Abstract
In this study, a V2O3/carbon (V2O3/C) composite was synthesized using zeolitic imidazolate framework 8 (ZIF-8) as both a sacrificial template and in situ carbon source. The composite was prepared by mixing ZIF-8 with NH4VO3, followed by annealing at 800 °C, resulting in nanoscale V2O3 embedded in a nitrogen-doped porous carbon matrix. Fabricated into a thin-film cathode via alternating current electrophoretic deposition (AC-EPD), the composite exhibited mixed capacitive–diffusion-controlled charge storage behavior with favorable Zn2+ transport kinetics, as confirmed by a b-value analysis (b = 0.72) and diffusion coefficient measurements (DZn = 6.2 × 10−11 cm2/s). Notably, the cathode displayed photoresponsive redox behavior under 450 nm illumination, enhancing the Zn-ion kinetics. These findings demonstrate the potential of MOF-derived V2O3/C composites for high-performance, photo-enhanced zinc-ion energy storage applications.
1. Introduction
Zinc-ion batteries (ZIBs) offer a promising alternative to lithium-ion systems, thanks to their safety, low cost, and use of aqueous electrolytes [1,2]. Using zinc metal anodes enables high-capacity and stable cycling, but developing effective cathode materials remains challenging. Vanadium-based oxides stand out for their multi-electron redox behavior, structural tunability, and efficient Zn2+ intercalation. Among various candidates, vanadium-based oxides and vanadates stand out for their high redox activity involving multiple oxidation states (V3+/V4+/V5+), enabling high Zn2+ storage capacities through both intercalation and pseudocapacitive processes [3,4,5]. When synthesized from metal–organic frameworks (MOFs), these compounds often exhibit nanoscale or porous morphologies that promote rapid ion diffusion and efficient charge transfer [6,7,8]. During thermal treatment, the MOF’s organic ligands can convert into nitrogen-doped carbon, enhancing the electrical conductivity and supporting high-rate performance. Additionally, MOF-derived vanadates offer improved structural stability, helping to suppress vanadium dissolution and mechanical degradation during repeated cycling. The resulting carbon-integrated architecture not only stabilizes the active material but also contributes to long-term cycling durability. For example, recent studies have demonstrated the effectiveness of V2O5 nanoplates, VO2 composites, and ZnV2O4 spinels in achieving capacities above 300 mAh/g under moderate cycling conditions. These systems, however, often suffer from vanadium dissolution, phase instability, or sluggish ion diffusion when used in thick electrode formats [6].
To overcome these challenges, MOF-derived vanadium oxides have emerged as a powerful strategy, combining structural tunability, porosity, and in situ carbon formation. MOF-derived materials such as V2O5@C, VOx@NC, and ZnV2O4/C composites have demonstrated enhanced rate capabilities and cycling durability, as the carbon matrix provides electronic conductivity and buffers volume changes [7,8,9]. For instance, Ding et al. synthesized V-MOF-derived V2O5 nanoplates with superior capacity retention, while Wu et al. developed MOF-driven vanadium–carbon hybrids with tailored interfaces to improve the diffusion kinetics [5,6].
Zeolitic imidazolate framework 8 (ZIF-8), a zinc-based MOF, is particularly attractive due to its high thermal stability, uniform porosity, and ability to form nitrogen-doped carbon upon annealing [9]. Its decomposition not only provides a conductive matrix but also allows the spatial confinement of active phases, leading to enhanced particle dispersion and a preserved nanoscale morphology [10,11]. This approach yields materials with controlled morphologies, improved conductivity, and stable frameworks—key features for efficient Zn2+ storage and long-term cycling stability. Although many studies have focused on V2O5 or VO2 derived from MOFs, investigations into MOF-derived V2O3 are still limited. V2O3 offers unique advantages, such as a lower working voltage and stronger intercalation pseudocapacitance, making it a compelling candidate for high-rate Zn-ion storage [12,13].
Here, we fabricated the MOF-derived (V2O3/carbon) V2O3/C composite cathode. ZIF-8 serves multiple valuable roles in the synthesis of V2O3-based composites, even when the formation of Zn-containing phases like ZnV2O4 is absent. During annealing, the organic linkers in ZIF-8 (2-methylimidazole) undergo carbonization, producing a porous nitrogen-doped carbon matrix. This carbon structure confines the growth of V2O3 particles, prevents agglomeration, and enhances the overall electrical conductivity, which is particularly beneficial for applications in batteries and catalysis. The high surface area and uniform distribution of metal ions in ZIF-8 provide a templating effect, enabling the formation of uniformly dispersed V2O3 nanocrystals with a controlled morphology and reduced particle size. These nanoscale features contribute to improved reactivity and enhanced electrochemical performance.
In energy storage systems such as Zn-ion, Li-ion, or Na-ion batteries, V2O3/carbon composites derived from ZIF-8 often demonstrate superior cycling stability, attributed to the carbon matrix buffering the volume changes during charge/discharge. The conductive carbon network also facilitates faster ion and electron transport, leading to better rate capabilities. Moreover, the robust carbon framework derived from ZIF-8 improves the structural stability by mitigating the degradation and agglomeration of V2O3 during repeated cycling or catalytic reactions. ZIF-8 effectively functions as a sacrificial template, a carbon source, and a nanoscale reactor, making it a highly advantageous precursor for the synthesis of V2O3 with an improved microstructure, conductivity, and long-term performance.
In this study, we synthesized a V2O3/carbon composite by mixing ZIF-8 with NH4VO3 and annealing the mixture at 800 °C. Although ZnV2O4 was not formed, the decomposition of ZIF-8 produced a porous, nitrogen-doped carbon matrix that confined V2O3 particles and enhanced the conductivity. The resulting composite was fabricated into a cathode using AC-EPD and tested in an aqueous zinc-ion battery. Electrochemical analysis, including scan rate-dependent CV, revealed favorable kinetics with mixed capacitive and diffusion-controlled charge storage behavior.
2. Experimental Methods
2.1. Synthesis of ZIF-8 and Preparation of V2O3/C Composite Cathode
To synthesize ZIF-8, 3.0 g of zinc nitrate hexahydrate and 3.5 g of 2-methylimidazole were each dissolved in 200 mL of methanol and then combined. The mixed solution was left undisturbed at ambient temperature overnight, allowing the ZIF-8 crystals to form. The resulting white precipitate was collected by centrifugation, rinsed three times with methanol to eliminate residual reactants, and subsequently dried under a vacuum at 120 °C for 12 h to yield purified ZIF-8 powder. To prepare the V2O3/C composite, 90 mg of dried ZIF-8 was combined with 0.5 g of ammonium metavanadate (NH4VO3) and homogenized using a ball-milling process. The resulting mixture was then subjected to thermal annealing at 800 °C for 4 h under an argon atmosphere, with a controlled heating rate of 5 °C/min. Phase identification of the annealed product was performed via X-ray diffraction (XRD).
The composite cathode was fabricated by alternating current electrophoretic deposition (AC-EPD) onto stainless steel (SS) substrates. A dispersion was prepared by sonicating 80 mg of V2O3/C powder in 50 mL of ethanol for 15 min to achieve a homogeneous suspension. EPD was carried out at a frequency of 5 Hz and an applied voltage of 150 V for 20 min, resulting in a uniform film that was approximately 300 nm thick, as confirmed by profilometry (Alpha-Step, Milpitas, CA, USA). Post-deposition, the electrode was annealed at 200 °C under argon for 1 h. The final active material loading was approximately 0.1 mg/cm2. For comparison, a conventional slurry was prepared by dispersing V2O3 powder, carbon black, and a PVDF binder in N-methyl-2-pyrrolidone (NMP). To prepare the working electrode, the active material (V2O3), carbon black as the conductive additive, and the poly(vinylidene fluoride) binder were combined at a weight ratio of 7:2:1 and dispersed in NMP to form a uniform slurry. This slurry was then uniformly coated onto a SS substrate and subsequently dried under a vacuum at 80 °C overnight.
2.2. Electrochemical Characterization
The electrochemical performance of the V2O3/C composite was evaluated using CR2032 coin-type cells assembled under ambient conditions. Each cell employed 150-μm-thick zinc foil as the anode, a Whatman membrane as the separator, and 2 M ZnSO4 aqueous solution as the electrolyte. The active material mass on the cathode was used as the basis for the calculation of the specific capacity and current response.
Cyclic voltammetry (CV) was conducted over a voltage range of 0.2 to 1.9 V to investigate the redox characteristics and determine the charge storage mechanism. Additionally, galvanostatic charge–discharge (GCD) measurements were performed within the 1.0–1.5 V window at varying current densities using a Neware BTS-4000 system. The upper cut-off potential of 1.5 V was selected based on experimental considerations to maintain stable cycling and minimize side reactions, such as water oxidation, rather than to represent the theoretical maximum redox potential of vanadium. These tests provided insights into the composite’s rate performance and cycling durability in aqueous Zn-ion battery configurations.
3. Results and Discussion
Figure 1 illustrates the synthesis process of a V2O3/carbon (V2O3/C) composite using ZIF-8 and NH4VO3 as precursors, accompanied by scanning electron microscopy (SEM) images that capture the morphological evolution during the transformation. Figure 1a shows the as-synthesized ZIF-8, appearing as a white crystalline powder. The corresponding SEM image reveals well-defined polyhedral particles with smooth surfaces and sharp edges, characteristic of the highly crystalline and uniform morphology typical of ZIF-8. This ordered structure serves as an excellent sacrificial template for the production of nanostructured composites. The schematic shows that ZIF-8 was mixed with NH4VO3 and subsequently annealed at 800 °C under an argon atmosphere. During this thermal treatment, ZIF-8 decomposed, yielding a nitrogen-doped porous carbon matrix, while NH4VO3 thermally decomposed to generate vanadium oxides. The solid-state reaction between the components led to the formation of a V2O3 phase embedded within a conductive carbon framework. Due to high-temperature processing, volatile Zn species likely evaporated, resulting in the absence of ZnV2O4 in the final product. Figure 1b shows the annealed product as a fine black powder, indicating successful carbonization and vanadium oxide formation. The accompanying SEM image reveals a drastic change in morphology compared to the original ZIF-8. The polyhedral shape disappears, giving way to a rough, fine-grained surface composed of nanoscale V2O3 particles uniformly dispersed in the carbon matrix.
Figure 1.
Schematic of synthesis and fabrication process of the MOF-derived V2O3/C composite cathode. SEM images of (a) ZIF-8 precursor, showing well-defined polyhedral morphology, and (b) V2O3/C composite obtained by mixing ZIF-8 with NH4VO3 and annealing at 800 °C in an inert atmosphere. (c) Schematic of AC-EPD used to coat the V2O3/C composite onto stainless steel foil at 150 V and 5 Hz.
Figure 1c illustrates the fabrication of a thin, uniform cathode layer using an AC-EPD method [14,15,16]. A stainless steel (SS) substrate was coated with a V2O3/C composite film by applying an AC field of 150 V at 5 Hz, which promoted homogeneous deposition and minimized particle aggregation. Following deposition, the film was annealed at 200 °C for one hour under an argon atmosphere to strengthen particle adhesion and enhance the film’s structural integrity. The use of an alternating current during AC-EPD plays a crucial role in producing a smooth, crack-free film with a consistent thickness across the substrate surface. Such controlled deposition enables excellent interface contact between the active material and electrolyte, which is critical for efficient ion transport and charge transfer. The resulting ~300 nm film offers high surface accessibility and a stable electrode architecture, contributing to an improved capacity, superior rate capabilities, and a prolonged cycling life in zinc-ion battery systems.
The XRD pattern in Figure 2a presented for the V2O3/C composite confirms the successful formation of crystalline V2O3 alongside the presence of carbon. The sharp and well-defined diffraction peaks correspond to the rhombohedral phase of V2O3, with characteristic reflections indexed to planes such as (012), (104), (110), (113), (202), (024), (116), (214), (300), and (210). These peak positions and intensities align well with the standard JCPDS data (no. 34-0187) for V2O3, indicating the good crystallinity of the vanadium oxide phase after annealing. In addition to the V2O3 peaks, several peaks are assigned to the (111), (200), and (220) planes of graphitic carbon. This carbon likely originates from the thermal decomposition of the organic ligands in ZIF-8, which contributes to the conductive matrix in the composite. The coexistence of these two sets of reflections confirms the formation of a V2O3/C hybrid structure, which is beneficial for electrochemical applications due to the synergistic combination of active V2O3 and conductive carbon.
Figure 2.
Structural and electrochemical characterization of the MOF-derived V2O3/C composite. (a) XRD pattern confirming the formation of crystalline V2O3 (black), with characteristic peaks and graphitic carbon (blue), indicating the successful formation of a V2O3/C composite structure. (b) CV curves of the V2O3/C cathode for the first four cycles at a scan rate of 0.1 mV/s, showing stable redox peaks associated with reversible Zn2+ intercalation/deintercalation.
Figure 2b presents the CV profile of the V2O3/C cathode, revealing well-defined redox peaks that confirm the reversible electrochemical process involving Zn2+ ions. During the anodic scan, distinct oxidation peaks appeared in the range of approximately 1.2 to 1.5 V, corresponding to the release of Zn2+ ions from the cathode structure [12,17]. This process is associated with the oxidation of vanadium species, likely transitioning from V3+ to higher oxidation states such as V4+ or V5+. In the cathodic sweep, reduction peaks at 0.9 and 1.3 V indicate the re-insertion of Zn2+ ions into the host material, accompanied by the reduction of vanadium back to lower valence states. The consistency of the peak positions and intensities over successive cycles (from the first to the fourth) reflects the electrochemical stability and good reversibility of the Zn2+ intercalation/deintercalation mechanism within the V2O3/C matrix.
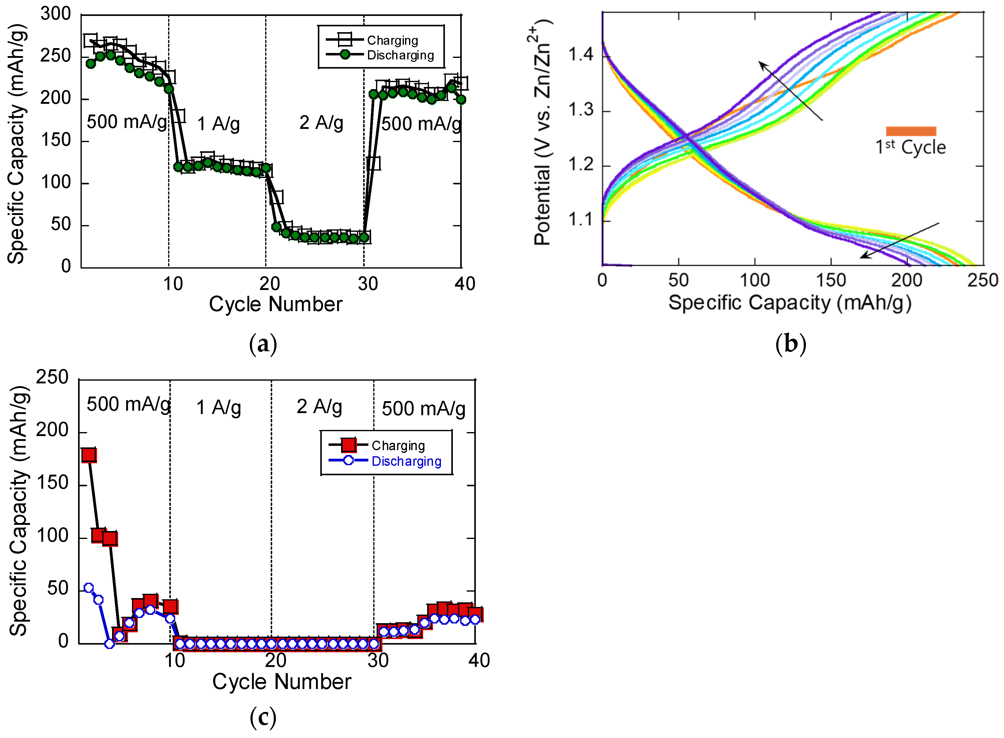
The electrochemical evaluation of the V2O3/C composite cathode in a ZIB is shown in Figure 3, highlighting its cycling performance (Figure 3a) and corresponding charge–discharge voltage profiles (Figure 3b). In the initial cycle, the composite delivers a relatively high specific capacity of approximately 270 mAh/g, which can be attributed to surface-dominated capacitive contributions and the electrochemical activation of the V2O3/C cathode structure. This elevated capacity in the first cycle may also result from side reactions such as electrolyte decomposition or Zn2+ insertion into structural defects. Upon increasing the current density to 1 and 2 A/g, the capacity decreases significantly, stabilizing between 50 and 120 mAh/g, suggesting that, at higher rates, Zn2+ ion diffusion is hindered, limiting the material’s intercalation capabilities. However, when the current density is returned to 500 mA/g, the capacity partially recovers to 210 mAh/g, demonstrating that the material retains its structural stability and electrochemical reversibility even after high-rate cycling.
Figure 3.
Electrochemical performance of the MOF-derived V2O3/C cathode in aqueous ZIBs. (a) Rate capability test showing specific capacity during charging and discharging at various current densities (500 mA/g, 1 A/g, 2 A/g, and back to 500 mA/g), demonstrating good reversibility and capacity recovery. (b) Galvanostatic charge–discharge (GCD) profiles at 500 mA/g over 10 cycles, displaying sloped voltage curves indicative of a combined pseudocapacitive and diffusion-controlled charge storage mechanism. (c) Rate performance of the slurry-casted V2O3 cathode in a ZIB. Specific capacities during charging and discharging are shown across varying current densities (500 mA/g, 1 A/g, 2 A/g, and returning to 500 mA/g).
The charge–discharge profiles in Figure 3b exhibit sloped voltage curves rather than distinct plateaus, indicative of a mixed charge storage mechanism involving both ion diffusion and pseudocapacitive processes. The subtle plateaus observed may correspond to the stepwise redox transitions of vanadium (e.g., V5+/V4+ and V4+/V3+), in agreement with the redox peaks previously identified in the CV curves shown in Figure 2. The larger voltage gap seen in the first cycle likely arises from initial material activation and irreversible side reactions. In subsequent cycles, the reduced polarization suggests improved kinetics and the stabilization of the electrode–electrolyte interface over time.
We compared the rate performance of the MOF-derived V2O3/C cathode fabricated via AC-EPD with that of a conventionally prepared electrode using slurry casting, which incorporated the same synthesized V2O3/C composite mixed with carbon black and a PVDF binder, as shown in Figure 3c. The results reveal that the slurry-casted V2O3 electrode delivers significantly a lower specific capacity across all current densities. In contrast, the binder-free MOF-derived V2O3/C cathode demonstrates a much higher capacity, highlighting its superior charge storage behavior. The significantly lower specific capacity observed in the slurry-casted V2O3 cathode, as shown in Figure 3c, compared to the MOF-derived V2O3/C cathode in Figure 3a, highlights the clear advantage of the MOF-based design and fabrication strategy. This performance difference can be attributed to several key factors. First, the MOF-derived V2O3/C composite benefits from an in situ-formed nitrogen-doped carbon matrix, which originates from the decomposition of the organic ligands in ZIF-8 during annealing. This conductive carbon framework not only enhances electron transport but also promotes a highly porous structure, offering abundant active sites and shortened Zn2+ ion diffusion pathways. In contrast, the conventionally prepared slurry cathode—containing V2O3, super carbon, and a PVDF binder—suffers from poor connectivity between the active material and conductive additives, and the electrochemically inactive binder further dilutes the energy-storing phase, reducing the overall capacity. Second, the MOF-derived cathode was fabricated using AC-EPD, which produced a uniform, binder-free, ultrathin film (~300 nm) directly on the current collector. This method ensures close contact between the active material and current collector, minimizing resistance and improving the reaction kinetics. In contrast, the slurry-casted electrode tends to have thicker and less uniform films, where increased tortuosity hinders ion transport, especially at high rates. Lastly, the nanoscale dispersion of V2O3 in the carbon matrix achieved through MOF templating provides superior structural integrity during cycling, which maintains capacity retention and improves the reversibility. The slurry-based V2O3 electrode, on the other hand, may experience particle agglomeration and poor mechanical cohesion, leading to performance degradation.
Figure 4 presents the charge storage analysis of the V2O3/C composite cathode based on CV measurements conducted at varying scan rates. As shown in Figure 4a, the CV curves exhibit a clear redox peak approximately between 0.7 and 0.9 V, and the relationship between the peak current and scan rate was used to determine the b-value, as plotted in Figure 4b. By applying the power-law relationship ip = avb., where ip is the peak current and v is the scan rate, the calculated b-value was found to be 0.72 [18,19]. This value was obtained from the slope of the log(i) versus log(v) plot, which is commonly used to assess the dominant charge storage mechanism. A b-value of 0.5 suggests diffusion-limited ion intercalation, while a value of 1.0 indicates surface-controlled pseudocapacitive behavior. The intermediate value of 0.72 observed in this study indicates a mixed mechanism, where both Zn2+ intercalation into the bulk and pseudocapacitive surface reactions contribute to the overall charge storage process. The dominance of the diffusion-limited process, given that the b-value is closer to 0.5, suggests that ion transport into the electrode structure remains a significant contributor, but the presence of surface redox activity enhances the rate performance and power handling.

Figure 4.
Charge storage mechanism analysis of the MOF-derived V2O3/C cathode based on scan rate-dependent CV measurements. (a) Cyclic voltammetry curves at various scan rates ranging from 0.1 to 1.0 mV/s, showing an increased current response with higher scan rates. (b) Log–log plot of peak current versus scan rate used to determine the b-value, indicating hybrid charge storage behavior. (c) Separation of total current into capacitive and diffusion-controlled contributions at 0.1 mV/s, revealing diffusion-dominated behavior. (d) Quantitative analysis of capacitive and diffusion-controlled contributions at different scan rates, highlighting the increasing capacitive contribution with the scan rate. (e) Plot of peak current versus the square root of the scan rate, used to estimate Zn2+ diffusion coefficients based on the Randles–Ševčík relationship.
To further distinguish the nature of charge storage, the current response was analyzed using the relationship i(V) = k1ν + k2ν1⁄2, where k1ν accounts for the capacitive component and k2ν1⁄2 represents the diffusion-limited contribution. This equation was linearized to separate the two components by plotting i(V)⁄ν1⁄2 against ν2⁄1, allowing the extraction of k1 and k2 values from the slope and intercept. At a low scan rate of 0.1 mV/s, the diffusion-controlled process dominates the charge storage behavior, as indicated by the larger shaded area, as shown in Figure 4c. However, as the scan rate increases from 0.1 to 1.0 mV/s, the capacitive contribution becomes more pronounced (Figure 4d). This shift reflects the enhanced role of surface redox reactions at higher scan rates, which supports faster charge/discharge responses. Overall, the scan rate-dependent CV analysis confirms that the V2O3/C composite operates through a hybrid mechanism, combining the high energy density of diffusion-controlled intercalation with the high-rate capabilities of surface-driven pseudocapacitive processes.
The Zn2+ ion diffusion coefficient within the ZIB was determined using CV data collected at varying scan rates, applying the Randles–Ševčík equation [20]:
In this expression, Ip represents the peak current, ν is the scan rate, and DZn denotes the Zn2+ diffusion coefficient. The other parameters are standard electrochemical constants: n is the number of electrons involved in the redox reaction, F is Faraday’s constant, A is the electrode’s surface area, CZn is the Zn2+ concentration in the electrolyte, R is the universal gas constant, and T is the temperature in Kelvin. By plotting the peak current against the square root of the scan rate (ν1/2), as illustrated in Figure 4e, a linear relationship was observed, from which the Zn2+ diffusion coefficient was extracted. For the reduction process, the diffusion coefficient was calculated to be approximately 6.2 × 10−11 cm2/s. This value reflects the favorable ion transport characteristics of the ultrathin V2O3/C composite cathode, indicating its ability to support rapid Zn2+ diffusion and efficient electrochemical performance in ZIB applications.
Figure 5 presents the photoelectrochemical characterization of the MOF-derived V2O3/C composite cathode. During the CV measurements, the cathode—placed in a vial-type electrochemical cell—was exposed to blue laser illumination (20 mW/cm2) at a wavelength of 450 nm, as illustrated in Figure 5. The appearance of an enhanced or newly formed peak in the CV curve under illumination—absent or weaker in the dark—suggests that light exposure is actively influencing the redox behavior of the MOF-derived V2O3/C cathode. This peak enhancement under illumination is most likely associated with the photo-induced acceleration of the redox reaction involving vanadium ions. Specifically, in the V2O3/C composite, vanadium undergoes redox transitions such as V3+ ↔ V4+ or V4+ ↔ V5+ during Zn2+ intercalation and deintercalation. Under illumination, photons absorbed by the conductive carbon matrix or V2O3 itself may generate electron–hole pairs. These additional carriers reduce the overpotential required for redox transitions, leading to an increased current response and more pronounced redox peaks. The presence of photoexcited carriers can enhance charge transfer at the electrode–electrolyte interface, making the redox reaction more efficient. This manifests as sharper or higher peaks in the CV curve under light. In Figure 5, the light-induced peak is located around the region where vanadium redox activity is typically observed (~1.3–1.5 V vs. Zn/Zn2+). The fact that this peak is enhanced or more distinct under illumination confirms that the redox process benefits from photoactivation. This is further supported by the absence of such behavior in the slurry-casted V2O3 electrode, which lacks the conductive and photoactive architecture of the MOF-derived composite.
Figure 5.
Photoelectrochemical behavior of the MOF-derived V2O3/C cathode under illumination. Left panel shows a schematic of the electrochemical setup for light-assisted cyclic voltammetry measurements, using an EPD-deposited V2O3/C cathode, Zn foil anode, 2 M ZnSO4 electrolyte, and 450 nm blue laser diode for illumination (20 mW/cm2). Right panel shows the CV curves of the V2O3/C cathode in the dark and under illumination, showing an enhanced current and redox peak intensity under light exposure, indicating photoresponsive charge storage behavior.
This enhancement in the electrochemical response under light exposure suggests that the MOF-derived structure possesses photoactive characteristics, likely due to the close integration of V2O3 with the conductive, nitrogen-doped carbon formed during MOF decomposition. The conductive carbon matrix may facilitate light-induced charge carrier generation and separation, leading to enhanced redox kinetics and current responses. In contrast, no noticeable difference was observed for the conventionally slurry-casted V2O3 cathode under light and dark conditions, indicating the absence of photoresponsiveness. This stark contrast implies that the conventional electrode structure lacks the electronic connectivity, nanoscale interface engineering, and possibly light-absorbing properties that are inherently built into the MOF-derived composite.
4. Conclusions
In this work, a V2O3/C composite was successfully synthesized using ZIF-8 as both a sacrificial template and carbon source, combined with NH4VO3, and thermally treated at 800 °C. Although the expected ZnV2O4 phase did not form—likely due to zinc volatilization—the resulting V2O3/C composite exhibited a nanoscale architecture with enhanced electrical conductivity and structural stability. The composite was fabricated into a thin-film cathode using AC-EPD, yielding a uniform ~300 nm film on stainless steel. Electrochemical testing in aqueous ZIBs revealed good reversibility, stable cycling behavior, and a combined diffusion and pseudocapacitive charge storage mechanism. Moreover, the presence of the illumination-enhanced redox peak suggests that the MOF-derived V2O3/C cathode not only enhances the charge storage performance through structural and conductive benefits but also introduces an additional degree of functionality—photoactivation—which can be leveraged to further boost the electrochemical performance under illumination. The results highlight the effectiveness of MOF-derived strategies in producing high-performance cathode materials for next-generation energy storage systems. Furthermore, the MOF-derived V2O3/C composite can harvest light energy to improve the Zn-ion storage kinetics, offering a promising route toward photo-enhanced or self-charging battery systems.
Funding
This research was supported by the Basic Science Research Program through the National Research Foundation of Korea (NRF) funded by the Ministry of Education (NRF-2015R1A6A1A03031833, and NRF-2020R1A2C1007258). This work was also supported by the 2025 Hongik Faculty Research Support Fund.
Data Availability Statement
The raw data supporting the conclusions of this article will be made available by the authors on request.
Conflicts of Interest
The authors declare no conflict of interest.
References
- Ming, J.; Guo, J.; Xia, C.; Wang, W.; Alshareef, H.N. Zinc-ion batteries: Materials, mechanisms, and applications. Mater. Sci. Eng. R Rep. 2019, 135, 58–84. [Google Scholar] [CrossRef]
- Li, Y.; Wang, Z.; Cai, Y.; Pam, M.E.; Yang, Y.; Zhang, D.; Wang, Y.; Huang, S. Designing advanced aqueous zinc-ion batteries: Principles, strategies, and perspectives. Energy Environ. Mater. 2022, 5, 823–851. [Google Scholar] [CrossRef]
- Lv, T.; Peng, Y.; Zhang, G.; Jiang, S.; Yang, Z.; Yang, S.; Pang, H. How about vanadium-based compounds as cathode materials for aqueous zinc ion batteries? Adv. Sci. 2023, 10, 2206907. [Google Scholar] [CrossRef] [PubMed]
- Zhu, K.; Yang, W. Vanadium-Based Cathodes for Aqueous Zinc-Ion Batteries: Mechanisms, Challenges, and Strategies. Acc. Chem. Res. 2024, 57, 2887–2900. [Google Scholar] [CrossRef] [PubMed]
- Wu, X.; Yin, C.; Zhang, M.; Xie, Y.; Hu, J.; Long, R.; Wu, X.; Wu, X. The intercalation cathode of MOFs-driven vanadium-based composite embedded in N-doped carbon for aqueous zinc ion batteries. Chem. Eng. J. 2023, 452, 139573. [Google Scholar] [CrossRef]
- Ding, Y.; Peng, Y.; Chen, W.; Niu, Y.; Wu, S.; Zhang, X.; Hu, L. V-MOF derived porous V2O5 nanoplates for high performance aqueous zinc ion battery. Appl. Surf. Sci. 2019, 493, 368–374. [Google Scholar] [CrossRef]
- Wang, Y.; Lu, W.; Wang, L.; Li, Y.; Wu, H.; Zhu, X.; Zhang, C.; Wang, K. Vanadate-based Fe-MOFs as promising negative electrode for hybrid supercapacitor device. Nanotechnology 2024, 35, 205402. [Google Scholar] [CrossRef] [PubMed]
- Zhao, T.; Wu, H.; Wen, X.; Zhang, J.; Tang, H.; Deng, Y.; Liao, S.; Tian, X. Recent advances in MOFs/MOF derived nanomaterials toward high-efficiency aqueous zinc ion batteries. Coord. Chem. Rev. 2022, 468, 214642. [Google Scholar] [CrossRef]
- Lee, J.; Park, B.-N. Synergistic Enhancement of Electron Dynamics and Optical Properties in Zeolitic Imidazolate Framework-8-Derived Zinc Oxide via Surface Plasmon Resonance Effects of Silver Nanoparticles under UV Irradiation. Materials 2024, 17, 3193. [Google Scholar] [CrossRef] [PubMed]
- Chen, J.; Wang, X.; Feng, W.; Zhao, W.; Shi, Z. Application of ZIF-8 coated with titanium dioxide in cathode material of lithium-sulfur battery. J. Solid State Electrochem. 2021, 25, 2065–2074. [Google Scholar] [CrossRef]
- Tai, Z.; Shi, M.; Chong, S.; Chen, Y.; Shu, C.; Dai, X.; Tan, Q.; Liu, Y. N-doped ZIF-8-derived carbon (NC-ZIF) as an anodic material for lithium-ion batteries. J. Alloys Compd. 2019, 800, 1–7. [Google Scholar] [CrossRef]
- Zheng, J.; Zhang, Y.; Meng, C.; Wang, X.; Liu, C.; Bo, M.; Pei, X.; Wei, Y.; Lv, T.; Cao, G. V2O3/C nanocomposites with interface defects for enhanced intercalation pseudocapacitance. Electrochim. Acta 2019, 318, 635–643. [Google Scholar] [CrossRef]
- Ding, Y.; Peng, Y.; Chen, S.; Zhang, X.; Li, Z.; Zhu, L.; Mo, L.-E.; Hu, L. Hierarchical porous metallic V2O3@ C for advanced aqueous zinc-ion batteries. ACS Appl. Mater. Interfaces 2019, 11, 44109–44117. [Google Scholar] [CrossRef] [PubMed]
- Lee, J.; Park, B.-N. Inducing and Understanding Pseudocapacitive Behavior in an Electrophoretically Deposited Lithium Iron Phosphate Li-Metal Battery as an Electrochemical Test Platform. J. Phys. Chem. Lett. 2024, 15, 7095–7102. [Google Scholar] [CrossRef] [PubMed]
- Hong, J.; Park, B. Additive-free Electrophoretic-deposited Ti3AlC2 MAX phase Li-ion battery anode. Mater. Lett. 2023, 330, 133227. [Google Scholar] [CrossRef]
- Ferrari, B.; Moreno, R.; Hernán, L.; Melero, M.; Morales, J.; Caballero, A. EPD of thick films for their application in lithium batteries. J. Eur. Ceram. Soc. 2007, 27, 3823–3827. [Google Scholar] [CrossRef]
- Thauer, E.; Zakharova, G.; Deeg, L.; Zhu, Q.; Klingeler, R. Hierarchically structured V2O3/C microspheres: Synthesis, characterization, and their electrochemical properties. Electrochim. Acta 2021, 390, 138881. [Google Scholar] [CrossRef]
- Schötz, T.; Gordon, L.W.; Ivanov, S.; Bund, A.; Mandler, D.; Messinger, R.J. Disentangling faradaic, pseudocapacitive, and capacitive charge storage: A tutorial for the characterization of batteries, supercapacitors, and hybrid systems. Electrochim. Acta 2022, 412, 140072. [Google Scholar] [CrossRef]
- Guan, L.; Yu, L.; Chen, G.Z. Capacitive and non-capacitive faradaic charge storage. Electrochim. Acta 2016, 206, 464–478. [Google Scholar] [CrossRef]
- Leftheriotis, G.; Papaefthimiou, S.; Yianoulis, P. Dependence of the estimated diffusion coefficient of LixWO3 films on the scan rate of cyclic voltammetry experiments. Solid State Ion. 2007, 178, 259–263. [Google Scholar] [CrossRef]
Disclaimer/Publisher’s Note: The statements, opinions and data contained in all publications are solely those of the individual author(s) and contributor(s) and not of MDPI and/or the editor(s). MDPI and/or the editor(s) disclaim responsibility for any injury to people or property resulting from any ideas, methods, instructions or products referred to in the content. |
© 2025 by the author. Licensee MDPI, Basel, Switzerland. This article is an open access article distributed under the terms and conditions of the Creative Commons Attribution (CC BY) license (https://creativecommons.org/licenses/by/4.0/).