Abstract
We synthesized new Fe(II) compounds consisting of [Fe(L)2] (HL: 2-Acetylpyridine isonicotinoylhydrazone) and dicarboxylic acids. Single crystal analysis shows that short hydrogen bonds are formed between [Fe(L)2] and dicarboxylic acids. The hydrogen bonding interactions between metal complexes and dicarboxylic acids are complemented by π-π interactions, forming two-dimensional network structures. Magnetic properties show that the Fe(II) compounds exhibit gradual spin crossover behavior around room temperature and a T1/2 value is dependent on the halogen substituent on the dicarboxylic acids.
1. Introduction
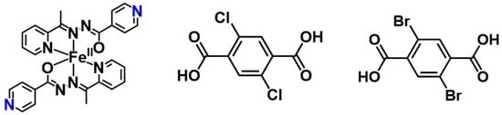
Hydrogen bonding plays an important role in various biological [], catalytic [] and crystal engineering systems []. Proton transfer or proton migration between the two components that make up a hydrogen bonding system is an important mechanism of ferroelectricity [,,]. Furthermore, switching of the conduction and magnetic properties of organic conductor crystals via deuterium transfer in a short hydrogen bond was recently reported []; however, although several interesting short hydrogen bonding systems have been reported in pure organic systems, it is still a challenge to construct short hydrogen bonding in functional coordination compounds such as in spin crossover (SCO) and valence tautomeric complexes. There are numerous reports on SCO compounds forming hydrogen bonding networks between anions or solvent molecules and SCO complexes, and these investigations demonstrated that the strength and dimensionality of the hydrogen bonding network contribute to SCO behavior, including the sharpness and hysteresis of the crossover; however, the hydrogen bonding distances in these compounds tend to be long because the pKa values of anions or solvent molecules tend to be much higher or lower than the pKa value at a proton acceptor site. Therefore, for the construction of short hydrogen bonds, it is important to introduce proton donor or acceptor molecules that have pKa values near that of the SCO complex. In this study, we have investigated a new SCO compound comprising an Fe(II) complex and a polyprotic organic acid, wherein a short hydrogen bond is formed between the Fe(II) complex and the polyprotic organic acid. There are few studies that report the crystal structure of SCO compounds with the polyprotic organic acids []. Here, 2-Acetylpyridine isonicotinoylhydrazone (HL) was used as a ligand for the Fe(II) complex. The neutral Fe(II) complex bearing this ligand has a proton acceptor site at the terminal Py ring (Scheme 1). Neutral complexes with similar ligands have been reported to exhibit SCO behavior [,]. Thus, it was expected that co-crystals comprising the neutral Fe(II) complex and a polyprotic organic acid would also exhibit SCO behavior. We focus on a group of polyprotic organic dicarboxylic acids, particularly those with halogen substituents. In the SCO compounds introducing halogen-substituted dicarboxylic acids, the hydrogen bond distance is expected to be controlled by changing the halogen substituent without changing the crystal structure. Therefore, T1/2 is also expected to be controlled by changing the halogen substituent in dicarboxylic acid. Notably, it has been reported that the T1/2 value can be controlled by modifying ligands and exchanging counter-ions in SCO compounds [,]. To confirm this hypothesis, 2,5-dichroloterephthalic acid (H2Cl2TPA) and 2,5-dibromoterephthalic acid (H2Br2TPA) were chosen as a counterpart of the hydrogen bond, where the carboxyl group in H2Cl2TPA and H2Br2TPA would act as the proton donor.

Scheme 1.
Schematic of proton accepter complex [Fe(L)2] and proton donor acids H2Cl2TPA and H2Br2TPA. Proton acceptors on the terminal pyridine ring of 2-acetylpyridine isonicotinoylhydrazone are shown in blue.
2. Results and Discussion
Experiment
The new SCO Fe(II) compounds 1-Cl and 1-Br containing H2Cl2TPA and H2Br2TPA, respectively, and 2-acetylpyridine isonicotinoylhydrazone as a ligand were synthesized using the procedure described in the Experimental Section. The newly synthesized 1-Cl and 1-Br were characterized using X-ray crystal structure analysis, IR spectroscopy, and magnetic property measurements.
The crystal structures of 1-Cl and 1-Br were measured at 123 K and 320 K. The asymmetric unit and molecular arrangement of 1-Cl are displayed in Figure 1a,b, respectively. The crystal structures of 1-Cl and 1-Br are isostructural. Crystallographic data and tables of bond distances and angles for 1-Cl and 1-Br are listed in Table 1. The Fe(II)–N and Fe(II)–O coordination distances in 1-Cl and 1-Br at 123 K were 1.947(3)–1.966(3) Å and 1.989(2)–1.999(2) Å, respectively, which were consistent with those of low-spin Fe(II) complexes []. These coordination distances were found to increase with the increase in temperature, indicating that both 1-Cl and 1-Br exhibit SCO. However, the distances observed at 320 K were not equal to those expected to be achieved by high-spin Fe(II) complexes; therefore, SCO in both 1-Cl and 1-Br was not completed at 320 K. The crystal structural data measured at 320 K was not sufficient to determine the position of the hydrogen atom involved in hydrogen bond determination from the difference Fourier map. The Fe(II)–N and Fe(II)–O coordination distances in 1-Cl were observed to be larger than those in 1-Br at 320 K because 1-Cl has a higher rate of high-spin iron(II) than that of 1-Br at this temperature. As shown in Figure 1a, the asymmetric unit of 1-Cl comprises one Fe(II) complex and one H2Cl2TPA molecule. The molecular arrangement shows that a zig-zag chain was formed with an alternating arrangement of Fe(II) complexes and H2Cl2TPA molecules via hydrogen bonds formed between the N atom in the terminal Py ring in the Fe(II) complex and a carboxyl group in H2Cl2TPA (Figure 1b). The N4∙∙∙O3 hydrogen bond distance in the terminal pyridine ring was relatively long (N4∙∙∙O3 = 2.663 Å), whereas the N8∙∙∙O5 hydrogen bond distance was relatively short (N8∙∙∙O5 = 2.552 Å) at 123 K. The N4∙∙∙O3 and N8∙∙∙O5 hydrogen bond distances in 1-Br were slightly longer (N4∙∙∙O3 = 2.681 Å, N8∙∙∙O5 = 2.560 Å) than those in 1-Cl at 123 K. The N8∙∙∙O5 bond distances in 1-Cl and 1-Br were short for a N∙∙∙O-type hydrogen bond but slightly longer than those commonly observed in organic compounds that exhibit proton migration induced by temperature change [,,]. Regarding the temperature dependency of hydrogen bond distances, studies have reported that the hydrogen bond distance between the Py ring in isonicotinic acid hydrazide, a precursor of L, and the carboxyl group tends to increase with increasing temperature [,,]. The increment of N4∙∙∙O3 and N8∙∙∙O5 bond distances from 123 K to 320 K was observed in 1-Cl and 1-Br. In addition, the difference in hydrogen bond distances at 123 K and 300 K in 1-Cl was found to be larger than that in 1-Br, suggesting that the spin transition from low spin to high spin contributes to the elongation of hydrogen bond distance in these compounds. The O–H bond distances in the hydrogen bonds show that the hydrogen atoms involved in both the short and long hydrogen bonds were located closer to the H2Cl2TPA molecules at 123 K. The C–O bond distances in the carboxyl groups and the C–N–C angles in the terminal Py ring also support the proposition that the hydrogen atoms in the hydrogen bonds were located closer to the H2Cl2TPA molecules. At 123 K, the C34–O3 and C27–O5 bond distances were 1.318(4) Å and 1.305(4) Å, respectively, demonstrating that they are single bonds, i.e., C–O. On the other hand, the C34–O4 and C27–O6 bond distances were 1.210(4) Å and 1.217(4) Å, respectively, indicating that these are double bonds, i.e., C=O. The C–O bond distances were consistent with those found in carboxylic acids []. Furthermore, the C–N–C angles in the terminal Py rings at 123 K were 117.6(3)° and 118.7(3)° for C13–N4–C11 and C24–N8–C26, respectively, which were in good agreement with the angle characteristics of a non-protonated Py ring []. The same metrical parameters are also present in 1-Br. These results were consistent with the hydrogen atom positions determined from the difference Fourier map. In addition, similar tendencies of C=O and C–O distances and C–N–C angles as observed at 123 K in 1-Cl and 1-Br were found at 320 K, suggesting that the hydrogen atom positions involved in forming the hydrogen bond do not significantly change according to SCO; substantial proton transfer from the carboxyl group to the Py ring does not occur. Thus, 1-Cl and 1-Br represent a co-crystal comprising a neutral Fe(II) complex and a neutral acid rather than an ionic crystal. Furthermore, the terminal Py ring with N4 atom in [Fe(L)2] forms π-π interactions with the H2Cl2TPA and H2Br2TPA molecules and these distances are 3.363 Å and 3.299 Å, respectively (Figure 2). Overall, 1-Cl and 1-Br form a two-dimensional network structure; one-dimensional hydrogen bond chains interact through π-π interactions, forming a two-dimensional structure.

Figure 1.
(a) Asymmetric unit of 1-Cl; (b) Molecular arrangements of [Fe(L)2] and H2Cl2TPA in zig-zag hydrogen bonded chain.

Table 1.
Crystallographic data and coordination distances and angles around Fe(II) and the proton donor and acceptor sites, and the hydrogen bond geometry for 1-Cl and 1-Br at 123 K and 320 K.

Figure 2.
The π-π interaction between [Fe(L)2] and H2Cl2TPA in 1-Cl.
The IR spectra of 1-Cl and 1-Br also support the proposal that both compounds are co-crystals (Figure 3a,b). It is known that the broad peaks derived from O–H∙∙∙N stretching appear around 1950 and 2450 cm−1 when strong hydrogen bonds are present in the crystal []. However, the peak around 1950 cm−1 shifts toward 2150 cm−1 if the proton is located on the N side of the hydrogen bond, i.e., O∙∙∙H–N []. Furthermore, C=O stretching in the carboxyl group has been utilized to differentiate between the protonated and deprotonated state of the carboxyl group; for example, in terephthalic acid, C=O stretching appeared at 1692 cm−1, whereas in disodium terephthalate, C=O stretching appeared at 1567 cm−1. The IR spectra of 1-Cl and 1-Br show broad peaks at around 1950 and 2450 cm−1, and strong peaks at 1713 cm−1 and 1717 cm−1, similar to those observed for H2Cl2TPA (Figure 3a, gray line) and H2Br2TPA (Figure 3b, gray line), respectively. The IR data indicate that these compounds contain a neutral Fe(II) complex and neutral H2Cl2TPA and H2Br2TPA, respectively.

Figure 3.
(a) IR spectra for 1-Cl (green line) and H2Cl2TPA (gray line); (b) IR spectra for 1-Br (brown line) and H2Br2TPA (gray line).
Magnetic susceptibility measurements for 1-Cl and 1-Br were performed over the temperature range of 10–400 K at a sweep rate of 1 K·min−1 with a magnetic field of 5 kOe. The χmT-T plots of 1-Cl and 1-Br in Figure 4 show that both compounds exhibited gradual spin crossover. In the low-spin state, the χmT values in 1-Cl and 1-Br were nearly zero, which was in good agreement with the expected value for low-spin Fe(II) (S = 0). Upon warming, the χmT value of 1-Cl gradually increased above 210 K and reached 2.49 cm3·K·mol−1 at 400 K, whereas the χmT value of 1-Br gradually increased above 250 K and reached 1.90 cm3·K·mol−1 at 400 K. These values were less than the expected value for high-spin Fe(II) (S = 2) because the spin crossover was not complete even at 400 K. The χmT values in 1-Cl and 1-Br at 320 K are 1.60 cm3 K·mol−1 and 0.53 cm3 K·mol−1, respectively. This indicates that 53% and 18% of low-spin Fe(II) changed to high-spin Fe(II), respectively, in 1-Cl and 1-Br at 320 K. The difference of the fraction of high-spin Fe(II) between 1-Cl and 1-Br at 320 K could also be followed from the result in the single-crystal X-ray measurement that showed the Fe(II)–N and Fe(II)–O coordination distances for 1-Cl are larger than those for 1-Br at 320 K. The difference in T1/2 between 1-Cl (314 K) and 1-Br (376 K) indicates that changing the halogen substituent on the dicarboxylic acids can influence the hydrogen bond distance and the SCO behavior without changing the molecular arrangement; however, these compounds do not exhibit abrupt SCO despite the presence of short hydrogen bonds, caused by the low dimensionality of the hydrogen bonding network.

Figure 4.
χmT-T plots for 1-Cl (blue dots) and 1-Br (brown dots).
3. Experimental Section
3.1. Synthesis
3.1.1. Synthesis of Ligand HL
HL was synthesized according to the method described by Musuc et al. [].
3.1.2. Synthesis of [Fe(L)2](H2Cl2TPA) (1-Cl)
HL (48 mg, 0.20 mmol) was dissolved in methanol (30 mL), and FeSO4·7H2O (27 mg, 0.10 mmol) was added to the solution. The mixture was stirred for 30 min. Following this, H2Cl2TPA (23.5 mg, 0.10 mmol) was added and the mixture was stirred for 30 sec. Subsequently, the solution was evaporated using a N2 gas flow over several days. Plate shape crystals were obtained (47 mg, 61%). Elemental analysis calcd for C34H24Cl2FeN8O6 (769.38); C 53.08, H 3.41, N 14.56; found. C 52.66, H 3.54, 14.50.
3.1.3. Synthesis of [Fe(L)2](H2Br2TPA) (1-Br)
The synthetic procedure for 1-Br is similar to that for 1-Cl except for the use of H2Br2TPA instead of H2Cl2TPA. Plate shape crystals were obtained by evaporation of the solution containing HL, FeSO4·7H2O and H2Br2TPA using a N2 gas flow over several days (65 mg, 76%). Elemental analysis calcd for C34H24Br2FeN8O6 (858.28); C 47.58, H 3.05, N 13.06; found. C 47.66, H 3.10, 12.85.
3.2. X-ray Structure Determination
Diffraction data of 1-Cl and 1-Br at 123 K and 320 K was collected on a Rigaku charge-coupled device (CCD) diffractometer (Rigaku, Tokyo, Japan). A crystal was glued onto a nylon loop and enveloped in a temperature-controlled steam (Rigaku, Tokyo, Japan) of dry N2 gas during data collection. The structures were solved by direct methods and refined with full-matrix least-squares procedures using the program SHELXS-97 []. Hydrogen atoms involved in hydrogen bonds were determined from Fourier Difference Map at 123 K. Other hydrogen atoms were determined by calculation and refined using the riding model. All non-hydrogen atoms were refined anisotropically. CCDC 1487718 (1-Cl 123 K), 1506004 (1-Cl 320 K), 1497560 (1-Br 123 K) and 1506005 (1-Br 320 K) contains the supplementary crystallographic data for this paper. These data can be obtained free of charge via http://www.ccdc.cam.ac.uk/conts/retrieving.html (or from the CCDC, 12 Union Road, Cambridge CB2 1EZ, UK; Fax: +44 1223 336033; E-mail: deposit@ccdc.cam.ac.uk).
3.3. IR Spectra
IR spectra were recorded with KBr pellet sample by a JASCO FT/IR-660 Plus spectrometer (JASCO, Tokyo, Japan) in the 600–4000 cm−1 region.
3.4. Magnetic Property Measurement
Magnetic measurements were performed on a Quantum Design MPMS-5S SQUID (superconducting quantum-interference device) magnetometer (Quantum Design, San Diego, CA, USA), and data were corrected for the diamagnetic contribution, calculated from Pascal’s constants.
4. Conclusions
In summary, we have synthesized a new SCO complex [Fe(L)2] that can form short hydrogen bonds with a dicarboxylic acid. The crystal structures of 1-Cl and 1-Br showed that a zig-zag hydrogen-bonded chain was formed between the terminal Py ring in the Fe complex and the carboxyl group in H2Cl2TPA and H2Br2TPA. Two different hydrogen bond distances were observed; one was long, whereas the other was short, and these distances in 1-Br are slightly longer than in 1-Cl. Both short hydrogen bond distances are attributed to N∙∙∙O-type hydrogen bonds and are slightly longer than those for organic compounds reporting the proton migration phenomenon. The dependence of hydrogen bond distances on temperature was observed to be similar to that in organic compounds comprising isonicotinic acid hydrazide and dicarboxylic acids. Furthermore, the spin transition from low-spin to high-spin state was stated to contribute to the elongation of hydrogen bond distances in 1-Cl and 1-Br. O–H and C–O bond distances in the carboxyl group and the C–N–C angle in the terminal Py rings suggested that the hydrogen atoms involved in the hydrogen bonds are localized on the carboxyl group in H2Cl2TPA and H2Br2TPA. The IR spectra of 1-Cl and 1-Br, in particular the presence of an O–H∙∙∙N stretching mode, also supported the fact that the hydrogen atoms are located on the carboxyl group. This indicated that 1-Cl and 1-Br are co-crystals comprising neutral [Fe(L)2] and H2Cl2TPA and H2Br2TPA. Magnetic measurements for 1-Cl and 1-Br showed that a gradual SCO occurred around room temperature, and it was confirmed that the T1/2 value in SCO compounds comprising halogen-substituted dicarboxylic acids can be influenced by only changing the halogen substituent without changing the molecular arrangement.
Author Contributions
Takumi Nakanishi and Osamu Sato have designed the compounds and performed any experiment and analysis.
Conflicts of Interest
The authors declare no conflict of interest.
References
- Yamaguchi, S.; Kamikubo, H.; Kurihara, K.; Kuroki, R.; Niimura, N.; Shimizu, N.; Yamazaki, Y.; Kataoka, M. Low-barrier hydrogen bond in photoactive yellow protein. Proc. Natl. Acad. Sci. USA 2009, 106, 440–444. [Google Scholar] [CrossRef] [PubMed]
- Ohshima, T.; Shibuguchi, T.; Fukuta, Y.; Shibasaki, M. Catalytic asymmetric phase-transfer reactions using tartrate-derived asymmetric two-center organocatalysts. Tetrahedron 2004, 60, 7743–7754. [Google Scholar] [CrossRef]
- Shan, N.; Bond, A.D.; Jones, W. Crystal engineering using 4,4′-bipyridyl with di- and tricarboxylic acids. Cryst. Eng. 2002, 5, 9–24. [Google Scholar] [CrossRef]
- Horiuchi, S.; Ishii, F.; Kumai, R.; Okimoto, Y.; Tachibana, H.; Nagaosa, N.; Tokura, Y. Ferroelectricity near room temperature in co-crystals of nonpolar organic molecules. Nat. Mater. 2005, 4, 163–166. [Google Scholar] [CrossRef] [PubMed]
- Horiuchi, S.; Kumai, R.; Tokura, Y. A supramolecular ferroelectric realized by collective proton transfer. Angew. Chem. Int. Ed. Engl. 2007, 46, 3497–3501. [Google Scholar] [CrossRef] [PubMed]
- Sato, O. Dynamic molecular crystals with switchable physical properties. Nat. Chem. 2016, 8, 644–656. [Google Scholar] [CrossRef] [PubMed]
- Ueda, A.; Yamada, S.; Isono, T.; Kamo, H.; Nakao, A.; Kumai, R.; Nakao, H.; Murakami, Y.; Yamamoto, K.; Nishio, Y.; et al. Hydrogen-bond-dynamics-based switching of conductivity and magnetism: A phase transition caused by deuterium and electron transfer in a hydrogen-bonded purely organic conductor crystal. J. Am. Chem. Soc. 2014, 136, 12184–12192. [Google Scholar] [CrossRef] [PubMed]
- Coronado, E.; Gimenez-Lopez, M.C.; Gimenez-Saiz, C.; Romero, F.M. Spin crossover complexes as building units of hydrogen-bonded nanoporous structures. CrystEngComm 2009, 11, 2198–2203. [Google Scholar] [CrossRef]
- Hill, S.; Datta, S.; Liu, J.; Inglis, R.; Milios, C.J.; Feng, P.L.; Henderson, J.J.; del Barco, E.; Brechin, E.K.; Hendrickson, D.N. Magnetic quantum tunneling: Insights from simple molecule-based magnets. Dalton Trans. 2010, 39, 4693–4707. [Google Scholar] [CrossRef] [PubMed]
- Zhang, L.; Xu, G.C.; Xu, H.B.; Zhang, T.; Wang, Z.M.; Yuan, M.; Gao, S. Abrupt spin transition around room temperature and light induced properties in Fe(II) complexes with N4O2 coordination sphere. Chem. Commun. 2010, 46, 2554–2556. [Google Scholar] [CrossRef] [PubMed]
- Paulsen, H.; Duelund, L.; Zimmermann, A.; Averseng, F.; Gerdan, M.; Winkler, H.; Toftlund, H.; Trautwein, A.X. Substituent effects on the spin-transition temperature in complexes with tris(pyrazolyl) ligands. Monatsh. Chem. 2003, 134, 295–306. [Google Scholar] [CrossRef]
- Lemercier, G.; Brefuel, N.; Shova, S.; Wolny, J.A.; Dahan, F.; Verelst, M.; Paulsen, H.; Trautwein, A.X.; Tuchagues, J.P. A range of spin-crossover temperature T1/2 > 300 k results from out-of-sphere anion exchange in a series of ferrous materials based on the 4-(4-imidazolylmethyl)-2-(2-imidazolylmethyl)imidazole (trim) ligand, [Fe(trim)2]X2 (X = F, Cl, Br, I): Comparison of experimental results with those derived from density functional theory calculations. Chem. Eur. J. 2006, 12, 7421–7432. [Google Scholar] [PubMed]
- Cowan, J.A.; Howard, J.A.; McIntyre, G.J.; Lo, S.M.; Williams, I.D. Variable-temperature neutron diffraction studies of the short, strong hydrogen bonds in the crystal structure of pyridine-3,5-dicarboxylic acid. Acta Crystallogr. B 2005, 61, 724–730. [Google Scholar] [CrossRef] [PubMed]
- Steiner, T.; Majerz, I.; Wilson, C.C. First O–H–N hydrogen fond with a centered proton obtained by thermally induced proton migration. Angew. Chem. Int. Ed. 2001, 40, 2651–2654. [Google Scholar] [CrossRef]
- Cowan, J.A.; Howard, J.A.K.; McIntyre, G.J.; Lo, S.M.F.; Williams, I.D. Variable-temperature neutron diffraction studies of the short, strong n center dot center dot center dot o hydrogen bonds in the 1:2 co-crystal of benzene-1,2,4,5-tetracarboxylic acid and 4,4′-bipyridyl. Acta Crystallogr. Sect. B-Struct. Sci. 2003, 59, 794–801. [Google Scholar] [CrossRef]
- Grobelny, P.; Mukherjee, A.; Desiraju, G.R. Drug-drug co-crystals: Temperature-dependent proton mobility in the molecular complex of isoniazid with 4-aminosalicylic acid. CrystEngComm 2011, 13, 4358–4364. [Google Scholar] [CrossRef]
- Cherukuvada, S.; Nangia, A. Fast dissolving eutectic compositions of two anti-tubercular drugs. CrystEngComm 2012, 14, 2579–2588. [Google Scholar] [CrossRef]
- Aitipamula, S.; Wong, A.B.H.; Chow, P.S.; Tan, R.B.H. Novel solid forms of the anti-tuberculosis drug, isoniazid: Ternary and polymorphic cocrystals. CrystEngComm 2013, 15, 5877–5887. [Google Scholar] [CrossRef]
- Bis, J.A.; Zaworotko, M.J. The 2-aminopyridinium-carboxylate supramolecular heterosynthon: A robust motif for generation of multiple-component crystals. Cryst. Growth Des. 2005, 5, 1169–1179. [Google Scholar] [CrossRef]
- Bhunia, M.K.; Das, S.K.; Bhaumik, A. Temperature induced proton transfer in a hydrogen bonded supramolecule. Chem. Phys. Lett. 2010, 498, 145–150. [Google Scholar] [CrossRef]
- Aakeröy, C.B.; Hussain, I.; Forbes, S.; Desper, J. Exploring the hydrogen-bond preference of N–H moieties in co-crystals assembled via O–H(acid)∙∙∙N(py) intermolecular interactions. CrystEngComm 2007, 9, 46–54. [Google Scholar] [CrossRef]
- Ababei, L.V.; Kriza, A.; Andronescu, C.; Musuc, A.M. Synthesis and characterization of new complexes of some divalent transition metals with 2-acetyl-pyridyl-isonicotinoylhydrazone. J. Therm. Anal. Calorim. 2011, 107, 573–584. [Google Scholar] [CrossRef]
- Sheldrick, G.M. A short history of SHELX. Acta Cryst. A 2008, A64, 112–122. [Google Scholar] [CrossRef] [PubMed]
© 2016 by the authors; licensee MDPI, Basel, Switzerland. This article is an open access article distributed under the terms and conditions of the Creative Commons Attribution (CC-BY) license (http://creativecommons.org/licenses/by/4.0/).