Structural, Thermophysical, and Radiation Shielding Properties of Lead–Bismuth Eutectic (LBE) Synthesized by Induction Melting
Abstract
1. Introduction
2. Materials and Methods
3. Results and Discussion
3.1. Structure and Stoichiometry of LBE
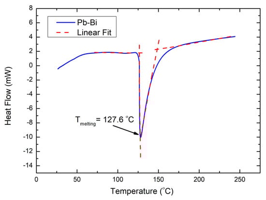
3.2. Thermophysical Properties of LBE
3.3. Radiation Shielding Properties of LBE
4. Conclusions
Author Contributions
Funding
Data Availability Statement
Acknowledgments
Conflicts of Interest
References
- Wang, W.; Yang, C.; You, Y.; Yin, H. A Review of Corrosion Behavior of Structural Steel in Liquid Lead–Bismuth Eutectic. Crystals 2023, 13, 968. [Google Scholar] [CrossRef]
- Amer, T.Z.; Saleh, S.E.; El Shazly, R.M.; Gomma, N.S.; Bahgat, A.A. Study of the physical and nuclear properties of liquid PbBiCd alloy coolant in nuclear fast reactor. J. Nucl. Mater. 2019, 522, 226–235. [Google Scholar] [CrossRef]
- Gong, X.; Short, M.P.; Auger, T.; Charalampopoulou, E.; Lambrinou, K. Environmental degradation of structural materials in liquid lead and lead-bismuth eutectic-cooled reactors. Prog. Mater. Sci. 2022, 126, 100920. [Google Scholar] [CrossRef]
- Zhu, Z.; Zhang, Q.; Tan, J.; Wu, X.; Ma, H.; Zhang, Z.; Ren, Q.; Han, E.-H.; Wang, X. Corrosion behavior of T91 steel in liquid lead-bismuth eutectic at 550 °C: Effects of exposure time and dissolved oxygen concentration. Corros. Sci. 2022, 204, 110405. [Google Scholar] [CrossRef]
- Qiu, J.; Han, J.; Schoell, R.; Popovic, M.; Ghanbari, E.; Kaoumi, D.; Scully, J.R.; Macdonald, D.D.; Hosemann, P. Electrical properties of thermal oxide scales on pure iron in liquid lead–bismuth eutectic. Corros. Sci. 2020, 176, 109052. [Google Scholar] [CrossRef]
- Xue, H.; Xu, P.; Yu, G.; Guo, Y.; Liao, Z.; Chen, Z. Determination of 21 Po generation from lead–bismuth eutectic irradiated with neutrons. J. Radioanal. Nucl. Chem. 2023, 332, 1345–1351. [Google Scholar] [CrossRef]
- Montanari, R.; Varone, A.; Gregoratti, L.; Kaciulis, S.; Mezzi, A. Lead-Bismuth Eutectic: Atomic and Micro-Scale Melt Evolution. Materials 2019, 12, 3158. [Google Scholar] [CrossRef]
- Wang, G.; Pang, S.; Jiang, T. A brief review of liquid heat transfer materials used in concentrated solar power systems and thermal energy storage devices of concentrated solar power systems. Eng. Rep. 2023, 5, e12576. [Google Scholar] [CrossRef]
- Wang, G.; Wang, T. Effect Evaluation of Filling Medium Parameters on Operating and Mechanical Performances of Liquid Heavy Metal Heat Storage Tank. Sustainability 2022, 14, 14551. [Google Scholar] [CrossRef]
- Popović, M.P.; Olmsted, D.L.; Bolind, A.M.; Asta, M.; Sohn, S.; Schroers, J.; Shao, R.; Hosemann, P. A study of the effects of minor additives to Pb-Bi eutectic: Designing novel Pb-Bi-X liquid alloys for heat transfer applications. Mater. Des. 2018, 159, 240–251. [Google Scholar] [CrossRef]
- Zhai, H.; Wang, S.; An, B.; Dai, X. Performance and parameter sensitivity comparison of CSP power cycles under wide solar energy temperature ranges and multiple working conditions. Energy Convers. Manag. 2020, 218, 112996. [Google Scholar] [CrossRef]
- Lorenzin, N.; Abánades, A. A review on the application of liquid metals as heat transfer fluid in Concentrated Solar Power technologies. Int. J. Hydrogen Energy 2016, 41, 6990–6995. [Google Scholar] [CrossRef]
- de Figueiredo Luiz, D.; Boon, J.; Rodriguez, G.O.; van Sint Annaland, M. Review of the molten salt technology and assessment of its potential to achieve an energy efficient heat management in a decarbonized chemical industry. Chem. Eng. J. 2024, 498, 155819. [Google Scholar] [CrossRef]
- Caraballo, A.; Galán-Casado, S.; Caballero, Á.; Serena, S. Molten salts for sensible thermal energy storage: A review and an energy performance analysis. Energies 2021, 14, 1197. [Google Scholar] [CrossRef]
- Alva, G.; Lin, Y.; Fang, G. An overview of thermal energy storage systems. Energy 2018, 144, 341–378. [Google Scholar] [CrossRef]
- Vignarooban, K.; Xinhai, X.; Arvay, A.; Hsu, K.; Kannan, A.M. Heat transfer fluids for concentrating solar power systems—A review. Appl. Energy 2015, 146, 383–396. [Google Scholar] [CrossRef]
- Pacio, J.; Wetzel, T. Assessment of liquid metal technology status and research paths for their use as efficient heat transfer fluids in solar central receiver systems. Sol. Energy 2013, 93, 11–22. [Google Scholar] [CrossRef]
- Flesch, J.; Niedermeier, K.; Fritsch, A.; Musaeva, D.; Marocco, L.; Uhlig, R.; Baake, E.; Buck, R.; Wetzel, T. Liquid metals for solar power systems. In IOP Conference Series: Materials Science and Engineering; IOP Publishing: Bristol, UK, 2017; Volume 228, p. 012012. [Google Scholar]
- Gancarz, T. The thermophysical properties of Bi-Ga alloys. J. Mol. Liq. 2022, 363, 119912. [Google Scholar] [CrossRef]
- Novakovic, R.; Giuranno, D.; Lee, J.; Mohr, M.; Delsante, S.; Borzone, G.; Miani, F.; Fecht, H.-J. Thermophysical Properties of Fe-Si and Cu-Pb Melts and Their Effects on Solidification Related Processes. Metals 2022, 12, 336. [Google Scholar] [CrossRef]
- Saad, M.; ALMohiy, H.; Alqahtani, M.S.; Alshihri, A.A.; Shalaby, R.M. Study of structural, physical, characteristics and radiation shielding parameters of Bi50-Pb40-Sn10 and Bi40-Pb40-Sn10-Cd10 alloys used for radiation therapy. Radiat. Eff. Defects Solids 2022, 177, 545–555. [Google Scholar] [CrossRef]
- Herreros, A.F. Overview and History of Lead and Lead-Bismuth Fast Reactors (LFRs); Stanford University: Stanford, CA, USA, 2024. [Google Scholar]
- Grauer, M.; Benndorf, C.; Rohr, V.; Paulmann, C.; Oeckler, O. Investigations of Some Disordered Quaternary Compounds in the Systems Ag/Pb/Sb/Se and Ag/Pb/Sb/Te. Crystals 2024, 14, 789. [Google Scholar] [CrossRef]
- Agazhanov, A.S.; Stankus, S.V.; Savchenko, I.V.; Samoshkin, D.A. Thermal conductivity of lead and bismuth-lead eutectic melts up to 1300 K. Nucl. Eng. Des. 2024, 423, 113166. [Google Scholar] [CrossRef]
- Concetta, F.; Sobolev, V.P.; Aerts, A.; Gavrilov, S.; Lambrinou, K.; Schuurmans, P.; Gessi, A.; Agostini, P.; Ciampichetti, A.; Martinelli, L.; et al. Handbook on Lead-Bismuth Eutectic Alloy and Lead Properties, Materials Compatibility, Thermal-Hydraulics and Technologies; OECD/NEA: Paris, France, 2015. [Google Scholar]
- Wei, Y.; La, P.; Zheng, Y.; Zhan, F.; Yu, H.; Yang, P.; Zhu, M.; Bai, Z.; Gao, Y. Review of Molten Salt Corrosion in Stainless Steels and Superalloys. Crystals 2025, 15, 237. [Google Scholar] [CrossRef]
- Bhatnagar, P.; Siddiqui, S.; Sreedhar, I.; Parameshwaran, R. Molten salts: Potential candidates for thermal energy. Int. J. Energy Res. 2022, 46, 17755–17785. [Google Scholar] [CrossRef]
- Jo, S.; Kim, S.; Cho, J. A Fast Variance Reduction Technique for Efficient Radiation Shielding Calculations in Nuclear Reactors. Energies 2024, 17, 5695. [Google Scholar] [CrossRef]
- Xing, M.; Fan, J.; Shen, F.; Lu, D.; Li, L.; Yu, H.; Fan, J. Comparative Analysis on the Characteristics of Liquid Lead and Lead–Bismuth Eutectic as Coolants for Fast Reactors. Energies 2025, 18, 596. [Google Scholar] [CrossRef]
- Kraus, W.; Nolze, G. POWDER CELL—A programfor the representation and manipulation of crystal structures and calculation of the resulting X-ray powder patterns. J. Appl. Crystallogr. 1996, 29, 301–303. [Google Scholar] [CrossRef]
- Rasmussen, S.E.; Lundtoft, B. Crystal data for Pb7Bi3, a superconducting ε-phase in the Pb-Bi system. Powder Diffr. 1987, 2, 28. [Google Scholar] [CrossRef]
- Wyckoff, R.W.G. Crystal Structures; Interscience Publishers: New York, NY, USA, 1963; Volume 1. [Google Scholar]
- Sharma, A.; Tyagi, V.V.; Chen, C.R.; Buddhi, D. Review on thermal energy storage with phase change materials and applications. Renew. Sustain. Energy Rev. 2009, 13, 318–345. [Google Scholar] [CrossRef]
- Morita, K.; Maschek, W.; Flad, M.; Yamano, H.; Tobita, Y. Thermophysical Properties of Lead-Bismuth Eutectic Alloyin Reactor Safety Analyses. J. Nucl. Sci. Technol. 2006, 43, 526–536. [Google Scholar] [CrossRef]
- Xiong, F.; Zhou, J.; Jin, Y.; Zhang, Z.; Qin, M.; Han, H.; Shen, Z.; Han, S.; Geng, X.; Jia, K.; et al. Thermal shock protection with scalable heat-absorbing aerogels. Nat. Commun. 2024, 15, 7125. [Google Scholar] [CrossRef] [PubMed]
- Şakar, E.; Özpolat, Ö.F.; Alım, B.; Sayyed, M.I.; Kurudirek, M. Phy-X/PSD: Development of a user friendly online software for calculation of parameters relevant to radiation shielding and dosimetry. Radiat. Phys. Chem. 2020, 166, 108496. [Google Scholar] [CrossRef]
- Zagrai, M.; Suciu, R.-C.; Gavrea, R.C.; Rednic, V. Evolution of the Radiation Shielding, Optical, and Luminescence Properties of PbO2-SiO2 Glass Systems and the Influence of Rare Earth Elements (Eu, Ce, Yb). Appl. Sci. 2025, 15, 2076–3417. [Google Scholar] [CrossRef]
- Yin, S.; Wang, H.; Wang, S.; Zhang, J.; Zhu, Y. Effect of B2O3 on the Radiation Shielding Performance of Telluride Lead Glass System. Crystals 2022, 12, 178. [Google Scholar] [CrossRef]
- Al-Fakeh, M.S.; Saleh, E.E.; Alresheedi, F. Synthesis of Novel Li2O-CuO-Bi2O3-B2O3 Glasses for Radiation Protection: An Experimental and Theoretical Study. Inorganics 2023, 11, 27. [Google Scholar] [CrossRef]








| Parameter | Details |
|---|---|
| Alloy Composition | Pb44.5Bi55.5 (44.5 wt% Pb, 55.5 wt% Bi) |
| Starting Materials Purity | Pb: 99.99 wt%, Bi: 99.999 wt% |
| Melting Method | Vacuum induction melting (VIM) |
| Crucible Material | Graphite |
| Vacuum Pressure | 10−4 mbar |
| Number of Melting Cycles | 6 cycles |
| Mixing Process | Repeated turning and melting |
| Cooling Method | Water-cooling (Cooled to room temperature) |
| Mass Loss | <1% |
![]() | |
| Structural Phase | Space Group | Lattice Parameters(Å) | Lattice Parameters From the Literature (Å) | Phase Concentration | XRD Stoichiometry |
|---|---|---|---|---|---|
| ε-Pb7Bi3 | 194 | a = 3.508 c = 5.808 | a = 3.5058; c = 5.7959; [31] | 65.2% | Pb45.64Bi54.36 |
| Bi | 166 | a = 4.539 c = 11.871 | a = 4.546 c = 11.862 [32] | 34.8% | Pb45.64Bi54.36 |
| Compound | Z | M (g/mol) | Binding Energies (MeV) | |||
|---|---|---|---|---|---|---|
| K1s | L12s | L22p1/2 | L32p3/2 | |||
| Bi | 83 | 208.98 | 0.0905 | 0.1639 | 0.1571 | 0.1342 |
| Pb | 82 | 207.2 | 0.0880 | 0.1586 | 0.1520 | 0.1304 |
Disclaimer/Publisher’s Note: The statements, opinions and data contained in all publications are solely those of the individual author(s) and contributor(s) and not of MDPI and/or the editor(s). MDPI and/or the editor(s) disclaim responsibility for any injury to people or property resulting from any ideas, methods, instructions or products referred to in the content. |
© 2025 by the authors. Licensee MDPI, Basel, Switzerland. This article is an open access article distributed under the terms and conditions of the Creative Commons Attribution (CC BY) license (https://creativecommons.org/licenses/by/4.0/).
Share and Cite
Gavrea, R.C.; Surducan, E.; Hirian, R.; Zagrai, M.; Rednic, V. Structural, Thermophysical, and Radiation Shielding Properties of Lead–Bismuth Eutectic (LBE) Synthesized by Induction Melting. Crystals 2025, 15, 581. https://doi.org/10.3390/cryst15060581
Gavrea RC, Surducan E, Hirian R, Zagrai M, Rednic V. Structural, Thermophysical, and Radiation Shielding Properties of Lead–Bismuth Eutectic (LBE) Synthesized by Induction Melting. Crystals. 2025; 15(6):581. https://doi.org/10.3390/cryst15060581
Chicago/Turabian StyleGavrea, Radu Cristian, Emanoil Surducan, Răzvan Hirian, Mioara Zagrai, and Vasile Rednic. 2025. "Structural, Thermophysical, and Radiation Shielding Properties of Lead–Bismuth Eutectic (LBE) Synthesized by Induction Melting" Crystals 15, no. 6: 581. https://doi.org/10.3390/cryst15060581
APA StyleGavrea, R. C., Surducan, E., Hirian, R., Zagrai, M., & Rednic, V. (2025). Structural, Thermophysical, and Radiation Shielding Properties of Lead–Bismuth Eutectic (LBE) Synthesized by Induction Melting. Crystals, 15(6), 581. https://doi.org/10.3390/cryst15060581


