492.15 m/s after 40 GPa. The Debye temperature of YNiBC at 0 GPa is 535.15 K, which is close to the available experimental value K obtained through low temperature specific heat by Hong et al. [52] and the theoretical result obtained by Wang et al. [13] from the first principles. However, the Debye temperature of LuNiBC at 0 GPa is 450.39 K, which has larger discrepancy with the experimental value 345 K [53]. Whatever YNiBC or LuNiBC, the Debye temperature increases with pressure increasing, and the Debye temperature of YNiBC is always larger than that of LuNiBC under different pressures. However, there are no experimental data of the Debye temperature of RNiBC (R=Y, Lu) under high pressure for comparison. Therefore, the present results could be served as a prediction for future experiment.
Table 3.
The density ( in g/cm), longitudinal (), shear () and average () elastic wave velocities (in m/s) and Debye temperature ( in K) of RNiBC (R=Y, Lu) under different pressures.
Figure 7.
The pressure dependence of the longitudinal (), shear () and average () elastic wave velocities and Debye temperature for (a) YNiBC and (b) LuNiBC, respectively.
4. Conclusions
In summary, we have investigated the structure stability and mechanical properties of RNiBC (R=Y, Lu) under different pressures by means of the first principles. The pressure dependent normalized lattice parameters (, and ) and elastic constants of RNiBC (R=Y, Lu) are also presented. It is found that their lattice parameters and elastic constants agree well with the previous theoretical results and experimental data. By the elastic stability criteria under isotropic pressure, it is predicted that YNiBC and LuNiBC with tetragonal structure are not mechanically stable above 93.6 GPa and 50.5 GPa, respectively. On the basis of the pressure dependent elastic constants, the Pugh’s modulus ratio, Poisson’s ratio, Vickers hardness, elastic anisotropy and Debye temperature of YNiBC in the pressure range of 0–100 GPa and LuNiBC in the pressure range of 0–60 GPa are further investigated. It is shown that the ductility and Debye temperature of the tetragonal RNiBC (R=Y, Lu) increase with increasing pressure, and LuNiBC is more ductility and lower Debye temperature than YNiBC under different pressures. It is a pity that there are no available experimental values under pressure for comparison, the present results could be served as a prediction for future experiment.
Acknowledgments
The work is supported by the Science and Technology Research Program of Chongqing Municipal Education Commission (Grant No. KJ1710252), the central university cross project (106112017CDJQJ308822), the Natural Science Foundation of China (11104361), Project supported by Program for Innovation Team Building at Institutions of Higher Education in Chongqing (CXTDX201601034) and Project Supported by Chongqing Municipal Key Laboratory of Institutions of Higher Education (Grant No. C16).
Author Contributions
Rui Wang, Zhengquan Hu and Youchang Jiang carried out the theoretical calculations; Lili Liu and Xiaozhi Wu analyzed the data; Dingxing Liu wrote the paper.
Conflicts of Interest
The authors declare no conflict of interest.
References
- Mazumdar, C.; Nagarajan, R.; Godart, C.; Gupta, L.C.; Latroche, M.; Dhar, S.K.; Levy-Clement, C.; Padalia, B.D.; Vijayaraghavan, R. Superconductivity at 12 K in Y-Ni-B system. Solid State Commun. 1993, 87, 413–416. [Google Scholar] [CrossRef]
- Nagarajan, R.; Mazumdar, C.; Hossain, Z.; Dhar, S.K.; Gopalakrishnan, K.V.; Gupta, L.C.; Godart, C.; Padalia, B.D.; Vijayaraghavan, R. Bulk superconductivity at an elevated temperature (Tc ≊ 12 K) in a nickel containing alloy system Y-Ni-BC. Phys. Rev. Lett. 1994, 72, 274. [Google Scholar] [CrossRef] [PubMed]
- Cava, R.J.; Takagi, H.; Zandbergen, H.W.; Krajewski, J.J.; Peck, W.F., Jr.; Siegrist, T.; Batlogg, B.; Van Dover, R.B.; Felder, R.J.; Mizuhashi, K.; et al. Superconductivity in the quaternary intermetallic compounds LnNi2B2C. Nature 1994, 367, 252–253. [Google Scholar] [CrossRef]
- Meenakshi, S.; Vijayakumar, V.; Rao, R.S.; Sikka, B.K.; Ravindran, P.; Hossain, Z.; Nagarajan, R.; Gupta, L.C.; Vijayaraghavan, R. High-pressure studies on YNi2B2C at room temperature. Phys. Rev. B 1998, 58, 3377. [Google Scholar] [CrossRef]
- Dervenagas, P.; Bullock, M.; Zarestky, J.; Canfield, P.; Cho, B.K.; Harmon, B.; Goldman, A.I.; Stassis, C. Soft phonons in superconducting LuNi2B2C. Phys. Rev. B 1995, 52, R9839. [Google Scholar] [CrossRef]
- Park, H.-J.; Shin, H.-S.; Lee, H.-G.; Yang, I.-S.; Lee, W.C.; Cho, B.K.; Canfield, P.C.; Johnston, D.C. Raman modes of RNi2B2C (R=Lu, Ho, Y) single crystals. Phys. Rev. B 1996, 53, 2237. [Google Scholar] [CrossRef]
- Meenakshi, S.; Vijayakumar, V.; Rao, R.S.; Godwal, B.K.; Sikka, S.K.; Hossain, Z.; Nagarajan, R.; Gupta, L.C.; Vijayaraghavan, R. High pressure study of borocarbide superconductor YNi2B2C at room temperature. Physica B 1996, 223, 93–95. [Google Scholar] [CrossRef]
- Weber, F.; Rosenkranz, S.; Pintschovius, L.; Castellan, J.-P.; Osborn, R.; Reichardt, W.; Heid, R.; Bohnen, K.-P.; Goremychkin, E.A.; Kreyssig, A.; et al. Electron-phonon coupling in the conventional superconductor YNi2B2C at high phonon energies studied by time-of-flight neutron spectroscopy. Phys. Rev. Lett. 2012, 109, 057001. [Google Scholar] [CrossRef] [PubMed]
- Mattheiss, L.F. Electronic properties of superconducting LuNi2B2C and related boride carbide phases. Phys. Rev. B 1994, 48, 13279. [Google Scholar] [CrossRef]
- Lee, J.I.; Zhao, T.S.; Kim, I.G.; Min, B.I.; Youn, S.J. Electronic structure of Ni-based superconducting quaternary compounds: YNi2B2X (X=B, C, N, and O). Phys. Rev. B 1994, 50, 4030. [Google Scholar] [CrossRef]
- Weht, R.; Cappannini, O.M.; Rodriguez, C.O.; Christensen, N.E. First-principles calculation of compressibilities and their pressure dependence in LuNi2B2C. Physica C 1996, 260, 125. [Google Scholar] [CrossRef]
- Cappannini, O.M.; Rodriguez, C.O.; Christensen, N.E. Pressure dependence of compressibilities in YNi2B2C and YPd2B2C. Physica C 1998, 306, 101. [Google Scholar] [CrossRef]
- Wang, P.; Piao, C.G.; Meng, R.Y.; Cheng, Y.; Ji, G.-F. Elastic and electronic properties of YNi2B2C under pressure from first principles. Physica B 2012, 407, 227–231. [Google Scholar] [CrossRef]
- Tütüncü, H.M.; Uzunok, H.Y.; Karaca, E.; Srivastava, G.P.; Özer, S.; Uğur, S. Ab initio investigation of BCS-type superconductivity in LuNi2B2C-type superconductors. Phys. Rev. B 2015, 92, 054510. [Google Scholar] [CrossRef]
- Kresse, G.; Hafner, J. Ab initio molecular dynamics for open-shell transition metals. Phys. Rev. B 1993, 48, 3115. [Google Scholar] [CrossRef]
- Kresse, G.; Furthmller, J. Efficiency of ab-initio total energy calculations for metals and semiconductors using a plane-wave basis set. Comput. Mater. Sci. 1996, 6, 15–50. [Google Scholar] [CrossRef]
- Kresse, G.; Furthmller, J. Efficient iterative schemes for ab initio total-energy calculations using a plane-wave basis set. Phys. Rev. B 1996, 54, 11169. [Google Scholar] [CrossRef]
- Blöchl, P.E. Projector augmented-wave method. Phys. Rev. B 1994, 50, 17953. [Google Scholar] [CrossRef]
- Kresse, G.; Joubert, D. From ultrasoft pseudopotentials to the projector augmented-wave method. Phys. Rev. B 1999, 59, 1758. [Google Scholar] [CrossRef]
- Perdew, J.P.; Burke, K.; Ernzerhof, M. Generalized gradient approximation made simple. Phys. Rev. Lett. 1996, 77, 3865–3868. [Google Scholar] [CrossRef] [PubMed]
- Monkhorst, H.J.; Pack, J.D. Special points for Brillouin-zone integrations. Phys. Rev. B 1976, 13, 5188. [Google Scholar] [CrossRef]
- Birch, F. Finite Elastic Strain of Cubic Crystals. Phys. Rev. 1947, 71, 809. [Google Scholar] [CrossRef]
- Murnaghan, F. Finite Deformation of an Elastic Solid; Wiley: New York, NY, USA, 1951. [Google Scholar]
- Thurston, R.; Brugger, K. Third-Order Elastic Constants and the Velocity of Small Amplitude Elastic Waves in Homogeneously Stressed Media. Phys. Rev. 1964, 133, A1604. [Google Scholar] [CrossRef]
- Liu, L.L.; Xu, G.; Wang, A.R.; Wu, X.Z.; Wang, R. First-principles investigations on structure stability, elastic properties, anisotropy and Debye temperature of tetragonal LiFeAs and NaFeAs under pressure. J. Phys. Chem. Solids 2017, 104, 243. [Google Scholar] [CrossRef]
- Hill, R. The Elastic Behaviour of a Crystalline Aggregate. Proc. Phys. Soc. A 1953, 65, 349. [Google Scholar] [CrossRef]
- Voigt, W. Lehrbuch der Kristallphysik; Taubner: Leipzig, Germany, 1928. [Google Scholar]
- Reuss, A.; Angew, Z. Calculation of the flow limits of mixed crystals on the basis of the plasticity of monocrystals. Math. Mech. 1929, 9, 49. [Google Scholar]
- Pintschovius, L.; Weber, F.; Reichardt, W.; Kreyssig, A.; Heid, R.; Reznik, D.; Stockert, O.; Hradil, K. Phonon linewidths in YNi2B2C. Pramana-J. Phys. 2008, 71, 687–693. [Google Scholar] [CrossRef]
- Godart, C.; Gupta, L.C.; Nagarajan, R.; Dhar, S.K.; Noel, H.; Potel, M.; Mazumdar, C.; Hossain, Z.; Levy-Clement, C.; Schiffmacher, G.; et al. Structural, superconducting, and magnetic properties of YNi2B2C and ErNi2B2C. Phys. Rev. B 1995, 51, 489. [Google Scholar] [CrossRef]
- Siegrist, T.; Zandbergen, H.W.; Cava, R.J.; Krjcwskl, J.J.; Peck, W.F., Jr. The crystal structure of superconducting LuNl2B2C and the related phase LuNiBC. Nature 1994, 367, 254. [Google Scholar] [CrossRef]
- Belger, A.; Jaenicke-Rössler, U.; Lipp, D.; Wehner, B.; Paufler, P.; Behr, G. Structure refinement of the superconducting phase YNi2B2C as a function of temperature in the range 25–300 K. Physica C 1998, 306, 277. [Google Scholar] [CrossRef]
- Siegrist, T.; Cava, R.J.; Krajewski, J.J.; Peck, W.F., Jr. Crystal chemistry of the series LnT2B2C (Ln = rare earth, T = transition element). J. Alloys Compd. 1994, 216, 135. [Google Scholar] [CrossRef]
- Gao, L.; Qui, X.D.; Cao, Y.; Meng, R.L.; Sun, Y.Y.; Xue, Y.Y.; Chu, C.W. Superconductivity in (LuC)2(Ni2B2) and (LuC)(Ni2B2). Phys. Rev. B 1994, 50, 9445. [Google Scholar] [CrossRef]
- Nohara, M.; Isshiki, M.; Takagi, H.; Cava, R.J. Magnetic Field Dependence of the Low-Temperature Specific Heat of the Borocarbide Superconductor LuNi2B2C. J. Phys. Soc. Jpn. 1997, 66, 1888–1891. [Google Scholar] [CrossRef]
- Narozhnyi, V.N.; Freudenberger, J.; Kochetkov, V.N.; Nenkov, K.A.; Fuchs, G.; Handstein, A.; Müller, K.-H. Hall effect in LuNi2B2C and YNi2B2C borocarbides: A comparative study. Phys. Rev. B 1999, 59, 14762. [Google Scholar] [CrossRef]
- Zarestky, J.; Stassis, C.; Goldman, A.; Canfield, P.; Shirane, G.; Shapiro, S. Phonon profiles in superconducting YNi2B2C and LuNi2B2C. Phys. Rev. B 1999, 60, 11932. [Google Scholar] [CrossRef]
- Zarestky, J.L.; Stassis, C.; Goldman, A.I.; Canfield, P.C.; Shirane, G.; Shapiro, S.M. Phonon–phonon interactions in (Lu, Y)Ni2B2C. J. Phys. Chem. Solids 2002, 63, 811–814. [Google Scholar] [CrossRef]
- Ravindran, P.; Sankaralingam, S.; Asokamani, R. Electronic structure and phase-stability studies on superconducting YNi2B2C, YRh3B, and nonsuperconducting YNi4B. Phys. Rev. B 1995, 52, 12921. [Google Scholar] [CrossRef]
- Rourke, P.M.C.; Paglione, J.; Ronning, F.; Taillefer, L.; Kadowaki, K. Elastic tensor of YNi2B2C. Physica C 2003, 397, 1. [Google Scholar] [CrossRef]
- Mouhat, F.; Coudert, F.X. Necessary and sufficient elastic stability conditions in various crystal systems. Phys. Rev. B 2014, 90, 224104. [Google Scholar] [CrossRef]
- Zhai, H.C.; Li, X.F.; Du, J.Y. First-Principles Calculations on Elasticity and Anisotropy of Tetragonal Tungsten Dinitride under Pressure. Mater. Trans. 2012, 53, 1247–1251. [Google Scholar] [CrossRef]
- Pugh, S.F. XCII. Relations between the elastic moduli and the plastic properties of polycrystalline pure metals. Philos. Mag. 1954, 45, 823–843. [Google Scholar] [CrossRef]
- Brazhkin, V.V.; Lyapin, A.G.; Hemley, R.J. Harder than diamond: Dreams and reality. Philos. Mag. A 2002, 82, 231–253. [Google Scholar] [CrossRef]
- Teter, D.M. Computational alchemy: The search for new superhard materials. MRS Bull. 1998, 23, 22–27. [Google Scholar] [CrossRef]
- Chen, X.Q.; Niu, H.Y.; Li, D.Z.; Li, Y.Y. Modeling hardness of polycrystalline materials and bulk metallic glasses. Intermetallics 2011, 19, 1275–1281. [Google Scholar] [CrossRef]
- Chen, X.Q.; Niu, H.Y.; Franchini, C.; Li, D.Z.; Li, Y.Y. Hardness of T-carbon: Density functional theory calculations. Phys. Rev. B 2011, 84, 121405(R). [Google Scholar] [CrossRef]
- Ravindran, P.; Fast, L.; Korzhayi, P.A.; Johansson, B. Density functional theory for calculation of elastic properties of orthorhombic crystals: Application to TiSi2. J. Appl. Phys. 1998, 84, 4891–4904. [Google Scholar] [CrossRef]
- Ranganathan, S.I.; Ostoja-Starzewski, M. Universal Elastic Anisotropy Index. Phys. Rev. Lett. 2008, 101, 055504. [Google Scholar] [CrossRef] [PubMed]
- Anderson, O.L. A simplified method for calculating the debye temperature from elastic constants. J. Phys. Chem. Solids 1963, 24, 909–917. [Google Scholar] [CrossRef]
- Schreiber, E.; Anderson, O.L.; Soga, N. Elastic Constants and Their Measurements; McGraw: New York, NY, USA, 1973. [Google Scholar]
- Hong, N.M.; Michor, H.; Vybornov, M.; Holubar, T.; Hundegger, P.; Perthold, W.; Hilscher, G.; Rogl, P. Superconductivity in Y-Ni-B base compounds. Physica C 1994, 227, 85–94. [Google Scholar] [CrossRef]
- Carter, S.A.; Batlogg, B.; Cava, R.J.; Krajewski, J.J.; Peck, W.F., Jr.; Takagi, H. Electron density of states in the borocarbide intermetallic superconductors. Phys. Rev. B 1994, 50, 4216. [Google Scholar] [CrossRef]
© 2017 by the authors. Licensee MDPI, Basel, Switzerland. This article is an open access article distributed under the terms and conditions of the Creative Commons Attribution (CC BY) license (http://creativecommons.org/licenses/by/4.0/).






