Doping Effects on Magnetic and Electronic Transport Properties in BaZn2As2
Abstract
1. Introduction
2. Materials and Methods
3. Results and Discussion
3.1. Crystal Structure Characterization
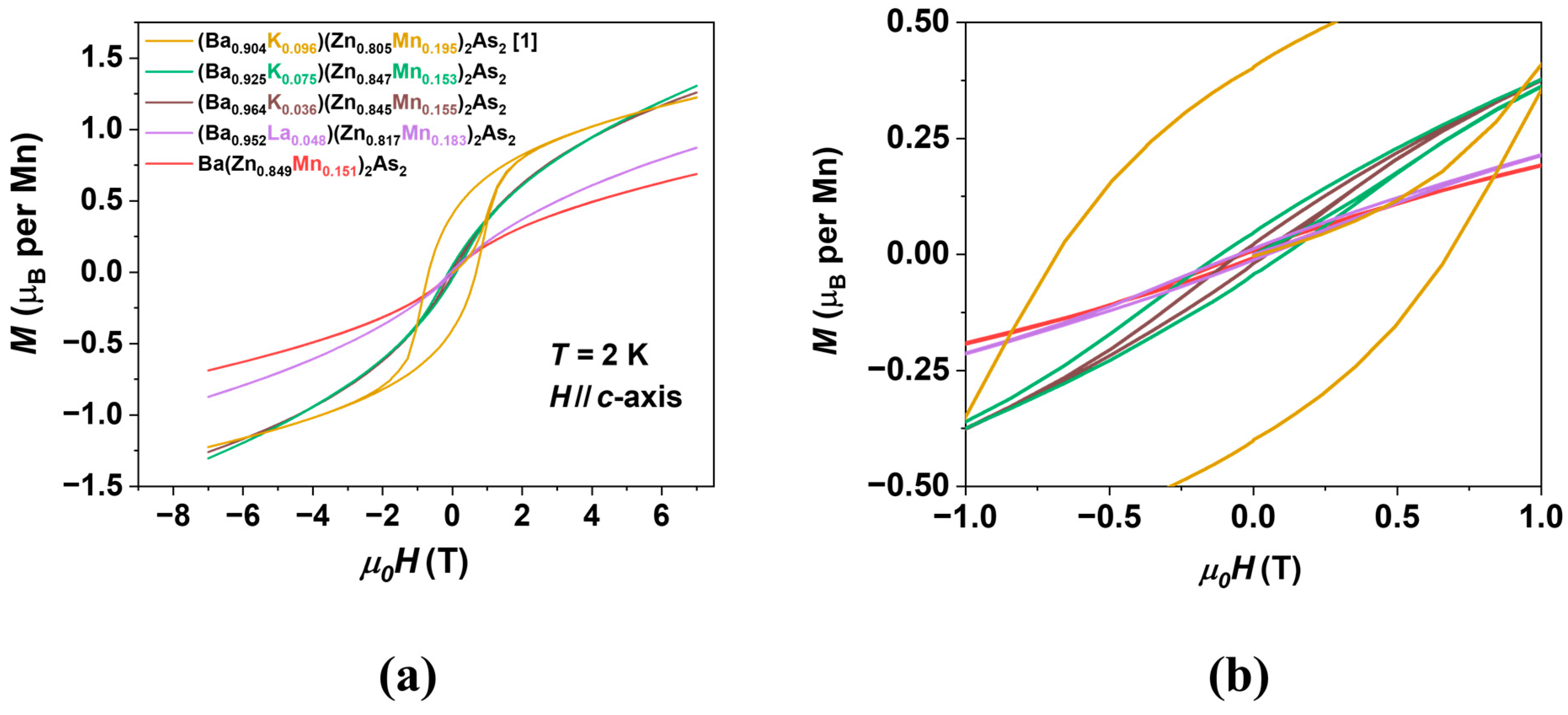
3.2. Magnetic Susceptibility and Magnetization
3.3. Electronic Transport Analyses
4. Conclusions and Outlook
Author Contributions
Funding
Data Availability Statement
Acknowledgments
Conflicts of Interest
References
- Zhao, G.Q.; Lin, C.J.; Deng, Z.; Gu, G.X.; Yu, S.; Wang, X.C.; Gong, Z.Z.; Uemura, Y.J.; Li, Y.Q.; Jin, C.Q. Single crystal growth and spin polarization measurements of diluted magnetic semiconductor (BaK)(ZnMn)2As2. Sci. Rep. 2017, 7, 14473. [Google Scholar] [CrossRef]
- Žutić, I.; Zhou, T. Tailoring magnetism in semiconductors. Sci. China Phys. Mech. Astron. 2018, 61, 067031. [Google Scholar] [CrossRef]
- Furdyna, J.K. Diluted magnetic semiconductors. J. Appl. Phys. 1988, 64, R29–R64. [Google Scholar] [CrossRef]
- Dietl, T.; Bonanni, A.; Ohno, H. Families of magnetic semiconductors—An overview. J. Semicond. 2019, 40, 080301. [Google Scholar] [CrossRef]
- Coey, J.M.D. Magnetism and Magnetic Materials; Cambridge University Press: Cambridge, UK, 2010. [Google Scholar]
- Jungwirth, T.; Sinova, J.; Mašek, J.; Kučera, J.; MacDonald, A.H. Theory of ferromagnetic (III,Mn)V semiconductors. Rev. Mod. Phys. 2006, 78, 809–864. [Google Scholar] [CrossRef]
- Chen, L.; Yang, X.; Yang, F.; Zhao, J.; Misuraca, J.; Xiong, P.; von Molnar, S. Enhancing the curie temperature of ferromagnetic semiconductor (Ga,Mn)As to 200 K via nanostructure engineering. Nano Lett. 2011, 11, 2584–2589. [Google Scholar] [CrossRef] [PubMed]
- Žutić, I.; Fabian, J.; Sarma, S.D. Spintronics fundamentals and applications. Rev. Mod. Phys. 2004, 76, 323. [Google Scholar] [CrossRef]
- Jungwirth, T.; Wunderlich, J.; Novák, V.; Olejník, K.; Olejník, K.; Gallagher, B.L.; Campion, R.P.; Edmonds, K.W. Spin-dependent phenomena and device concepts explored in (Ga,Mn)As. Rev. Mod. Phys. 2014, 86, 855–896. [Google Scholar] [CrossRef]
- Dietl, T.; Ohno, H. Dilute ferromagnetic semiconductors: Physics and spintronic structures. Rev. Mod. Phys. 2014, 86, 187–251. [Google Scholar] [CrossRef]
- Ohno, H.; Shen, A.; Matsukura, F.; Oiwa, A.; Endo, A.; Katsumoto, S.; Iye, Y. (Ga,Mn)As: A new diluted magnetic semiconductor based on GaAs. Appl. Phys. Lett. 1996, 69, 363–365. [Google Scholar] [CrossRef]
- Deng, Z.; Jin, C.Q.; Liu, Q.Q.; Wang, X.C.; Zhu, J.L.; Feng, S.M.; Chen, L.C.; Yu, R.C.; Arguello, C.; Goko, T.; et al. Li(Zn,Mn)As as a new generation ferromagnet based on a I-II-V semiconductor. Nat. Commun. 2011, 2, 422. [Google Scholar] [CrossRef] [PubMed]
- Masek, J.; Kudrnovsky, J.; Maca, F.; Gallagher, B.L.; Campion, R.P.; Gregory, D.H.; Jungwirth, T. Dilute moment n-type ferromagnetic semiconductor Li(Zn,Mn)As. Phys. Rev. Lett. 2007, 98, 067202. [Google Scholar] [CrossRef]
- Zhao, G.; Deng, Z.; Jin, C. Advances in new generation diluted magnetic semiconductors with independent spin and charge doping. J. Semicond. 2019, 80, 081505. [Google Scholar] [CrossRef]
- Zhao, K.; Deng, Z.; Wang, X.C.; Han, W.; Zhu, J.L.; Li, X.; Liu, Q.Q.; Yu, R.C.; Goko, T.; Frandsen, B.; et al. New diluted ferromagnetic semiconductor with curie temperature up to 180 K and isostructural to the ‘122’ iron-based superconductors. Nat. Commun. 2013, 4, 1442. [Google Scholar] [CrossRef]
- Suzuki, H.; Zhao, G.Q.; Zhao, K.; Chen, B.J.; Horio, M.; Koshiishi, K.; Xu, J.; Kobayashi, M.; Minohara, M.; Sakai, E.; et al. Fermi surfaces and p−d hybridization in the diluted magnetic semiconductor Ba1−xKx(Zn1−yMny)2As2 studied by soft x-ray angle-resolved photoemission spectroscopy. Phys. Rev. B 2015, 92, 235120. [Google Scholar] [CrossRef]
- Sun, F.; Xu, C.; Yu, S.; Chen, B.-J.; Zhao, G.-Q.; Deng, Z.; Yang, W.-G.; Jin, C.-Q. Synchrotron x-ray diffraction studies on the new generation ferromagnetic semiconductor Li(Zn,Mn)As under high pressure. Chin. Phys. Lett. 2017, 34, 067501. [Google Scholar] [CrossRef]
- Suzuki, H.; Zhao, K.; Shibata, G.; Takahashi, Y.; Sakamoto, S.; Yoshimatsu, K.; Chen, B.J.; Kumigashira, H.; Chang, F.H.; Lin, H.J.; et al. Photoemission and x-ray absorption studies of the isostructural to Fe-based superconductors diluted magnetic semiconductor (Ba1−xKx)(Zn1−yMny)2As2. Phys. Rev. B 2015, 91, 140401. [Google Scholar] [CrossRef]
- Sun, F.; Zhao, G.Q.; Escanhoela, C.A.; Chen, B.J.; Kou, R.H.; Wang, Y.G.; Xiao, Y.M.; Chow, P.; Mao, H.K.; Haskel, D.; et al. Hole doping and pressure effects on the II-II-V-based diluted magnetic semiconductor (Ba1−xKx)(Zn1−yMny)2As2. Phys. Rev. B 2017, 95, 094412. [Google Scholar] [CrossRef]
- Wang, R.; Huang, Z.X.; Zhao, G.Q.; Yu, S.; Deng, Z.; Jin, C.Q.; Jia, Q.J.; Chen, Y.; Yang, T.Y.; Jiang, X.M.; et al. Out-of-plane easy-axis in thin films of diluted magnetic semiconductor Ba1−xKx(Zn1−yMny)2As2. AIP Adv. 2017, 7, 045017. [Google Scholar] [CrossRef]
- Surmach, M.A.; Chen, B.J.; Deng, Z.; Jin, C.Q.; Glasbrenner, J.K.; Mazin, I.I.; Ivanov, A.; Inosov, D.S. Weak doping dependence of the antiferromagnetic coupling between nearest-neighbor Mn2+ spins in (Ba1−xKx)(Zn1−yMny)2As2. Phys. Rev. B 2018, 97, 104418. [Google Scholar] [CrossRef]
- Zhao, G.Q.; Li, Z.; Sun, F.; Yuan, Z.; Chen, B.J.; Yu, S.; Peng, Y.; Deng, Z.; Wang, X.C.; Jin, C.Q. Effects of high pressure on the ferromagnetism and in-plane electrical transport of (Ba0.904K0.096)(Zn0.805Mn0.195)2As2 single crystal. J. Phys. Condens. Matter 2018, 30, 254001. [Google Scholar] [CrossRef] [PubMed]
- Suzuki, H.; Zhao, G.; Okamoto, J.; Sakamoto, S.; Chen, Z.-Y.; Nonaka, Y.; Shibata, G.; Zhao, K.; Chen, B.; Wu, W.-B.; et al. Magnetic properties and electronic configurations of Mn ions in the diluted magnetic semiconductor Ba1−xKx(Zn1−yMny)2As2 studied by x-ray magnetic circular dichroism and resonant inelastic x-ray scattering. J. Phys. Soc. Jpn. 2022, 91, 064710. [Google Scholar] [CrossRef]
- Sakamoto, S.; Zhao, G.Q.; Shibata, G.; Deng, Z.; Zhao, K.; Wang, X.C.; Nonaka, Y.; Ikeda, K.; Chi, Z.D.; Wan, Y.X.; et al. Anisotropic spin distribution and perpendicular magnetic anisotropy in a layered ferromagnetic semiconductor (Ba,K)(Zn,Mn)2As2. ACS Appl. Electron. Mater. 2021, 3, 789–794. [Google Scholar] [CrossRef]
- Zhao, K.; Chen, B.; Zhao, G.; Yuan, Z.; Liu, Q.; Deng, Z.; Zhu, J.; Jin, C. Ferromagnetism at 230 K in (Ba0.7K0.3)(Zn0.85Mn0.15)2As2 diluted magnetic semiconductor. Chin. Sci. Bull. 2014, 59, 2524–2527. [Google Scholar] [CrossRef]
- Peng, Y.; Li, X.; Shi, L.; Zhao, G.; Zhang, J.; Zhao, J.; Wang, X.; Gu, B.; Deng, Z.; Uemura, Y.J.; et al. A near room temperature curie temperature in a new type of diluted magnetic semiconductor (Ba,K)(Zn,Mn)2As2. Adv. Phys. Res. 2024, 4, 2400124. [Google Scholar] [CrossRef]
- Zhao, G.; Cai, Y.; Kojima, K.M.; Sheng, Q.; Beare, J.; Luke, G.; Li, X.; Peng, Y.; Ziman, T.; Zhao, K.; et al. Magnetic evolution of carrier doping and spin dynamics in diluted magnetic semiconductors (Ba,Na)(Zn,Mn)2As2. Condens. Matter 2025, 10, 30. [Google Scholar] [CrossRef]
- Hirohata, A.; Sukegawa, H.; Yanagihara, H.; Zutic, I.; Seki, T.; Mizukami, S.; Swaminathan, R. Roadmap for emerging materials for spintronic device applications. IEEE Trans. Magn. 2015, 51, 0800511. [Google Scholar] [CrossRef]
- Dietl, T.; Ohno, H.; Matsukura, F.; Cibert, J.; Ferrand, D. Zener model description of ferromagnetism in zinc-blende magnetic semiconductors. Science 2000, 287, 1019–1022. [Google Scholar] [CrossRef]
- Dietl, T.; Ohno, H.; Matsukura, F. Hole-mediated ferromagnetism in tetrahedrally coordinated semiconductors. Phys. Rev. B 2001, 63, 195205. [Google Scholar] [CrossRef]
- Story, T.; Galazka, R.R.; Frankel, R.B.; Wolff, P.A. Carrier-concentration-induced ferromagnetism in pbsnmnte. Phys. Rev. Lett. 1986, 56, 777–779. [Google Scholar] [CrossRef]
- Koshihara, S.; Oiwa, A.; Hirasawa, M.; Katsumoto, S.; Iye, Y.; Urano, C.; Takagi, H.; Munekata, H. Ferromagnetic order induced by photogenerated carriers in magnetic III-V semiconductor heterostructures of (In,Mn)As/GaSb. Phys. Rev. Lett. 1997, 78, 4617–4620. [Google Scholar] [CrossRef]
- Fukuma, Y.; Asada, H.; Miyawaki, S.; Koyanagi, T.; Senba, S.; Goto, K.; Sato, H. Carrier-induced ferromagnetism in Ge0.92Mn0.08Te epilayers with a Curie temperature up to 190 K. Appl. Phys. Lett. 2008, 93, 252502. [Google Scholar] [CrossRef]
- Ding, C.; Gong, X.; Man, H.; Zhi, G.; Guo, S.; Zhao, Y.; Wang, H.; Chen, B.; Ning, F.L. The suppression of curie temperature by Sr doping in diluted ferromagnetic semiconductor (La1−xSrx)(Zn1−yMny)AsO. EPL (Europhys. Lett.) 2014, 107, 17004. [Google Scholar] [CrossRef]
- Man, H.; Guo, S.; Sui, Y.; Guo, Y.; Chen, B.; Wang, H.; Ding, C.; Ning, F.L. Ba(Zn1−2xMnxCux)2As2: A bulk form diluted ferromagnetic semiconductor with Mn and Cu codoping at Zn sites. Sci. Rep. 2015, 5, 15507. [Google Scholar] [CrossRef]
- Guo, S.; Man, H.; Gong, X.; Ding, C.; Zhao, Y.; Chen, B.; Guo, Y.; Wang, H.; Ning, F.L. (Ba1−xKx)(Cu2−xMnx)Se2: A copper-based bulk form diluted magnetic semiconductor with orthorhombic BaCu2S2-type structure. J. Magn. Magn. Mater. 2016, 400, 295–299. [Google Scholar] [CrossRef]
- Gu, Y.; Zhang, H.; Zhang, R.; Fu, L.; Wang, K.; Zhi, G.; Guo, S.; Ning, F. A novel diluted magnetic semiconductor (Ca,Na)(Zn,Mn)2Sb2 with decoupled charge and spin dopings. Chin. Phys. B 2020, 29, 057507. [Google Scholar] [CrossRef]
- Yu, S.; Zhao, G.; Peng, Y.; Wang, X.; Liu, Q.; Yu, R.; Zhang, S.; Zhao, J.; Li, W.; Deng, Z.; et al. (Ba,K)(Zn,Mn)2Sb2: A new type of diluted magnetic semiconductor. Crystals 2020, 10, 690. [Google Scholar] [CrossRef]
- Gu, Y.; Zhang, R.; Zhang, H.; Fu, L.; Zhi, G.; Dong, J.; Zhao, X.; Xie, L.; Ning, F. A CaAl2Si2-type magnetic semiconductor (Sr,Na)(Zn,Mn)2Sb2 isostructural to 122-type iron-based superconductors. Adv. Condens. Matter Phys. 2022, 2022, 4291923. [Google Scholar] [CrossRef]
- Gu, G.; Zhao, G.; Lin, C.; Li, Y.; Jin, C.; Xiang, G. Asperomagnetic order in diluted magnetic semiconductor (Ba,Na)(Zn,Mn)2As2. Appl. Phys. Lett. 2018, 112, 032402. [Google Scholar] [CrossRef]
- Guo, S.L.; Zhao, Y.; Man, H.Y.; Ding, C.; Gong, X.; Zhi, G.X.; Fu, L.C.; Gu, Y.L.; Frandsen, B.A.; Liu, L.; et al. μSR investigation of a new diluted magnetic semiconductor Li(Zn,Mn,Cu)As with Mn and Cu codoping at the same Zn sites. J. Phys. Condens. Matter 2016, 28, 366001. [Google Scholar] [CrossRef]
- Yu, S.; Peng, Y.; Zhao, G.; Zhao, J.; Wang, X.; Zhang, J.; Deng, Z.; Jin, C. Colossal negative magnetoresistance in spin glass Na(Zn,Mn)Sb. J. Semicond. 2023, 44, 032501. [Google Scholar] [CrossRef]
- Lu, J.; Man, H.; Ding, C.; Wang, Q.; Yu, B.; Guo, S.; Wang, H.; Chen, B.; Han, W.; Jin, C.; et al. The synthesis and characterization of 1111-type diluted magnetic semiconductors (La1−xSrx)(Zn1−xTMx)AsO (Tm = Mn, Fe, Co). EPL (Europhys. Lett.) 2013, 103, 67011. [Google Scholar] [CrossRef]
- Zhao, X.D.; Dong, J.O.; Fu, L.C.; Gu, Y.L.; Zhang, R.F.; Yang, Q.L.; Xie, L.F.; Tang, Y.S.; Ning, F.L. (Ba1−xNax)F(Zn1−XMnx)Sb: A novel fluoride-antimonide magnetic semiconductor with decoupled charge and spin doping. J. Semicond. 2022, 43, 112501. [Google Scholar] [CrossRef]
- Fu, L.; Gu, Y.; Guo, S.; Wang, K.; Zhang, H.; Zhi, G.; Liu, H.; Xu, Y.; Wang, Y.; Wang, H.; et al. Ferromagnetism in fluoride-antimonide SrF(Zn1-2xMnxCux)Sb with a quasi two dimensional structure. J. Magn. Magn. Mater. 2019, 483, 95–99. [Google Scholar] [CrossRef]
- Ding, C.; Man, H.; Qin, C.; Lu, J.; Sun, Y.; Wang, Q.; Yu, B.; Feng, C.; Goko, T.; Arguello, C.J.; et al. (La1−xBax)(Zn1−xMnx)AsO: A two-dimensional 1111-type diluted magnetic semiconductor in bulk form. Phys. Rev. B 2013, 88, 041102. [Google Scholar] [CrossRef]
- Han, W.; Zhao, K.; Wang, X.; Liu, Q.; Ning, F.; Deng, Z.; Liu, Y.; Zhu, J.; Ding, C.; Man, H.; et al. Diluted ferromagnetic semiconductor (LaCa)(ZnMn)SbO isostructural to “1111” type iron pnictide superconductors. Sci. China Phys. Mech. Astron. 2013, 56, 2026–2030. [Google Scholar] [CrossRef]
- Ding, C.; Guo, S.; Zhao, Y.; Man, H.; Fu, L.; Gu, Y.; Wang, Z.; Liu, L.; Frandsen, B.A.; Cheung, S.; et al. The synthesis and characterization of 1111 type diluted ferromagnetic semiconductor (La1−xCax)(Zn1−xMnx)AsO. J. Phys. Condens. Matter 2016, 28, 026003. [Google Scholar] [CrossRef]
- Zhang, R.; Xu, C.; Fu, L.; Gu, Y.; Zhi, G.; Dong, J.; Zhao, X.; Xie, L.; Zhang, H.; Cao, C.; et al. Manipulation of the ferromagnetic ordering in magnetic semiconductor (La,Ca)(Zn,Mn)AsO by chemical pressure. J. Magn. Magn. Mater. 2022, 554, 169276. [Google Scholar] [CrossRef]
- Glasbrenner, J.K.; Mazin, I.I. First-principles evidence of Mn moment canting in hole-doped Ba1−2xK2xMn2As2. Phys. Rev. B 2014, 89, 060403. [Google Scholar] [CrossRef]
- Glasbrenner, J.K.; Žutić, I.; Mazin, I.I. Theory of Mn-doped II-II-V semiconductors. Phys. Rev. B 2014, 90, 140403. [Google Scholar] [CrossRef]
- Gu, B.; Maekawa, S. Diluted magnetic semiconductors with narrow band gaps. Phys. Rev. B 2016, 94, 155202. [Google Scholar] [CrossRef]
- Gu, B.; Maekawa, S. New p- and n-type ferromagnetic semiconductors: Cr-doped BaZn2As2. AIP Adv. 2017, 7, 055805. [Google Scholar] [CrossRef]










Disclaimer/Publisher’s Note: The statements, opinions and data contained in all publications are solely those of the individual author(s) and contributor(s) and not of MDPI and/or the editor(s). MDPI and/or the editor(s) disclaim responsibility for any injury to people or property resulting from any ideas, methods, instructions or products referred to in the content. |
© 2025 by the authors. Licensee MDPI, Basel, Switzerland. This article is an open access article distributed under the terms and conditions of the Creative Commons Attribution (CC BY) license (https://creativecommons.org/licenses/by/4.0/).
Share and Cite
Zhao, G.; Gu, G.; Yang, S.; Peng, Y.; Li, X.; Kojima, K.M.; Lin, C.; Wang, X.; Ziman, T.; Uemura, Y.J.; et al. Doping Effects on Magnetic and Electronic Transport Properties in BaZn2As2. Crystals 2025, 15, 582. https://doi.org/10.3390/cryst15060582
Zhao G, Gu G, Yang S, Peng Y, Li X, Kojima KM, Lin C, Wang X, Ziman T, Uemura YJ, et al. Doping Effects on Magnetic and Electronic Transport Properties in BaZn2As2. Crystals. 2025; 15(6):582. https://doi.org/10.3390/cryst15060582
Chicago/Turabian StyleZhao, Guoqiang, Gangxu Gu, Shuai Yang, Yi Peng, Xiang Li, Kenji M. Kojima, Chaojing Lin, Xiancheng Wang, Timothy Ziman, Yasutomo J. Uemura, and et al. 2025. "Doping Effects on Magnetic and Electronic Transport Properties in BaZn2As2" Crystals 15, no. 6: 582. https://doi.org/10.3390/cryst15060582
APA StyleZhao, G., Gu, G., Yang, S., Peng, Y., Li, X., Kojima, K. M., Lin, C., Wang, X., Ziman, T., Uemura, Y. J., Gu, B., Su, G., Maekawa, S., Li, Y., & Jin, C. (2025). Doping Effects on Magnetic and Electronic Transport Properties in BaZn2As2. Crystals, 15(6), 582. https://doi.org/10.3390/cryst15060582

