Mechanochemically Synthesized Skinnerite Cu3SbS3 and Wittichenite Cu3BiS3 Nanocrystals and Their Promising Thermoelectric Properties
Abstract
1. Introduction
2. Materials and Methods
3. Results and Discussion
3.1. Structural Characterization Before and After Thermal Treatment and After Spark Plasma Sintering (SPS)
3.2. Thermoanalytical Measurements
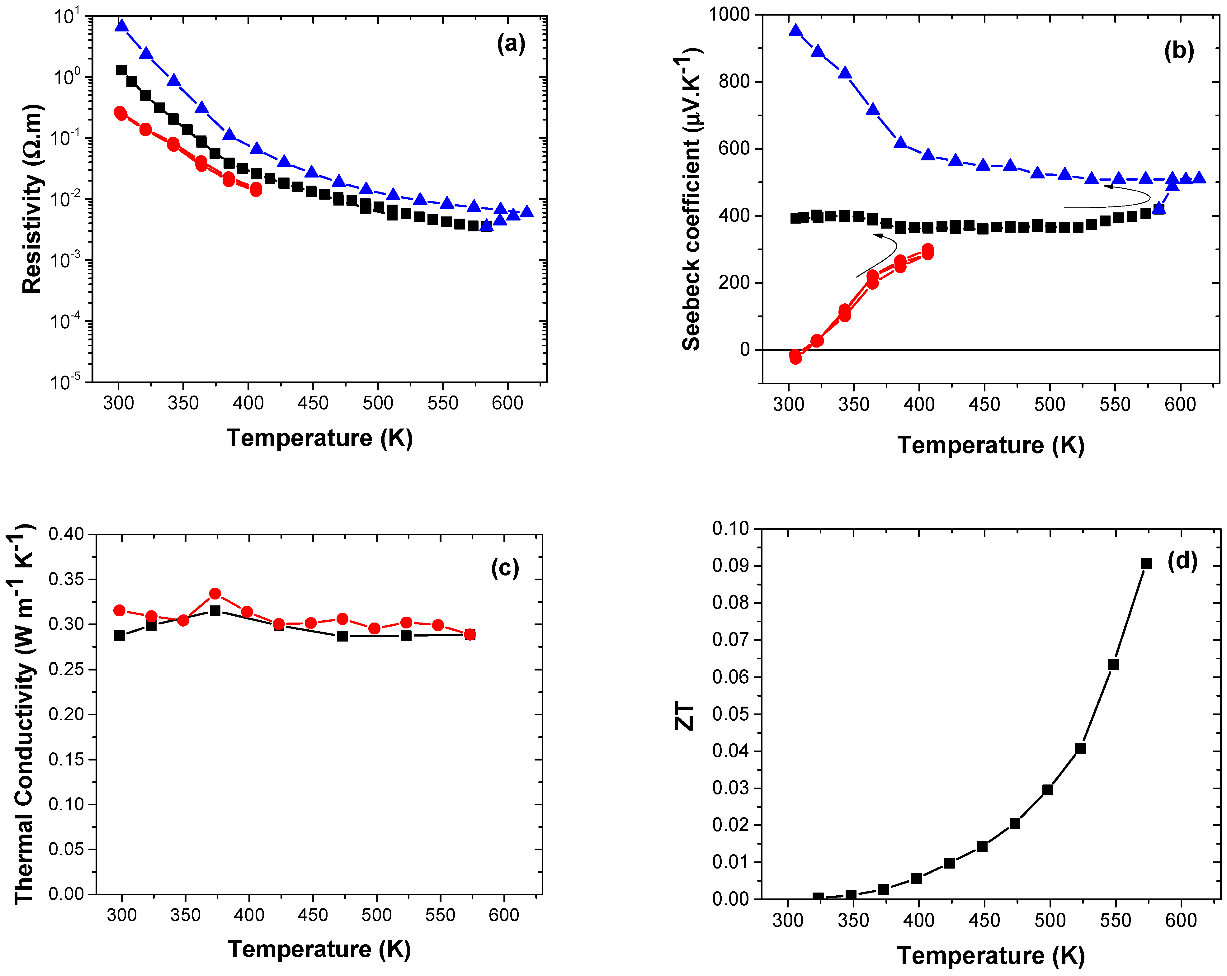
3.3. Thermoelectric Performance
4. Conclusions
Author Contributions
Funding
Data Availability Statement
Conflicts of Interest
References
- Kehoe Aoife, B.; Temple Douglas, J.; Watson Graeme, W.; Scanlon David, O. Cu3MCh3 (M = Sb, Bi; Ch = S, Se) as candidate solar cell absorbers: Insights from theory. Phys. Chem. Chem. Phys. 2013, 15, 15477–15484. [Google Scholar] [CrossRef]
- Ramasamy, K.; Sims, H.; Butler, W.H.; Gupta, A. Selective Nanocrystal Synthesis and Calculated Electronic Structure of All Four Phases of Copper-Antimony-Sulfide. Chem. Mater. 2014, 26, 2891–2899. [Google Scholar] [CrossRef]
- Whitfield, H.J. Polymorphism in Skinnerite, Cu3SbS3. Solid State Commun. 1980, 33, 747–748. [Google Scholar] [CrossRef]
- Pfitzner, A. Disorder of Cu+ in Cu3SbS3: Structural investigations of the high- and low-temperature modification. Z. Fur Krist. 1998, 213, 228–236. [Google Scholar] [CrossRef]
- Qiu, X.D.; Ji, S.L.; Chen, C.; Liu, G.Q.; Ye, C.H. Synthesis, characterization, and surface-enhanced Raman scattering of near infrared absorbing Cu3SbS3 nanocrystals. CrystEngComm 2013, 15, 10431–10434. [Google Scholar] [CrossRef]
- Bouaniza, N.; Hosni, N.; Maghraoui-Meherzi, H. Structural and optical properties of Cu3SbS3 thin film deposited by chemical bath deposition along with the degradation of methylene blue. Surf. Coat. Technol. 2018, 333, 195–200. [Google Scholar] [CrossRef]
- Maiello, P.; Zoppi, G.; Miles, R.W.; Pearsall, N.; Forbes, I. Chalcogenisation of Cu-Sb metallic precursors into Cu3Sb(SexS1-x)(3). Sol. Energy Mater. Sol. Cells 2013, 113, 186–194. [Google Scholar] [CrossRef]
- Kumar, M.; Persson, C. Cu3BiS3 as a potential photovoltaic absorber with high optical efficiency. Appl. Phys. Lett. 2013, 102, 062109. [Google Scholar] [CrossRef]
- Libório, M.S.; de Queiroz, J.C.A.; Sivasankar, S.M.; Costa, T.H.D.; da Cunha, A.F.; Amorim, C.D. A Review of Cu3BiS3 Thin Films: A Sustainable and Cost-Effective Photovoltaic Material. Crystals 2024, 14, 524. [Google Scholar] [CrossRef]
- Yang, Y.; Wu, H.X.; Shi, B.Z.; Guo, L.L.; Zhang, Y.J.; An, X.; Zhang, H.; Yang, S.P. Hydrophilic Cu3BiS3 Nanoparticles for Computed Tomography Imaging and Photothermal Therapy. Part. Part. Syst. Charact. 2015, 32, 668–679. [Google Scholar] [CrossRef]
- Li, A.; Li, X.; Yu, X.J.; Li, W.; Zhao, R.Y.; An, X.; Cui, D.X.; Chen, X.Y.; Li, W.W. Synergistic thermoradiotherapy based on PEGylated Cu3BiS3 ternary semiconductor nanorods with strong absorption in the second near-infrared window. Biomaterials 2017, 112, 164–175. [Google Scholar] [CrossRef]
- Lu, R.; Zhu, J.Y.; Yu, C.W.; Nie, Z.L.; Gao, Y. Cu3BiS3Nanocrystals as Efficient Nanoplatforms for CT Imaging Guided Photothermal Therapy of Arterial Inflammation. Front. Bioeng. Biotechnol. 2020, 8, 981. [Google Scholar] [CrossRef]
- Wei, K.Y.; Hobbis, D.; Wang, H.; Nolas, G.S. Wittichenite Cu3BiS3: Synthesis and Physical Properties. J. Electron. Mater. 2018, 47, 2374–2377. [Google Scholar] [CrossRef]
- Nefzi, K.; Rabhi, A.; Kanzari, M. Impact of air annealing on the properties of Cu3SbS3 thin films deposited by vacuum thermal evaporation. J Mater Sci. Mater. Electron. 2023, 34, 369. [Google Scholar] [CrossRef]
- Hernadez-Mota, J.; Espindola-Rodriguez, M.; Sanchez, Y.; Lopez, I.; Pena, Y.; Saucedo, E. Thin film photovoltaic devices prepared with Cu3BiS3 ternary compound. Mater. Sci. Semicond. Process. 2018, 87, 37–43. [Google Scholar] [CrossRef]
- Du, B.L.; Zhang, R.Z.; Liu, M.; Chen, K.; Zhang, H.F.; Reece, M.J. Crystal structure and improved thermoelectric performance of iron stabilized cubic Cu3SbS3 compound. J. Mater. Chem. C 2019, 7, 394–404. [Google Scholar] [CrossRef]
- Huang, D.W.; Li, L.T.; Wang, K.; Li, Y.; Feng, K.; Jiang, F. Wittichenite semiconductor of Cu3BiS3 films for efficient hydrogen evolution from solar driven photoelectrochemical water splitting. Nat. Commun. 2021, 12, 3795. [Google Scholar] [CrossRef]
- Oubakalla, M.; Bouachri, M.; Beraich, M.; Taibi, M.; Guenbour, A.; Bellaouchou, A.; Bentiss, F.; Zarrouk, A.; Fahoume, M. Potential Effect on the Properties of Cu3BiS3 Thin Film Co-electrodeposited in Aqueous Solution Enriched Using DFT Calculation. J. Electron. Mater. 2022, 51, 7223–7233. [Google Scholar] [CrossRef]
- Hao, Z.M.; Zeng, D.M.; Chen, L.M.; Huang, F.J. Synthesis and characterization of Cu3SbS3 nanocrystallites: Effect of reaction time. Mater. Lett. 2014, 122, 338–340. [Google Scholar] [CrossRef]
- Murali, B.; Krupanidhi, S.B. Tailoring the Band Gap and Transport Properties of Cu3BiS3 Nanopowders for Photodetector Applications. J. Nanosci. Nanotech. 2013, 13, 3901–3909. [Google Scholar] [CrossRef]
- Santhanapriya, R.; Muthukannan, A.; Sivakumar, G.; Mohanraj, K. Solvothermal-Assisted Synthesis of Cu3XS3 (X = Bi and Sb) Chalcogenide Nanoparticles. Synth. React. Inorg. Met.-Org. Nano-Met. Chem. 2016, 46, 1388–1394. [Google Scholar] [CrossRef]
- Shenouda, A.Y.; Moharam, M.M.; Farghaly, F.E. Synthesis, characterization, and electrochemical performance of Cu3SbS3 using different sources of sulfur. J. Mater. Sci.-Mater. Electr. 2023, 34, 1058. [Google Scholar] [CrossRef]
- Zeng, Y.P.; Li, H.X.; Qu, B.H.; Xiang, B.Y.; Wang, L.; Zhang, Q.L.; Li, Q.H.; Wang, T.H.; Wang, Y.G. Facile synthesis of flower-like Cu3BiS3 hierarchical nanostructures and their electrochemical properties for lithium-ion batteries. CrystEngComm 2012, 14, 550–554. [Google Scholar] [CrossRef]
- Atri, S.; Gusain, M.; Kumar, P.; Uma, S.; Nagarajan, R. Role of the solvent medium in the wet-chemical synthesis of CuSbS2, Cu3SbS3, and bismuth substituted Cu3SbS3. J. Chem. Sci. 2020, 132, 132. [Google Scholar] [CrossRef]
- Chakraborty, M.; Thangavel, R.; Komninou, P.; Zhou, Z.Y.; Gupta, A. Nanospheres and nanoflowers of copper bismuth sulphide (Cu3BiS3): Colloidal synthesis, structural, optical and electrical characterization. J. Alloys Compd. 2019, 776, 142–148. [Google Scholar] [CrossRef]
- Fazal, T.; Iqbal, S.; Shah, M.Z.; Mahmood, Q.; Ismail, B.; Alsaab, H.O.; Awwad, N.S.; Ibrahium, H.A.; Elkaeed, E.B. Optoelectronic, structural and morphological analysis of Cu3BiS3 sulfosalt thin films. Results Phys. 2022, 36, 105453. [Google Scholar] [CrossRef]
- Aup-Ngoen, K.; Thongtem, S.; Thongtem, T. Cyclic microwave-assisted synthesis of Cu3BiS3 dendrites using L-cysteine as a sulfur source and complexing agent. Mater. Lett. 2011, 65, 442–445. [Google Scholar] [CrossRef]
- Yan, C.; Gu, E.N.; Liu, F.Y.; Lai, Y.Q.; Li, J.; Liu, Y.X. Colloidal synthesis and characterizations of wittichenite copper bismuth sulphide nanocrystals. Nanoscale 2013, 5, 1789–1792. [Google Scholar] [CrossRef]
- Yagci, Ö.; Yüksel, S.A.; Bozkurt, K.; Altindal, A. The effect of boron doping on the optical, morphological and structural properties of Cu3SbS3 thin films prepared spin coating. New J. Chem. 2023, 47, 7678–7685. [Google Scholar] [CrossRef]
- Amorim, C.O.; Liborio, M.S.; Queiroz, J.C.A.; Melo, B.M.G.; Sivasankar, S.M.; Costa, T.H.C.; Graça, M.P.F.; da Cunha, A.F. Cu3BiS3 film synthesis through rapid thermal processing sulfurization of electron beam evaporated precursors. Emergent Mater. 2024. [Google Scholar] [CrossRef]
- Dutková, E.; Sayagués, M.J.; Fabián, M.; Baláž, M.; Kováč, J.; Kováč, J., Jr.; Stahorský, M.; Achimovičová, M.; Lukáčová Bujňáková, Z. Nanocrystalline Skinnerite (Cu3SbS3) Prepared by High-Energy Milling in a Laboratory and an Industrial Mill and Its Optical and Optoelectrical Properties. Molecules 2023, 28, 326. [Google Scholar] [CrossRef] [PubMed]
- Dutkova, E.; Balaz, M.; Sayagues, M.J.; Kovac, J.; Kovac, J. Mechanochemically Synthesized Chalcogenide Cu3BiS3 Nanocrystals in an Environmentally Friendly Manner for Solar Cell Applications. Crystals 2023, 13, 487. [Google Scholar] [CrossRef]
- de Oliveira, P.F.M.; Torresi, R.M.; Emmerling, F.; Camargo, P.H.C. Challenges and opportunities in the bottom-up mechanochemical synthesis of noble metal nanoparticles. J. Mater. Chem. A 2020, 8, 16114–16141. [Google Scholar] [CrossRef]
- Tan, D.; Garcia, F. Main group mechanochemistry: From curiosity to established protocols. Chem. Soc. Rev. 2019, 48, 2274–2292. [Google Scholar] [CrossRef] [PubMed]
- Gomollón-Bel, F. Ten Chemical Innovations That Will Change Our World. Chem. Int. 2019, 41, 12–17. [Google Scholar] [CrossRef]
- Ardila-Fierro, K.J.; Hernández, J.G. Sustainability Assessment of Mechanochemistry by Using the Twelve Principles of Green Chemistry. Chemsuschem 2021, 14, 2145–2162. [Google Scholar] [CrossRef]
- Baláž, P.; Achimovičová, M.; Baláž, M.; Billik, P.; Cherkezova-Zheleva, Z.; Criado, J.M.; Delogu, F.; Dutková, E.; Gaffet, E.; Gotor, F.J.; et al. Hallmarks of mechanochemistry: From nanoparticles to technology. Chem. Soc. Rev. 2013, 42, 7571–7637. [Google Scholar] [CrossRef] [PubMed]
- Rodriguez-Carvajal, J.; Roisnel, T. Line broadening analysis using FullProf*: Determination of microstructural properties. Mater. Sci. Forum. 2004, 443–444, 123–126. [Google Scholar] [CrossRef]
- Alleno, E.; Bérardan, D.; Byl, C.; Candolfi, C.; Daou, R.; Decourt, R.; Guilmeau, E.; Hébert, S.; Hejtmanek, J.; Lenoir, B.; et al. A round robin test of the uncertainty on the measurement of the thermoelectric dimensionless figure of merit of CoNiSb. Rev. Sci. Instrum. 2015, 86, 011301. [Google Scholar] [CrossRef]
- Lee, G.E.; Kim, I.H. Skinnerite Cu3SbS3: Solid-State Synthesis and Thermoelectric Properties. Korean J. Met. Mater. 2022, 60, 455–462. [Google Scholar] [CrossRef]
- Baláž, P.; Guilmeau, E.; Daneu, N.; Dobrozhan, O.; Baláž, M.; Hegedus, M.; Barbier, T.; Achimovičová, M.; Kaňuchová, M.; Briančin, J. Tetrahedrites synthesized via scalable mechanochemical process and spark plasma sintering. J. Eur. Ceram. Soc. 2020, 40, 1922–1930. [Google Scholar] [CrossRef]
- Baláž, P.; Burcak, A.B.; Aydemir, U.; Mikula, A.; Nieroda, P.; Baláž, M.; Findoráková, L.; Bureš, R.; Puchý, V.; Erdemoglu, M.; et al. Modification of tetrahedrite Cu12Sb4S13 thermoelectric performance via the combined treatment of mechanochemistry and composite formation. Solid State Sci. 2024, 151, 107497. [Google Scholar] [CrossRef]
- Wang, J.; Wang, T.; Zhang, J.J.; Liu, B.G.; Wang, L.J.; Gu, W.; Hu, B.F.; Xu, J.; Du, B.L. Preparation and thermoelectric properties of Co/Ni stabilized cubic Cu3SbS3 compounds. J. Solid State Chem. 2022, 310, 123014. [Google Scholar] [CrossRef]
- Adeyemi, A.N.; Clemente, M.; Lee, S.J.; Mantravadi, A.; Zaikina, J.V. Deep Eutectic Solvent-Assisted Microwave Synthesis of Thermoelectric AgBiS2 and Cu3BiS3. ACS Appl. Ener. Mater. 2022, 5, 14858–14868. [Google Scholar] [CrossRef]
- Chen, K. Synthesis and Thermoelectric Properties of Cu-Sb-S Compounds. Ph.D. Thesis, Queen Mary University of London, London, UK, 2016. [Google Scholar]
- Skoug, E.J.; Cain, J.D.; Morelli, D.T. Structural effects on the lattice thermal conductivity of ternary antimony- and bismuth-containing chalcogenide semiconductors. Appl. Phys. Lett. 2010, 96, 181905. [Google Scholar] [CrossRef]
- Chen, K.; Du, B.L.; Bonini, N.; Weber, C.; Yan, H.X.; Reece, M.J. Theory-Guided Synthesis of an Eco-Friendly and Low-Cost Copper Based Sulfide Thermoelectric Material. J. Phys. Chem. C 2016, 120, 27135–27140. [Google Scholar] [CrossRef]
- Zhang, J.J.; Wang, L.J.; Liu, M.; Wang, J.; Sun, K.; Yang, Y.; Hu, B.F.; Xu, J.; Su, T.C.; Du, B.L. Preparation and thermoelectric performance of tetrahedrite-like cubic Cu3SbS3 compound. J. Mater. Sci.-Mater. Electr. 2021, 32, 10789–10802. [Google Scholar] [CrossRef]
- Balaz, P.; Dutkova, E.; Levinsky, P.; Daneu, N.; Kubickova, L.; Knizek, K.; Balaz, M.; Navratil, J.; Kasparova, J.; Ksenofontov, V.; et al. Enhanced thermoelectric performance of chalcopyrite nanocomposite via co-milling of synthetic and natural minerals. Mater. Lett. 2020, 275, 128107. [Google Scholar] [CrossRef]
- Levinsky, P.; Hejtmanek, J.; Knizek, K.; Pashchenko, M.; Navratil, J.; Masschelein, P.; Dutkova, E.; Balaz, P. Nanograined n- and p-Type Chalcopyrite CuFeS2 Prepared by Mechanochemical Synthesis and Sintered by SPS. Acta Phys. Pol. A 2020, 137, 904–907. [Google Scholar] [CrossRef]






Disclaimer/Publisher’s Note: The statements, opinions and data contained in all publications are solely those of the individual author(s) and contributor(s) and not of MDPI and/or the editor(s). MDPI and/or the editor(s) disclaim responsibility for any injury to people or property resulting from any ideas, methods, instructions or products referred to in the content. |
© 2025 by the authors. Licensee MDPI, Basel, Switzerland. This article is an open access article distributed under the terms and conditions of the Creative Commons Attribution (CC BY) license (https://creativecommons.org/licenses/by/4.0/).
Share and Cite
Dutková, E.; Levinský, P.; Hejtmánek, J.; Knížek, K.; Findoráková, L.; Baláž, M.; Fabián, M.; Gáborová, K.; Puchý, V.; Baláž, P. Mechanochemically Synthesized Skinnerite Cu3SbS3 and Wittichenite Cu3BiS3 Nanocrystals and Their Promising Thermoelectric Properties. Crystals 2025, 15, 511. https://doi.org/10.3390/cryst15060511
Dutková E, Levinský P, Hejtmánek J, Knížek K, Findoráková L, Baláž M, Fabián M, Gáborová K, Puchý V, Baláž P. Mechanochemically Synthesized Skinnerite Cu3SbS3 and Wittichenite Cu3BiS3 Nanocrystals and Their Promising Thermoelectric Properties. Crystals. 2025; 15(6):511. https://doi.org/10.3390/cryst15060511
Chicago/Turabian StyleDutková, Erika, Petr Levinský, Jiří Hejtmánek, Karel Knížek, Lenka Findoráková, Matej Baláž, Martin Fabián, Katarína Gáborová, Viktor Puchý, and Peter Baláž. 2025. "Mechanochemically Synthesized Skinnerite Cu3SbS3 and Wittichenite Cu3BiS3 Nanocrystals and Their Promising Thermoelectric Properties" Crystals 15, no. 6: 511. https://doi.org/10.3390/cryst15060511
APA StyleDutková, E., Levinský, P., Hejtmánek, J., Knížek, K., Findoráková, L., Baláž, M., Fabián, M., Gáborová, K., Puchý, V., & Baláž, P. (2025). Mechanochemically Synthesized Skinnerite Cu3SbS3 and Wittichenite Cu3BiS3 Nanocrystals and Their Promising Thermoelectric Properties. Crystals, 15(6), 511. https://doi.org/10.3390/cryst15060511

