Numerical Simulation and Analysis of Thermal Conductivity and Influencing Factors of Braided Carbon Fiber Reinforced Natural Rubber Composites
Abstract
1. Introduction
2. Simulation Model
3. Results and Discussions
3.1. Temperature Change Pattern
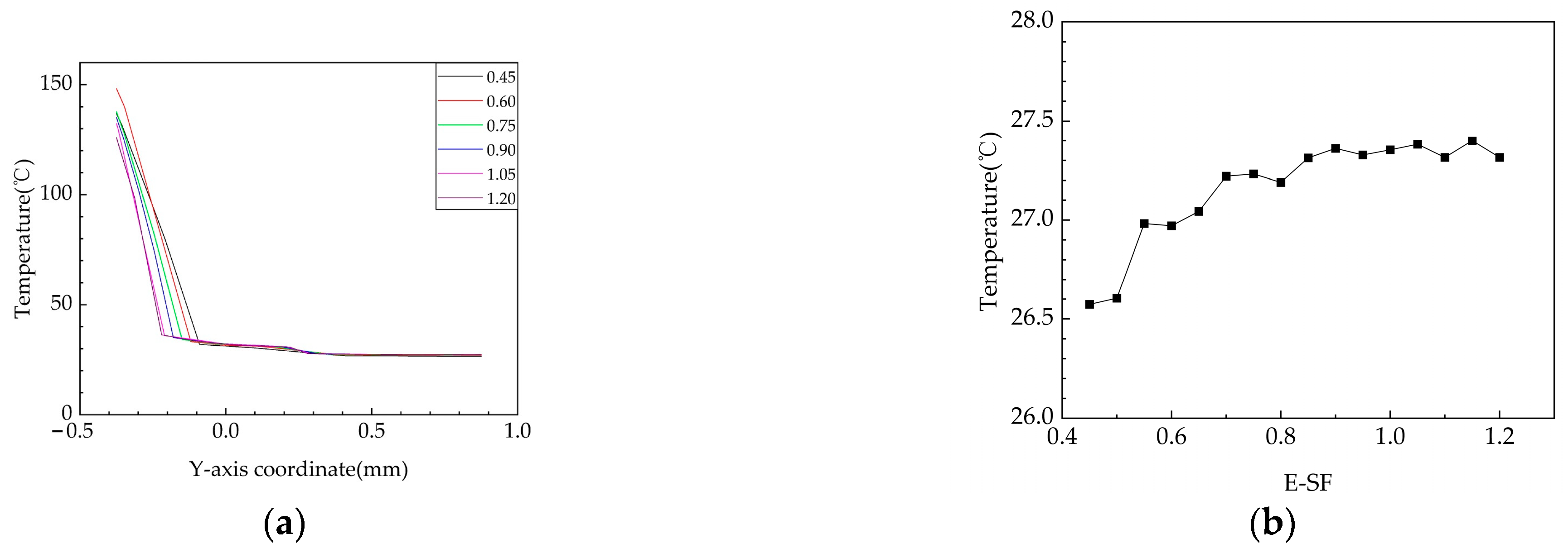
3.2. Effect of Cross-Section Shape Factor
3.2.1. The Change of Temperature for Elliptical Cross-Section
3.2.2. The Change of Temperature for Rectangular Cross-Section
3.2.3. The Distribution of Temperature for Different Section Under the Same Shape Factor
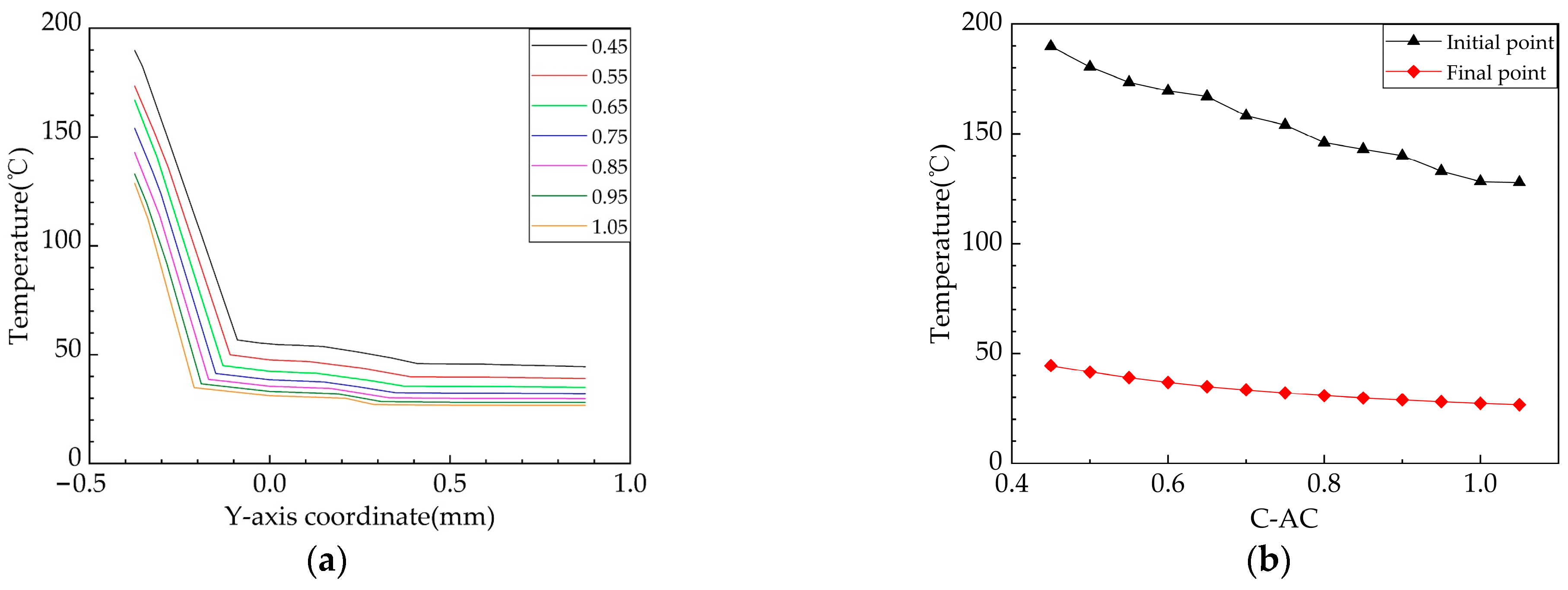
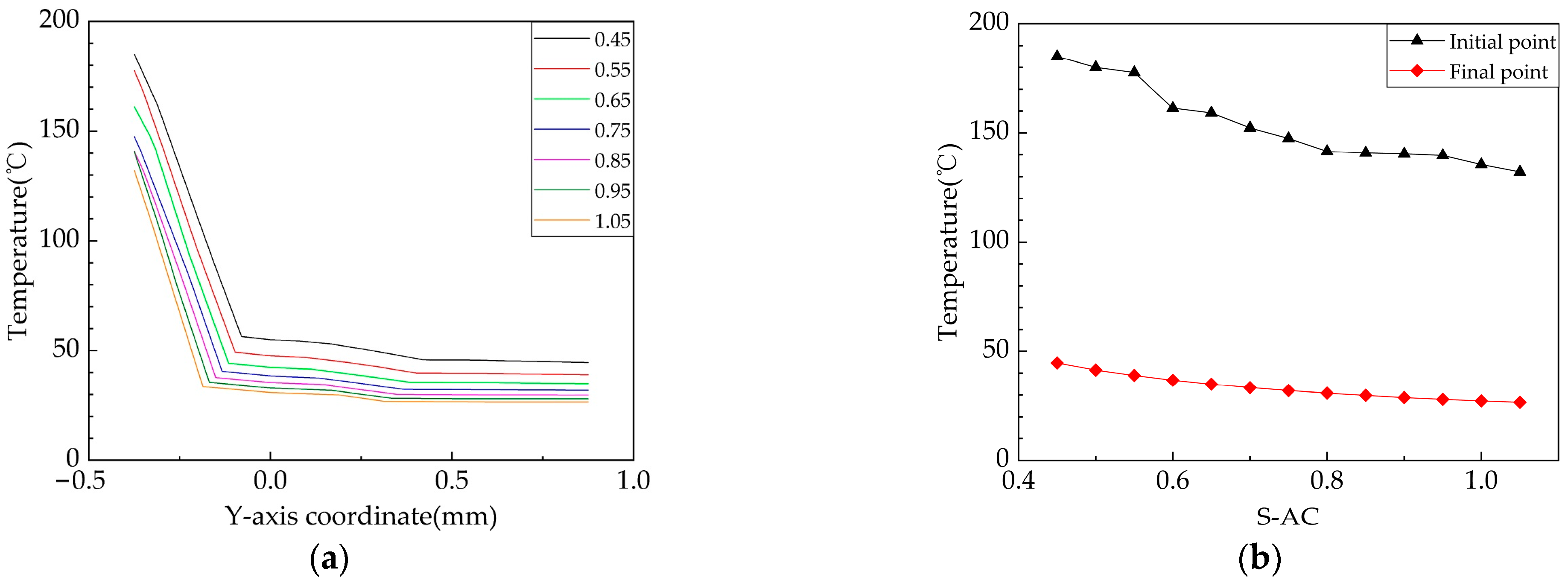
3.3. Effect of Cross-Sectional Area
3.3.1. Effect of Circular Cross-Sectional Area
3.3.2. Effect of Square Cross-Sectional Area
4. Conclusions
- (1)
- A curvilinear coordinate system along the cubic Bessel curve is constructed using a multi-physical finite element simulation platform. Through this coordinate system, the orthogonal anisotropic thermal conductivity coefficients with the values of (30, 4, 4) for each fiber bundle in the B-CF are defined.
- (2)
- Fiber bundles with 1 to 15 cycles are examined for simulation. The results show that along with the increase of number of fiber cycles, the corresponding cross-sectional temperature converges gradually. To balance model efficiency and complexity, the final model with a converged temperature distribution is determined to have 8 cycles.
- (3)
- For the same cross-sectional areas, along with the SF increases from 0.45 to 1.20, the orientation of fiber leads to a reduction in the rubber area. The heat dissipation efficiencies of elliptical and rectangular cross-sectional heat sources improve by 7.9% and 16.3%, respectively. Furthermore, the temperature curves for both the elliptical and rectangular shapes are nearly identical when the cross-sectional shape factor is the same.
- (4)
- Under the same cross-sectional shape, the cross-sectional area of the fiber bundle has a greater impact on the heat dissipation of the model. Along with the cross-sectional area scaling factor increases from 0.45 to 1.05, the corresponding heat dissipation effect of the heat source can be improved by 32.6% and 28.6% for the circular cross-section and square cross-section respectively, and the opposite heat source effect increases by 40.0% and 40.4% accordingly.
Author Contributions
Funding
Data Availability Statement
Conflicts of Interest
References
- Liu, Y.; Chen, W.; Jiang, D. Review on Heat Generation of Rubber Composites. Polymers 2023, 15, 2. [Google Scholar] [CrossRef]
- Jiang, T.; Wang, Y.; Xu, K.; Xiang, L.; Tang, B.; Shi, S.; Wu, X.; Li, W.; Sun, K.; Fan, R.; et al. Highly thermally conductive and negative permittivity epoxy composites by constructing the carbon fiber/carbon networks. Compos. Commun. 2023, 39, 101560. [Google Scholar] [CrossRef]
- Shahamatifard, F.; Rodrigue, D.; Mighri, F. Thermal and Mechanical Properties of Carbon-Based Rubber Nanocomposites: A Review. Plast. Rubber Compos. 2023, 52, 483–505. [Google Scholar] [CrossRef]
- Zhang, S.; Gao, L.; Han, J.; Li, Z.; Zu, G.; Ran, X.; Sun, Y. Through-thickness thermal conductivity enhancement and tensile response of carbon fiber-reinforced polymer composites. Compos. Part B Eng. 2019, 165, 183–192. [Google Scholar] [CrossRef]
- Jang, J.; Park, H.C.; Lee, H.S.; Khil, M.S.; Kim, S.Y. Electrically and thermally conductive carbon fibre fabric reinforced polymer composites based on nanocarbons and an in-situ polymerizable cyclic oligoester. Sci. Rep. 2018, 8, 7659. [Google Scholar] [CrossRef] [PubMed]
- Luo, X.; Weng, W.; Liang, Y.; Hu, Z.; Zhang, Y.; Yang, J.; Yang, L.; Yang, S.; Zhu, M.; Cheng, H.-M. Multifunctional fabrics of carbon nanotube fibers. J. Mater. Chem. A 2019, 7, 8790–8797. [Google Scholar] [CrossRef]
- Ata, S.; Subramaniam, C.; Nishizawa, A.; Yamada, T.; Hata, K. Highly Thermally Conductive Yet Flexible Composite of Carbon Fiber, Carbon Nanotube, and Rubber Obtained by Decreasing the Thermal Resistivity at the Interface between Carbon Fiber and Carbon Nanotube. Adv. Eng. Mater. 2017, 19, 1600596. [Google Scholar] [CrossRef]
- Yang, X.; Shen, X.; Peng, W.; Hu, D.; Wang, X.; Song, H.; Zhao, R.; Zhang, C. Research on the Mechanical and Thermal Properties of Carbon-Fiber-Reinforced Rubber Based on a Finite Element Simulation. Polymers 2024, 16, 2120. [Google Scholar] [CrossRef] [PubMed]
- Wu, W.L.; Li, X. Wear and thermal properties of carbon fiber reinforced silicone rubber/fluorine rubber composites. J. Rubber Res. 2019, 22, 119–126. [Google Scholar] [CrossRef]
- Tang, J.; Aslani, A.; Swolfs, Y.; Bullegas, G.; Pinho, S.T.; Lomov, S.V.; Gorbatikh, L. Staggered ply discontinuities for tailoring the tensile behavior of hybrid carbon fiber/self-reinforced polypropylene composites: A study of pattern parameters. Compos. Part A Appl. Sci. Manuf. 2019, 125, 105551. [Google Scholar] [CrossRef]
- Reghat, M.; Ravandi, M.; Zinnecker, V.; Di Pietro, A. Through-thickness thermal conductivity characterisation of dry carbon fibre fabric. Mater. Lett. 2024, 361, 136116. [Google Scholar] [CrossRef]
- Won, K.; Jeon, D.; Lim, H.; Kim, Y.; Lee, C. Highly flexible twill-structured carbon fiber fabric with ultra-high thermal conductivity. J. Mech. Sci. Technol. 2024, 38, 5515–5519. [Google Scholar] [CrossRef]
- Candadai, A.A.; Weibel, A.J.; Marconnet, A.M. Thermal Conductivity of Ultrahigh Molecular Weight Polyethylene: From Fibers to Fabrics. ACS Appl. Polym. Mater. 2020, 2, 437–447. [Google Scholar] [CrossRef]
- Sun, J.; Cai, F.; Tao, D.; Ni, Q.; Fu, Y. Enhanced Thermal Insulation of the Hollow Glass Bead/Glass Fiber Fabric Textile Composite Material. Polymers 2021, 13, 505. [Google Scholar] [CrossRef] [PubMed]
- Zhang, Y.F.; Chen, L.; Ge, Y.Y.; Wang, Q.Y.; Bai, S.L. Graphite tube woven fabric/boron nitride/polymer composite with enhanced thermal conductivity and electric isolation. Polym. Compos. 2019, 40, E1808–E1817. [Google Scholar] [CrossRef]
- Yu, S.; Park, K.; Lee, J.W.; Hong, S.M.; Park, C.; Han, T.H.; Koo, C.M. Enhanced thermal conductivity of epoxy/Cu-plated carbon fiber fabric composites. Macromol. Res. 2017, 25, 559–564. [Google Scholar] [CrossRef]
- Lu, N.; Sun, X.; Wang, H.; Zhang, J.G.; Ma, C.Q.; Liu, C.; Zeng, Y. Synergistic Effect of Woven Copper Wires with Graphene Foams for High Thermal Conductivity of Carbon Fiber/Epoxy Composites. Adv. Compos. Hybrid. Mater. 2024, 7, 29. [Google Scholar] [CrossRef]
- Siddiqui, M.O.R.; Sun, D.M. Finite Element Analysis of Thermal Conductivity and Thermal Resistance Behaviour of Woven Fabric. Comput. Mater. Sci. 2013, 75, 45–51. [Google Scholar] [CrossRef]
- Zhu, F.L. Investigating the Effective Thermal Conductivity of Moist Fibrous Fabric Based on Parallel-Series Model: A Consideration of Material’s Swelling Effect. Mater. Res. Express 2020, 7, 045308. [Google Scholar] [CrossRef]
- Li, Y.; Li, L.; Li, Y.; Wang, H.; Wang, P.; Zhang, Y. The Through-Thickness Thermal Conductivity and Heat Transport Mechanism of Carbon Fiber Three-Dimensional Orthogonal Woven Fabric Composite. J. Text. Inst. 2024, 115, 308–315. [Google Scholar] [CrossRef]
- Wu, X.; Yu, P.; Sun, X.; Wang, X.; Li, W. Modeling the Thermal Performance of Anisotropic Heat Conduction Fabric with Different Structural Parameters. J. Nat. Fibers 2023, 20, 2181263. [Google Scholar] [CrossRef]
- Ye, C.; Wu, H.; Zhu, S.P.; Fan, Z.; Huang, D.; Han, F.; Liu, J.S.; Yang, J.X.; Liu, H.B. Microstructure of High Thermal Conductivity Mesophase Pitch-Based Carbon Fibers. Carbon 2022, 186, 738–739. [Google Scholar] [CrossRef]
- Wang, R.; Zobeiri, H.; Lin, H.; Qu, W.; Bai, X.; Deng, C.; Wang, X. Anisotropic thermal conductivities and structure in lignin-based microscale carbon fibers. Carbon 2019, 147, 58–69. [Google Scholar] [CrossRef]
- Zhan, C.; Cui, W.; Li, L. A Fractal Model of Effective Thermal Conductivity of Porous Materials Considering Tortuosity. Energies 2023, 16, 271. [Google Scholar] [CrossRef]
- Zhu, B.L.; Wang, J.; Zheng, H.; Ma, J.; Wu, J.; Gan, Z.H.; Liu, J. Thermal conductivity and dielectric properties of immiscible LDPE/epoxy blend filled with hybrid filler consisting of HGM and nitride particle. J. Alloys Compd. 2017, 701, 499–507. [Google Scholar] [CrossRef]
- Julia, B.; Guido, D.; Marc, T.; Hagen, R.; Patrick, H.; Manfred, E.; Alexander, P. On the applicability of the Maxwell Garnett effective medium model to media with a high density of cylindrical pores. Opt. Mater. Express 2024, 14, 871–879. [Google Scholar]
- Choi, H.-S.; Park, J.-H.; Lee, J.-H. The Effect of Porosity on the Thermal Conductivity of Highly Thermally Conductive Adhesives for Advanced Semiconductor Packages. Polymers 2023, 15, 3083. [Google Scholar] [CrossRef]
- Amooghorban, E.; Wubs, M. Quantum Optical Effective-Medium Theory for Layered Metamaterials at Any Angle of Incidence. Nanomaterials 2023, 13, 291. [Google Scholar] [CrossRef]
- Tarannum, F.; Muthaiah, R.; Annam, R.S.; Gu, T.; Garg, J. Effect of Alignment on Enhancement of Thermal Conductivity of Polyethylene–Graphene Nanocomposites and Comparison with Effective Medium Theory. Nanomaterials 2020, 10, 1291. [Google Scholar] [CrossRef]











| Material | Density kg/m3 | Constant Pressure Heat Capacity J/(kg·K) | Thermal Conductivity W/(m·°C) |
|---|---|---|---|
| Carbon fiber | 1500 | 800 | {30, 4, 4} |
| Carbon fiber (infinite Meta-domain) | 1500 | 800 | 30 |
| Natural rubber | 985 | 2000 | 0.17 |
| Control Points | xp | yp | Weights |
|---|---|---|---|
| a1 | 0 | 0 | 1 |
| a2 | 0.5 mm | 0 | 1 |
| a3 | 0.5 mm | 0.5 mm | 1 |
| a4 | 1.0 mm | 0.5 mm | 1 |
| b1 | 1.0 mm | 0.5 mm | 1 |
| b2 | 1.5 mm | 0.5 mm | 1 |
| b3 | 1.5 mm | 0 | 1 |
| b4 | 2.0 mm | 0 | 1 |
| The size of maximum unit | 0.36 mm | Number of fixed cells of free triangular mesh | 8 |
| The size of minimum unit | 0.0036 mm | Number of fixed cells in free tetrahedral mesh | 3 |
| The maximum growth rate of adjacent unit | 1.3 | Scaling geometry ratio in x-direction | 1 |
| Curvature factor | 0.2 | Scaling geometry ratio in y-direction | 1 |
| The resolution of narrow area | 1 | Scaling geometry ratio in z-direction | 1 |
| Q | E-SF | la (mm) | sa (mm) | Q | R-SF | a (mm) | b (mm) |
|---|---|---|---|---|---|---|---|
| 1 | 0.45 | 0.09 | 0.444 | 2 | 0.45 | 0.159 | 0.787 |
| 0.50 | 0.10 | 0.400 | 0.50 | 0.177 | 0.709 | ||
| 0.55 | 0.11 | 0.364 | 0.55 | 0.196 | 0.644 | ||
| 0.60 | 0.12 | 0.333 | 0.60 | 0.213 | 0.591 | ||
| 0.65 | 0.13 | 0.308 | 0.65 | 0.230 | 0.545 | ||
| 0.70 | 0.14 | 0.286 | 0.70 | 0.248 | 0.508 | ||
| 0.75 | 0.15 | 0.267 | 0.75 | 0.266 | 0.473 | ||
| 0.80 | 0.16 | 0.250 | 0.80 | 0.284 | 0.443 | ||
| 0.85 | 0.17 | 0.235 | 0.85 | 0.301 | 0.418 | ||
| 0.90 | 0.18 | 0.222 | 0.90 | 0.319 | 0.394 | ||
| 0.95 | 0.19 | 0.211 | 0.95 | 0.338 | 0.373 | ||
| 1.00 | 0.2 | 0.200 | 1.00 | 0.354 | 0.354 | ||
| 1.05 | 0.21 | 0.191 | 1.05 | 0.372 | 0.338 | ||
| 1.10 | 0.22 | 0.182 | 1.10 | 0.390 | 0.322 | ||
| 1.15 | 0.23 | 0.174 | 1.15 | 0.408 | 0.309 | ||
| 1.20 | 0.24 | 0.167 | 1.20 | 0.425 | 0.295 |
| Q | C-AC | r (mm) | S = πr2 (mm2) | Q | S-AC | a (mm) | S = a2 (mm2) |
|---|---|---|---|---|---|---|---|
| 1 | 0.45 | 0.090 | 0.02545 | 2 | 0.45 | 0.159 | 0.02537 |
| 0.50 | 0.100 | 0.03142 | 0.50 | 0.177 | 0.03133 | ||
| 0.55 | 0.110 | 0.03800 | 0.55 | 0.195 | 0.03788 | ||
| 0.60 | 0.120 | 0.04524 | 0.60 | 0.212 | 0.04508 | ||
| 0.65 | 0.130 | 0.05338 | 0.65 | 0.230 | 0.05291 | ||
| 0.70 | 0.140 | 0.06155 | 0.70 | 0.248 | 0.06133 | ||
| 0.75 | 0.150 | 0.07069 | 0.75 | 0.266 | 0.07048 | ||
| 0.80 | 0.160 | 0.08042 | 0.80 | 0.283 | 0.08027 | ||
| 0.85 | 0.170 | 0.09070 | 0.85 | 0.301 | 0.09046 | ||
| 0.90 | 0.180 | 0.10179 | 0.90 | 0.319 | 0.10149 | ||
| 0.95 | 0.190 | 0.11344 | 0.95 | 0.336 | 0.11302 | ||
| 1.00 | 0.200 | 0.12566 | 1.00 | 0.354 | 0.12500 | ||
| 1.05 | 0.210 | 0.13823 | 1.05 | 0.372 | 0.13746 |
| Q | SF | Starting Temperature | Endpoint Temperature | AC | Starting Temperature | Endpoint Temperature |
|---|---|---|---|---|---|---|
| 1 | 0.45 | 136.82 °C | 26.57 °C | 0.45 | 189.81 °C | 44.51 °C |
| 1.20 | 125.96 °C | 27.32 °C | 1.05 | 127.91 °C | 26.72 °C | |
| 2 | 0.45 | 145.81 °C | 26.44 °C | 0.45 | 185.02 °C | 44.58 °C |
| 1.20 | 122.12 °C | 27.14 °C | 1.05 | 132.12 °C | 26.58 °C |
Disclaimer/Publisher’s Note: The statements, opinions and data contained in all publications are solely those of the individual author(s) and contributor(s) and not of MDPI and/or the editor(s). MDPI and/or the editor(s) disclaim responsibility for any injury to people or property resulting from any ideas, methods, instructions or products referred to in the content. |
© 2025 by the authors. Licensee MDPI, Basel, Switzerland. This article is an open access article distributed under the terms and conditions of the Creative Commons Attribution (CC BY) license (https://creativecommons.org/licenses/by/4.0/).
Share and Cite
Gao, Z.; Zhao, S.; Tu, Q.; Shen, X.; Yin, Q.; Yang, X.; Wang, E.; Peng, W.; Zhang, X.; Xue, J. Numerical Simulation and Analysis of Thermal Conductivity and Influencing Factors of Braided Carbon Fiber Reinforced Natural Rubber Composites. Crystals 2025, 15, 212. https://doi.org/10.3390/cryst15030212
Gao Z, Zhao S, Tu Q, Shen X, Yin Q, Yang X, Wang E, Peng W, Zhang X, Xue J. Numerical Simulation and Analysis of Thermal Conductivity and Influencing Factors of Braided Carbon Fiber Reinforced Natural Rubber Composites. Crystals. 2025; 15(3):212. https://doi.org/10.3390/cryst15030212
Chicago/Turabian StyleGao, Zhongzhe, Shuwei Zhao, Qunzhang Tu, Xinmin Shen, Qin Yin, Xiaocui Yang, Enshuai Wang, Wenqiang Peng, Xiangpo Zhang, and Jinhong Xue. 2025. "Numerical Simulation and Analysis of Thermal Conductivity and Influencing Factors of Braided Carbon Fiber Reinforced Natural Rubber Composites" Crystals 15, no. 3: 212. https://doi.org/10.3390/cryst15030212
APA StyleGao, Z., Zhao, S., Tu, Q., Shen, X., Yin, Q., Yang, X., Wang, E., Peng, W., Zhang, X., & Xue, J. (2025). Numerical Simulation and Analysis of Thermal Conductivity and Influencing Factors of Braided Carbon Fiber Reinforced Natural Rubber Composites. Crystals, 15(3), 212. https://doi.org/10.3390/cryst15030212

