Tamm Plasmons: Properties, Applications, and Tuning with Help of Liquid Crystals
Abstract
1. Introduction

2. Basic Schemes Used to Excite Tamm Plasmons and Study Their Properties
2.1. The Formation of a Confined Electromagnetic Mode Localized at the Interface Between a Metal and a Distributed Bragg Reflector
2.2. Obtaining a Broadband TP
2.3. Tunability and Optimization of Coupling Efficiency in TAMM Plasmon Modes
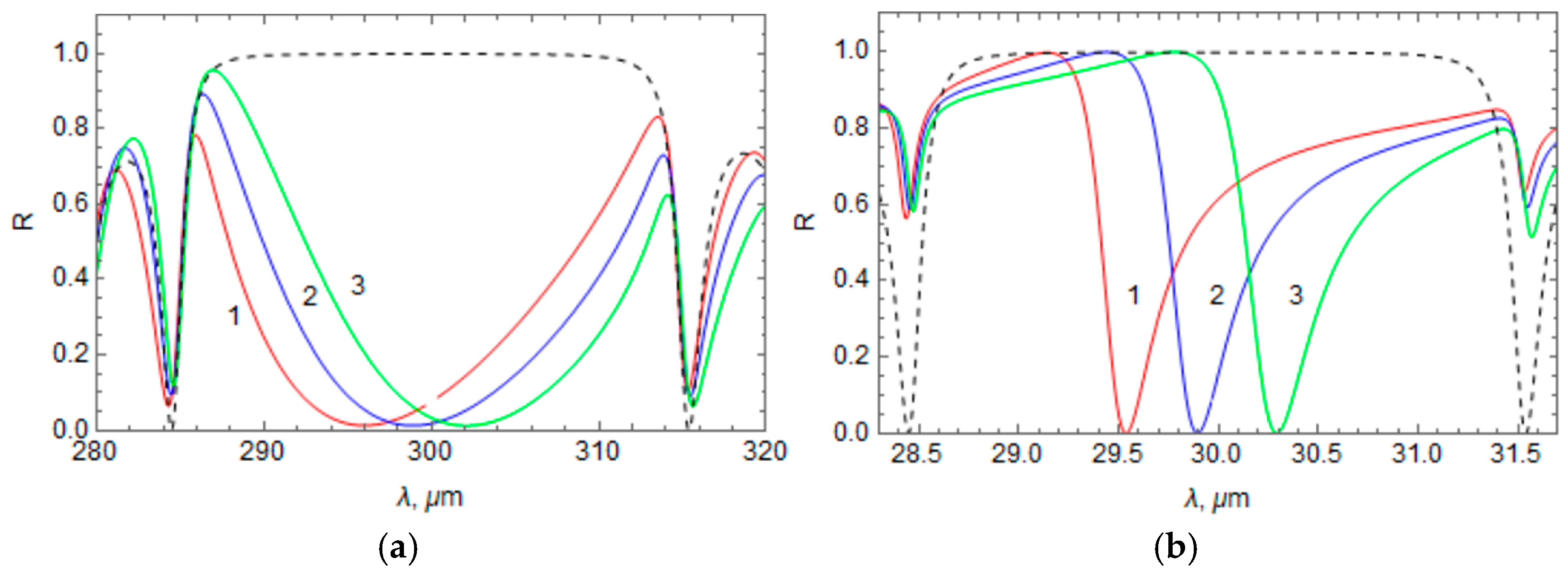
2.4. Influence of Rugate Filters on the Spectral Manifestation of Tamm Plasmon
2.5. Excitation and Tuning of Optical Tamm States in a Hybrid Structure with Liquid Crystals
2.6. Excitation of Optical Tamm States in a Hybrid Structure with Porous DBR
3. Applications of Tamm Plasmons
3.1. Tamm Plasmon Resonance-Based Sensors
3.2. Lasing and Amplification of Light in Hybrid Tamm Structures
3.3. Selective Thermal Emitters by Confined Tamm Plasmons
3.4. Perfect Absorber Supported by Optical Tamm States
3.5. Applications of Tamm Plasmon-Liquid Crystal Devices
Author Contributions
Funding
Data Availability Statement
Acknowledgments
Conflicts of Interest
References
- Boardman, A.D. Electromagnetic Surface Modes; Wiley: Chicester, UK, 1982. [Google Scholar]
- Polo, J.A., Jr.; Mackay, T.G.; Lakhtakia, A. Electromagnetic Surface Waves: A Modern Perspective; Elsevier: Waltham, MA, USA, 2013. [Google Scholar]
- D’yakonov, M.I. New type of electromagnetic wave propagating at an interface. Sov. Phys. JETP 1988, 67, 714–716. [Google Scholar]
- Takayama, O.; Crasovan, L.C.; Johansen, S.K.; Mihalache, D.; Artigas, D.; Torner, L. Dyakonov surface waves: A review. Electromagnetics 2008, 28, 126–145. [Google Scholar] [CrossRef]
- Mackay, T.G.; Zhou, C.; Lakhtakia, A. Dyakonov–Voigt surface waves. Proc. R. Soc. A 2019, 475, 20190317. [Google Scholar] [CrossRef] [PubMed]
- Maier, S.A. Plasmonics: Fundamentals and Applications; Springer: New York, NY, USA, 2007. [Google Scholar]
- Pohl, D.W. Near-Field Optics and Surface Plasmon Polaritons; Kawata, S., Ed.; Springer: Berlin, Germany, 2001. [Google Scholar]
- Ponath, H.E.; Stegeman, G.I. Nonlinear Surface Electromagnetic Phenomena; North Holland Publisher: Amsterdam, The Netherlands, 1991. [Google Scholar]
- Engheta, N.; Pelet, P. Surface waves in chiral layers. Opt. Lett. 1991, 16, 723–725. [Google Scholar] [CrossRef]
- Lu, L.; Joannopoulos, J.D.; Solja, M. Topological photonics. Nat. Photonics 2014, 8, 821–829. [Google Scholar] [CrossRef]
- Deng, J.; Dong, H.; Zhang, C.; Wu, Y.; Yuan, J.; Zhu, X.; Jin, F.; Li, H.; Wang, Z.; Cai, H.; et al. Observing the quantum topology of light. Science 2022, 378, 6623. [Google Scholar] [CrossRef]
- Ye, F.; Merlo, J.M.; Burns, M.J.; Naughton, M.J. Optical and electrical mappings of surface plasmon cavity modes. Nanophotonics 2014, 3, 33–49. [Google Scholar] [CrossRef]
- Luo, J.; Xu, P.; Gao, L. Controllable switching behavior of optical Tamm state based on nematic liquid crystal. Solid State Commun. 2011, 151, 993–995. [Google Scholar] [CrossRef]
- Kavokin, A.V.; Shelykh, I.A.; Malpuech, G. Lossless interface modes at the boundary between two periodic dielectric structures. Phys. Rev. B 2005, 72, 233102. [Google Scholar] [CrossRef]
- Vinogradov, A.P.; Dorofeenko, A.V.; Erokhin, S.G.; Inoue, M.; Lisyansky, A.A.; Merzlikin, A.M.; Granovsky, A.B. Surface state peculiarities in one-dimensional photonic crystal interfaces. Phys. Rev. B 2006, 74, 045128. [Google Scholar] [CrossRef]
- Goto, T.; Dorofeenko, A.V.; Merzlikin, A.M.; Baryshev, A.V.; Vinogradov, A.P.; Inoue, M.; Lisyanskii, A.A.; Granovsky, A.B. Optical Tamm states in one-dimensional magnetophotonic structures. Phys. Rev. Lett. 2008, 101, 113902. [Google Scholar] [CrossRef] [PubMed]
- Vetrov, S.Y.; Bikbaev, R.G.; Timofeev, I.V. Optical Tamm states at the interface between a photonic crystal and a nanocomposite with resonance dispersion. J. Exp. Theor. Phys. 2013, 117, 988–998. [Google Scholar] [CrossRef]
- Kaliteevski, M.; Iorsh, I.; Brand, S.; Abram, R.A.; Chamberlain, J.M.; Kavokin, A.V.; Shelykh, I.A. Tamm plasmon-polaritons: Possible electromagnetic states at the interface of a metal and a dielectric Bragg mirror. Phys. Rev. B 2007, 76, 165415. [Google Scholar] [CrossRef]
- Shelykh, I.A.; Kaliteevski, M.A.; Kavokin, A.V.; Brand, S.; Abram, R.A.; Chamberlain, J.M.; Malpuech, G. Interface photonic states at the boundary between a metal and a dielectric Bragg mirror. Phys. Stat. Solidi A 2007, 204, 522–525. [Google Scholar] [CrossRef]
- Sasin, M.E.; Seisyan, R.P.; Kaliteevski, M.A.; Brand, S.; Abram, R.A.; Chamberlain, J.M.; Egorov, A.Y.; Vasil’ev, A.P.; Mikhrin, V.S.; Kavokin, A.V. Tamm plasmon polaritons: Slow and spatially compact light. Appl. Phys. Lett. 2008, 92, 251112. [Google Scholar] [CrossRef]
- Afinogenov, B.I.; Bessonov, V.O.; Nikulin, A.A.; Fedyanin, A.A. Observation of hybrid state of Tamm and surface plasmon-polaritons in one-dimensional photonic crystals. Appl. Phys. Lett. 2013, 103, 061112. [Google Scholar] [CrossRef]
- Vyunishev, A.M.; Bikbaev, R.G.; Svyakhovskiy, S.E.; Timofeev, I.V.; Pankin, P.S.; Evlashin, S.A.; Vetrov, S.A.; Myslivets, S.A.; Arkhipkin, V.G. Broadband Tamm plasmon polariton. J. Opt. Soc. Am. B 2019, 36, 2299. [Google Scholar] [CrossRef]
- Tamm, I. O vozmozhnoi sviazi elektronov na poverkhnostiakh kristalla. Zh. Eksp. Teor. Fiz. 1933, 3, 34. (In Russian) [Google Scholar]
- Kavokin, A.V.; Kaliteevski, M.A. Excitionic light reflection and absorption in semiconductor microcavities at oblique incidence. Solid State Commun. 1995, 95, 859–862. [Google Scholar] [CrossRef]
- Yeh, P. Optical Waves in Layered Media; Wiley: New York, NY, USA, 1988. [Google Scholar]
- Adams, M.; Cemlyn, B.; Henning, I.; Parker, M.; Hrbord, E.; Oulton, R. Model for confined Tamm plasmon devices. J. Opt. Soc. Am. B 2019, 36, 125–130. [Google Scholar] [CrossRef]
- Joannopoulos, J.D.; Johnson, S.G.; Winn, J.N.; Meade, R.D. Photonic Crystals: Molding the Flow of Light, 2nd ed.; Princeton University Press: Princeton, NJ, USA, 2008. [Google Scholar]
- Haus, H.A. Waves and Fields in Optoelectronics; Prentice-Hall: Englewood Cliffs, NJ, USA, 1984. [Google Scholar]
- Auguié, B.; Bruchhausen, A.; Fainstein, A. Critical coupling to Tamm plasmons. J. Opt. 2015, 17, 035003. [Google Scholar] [CrossRef]
- Bliokh, K.; Bliokh, Y.; Freilikher, V.; Savel’ev, S.; Nori, F. Colloquium: Unusual resonators: Plasmonics, metamaterials, and random media. Rev. Mod. Phys. 2008, 80, 1201–1213. [Google Scholar] [CrossRef]
- Herminghaus, S.; Klopfleisch, M.; Schmidt, H.J. Attenuated total reflectance as a quantum interference phenomenon. Opt. Lett. 1994, 19, 293–295. [Google Scholar] [CrossRef] [PubMed]
- Ru, E.C.L.; Etchegoin, P.G. Principles of Surface Enhanced Raman Spectroscopy and Related Plasmonic Effects; Elsevier: Amsterdam, The Netherlands, 2009. [Google Scholar]
- Amirand, A.; Vukusic, P. Elucidating the stop bands of structurally colored systems through recursion. Am. J. Phys. 2013, 81, 253–257. [Google Scholar] [CrossRef]
- Chang, C.-Y.; Chen, Y.-H.; Tsai, Y.-L.; Kuo, H.-C.; Chen, K.-P. Tunability and optimization of coupling efficiency in Tamm plasmon modes. IEEE J. Sel. Top. Quantum Electron. 2015, 21, 4600206. [Google Scholar] [CrossRef]
- Mathmann, B.; Haidar, Q.; Talbi, A.; Tiercelin, N.; Mir, A.; Boudouti, E.H.E.; Djafari-Rouhani, B.; Lévêque, G.; Akjouj, A.; Dusch, Y. Optical Tamm states in 2d nanostructured magnetophotonic structures. Plasmonics 2024. [Google Scholar] [CrossRef]
- Fang, Y.-T.; Ni, Y.-X.; He, H.-Q.; Hu, J.-X. Effect of hybrid state of surface plasmon–polaritons, magnetic defect mode and optical Tamm state on nonreciprocal propagation. Opt. Commun. 2014, 320, 99–104. [Google Scholar] [CrossRef]
- Reshetnyak, V.Y.; Pinkevych, I.P.; Bunning, T.J.; Evans, D.R. Influence of rugate filters on the spectral manifestation of Tamm plasmon-polaritons. Materials 2021, 14, 1282. [Google Scholar] [CrossRef]
- Bovard, B.G. Rugate filter theory: An overview. Appl. Opt. 1993, 32, 5427–5442. [Google Scholar] [CrossRef]
- Southwell, W.H.; Hall, R.L. Rugate filter sidelobe suppression using quintic and rugated quintic matching layers. Appl. Opt. 1989, 28, 2949–2951. [Google Scholar] [CrossRef]
- Lorenzo, E.; Oton, C.J.; Capuj, N.E.; Ghulinyan, M.; Navarro-Urrios, D.; Gaburro, Z.; Pavesi, L. Porous silicon-based rugate filters. Appl. Opt. 2005, 44, 5415–5421. [Google Scholar] [CrossRef] [PubMed]
- Jupé, M.; Lappschies, M.; Jensen, L.; Starke, K.; Ristau, D. Laser-induced damage in gradual index layers and rugate filters. Proc. SPIE 2006, 6403, 640311. [Google Scholar] [CrossRef]
- Kogelnik, H. Coupled wave theory for thick hologram gratings. Bell Syst. Tech. J. 1969, 48, 2909–2947. [Google Scholar] [CrossRef]
- Yariv, A.; Yeh, P. Optical Waves in Crystals: Propagation and Control of Laser Radiation; John Wiley & Sons: Hoboken, NJ, USA, 2003; pp. 177–201. [Google Scholar]
- Karpov, S.Y.; Stolyarov, S.N. Propagation and transformation of electromagnetic waves in one-dimensional periodic structures. Phys. Uspekhi 1993, 36, 1–22. [Google Scholar] [CrossRef]
- Rakić, A.D.; Djurišic, A.B.; Elazar, J.M.; Majewski, M.L. Optical properties of metallic films for vertical-cavity optoelectronic devices. Appl. Opt. 1998, 37, 5271–5283. [Google Scholar] [CrossRef]
- Castellanos-Gomez, A.; Vicarelli, L.; Prada, E.; Island, J.O.; Narasimha-Acharya, K.L.; Blanter, S.I.; Groenendijk, D.J.; Buscema, M.; Steele, G.A.; Alvarez, J.V.; et al. Isolation and characterization of few-layer black phosphorus. 2D Materials 2014, 1, 025001. [Google Scholar] [CrossRef]
- Xia, F.; Wang, H.; Jia, Y. Rediscovering black phosphorus as an anisotropic layered material for optoelectronics and electronics. Nat. Commun. 2014, 5, 4458. [Google Scholar] [CrossRef]
- Wang, X.; Jones, A.M.; Seyler, K.L.; Tran, V.; Jia, Y.; Zhao, H.; Wang, H.; Yang, L.; Xu, X.; Xia, F. Highly anisotropic and robust excitons in monolayer black phosphorus. Nat. Nanotechnol. 2015, 10, 517–521. [Google Scholar] [CrossRef]
- Lan, S.; Rodrigues, S.; Kang, L.; Cai, W. Visualizing optical phase anisotropy in black phosphorus. ACS Photonics 2016, 3, 1176–1181. [Google Scholar] [CrossRef]
- Liu, H.; Neal, A.T.; Zhu, Z.; Luo, Z.; Xu, X.; Tománek, D.; Ye, P.D. Phosphorene: An unexplored 2d semiconductor with a high hole mobility. ACS Nano 2014, 8, 4033–4041. [Google Scholar] [CrossRef]
- Mittendorff, M.; Suess, R.J.L.; Murphy, T.E. Optical gating of black phosphorus for terahertz detection. Nano Lett. 2017, 17, 5811–5816. [Google Scholar] [CrossRef] [PubMed]
- Doha, M.H.; Batista, J.I.S.; Rawwagah, A.F.; Thompson, J.P.; Fereidouni, A.; Watanabe, K.; Taniguchi, T.; El-Shenawee, M.; Churchill, H. Integration of multi-layer black phosphorus into photo-conductive antennas for THz emission. J. Appl. Phys. 2020, 128, 063104. [Google Scholar] [CrossRef]
- Viti, L.; Hu, J.; Coquillat, D.; Knap, W.; Tredicucci, A.; Politano, A.; Vitiello, M.S. Black phosphorus terahertz photodetectors. Adv. Mater. 2015, 27, 5567–5572. [Google Scholar] [CrossRef]
- Guo, W.; Dong, Z.; Xu, Y.; Liu, C.; Wei, D.; Zhang, L.; Shi, X.; Guo, C.; Xu, H.; Chen, G.; et al. Sensitive terahertz detection and imaging driven by the photo thermoelectric effect in ultrashort-channel black phosphorus devices. Adv. Sci. 2020, 7, 1902699. [Google Scholar] [CrossRef]
- Federici, J.; Moeller, L. Review of terahertz and subterahertz wireless communications. J. Appl. Phys. 2010, 107, 111101. [Google Scholar] [CrossRef]
- Jepsen, P.U.; Cooke, D.G.; Koch, M. Terahertz spectroscopy and imaging–modern techniques and applications. Laser Photonics Rev. 2011, 5, 124–166. [Google Scholar] [CrossRef]
- Tonouchi, M. Cutting-edge terahertz technology. Nat. Photonics 2007, 1, 97–105. [Google Scholar] [CrossRef]
- Low, T.; Roldan, R.; Wang, H.; Xia, F.; Avouris, P.; Moreno, L.M.; Guinea, F. Plasmons and screening in monolayer and multilayer black phosphorus. Phys. Rev. Lett. 2014, 113, 106802. [Google Scholar] [CrossRef]
- Liu, Z.; Aydin, K. Localized surface plasmons in nanostructured monolayer black phosphorus. Nano Lett. 2016, 16, 3457–3462. [Google Scholar] [CrossRef]
- Jin, F.; Roldán, R.; Katsnelson, M.I.; Yuan, S. Plasmonics in strained monolayer black phosphorus. Phys. Rev. B 2015, 92, 115440. [Google Scholar] [CrossRef]
- Pan, J.; Zhu, W.; Zheng, H.; Yu, J.; Chen, Y.; Guan, H.; Lu, H.; Zhong, Y.; Luo, Y.; Chen, Z. Exploiting black phosphorus based-Tamm plasmons in the terahertz region. Opt. Express 2020, 28, 13443. [Google Scholar] [CrossRef] [PubMed]
- Reshetnyak, V.Y.; Pinkevych, I.P.; Bunning, T.J.; McConney, M.E.; Slagle, J.E.; Evans, D.R. Tunable spectral manifestation of Tamm plasmon-polaritons in a hybrid structure with 2d black phosphorus in the terahertz range. Liq. Cryst. 2023, 50, 36–44. [Google Scholar] [CrossRef]
- De Gennes, P.G.; Prost, J. The Physics of Liquid Crystals; Clarendon Press: Oxford, UK, 1993. [Google Scholar]
- Caputo, R.; De Sio, L.; Veltri, A.; Umeton, C.; Sukhov, A.V. Development of a new kind of switchable holographic grating made of liquid-crystal films separated by slices of polymeric material. Opt. Lett. 2004, 29, 1261–1263. [Google Scholar] [CrossRef] [PubMed]
- Holmstrom, S.A.; Natarajan, L.V.; Tondiglia, V.P.; Sutherland, R.L.; Bunning, T.J. Mechanical tuning of holographic polymer-dispersed liquid crystal reflection gratings. Appl. Phys. Lett. 2004, 85, 1949–1951. [Google Scholar] [CrossRef]
- Jazbinšek, M.; Drevensek-Olenik, I.; Zgonik, M.; Fontecchio, A.K.; Crawford, G.P. Characterization of holographic polymer dispersed liquid crystal transmission gratings. J. Appl. Phys. 2001, 90, 3831. [Google Scholar] [CrossRef]
- Lucchetta, D.E.; Criante, L.; Simoni, F. Optical characterization of polymer dispersed liquid crystals for holographic recording. J. Appl. Phys. 2003, 93, 9669–9674. [Google Scholar] [CrossRef]
- Liu, K.; Xu, H.; Hu, H.; Gan, Q.; Cartwright, A.N. One-step fabrication of graded rainbow-colored holographic photopolymer reflection grating. Adv. Mater. 2012, 24, 1604–1609. [Google Scholar] [CrossRef]
- De Sio, L.; Lloyd, P.F.; Tabiryan, N.V.; Bunning, T.J. Hidden gratings in holographic liquid crystal polymer-dispersed liquid crystal films. ACS Appl. Mater. Interfaces 2018, 10, 13107–13112. [Google Scholar] [CrossRef]
- Reshetnyak, V.Y.; Pinkevych, I.P.; Godman, N.P.; Bunning, T.J.; Evans, D.R. Optical Tamm states in a hybrid structure with a holographic polymer-liquid crystal grating. Liq. Cryst. 2023, 50, 45–53. [Google Scholar] [CrossRef]
- Reshetnyak, V.Y.; Pinkevych, I.P.; Bunning, T.J.; Evans, D.R. Excitation and tuning of optical Tamm states in a hybrid structure with a metal film adjacent to a four-layer polymer-liquid crystal stack. Photonics 2024, 11, 278. [Google Scholar] [CrossRef]
- Berreman, D.W. Optics in stratified and anisotropic media: 4 × 4-matrix formulation. J. Opt. Soc. Am. 1972, 62, 502–510. [Google Scholar] [CrossRef]
- Pyatnov, M.V.; Vetrov, S.Y.; Timofeev, I.V. Localised optical states in a structure formed by two oppositely handed cholesteric liquid crystal layers and a metal. Liq. Cryst. 2017, 44, 674–678. [Google Scholar] [CrossRef]
- Zhou, H.; Yang, G.; Wang, K.; Long, H.; Lu, P. Multiple optical Tamm states at a metal-dielectric mirror interface. Opt. Lett. 2010, 35, 4112. [Google Scholar] [CrossRef] [PubMed]
- Fei, Y.; Liu, Y.; Dong, D.; Gao, K.; Ren, S.; Fan, Y. Multiple adjustable optical Tamm states in one-dimensional photonic quasicrystals with predesigned band gaps. Opt. Exp. 2018, 26, 34872–34879. [Google Scholar] [CrossRef]
- Reshetnyak, V.Y.; Pinkevych, I.P.; Bunning, T.J.; McConney, M.E.; Evans, D.R. Spectral manifestation of optical Tamm states in a metal-cholesteric liquid crystals stack. Phys. Rev. E 2023, 107, 014702. [Google Scholar] [CrossRef]
- Vetrov, S.Y.; Pyatnov, M.V.; Timofeev, I.V. Surface modes in photonic cholesteric liquid crystal—Phase plate-metal structure. Opt. Lett. 2014, 39, 2743–2746. [Google Scholar] [CrossRef]
- Vetrov, S.Y.; Pyatnov, M.V.; Timofeev, I.V. Spectral and polarization properties of a ‘cholesteric liquid crystal-phase film-metal’ structure. J. Opt. 2016, 18, 015103. [Google Scholar] [CrossRef]
- Pyatnov, M.V.; Vetrov, S.Y.; Timofeev, I.V. Localized optical modes in a defect-containing liquid-crystal structure adjacent to the metal. J. Opt. Soc. Am. B 2017, 34, 2011–2017. [Google Scholar] [CrossRef]
- Timofeev, I.V.; Pankin, P.S.; Vetrov, S.Y.; Arkhipkin, V.G.; Lee, W.; Zyryanov, V.Y. Chiral optical Tamm states: Temporal coupled mode theory. Crystals 2017, 7, 113. [Google Scholar] [CrossRef]
- Pyatnov, M.V.; Timofeev, I.V.; Vetrov, S.Y.; Rudakova, N.V. Coupled chiral optical Tamm states in cholesteric liquid crystals. Photonics 2018, 5, 30. [Google Scholar] [CrossRef]
- Rudakova, N.V.; Timofeev, I.V.; Bikbaev, R.G.; Pyatnov, M.V.; Vetrov, S.Y.; Lee, W. Chiral optical Tamm states at the interface between an all-dielectric polarization-preserving anisotropic mirror and a cholesteric liquid crystal. Crystals 2019, 9, 502. [Google Scholar] [CrossRef]
- Plum, E.; Zheludev, N.I. Chiral mirrors. Appl. Phys. Lett. 2015, 106, 221901. [Google Scholar] [CrossRef]
- Ng, H.M.; Moustakas, T.D.; Chu, S.N.G. High reflectivity and broad bandwidth AlN/GaN distributed Bragg reflectors grown by molecular-beam epitaxy. Appl. Phys. Lett. 2000, 76, 2818–2820. [Google Scholar] [CrossRef]
- Tawara, T.; Gotoh, H.; Akasaka, T.; Kobayashi, N.; Saitoh, T. Low-threshold lasing of InGaN vertical-cavity surface-emitting lasers with dielectric distributed Bragg reflectors. Appl. Phys. Lett. 2003, 83, 830–832. [Google Scholar] [CrossRef]
- Mishkat-Ul-Masabih, S.; Luk, T.S.; Rishinaramangalam, A.; Monavarian, M.; Nami, M.; Feezell, D. Nanoporous distributed Bragg reflectors on free-standing nonpolar m-plane GaN. Appl. Phys. Lett. 2018, 112, 041109. [Google Scholar] [CrossRef]
- Zhang, C.; Park, S.H.; Chen, D.; Lin, D.-W.; Xiong, W.; Kuo, H.-C.; Lin, C.-F.; Cao, H.; Han, J. Mesoporous GaN for photonic engineering—Highly reflective GaN mirrors as an example. ACS Photonics 2015, 2, 980–986. [Google Scholar] [CrossRef]
- Lheureux, G.; Monavarian, M.; Anderson, R.; Decrescent, R.A.; Bellessa, J.; Symonds, C.; Schuller, J.A.; Speck, J.S.; Nakamura, S.; DenBaars, S.P. Tamm plasmons in metal/nanoporous GaN distributed Bragg reflector cavities for active and passive optoelectronics. Opt. Express 2020, 28, 17934. [Google Scholar] [CrossRef]
- Juneau-Fecteau, A.; Fréchette, L.G. Tamm plasmon-polaritons in a metal coated porous silicon photonic crystal. Opt. Mater. Express 2018, 8, 2774. [Google Scholar] [CrossRef]
- Vincent, G. Optical properties of porous silicon superlattices. Appl. Phys. Lett. 1994, 64, 2367–2369. [Google Scholar] [CrossRef]
- Volk, J.; Grand, T.L.; Bársony, I.; Gombkötő, J.; Ramsden, J.J. Porous silicon multilayer stack for sensitive refractive index determination of pure solvents. J. Phys. D Appl. Phys. 2005, 38, 1313. [Google Scholar] [CrossRef]
- Salonen, J.; Björkqvist, M.; Laine, E.; Niinistö, L. Effects of fabrication parameters on porous p+-type silicon morphology. Phys. Status Solidi (A) 2000, 182, 249–254. [Google Scholar] [CrossRef]
- Zhang, W.L.; Wang, F.; Rao, Y.J.; Jiang, Y. Novel sensing concept based on optical Tamm plasmon. Opt. Express 2014, 22, 14524–14528. [Google Scholar] [CrossRef] [PubMed]
- Auguié, B.; Fuertes, M.C.; Angelomé, P.C.; Abdala, N.L.; Soler Illia, G.J.A.A.; Fainstein, A. Tamm plasmon resonance in mesoporous multilayers: Toward a sensing application. ACS Photonics 2014, 1, 775–780. [Google Scholar] [CrossRef]
- Kumar, S.; Maji, P.S.; Das, R. Tamm-plasmon resonance based temperature sensor in a Ta2O5 /SiO2 based distributed Bragg reflector. Sens. Actuators A 2017, 260, 10–15. [Google Scholar] [CrossRef]
- Ahmed, A.M.; Mehaney, A. Novel design of wide temperature ranges sensor based on Tamm state in a pyroelectric photonic crystal with high sensitivity. Phys. E 2021, 125, 114387. [Google Scholar] [CrossRef]
- Maji, P.S.; Maity, A.R. Polarization modal analysis of Tamm plasmon at the metal-DBR interface for temperature sensing. Opt. Quantum Electron. 2022, 54, 349. [Google Scholar] [CrossRef]
- Tsurimaki, Y.; Tong, J.; Boriskin, V.N.; Semenov, A.; Ayzatskiy, M.; Machekhin, Y.; Chen, G.; Boriskina, S. Topological engineering of interfacial optical Tamm states for highly sensitive near-singular-phase optical detection. ACS Photonics 2018, 5, 929–938. [Google Scholar] [CrossRef]
- Maji, P.S.; Shukla, M.K.; Das, R. Blood component detection based on miniaturized self-referenced hybrid Tamm-plasmon-polariton sensor. Sens. Actuators B 2018, 255, 729–734. [Google Scholar] [CrossRef]
- Mudi, R.; Carpentiero, A.; Bollani, M.; Barozzi, M.; Debnath, K.; Chiappini, A.; Bhaktha, B.N.S. Inverse Opal Optical Tamm State for Sensing Applications. arXiv 2024, arXiv:2405.10701. [Google Scholar] [CrossRef]
- Symonds, C.; Lemaıtre, A.; Senellart, P.; Jomaa, M.H.; Aberra Guebrou, S.; Homeyer, E.; Brucoli, G.; Bellessa, J. Lasing in a hybrid GaAs/silver Tamm structure. Appl. Phys. Lett. 2012, 100, 121122. [Google Scholar] [CrossRef]
- Symonds, C.; Lheureux, G.; Hugonin, J.P.; Greffet, J.J.; Laverdant, J.; Brucoli, G.; Lemaitre, A.; Senellart, P.; Bellessa, J. Confined Tamm plasmon lasers. Nano Lett. 2013, 13, 3179–3184. [Google Scholar] [CrossRef] [PubMed]
- Lheureux, G.; Azzini, S.; Symonds, C.; Senellart, P.; Lemaître, A.; Sauvan, C.; Hugonin, J.-P.; Greffet, J.-J.; Bellessa, J. Polarization-controlled confined Tamm plasmon lasers. ACS Photonics 2015, 2, 842–848. [Google Scholar] [CrossRef]
- Xu, W.-H.; Chou, Y.-H.; Yang, Z.-Y.; Liu, Y.-Y.; Yu, M.-W.; Huang, C.-H.; Chang, C.-T.; Huang, C.-Y.; Lu, T.-C.; Lin, T.-R. Tamm Plasmon-polariton ultraviolet lasers. Adv. Photonics Res. 2022, 3, 2100120. [Google Scholar] [CrossRef]
- Braun, T.; Baumann, V.; Iff, O.; Hofling, S.; Schneider, C.; Kamp, M. Enhanced single photon emission from positioned InP/GaInP quantum dots coupled to a confined Tamm-plasmon mode. Appl. Phys. Lett. 2015, 106, 041113. [Google Scholar] [CrossRef]
- Yakovkin, I.I.; Ledney, M.F.; Reshetnyak, V.Y.; Pakamoryte, I.; Hands, P.J.W. Modeling of laser generation in a Fabry–Pérot-Tamm structure with a nematic liquid crystal layer. J. Appl. Phys. 2024, 135, 213102. [Google Scholar] [CrossRef]
- Zhao, J.; Lu, H.; Zheng, J.; Li, D.; Zhang, Y.; Gan, X.; Zhao, J. Strong enhancement of third harmonic generation from a Tamm plasmon multilayer structure with WS2. Opt. Lett. 2024, 49, 3130–3133. [Google Scholar] [CrossRef]
- Yang, Z.-Y.; Ishii, S.; Yokoyama, T.; Dao, T.D.; Sun, M.-G.; Pankin, P.S.; Timofeev, I.V.; Nagao, T.; Chen, K.-P. Narrowband wavelength selective thermal emitters by confined Tamm plasmon polaritons. ACS Photonics 2017, 4, 2212–2219. [Google Scholar] [CrossRef]
- Wang, Z.; Clark, J.K.; Ho, Y.-L.; Vilquin, B.; Daiguji, H.; Delaunay, J.-J. Narrowband thermal emission from Tamm plasmons of a modified distributed Bragg reflector. Appl. Phys. Lett. 2018, 113, 161104. [Google Scholar] [CrossRef]
- Yang, Z.-Y.; Ishii, S.; Yokoyama, T.; Dao, T.D.; Sun, M.-G.; Nagao, T.; Chen, K.-P. Tamm plasmon selective thermal emitters. Opt. Lett. 2016, 41, 4453–4456. [Google Scholar] [CrossRef]
- Chen, C.-Y.; Tsai, M.-W.; Jiang, Y.-W.; Ye, Y.-H.; Chang, Y.-T.; Lee, S.-C. Coupling of surface plasmons between two silver films in a plasmonic thermal emitter. Appl. Phys. Lett. 2007, 91, 243111. [Google Scholar] [CrossRef]
- Botros, J.; Ali, M.O.; Tait, R.N.; Amaya, R.; Gupta, S. Direct thermal emission testing of aperiodic dielectric stack for narrowband thermal emission at mid-IR. J. Appl. Phys. 2020, 127, 114502. [Google Scholar] [CrossRef]
- Hsiao, H.-H.; Xu, B.-T. Selective multi-wavelength infrared emission by stacked gap-plasmon thermal emitters. Nanotechnology 2021, 32, 165201. [Google Scholar] [CrossRef] [PubMed]
- He, M.; Nolen, J.R.; Nordlander, J.; Cleri, A.; McIlwaine, N.S.; Tang, Y.; Lu, G.; Folland, T.G.; Landman, B.A.; Maria, J.-P.; et al. Deterministic inverse design of Tamm plasmon thermal emitters with multi-resonant control. Nat. Mater. 2021, 20, 1663–1669. [Google Scholar] [CrossRef] [PubMed]
- Lu, G.; Zhang, K.; Zhao, Y.; Zhang, L.; Shang, Z.; Zhou, H.; Diao, C.; Zhou, X. Perfect optical absorbers by all-dielectric photonic crystal/metal heterostructures due to optical Tamm state. Nanomaterials 2021, 11, 3447. [Google Scholar] [CrossRef] [PubMed]
- Liu, B.; Lu, G.; Cui, L.; Li, J.; Sun, F.; Liu, F.; Li, Y.; Yang, T.; Du, G. Experimental investigation of multiple near-perfect absorptions in sandwich structures containing thin metallic films. Opt. Express 2017, 25, 13271–13277. [Google Scholar] [CrossRef]
- Gong, Y.; Liu, X.; Lu, H.; Wang, L.; Wang, G. Perfect absorber supported by optical Tamm states in plasmonic waveguide. Opt. Express 2011, 19, 18394. [Google Scholar] [CrossRef]
- Wang, X.; Jiang, X.; You, Q.; Guo, J.; Dai, X.; Xiang, Y. Tunable and multichannel terahertz perfect absorber due to Tamm surface plasmons with graphene. Photonics Res. 2017, 5, 536–542. [Google Scholar] [CrossRef]
- Lu, H.; Gan, X.; Jia, B.; Mao, D.; Zhao, J. Tunable high-efficiency light absorption of monolayer graphene via Tamm plasmon polaritons. Opt. Lett. 2016, 41, 4743–4746. [Google Scholar] [CrossRef]
- Jeng, S.-C. Applications of Tamm plasmon-liquid crystal devices. Liq. Cryst. 2020, 47, 1223–1231. [Google Scholar] [CrossRef]
- Li, J.; Wen, C.-H.; Gauza, S.; Lu, R.B.; Wu, S.-T. Refractive indices of liquid crystals for display applications. J. Disp. Technol. 2005, 1, 51–61. [Google Scholar] [CrossRef]
- Cheng, H.-C. Tunable Tamm Plasmon Devices. Master’s Thesis, National Chiao Tung University, Tainan, Taiwan, 2016. [Google Scholar]
- Takatoh, K.; Hasegawa, M.; Koden, M.; Itoh, N.; Hasegawa, M. Alignment Technologies and Applications of Liquid Crystal Devices; Taylor & Francis: Oxford, UK, 2005. [Google Scholar]
- Chigrinov, V.G.; Kozenkov, V.M.; Kwok, H.S. Photoalignment of Liquid Crystalline Materials: Physics and Applications; John Wiley & Sons Ltd.: West Sussex, UK, 2008. [Google Scholar]
- Cheng, H.-C.; Kuo, C.-Y.; Hung, Y.-J.; Chen, K.-P.; Jeng, S.-C. Liquid-Crystal Active Tamm-Plasmon Devices. Phys. Rev. Appl. 2018, 9, 064034. [Google Scholar] [CrossRef]
- Buchnev, O.; Belosludtsev, A.; Reshetnyak, V.; Evans, D.R.; Fedotov, V.A. Observing and controlling a Tamm plasmon at the interface with a metasurface. Nanophotonics 2020, 9, 897–903. [Google Scholar] [CrossRef]
- Dabrowski, R.; Dziaduszek, J.; Ziolek, A.; Szczuciński, L.; Stolarz, Z.; Sasnouski, G.; Bezborodov, V.; Lapanik, W.; Gauza, S.; Wu, S.T. Low viscosity, high birefringence liquid crystalline compounds and mixtures. Opto-Electron. Rev. 2007, 15, 47–51. [Google Scholar] [CrossRef]
- Arakawa, Y.; Kang, S.; Tsuji, H.; Watanabe, J.; Konishi, G.I. The design of liquid crystalline bisolane-based materials with extremely high birefringence. RSC Adv. 2016, 6, 92845–92851. [Google Scholar] [CrossRef]



























Disclaimer/Publisher’s Note: The statements, opinions and data contained in all publications are solely those of the individual author(s) and contributor(s) and not of MDPI and/or the editor(s). MDPI and/or the editor(s) disclaim responsibility for any injury to people or property resulting from any ideas, methods, instructions or products referred to in the content. |
© 2025 by the authors. Licensee MDPI, Basel, Switzerland. This article is an open access article distributed under the terms and conditions of the Creative Commons Attribution (CC BY) license (https://creativecommons.org/licenses/by/4.0/).
Share and Cite
Reshetnyak, V.Y.; Pinkevych, I.P.; McConney, M.E.; Bunning, T.J.; Evans, D.R. Tamm Plasmons: Properties, Applications, and Tuning with Help of Liquid Crystals. Crystals 2025, 15, 138. https://doi.org/10.3390/cryst15020138
Reshetnyak VY, Pinkevych IP, McConney ME, Bunning TJ, Evans DR. Tamm Plasmons: Properties, Applications, and Tuning with Help of Liquid Crystals. Crystals. 2025; 15(2):138. https://doi.org/10.3390/cryst15020138
Chicago/Turabian StyleReshetnyak, Victor Yu., Igor P. Pinkevych, Michael E. McConney, Timothy J. Bunning, and Dean R. Evans. 2025. "Tamm Plasmons: Properties, Applications, and Tuning with Help of Liquid Crystals" Crystals 15, no. 2: 138. https://doi.org/10.3390/cryst15020138
APA StyleReshetnyak, V. Y., Pinkevych, I. P., McConney, M. E., Bunning, T. J., & Evans, D. R. (2025). Tamm Plasmons: Properties, Applications, and Tuning with Help of Liquid Crystals. Crystals, 15(2), 138. https://doi.org/10.3390/cryst15020138

