Physical and Chemical Preparation Techniques and Applications of Photonic Crystals: A Review
Abstract
1. Introduction
2. Advances in Photonic Crystal Preparation Methods
2.1. Advances in Physical Methods
2.1.1. Mechanical Drilling Method
2.1.2. Layer-by-Layer Approach
2.1.3. Precision Machining Method
2.1.4. Chemical Vapor Deposition Method
2.1.5. Atomic Layer-by-Layer Deposition Method
2.2. Advances in Chemical Methods
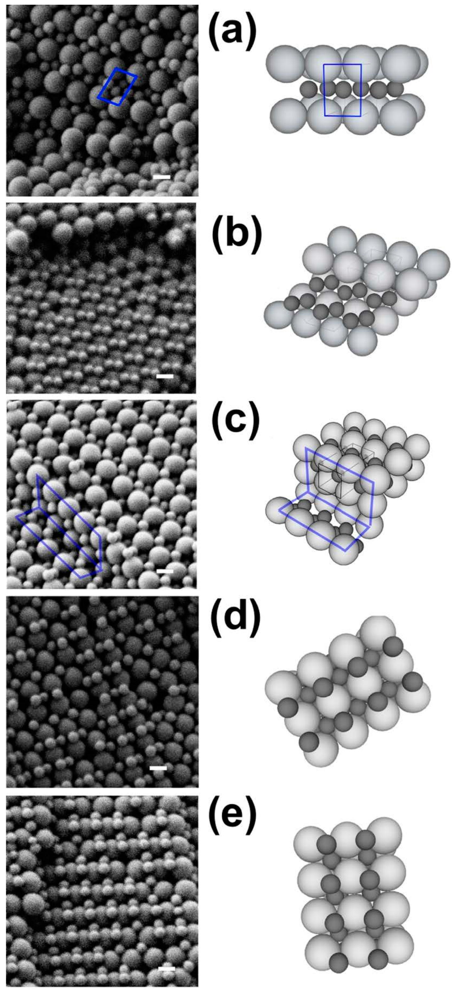
2.2.1. Self-Assembly Method by Gravity Settling
- λ—photonic bandgap position;
- neff—effective refractive index of photonic crystal;
- dhkl—spacing between ordered crystal planes;
- β—the angle of incidence relative to the normal direction of the sample surface.

2.2.2. Vertical Deposition Self-Assembly Method
2.2.3. Convective Self-Assembly Method
2.2.4. Self-Assembly by Centrifugal Sedimentation
2.2.5. Electric Field-Induced Self-Assembly Method
2.2.6. Magnetic Field-Induced Self-Assembly Method
2.2.7. Chemical Precipitation
2.2.8. Electrochemical Deposition Method
2.3. Preparation of Photonic Crystals with Anti-Opal Structure
3. Main Areas of Application
- (1)
- Lattice spacing adjustment of photonic crystals is realized through the contraction, expansion, aggregation, and dispersion of each component in the photonic crystal structure.
- (2)
- The refractive index of the constituent materials of photonic crystals and the adjustment of the volume fraction of materials with different refractive indices were realized by the introduction of new substances or by phase transitions of the materials.
- (3)
- Changes in the arrangement of photonic crystals, where anisotropic particles undergo orientation changes in response to external stimuli.
- (4)
- A change in the angle of incidence of light, the angle-dependent photonic crystal structure shifts its reflected wavelength as the angle of incidence of light changes.
Other Areas (With Literature)
4. Discussion, Conclusions, and Future Directions
4.1. Summary of Research Progress on Preparation Methods
4.2. The Advantages of Photonic Crystal Materials
4.3. Future Development
Author Contributions
Funding
Data Availability Statement
Conflicts of Interest
References
- John, S. Strong localization of photons in certain disordered dielectric superlattices. Phys. Rev. Lett. 1987, 58, 2486. [Google Scholar] [CrossRef] [PubMed]
- Yablonovitch, E. Inhibited spontaneous emission in three dimensionally modulated periodic dielectric structures. J. Phys. Colloq. 1987, 48, C5615–C5616. [Google Scholar] [CrossRef][Green Version]
- Shalaev, M.I.; Walasik, W.; Litchinitser, N.M. Optically tunable topological photonic crystal. Optica 2019, 6, 839844. [Google Scholar] [CrossRef]
- Allemeier, D.; Sobolew, N.; Magnifico, S.; Henry, K.; Abua, E.; White, M.S. High Symmetry Metal-Dielectric Photonic Crystal Organic Light Emitting Diodes With Single -Cavity Unit Cells. Adv. Opt. Mater. 2023, 11, 2201631. [Google Scholar] [CrossRef]
- Guo, S.; Hu, C.; Zhang, H. Unidirectional ultrabroadband and wideangle absorption in grapheneembedded photonic crystals with the cascading structure comprising the Octonacci sequence. JOSA B 2020, 37, 26782687. [Google Scholar] [CrossRef]
- Li, Z.; Wang, X.; Han, L.; Zhu, C.; Xin, H.; Yin, Y. Multicolor Photonic Pigments for Rotation-Asymmetric Mechanochromic Devices. Adv. Mater. 2022, 34, 2107398. [Google Scholar] [CrossRef]
- Kim, D.Y.; Kim, M.J.; Sung, G.; Sun, J.-Y. Stretchable and reflective displays: Materials, technologies and strategies. Nano Converg. 2019, 6, 124. [Google Scholar] [CrossRef] [PubMed]
- Liu, Y.; Hou, X.; Song, Y.; Li, M. Bioinspired reflective display based on photonic crystals. Interdiscip. Mater. 2024, 3, 5473. [Google Scholar] [CrossRef]
- Tang, G.J.; He, X.T.; Shi, F.L.; Liu, J.; Chen, X.; Dong, J. Topological photonic crystals: Physics, designs, and applications. Laser Photonics Rev. 2022, 16, 2100300. [Google Scholar] [CrossRef]
- Liu, Y.; Wang, H.; Ho, J.; Ng, R.C.; Ng, R.J.H.; Hall-Chen, V.H.; Koay, E.H.H.; Dong, Z.; Liu, H.; Qiu, C.-W.; et al. Structural color threedimensional printing by shrinking photonic crystals. Nat. Commun. 2019, 10, 4340. [Google Scholar] [CrossRef] [PubMed]
- Gerard, N.J.R.K.; Oudich, M.; Xu, Z.; Yao, D.; Cui, H.; Naify, C.J.; Ikei, A.; Rohde, C.A.; Zheng, X.; Jing, Y. Threedimensional trampolinelike behavior in an ultralight elastic metamaterial. Phys. Rev. Appl. 2021, 16, 024015. [Google Scholar] [CrossRef]
- Pariente, J.A.; Bayat, F.; Blanco, A.; García-Martín, A.; Pecharromán, C.; Marqués, M.I.; López, C. Fano-Like Resonance from Disorder Correlation in Vacancy-Doped Photonic Crystals. Small 2023, 19, 2302355. [Google Scholar] [CrossRef]
- Ghadiri, H.; Saffarzadeh, A. Electron beam splitting at topological insulator surface states and a proposal for electronic GoosHänchen shift measurement. Phys. Rev. B 2022, 105, 085415. [Google Scholar] [CrossRef]
- Yan, Z.; Yang, H.; Yang, Z.; Ji, C.; Zhang, G.; Tu, Y.; Du, G.; Cai, S.; Lin, S. Emerging two-dimensional tellurene and tellurides for broadband photodetectors. Small 2022, 18, 2200016. [Google Scholar] [CrossRef] [PubMed]
- Kratzer, P.; Neugebauer, J. The basics of electronic structure theory for periodic systems. Front. Chem. 2019, 7, 106. [Google Scholar] [CrossRef]
- Dallago, M.; Winiarski, B.; Zanini, F.; Carmignato, S.; Benedetti, M. On the effect of geometrical imperfections and defects on the fatigue strength of cellular lattice structures additively manufactured via Selective Laser Melting. Int. J. Fatigue 2019, 124, 348–360. [Google Scholar] [CrossRef]
- Lee, M.; Rizzo, R.; Surman, F.; Zenobi-Wong, M. Guiding lights: Tissue bioprinting using photoactivated materials. Chem. Rev. 2020, 120, 10950–11027. [Google Scholar] [CrossRef] [PubMed]
- Ali, B.; Litvinyuk, I.V.; Rybachuk, M. Femtosecond laser micromachining of diamond: Current research status, applications and challenges. Carbon 2021, 179, 209–226. [Google Scholar] [CrossRef]
- Rochas, S.S.; Novikov, I.I.; Karachinsky, L.Y.; Babichev, A.V.; Blokhin, S.A.; Nevedomskii, V.N.; Voropaev, K.O.; Egorov, A.Y. Wafer fusion technique features for near-IR laser sources. In Journal of Physics: Conference Series; IOP Publishing: Bristol, UK, 2021; Volume 2103, p. 012107. [Google Scholar]
- Zhao, J.; Yang, S.; Xue, C.; Wang, L.; Liang, Z.; Zhang, L.; Wang, Y.; Wu, Y.; Tai, R. The recent development of soft x-ray interference lithography in SSRF. Int. J. Extrem. Manuf. 2020, 2, 012005. [Google Scholar] [CrossRef]
- Li, Y.; Fan, Q.; Wang, X.; Liu, G.; Chai, L.; Zhou, L.; Shao, J.; Yin, Y. Shear-induced assembly of liquid colloidal crystals for largescale structural coloration of textiles. Adv. Funct. Mater. 2021, 31, 2010746. [Google Scholar] [CrossRef]
- Wang, S.; Park, S.S.; Buru, C.T.; Lin, H.; Chen, P.-C.; Roth, E.W.; Farha, O.K.; Mirkin, C.A. Colloidal crystal engineering with metal-organic framework nanoparticles and DNA. Nat. Commun. 2020, 11, 2495. [Google Scholar] [CrossRef]
- Cai, Z.; Li, Z.; Ravaine, S.; He, M.; Song, Y.; Yin, Y.; Zheng, H.; Teng, J.; Zhang, A. From colloidal particles to photonic crystals: Advances in self-assembly and their emerging applications. Chem. Soc. Rev. 2021, 50, 5898–5951. [Google Scholar] [CrossRef] [PubMed]
- Li, Z.; Fan, Q.; Yin, Y. Colloidal self-assembly approaches to smart nanostructured materials. Chem. Rev. 2021, 122, 4976–5067. [Google Scholar] [CrossRef]
- Abi Ghanem, M.; Khanolkar, A.; Wallen, S.P.; Helwig, M.; Hiraiwa, M.; Maznev, A.A.; Vogel, N.; Boechler, N. Longitudinal eigenvibration of multilayer colloidal crystals and the effect of nanoscale contact bridges. Nanoscale 2019, 11, 5655–5665. [Google Scholar] [CrossRef] [PubMed]
- Li, C.; Qin, X.; Zhang, Z.; Lv, Y.; Zhang, S.; Fan, Y.; Liang, S.; Guo, B.; Li, Z.; Liu, Y.; et al. Structure-activity collective properties underlying self-assembled superstructures. Nano Today 2022, 42, 101354. [Google Scholar] [CrossRef]
- Palmer, L.D.; Brooks, J.L.; Frontiera, R.R. Probing the coupling of butterfly wing photonic crystals to plasmon resonances with surface-enhanced Raman spectroscopy. J. Mater. Chem. C 2019, 7, 13887–13895. [Google Scholar] [CrossRef]
- Freyer, P.; Stavenga, D.G. Biophotonics of diversely colored peacock tail feathers. Faraday Discuss. 2020, 223, 49–62. [Google Scholar] [CrossRef] [PubMed]
- Tachiki, K.; Kaneko, M.; Kobayashi, T.; Kimoto, T. Formation of high-quality SiC (0001)/SiO2 structures by excluding oxidation process with H2 etching before SiO2 deposition and high-temperature N2 annealing. Appl. Phys. Express 2020, 13, 121002. [Google Scholar] [CrossRef]
- Mendoza-Castellanos, J.L.; Pantoja-Espinoza, J.C.; Rodríguez-Pacheco, L.C.; Paraguay-Delgado, F. Synthesis of PMMA Microspheres with Tunable Diameters: Evaluation as a Template in the Synthesis of Tin Oxide Coatings. Polymers 2023, 15, 2419. [Google Scholar] [CrossRef]
- Wan, Y.Z.; Qian, W. From Self-Assembly of Colloidal Crystals toward Ordered Porous Layer Interferometry. Biosensors 2023, 13, 730. [Google Scholar] [CrossRef]
- Bzdek, B.R.; Reid, J.P.; Malila, J.; Prisle, N.L. The surface tension of surfactant-containing, finite volume droplets. Proc. Natl. Acad. Sci. USA 2020, 117, 8335–8343. [Google Scholar] [CrossRef]
- He, Y.; Liu, L.; Fu, Q.; Ge, J. Precise assembly of highly crystalline colloidal photonic crystals inside the polyester yarns: A spray coating synthesis for breathable and durable fabrics with saturated structural colors. Adv. Funct. Mater. 2022, 32, 2200330. [Google Scholar] [CrossRef]
- Wu, H.; Niu, G.; Ren, W.; Jiang, L.; Liang, O.; Zhao, J.; Liu, Y.; Xie, Y.H. Crucial impact of hydrophilicity on the self-assembled 2d colloidal crystals using Langmuir-Blodgett method. Langmuir 2020, 36, 10061–10068. [Google Scholar] [CrossRef]
- Yadav, A.; Gerislioglu, B.; Ahmadivand, A.; Kaushik, A.; Cheng, G.J.; Ouyang, Z.; Wang, Q.; Yadav, V.S.; Mishra, Y.K.; Wu, Y.; et al. Controlled self-assembly of plasmon-based photonic nanocrystals for high performance photonic technologies. Nano Today 2021, 37, 101072. [Google Scholar] [CrossRef]
- Trau, M.; Saville, D.A.; Aksay, I.A. Field-induced layering of colloidal crystals. Science 1996, 272, 706–709. [Google Scholar] [CrossRef] [PubMed]
- He, L.; Wang, M.; Ge, J.; Yin, Y. Magnetic assembly route to colloidal responsive photonic nanostructures. Acc. Chem. Res. 2012, 45, 1431–1440. [Google Scholar] [CrossRef] [PubMed]
- Jahid, A.; Alsharif, M.H.; Hall, T.J. A contemporary survey on free space optical communication: Potentials, technical challenges, recent advances and research direction. J. Netw. Comput. Appl. 2022, 200, 103311. [Google Scholar] [CrossRef]
- Zhu, P.; Xu, X.; Tu, X.; Chen, Y.; Tao, Y. Antimultipath orthogonal chirp division multiplexing for underwater acoustic communication. IEEE Access 2020, 8, 13305–13314. [Google Scholar] [CrossRef]
- Cao, Q.; Lü, W.; Wang, X.R.; Guan, X.; Wang, L.; Yan, S.; Wu, T.; Wang, X. Nonvolatile multistates memories for highdensity data storage. ACS Appl. Mater. Interfaces 2020, 12, 42449–42471. [Google Scholar] [CrossRef] [PubMed]
- Zhang, Z.; Wen, F.; Sun, Z.; Guo, X.; He, T.; Lee, C. Artificial intelligence-enabled sensing technologies in the 5G/internet of things era: From virtual reality/augmented reality to the digital twin. reality to the digital twin. Adv. Intell. Syst. 2022, 4, 2100228. [Google Scholar] [CrossRef]
- Yin, K.; Hsiang, E.L.; Zou, J.; Li, Y.; Yang, Z.; Yang, Q.; Lai, P.C.; Lin, C.L.; Wu, S.T. Advanced liquid crystal devices for augmented reality and virtual reality displays: Principles and applications. Light Sci. Appl. 2022, 11, 161. [Google Scholar] [CrossRef] [PubMed]
- Pastuszak, J.; Węgierek, P. Photovoltaic cell generations and current research directions for their development. Materials 2022, 15, 5542. [Google Scholar] [CrossRef]
- Wu, Y.; Ma, J.; Su, P.; Zhang, L.; Xia, B. Fullcolor realization of microLED displays. Nanomaterials 2020, 10, 2482. [Google Scholar] [CrossRef] [PubMed]
- Dwivedi, S.; Purohit, P.; Misra, R.; Pareek, P.; Goel, A.; Khattri, S.; Pant, K.K.; Misra, S.; Sharma, P. Diseases and molecular diagnostics: A step closer to precision medicine. Indian J. Clin. Biochem. 2017, 32, 374–398. [Google Scholar] [CrossRef]
- Liu, S.; Liu, S.; Li, S.; Liang, B.; Han, X.; Liang, Y.; Wei, X. Nerves within bone and their application in tissue engineering of bone regeneration. Front. Neurol. 2023, 13, 1085560. [Google Scholar] [CrossRef] [PubMed]
- Wang, W.; Xiang, Y.; Yu, J.; Yang, L. Development and prospect of smart materials and structures for aerospace sensing systems and applications. Sensors 2023, 23, 1545. [Google Scholar] [CrossRef] [PubMed]
- Lebelo, K.; Malebo, N.; Mochane, M.J.; Masinde, M. Chemical contamination pathways and the food safety implications along the various stages of food production: A review. Int. J. Environ. Res. Public Health 2021, 18, 5795. [Google Scholar] [CrossRef] [PubMed]
- Kim, S.; Handler, J.J.; Cho, Y.T.; Barbastathis, G.; Fang, N.X. Scalable 3D printing of aperiodic cellular structures by rotational stacking of integral image formation. Sci. Adv. 2021, 7, eabh1200. [Google Scholar] [CrossRef]
- He, Y.; Wan, H.; Jiang, X.; Peng, C. Piezoelectric micromachined ultrasound transducer technology: Recent advances and applications. Biosensors 2022, 13, 55. [Google Scholar] [CrossRef]
- Lv, X.; Zhong, B.; Huang, Y.; Xing, Z.; Wang, H.; Guo, W.; Chang, X.; Zhang, Z. Research progress in preparation and application of photonic crystals. Research progress in preparation and application of photonic crystals. Chin. J. Mech. Eng. 2023, 36, 39. [Google Scholar] [CrossRef]
- Loesch-Zhang, A.; Geissler, A.; Biesalski, M. Plasma polymerization of biogenic precursors. Plasma Process. Polym. 2023, 20, e2300016. [Google Scholar] [CrossRef]
- Nazarudin, N.F.F. Studies on Growth, Structural and Photoluminescense Properties of Nisi/Sic Coreshell Nanowires by Hwcvd/Nur Fatin Farhanah Binti Nazarudin. Doctoral Dissertation, University of Malaya, Kuala Lumpur, Malaysia, 2014. [Google Scholar]
- Saeed, M.; Alshammari, Y.; Majeed, S.A.; Al-Nasrallah, E. Chemical vapour deposition of graphene-Synthesis, characterization, and applications: A review. Molecules 2020, 25, 3856. [Google Scholar] [CrossRef]
- Yarali, E.; Koutsiaki, C.; Faber, H.; Tetzner, K.; Yengel, E.; Patsalas, P.; Kalfagiannis, N.; Koutsogeorgis, D.C.; Anthopoulos, T.D. Recent progress in photonic processing of metal-oxide transistors. Adv. Funct. Mater. 2020, 30, 1906022. [Google Scholar] [CrossRef]
- Tamayo, O.G. Atomic Layer Deposition for Biosensing Applications. Doctoral Dissertation, Université Montpellier, Montpellier, France, 2019. [Google Scholar]
- Liu, L.; Li, M.; Chen, F.; Huang, H. Recent advances on single-atom catalysts for CO2 reduction. Small Struct. 2023, 4, 2200188. [Google Scholar] [CrossRef]
- Plate, P. Model System Studies on Manganese Oxide Based Water Oxidation Catalysts Made with Atomic Layer Deposition. Doctoral Dissertation, Technische Universitaet Berlin, Berlin, Germany, 2019. [Google Scholar]
- Choi, S.; Zhao, Z.; Zuo, J.; Faruque, H.M.R.; Yao, Y.; Wang, C. Structural color printing via polymerassisted photochemical deposition. Light Sci. Appl. 2022, 11, 84. [Google Scholar] [CrossRef] [PubMed]
- Joseph, S.; Pandey, S.; Sarkar, S.; Joseph, J. Bound states in the continuum in resonant nanostructures: An overview of engineered materials for tailored applications. Nanophotonics 2021, 10, 4175–4207. [Google Scholar] [CrossRef]
- DeSouza, J.A. Synthesis and Characterization of Nanocrystalline Titania Spheres: Application to Photocatalysis. Doctoral Dissertation, University of London, University College London, London, UK, 2005. [Google Scholar]
- Chiu, Y.H.; Chang, T.F.M.; Chen, C.Y.; Sone, M.; Hsu, Y.J. Mechanistic insights into photodegradation of organic dyes using heterostructure photocatalysts. Catalysts 2019, 9, 430. [Google Scholar] [CrossRef]
- Yadav, S.; Shakya, K.; Gupta, A.; Singh, D.; Chandran, A.R.; Aanappalli, A.V.; Goyal, K.; Rani, N.; Saini, K. A review on degradation of organic dyes by using metal oxide semiconductors. Environ. Sci. Pollut. Res. 2023, 30, 71912–71932. [Google Scholar] [CrossRef] [PubMed]
- Butt, M.A.; Tyszkiewicz, C.; Karasiński, P.; Zięba, M.; Kaźmierczak, A.; Zdończyk, M.; Duda, Ł.; Guzik, M.; Olszewski, J.; Martynkien, T.; et al. Optical thin films fabrication techniques-Towards a lowcost solution for the integrated photonic platform: A review of the current status. Materials 2022, 15, 4591. [Google Scholar] [CrossRef]
- Yoshikawa, T.; Liu, M.; Chang, S.L.Y.; Kuschnerus, I.C.; Makino, Y.; Tsurui, A.; Mahiko, T.; Nishikawa, M. Steric interaction of polyglycerolfunctionalized detonation nanodiamonds. Langmuir 2022, 38, 661–669. [Google Scholar] [CrossRef]
- Hu, J.; Liu, Y.; Xu, W.; Wu, Z.; Pang, X. Effects of preparation and self-assembly of poly (styreneacrylic acid)(P (StAA)) microspheres upon constructed photonic crystals with structural color on wood surfaces. Coatings 2022, 12, 1520. [Google Scholar] [CrossRef]
- Liu, T.; Solomon, M.J. Reconfigurable Grating Diffraction Structural Color in Self-Assembled Colloidal Crystals. Small 2023, 19, 2301871. [Google Scholar] [CrossRef] [PubMed]
- Zocca, A.; Lüchtenborg, J.; Mühler, T.; Wilbig, J.; Mohr, G.; Villatte, T.; Léonard, F.; Nolze, G.; Sparenberg, M.; Melcher, J.; et al. Enabling the 3D printing of metal components in µ-gravity. Adv. Mater. Technol. 2019, 4, 1900506. [Google Scholar] [CrossRef]
- García Núñez, C.; Navaraj, W.T.; Liu, F.; Shakthivel, D.; Dahiya, R. Large- area self-assembly of silica microspheres/nanospheres by temperatureassisted dipcoating. ACS Appl. Mater. Interfaces 2018, 10, 30583068. [Google Scholar] [CrossRef]
- Dziomkina, N.V.; Vancso, G.J. Colloidal crystal assembly on topologically patterned templates. Soft Matter 2005, 1, 265279. [Google Scholar] [CrossRef]
- Zhang, H.; Bu, X.; Yip, S.P.; Liang, X.; Ho, J.C. Self-Assembly of Colloidal Particles for Fabrication of Structural Color Materials toward Advanced Intelligent Systems. Adv. Intell. Syst. 2020, 2, 1900085. [Google Scholar] [CrossRef]
- Mendoza, C.; Nirwan, V.P.; Fahmi, A. Nanofabrication of hybrid nanomaterials: Macroscopically aligned nanoparticles pattern via directed self—Assembly of block copolymers. J. Appl. Polym. Sci. 2023, 140, e53409. [Google Scholar] [CrossRef]
- Li, C.; Yang, J.; He, W.; Xiong, M.; Niu, X.; Li, X.; Yu, D. A review on fabrication and application of tunable hybrid micro-nano array surfaces. Adv. Mater. Interfaces 2023, 10, 2202160. [Google Scholar] [CrossRef]
- Prevo, B.G.; Kuncicky, D.M.; Velev, O.D. Engineered deposition of coatings from nanoand microparticles: A brief review of convective assembly at high volume fraction. Colloids Surf. A Physicochem. Eng. Asp. 2007, 311, 210. [Google Scholar] [CrossRef]
- Wei, Z. Interfacial Structures of Polymeric Surfactants in an Emulsion Formulation. Doctoral Dissertation, UNSW Sydney, Sydney, Australia, 2019. [Google Scholar]
- Zhu, J.; Hersam, M.C. Assembly and electronic applications of colloidal nanomaterials. Adv. Mater. 2017, 29, 1603895. [Google Scholar] [CrossRef] [PubMed]
- Fernandes, R.D.V.; Pranovich, A.; Valyukh, S.; Zille, A.; Hallberg, T.; Järrendahl, K. Iridescence Mimicking in Fabrics: An Ultraviolet/Visible Spectroscopy Study. Biomimetics 2024, 9, 71. [Google Scholar] [CrossRef] [PubMed]
- Bardosova, M.; Tredgold, R.H. Ordered layers of monodispersive colloids. J. Mater. Chem. 2002, 12, 2835–2842. [Google Scholar] [CrossRef]
- Chen, M.; Cölfen, H.; Polarz, S. Centrifugal field-induced colloidal assembly: From chaos to order. ACS Nano 2015, 9, 6944–6950. [Google Scholar] [CrossRef]
- Hu, Y.; Wang, J.; Li, C.; Wang, Q.; Wang, H.; Zhu, J.; Yang, Y. Janus photonic crystal microspheres: Centrifugation-assisted generation and reversible optical property. Langmuir 2013, 29, 15529–15534. [Google Scholar] [CrossRef]
- Li, Z.; Yin, Y. Stimuli-responsive optical nanomaterials. Adv. Mater. 2019, 31, 1807061. [Google Scholar] [CrossRef]
- Liu, D.; Cai, W.; Marin, M.; Yin, Y.; Li, Y. Air-liquid interfacial self-assembly of two-dimensional periodic nanostructured arrays. ChemNanoMat 2019, 5, 1338–1360. [Google Scholar] [CrossRef]
- Wang, Y.; Fu, X.; Chen, Y.; Qin, L.; Ning, Y.; Wang, L. The development progress of surface structure diffraction gratings: From manufacturing technology to spectroscopic applications. Appl. Sci. 2022, 12, 6503. [Google Scholar] [CrossRef]
- Schlag, L.; Isaac, N.A.; Hossain, M.M.; Hess, A.L.; Wolz, B.C.; Reiprich, J.; Ziegler, M.; Pezoldt, J.; Jacobs, H.O. Self-Aligning Metallic Vertical Interconnect Access Formation through Microlensing Gas Phase Electrodeposition controlling Airgap and Morphology. Adv. Electron. Mater. 2023, 9, 2200838. [Google Scholar] [CrossRef]
- Mohapi, M.; Sefadi, J.S.; Mochane, M.J.; Magagula, S.I.; Lebelo, K. Effect of LDHs and other clays on polymer composite in adsorptive removal of contaminants: A review. Crystals 2020, 10, 957. [Google Scholar] [CrossRef]
- Kretschmer, S.; Heermann, T.; Tassinari, A.; Glock, P.; Schwille, P. Increasing MinD’s membrane affinity yields standing wave oscillations and functional gradients on flat membranes. ACS Synth. Biol. 2021, 10, 939–949. [Google Scholar] [CrossRef] [PubMed]
- Amorim, M.S. Development of a Biosensor Based on Plastic Antibodies for the Isolation and Detection of Extracellular Vesicles. Doctoral Dissertation, Universidade do Minho, Braga, Portugal, 2022. [Google Scholar]
- Lin, J.Y.; Garcia, E.A.; Ballesteros, F.C.; Garcia-Segura, S.; Lu, M.-C. A review on chemical precipitation in carbon capture, utilization and storage. Sustain. Environ. Res. 2022, 32, 1–20. [Google Scholar] [CrossRef]
- Gupta, S.K.; Mao, Y. A review on molten salt synthesis of metal oxide nanomaterials: Status, opportunity, and challenge. Prog. Mater. Sci. 2021, 117, 100734. [Google Scholar] [CrossRef]
- Aissa, B.; Ali, A.; ElMellouhi, F. Oxide and organic-inorganic halide perovskites with plasmonics for optoelectronic and energy applications: A contributive review. Catalysts 2021, 11, 1057. [Google Scholar] [CrossRef]
- Xiang, H.; Yang, S.; Talukder, E.; Huang, C.; Chen, K. Research and Application Progress of Inverse Opal Photonic Crystals in Photocatalysis. Inorganics 2023, 11, 337. [Google Scholar] [CrossRef]
- Gangwar, R.K.; Pathak, A.K.; Kumar, S. Recent progress in photonic crystal devices and their applications: A review. Photonics 2023, 10, 1199. [Google Scholar] [CrossRef]
- Gong, T.; Lyu, P.; Palm, K.J.; Memarzadeh, S.; Munday, J.N.; Leite, M.S. Emergent opportunities with metallic alloys: From material design to optical devices. Adv. Opt. Mater. 2020, 8, 2001082. [Google Scholar] [CrossRef]
- Kou, S.G.; Peters, L.M.; Mucalo, M.R. Chitosan: A review of sources and preparation methods. Int. J. Biol. Macromol. 2021, 169, 85–94. [Google Scholar] [CrossRef] [PubMed]
- Gleason, K.K. Nanoscale control by chemically vapour-deposited polymers. Nat. Rev. Phys. 2020, 2, 347–364. [Google Scholar] [CrossRef]
- Oviroh, P.O.; Akbarzadeh, R.; Pan, D.; Coetzee, R.A.M.; Jen, T.-C. New development of atomic layer deposition: Processes, methods and applications. Sci. Technol. Adv. Mater. 2019, 20, 465–496. [Google Scholar] [CrossRef]
- Kurichenko, V.L.; Karpenkov, D.Y.; Karpenkov, A.Y.; Lyakhova, M.B.; Khovaylo, V.V. Synthesis of FeNi tetrataenite phase by means of chemical precipitation. J. Magn. Magn. Mater. 2019, 470, 33–37. [Google Scholar] [CrossRef]
- Battistel, A.; Palagonia, M.S.; Brogioli, D.; La Mantia, F.; Trócoli, R. Electrochemical methods for lithium recovery: A comprehensive and critical review. Adv. Mater. 2020, 32, 1905440. [Google Scholar] [CrossRef] [PubMed]
- Feng, J.; Su, B.L.; Xia, H.; Zhao, S.; Gao, C.; Wang, L.; Ogbeide, O.; Feng, J.; Hasan, T. Printed aerogels: Chemistry, processing, and applications. Chem. Soc. Rev. 2021, 50, 3842–3888. [Google Scholar] [CrossRef] [PubMed]
- Shamsi, J.; Urban, A.S.; Imran, M.; De Trizio, L.; Manna, L. Metal halide perovskite nanocrystals: Synthesis, post-synthesis modifications, and their optical properties. Chem. Rev. 2019, 119, 3296–3348. [Google Scholar] [CrossRef] [PubMed]
- Benelmekki, M.; Kim, J.H. Stimulus-responsive ultrathin films for bioapplications: A concise review. Molecules 2023, 28, 1020. [Google Scholar] [CrossRef] [PubMed]
- Liu, Q.; Urban, M.W. Stimulus-responsive macromolecules in polymeric coatings. Polym. Rev. 2023, 63, 289–323. [Google Scholar] [CrossRef]
- Ge, J.; Yin, Y. Responsive photonic crystals. Angew. Chem. Int. Ed. 2011, 50, 1492–1522. [Google Scholar] [CrossRef] [PubMed]
- Wang, W.; Zhou, Y.; Yang, L.; Yang, X.; Yao, Y.; Meng, Y.; Tang, B. Stimulus-responsive photonic crystals for advanced security. Adv. Funct. Mater. 2022, 32, 2204744. [Google Scholar] [CrossRef]
- Semnani, B.; Flannery, J.; Al Maruf, R.; Bajcsy, M. Spin-preserving chiral photonic crystal mirror. Light Sci. Appl. 2020, 9, 23. [Google Scholar] [CrossRef] [PubMed]
- Du, L.; Yang, A.; Zayats, A.V.; Yuan, X. Deep-subwavelength features of photonic skyrmions in a confined electromagnetic field with orbital angular momentum. Nat. Phys. 2019, 15, 650–654. [Google Scholar] [CrossRef]
- Song, J.; Lin, X.; Ee, L.Y.; Li, S.F.Y.; Huang, M. A review on electrospinning as versatile supports for diverse nanofibers and their applications in environmental sensing. Adv. Fiber Mater. 2023, 5, 429–460. [Google Scholar] [CrossRef] [PubMed]
- Barnes, J.N.; Charkoudian, N. Integrative cardiovascular control in women: Regulation of blood pressure, body temperature and cerebrovascular responsiveness. FASEB J. 2020, 35, e21143. [Google Scholar] [CrossRef] [PubMed]
- Shahbazi, M.A.; Faghfouri, L.; Ferreira, M.P.A.; Figueiredo, P.; Maleki, H.; Sefat, F.; Hirvonen, J.; Santos, H.A. The versatile biomedical applications of bismuth-based nanoparticles and composites: Therapeutic, diagnostic, biosensing, and regenerative properties. Chem. Soc. Rev. 2020, 49, 1253–1321. [Google Scholar] [CrossRef] [PubMed]
- Liu, Y.; Hu, J. Investigation of polystyrene-based microspheres from different copolymers and their structural color coatings on wood surface. Coatings 2020, 11, 14. [Google Scholar] [CrossRef]
- Chakraborty, S. Surface Grafted Polymers on Metal Nanospheres and Ligand Exchange Reactions on Metallic Nanorods. Doctoral Dissertation, Illinois Institute of Technology, Chicago, IL, USA, 2009. [Google Scholar]
- Awad, W.M.; Davies, D.W.; Kitagawa, D.; Halabi, J.M.; Al-Handawi, M.B.; Tahir, I.; Tong, F.; Campillo-Alvarado, G.; Shtukenberg, A.G.; Alkhidir, T.; et al. Mechanical properties and peculiarities of molecular crystals. Chem. Soc. Rev. 2023, 52, 3098–3169. [Google Scholar] [CrossRef]
- Peter Amalathas, A.; Alkaisi, M.M. Nanostructures for light trapping in thin film solar cells. Micromachines 2019, 10, 619. [Google Scholar] [CrossRef] [PubMed]
- Liang, H.; Wang, F.; Cheng, Z.; Xu, C.; Li, G.; Shuai, Y. Full-spectrum solar energy utilization and enhanced solar energy harvesting via photon anti-reflection and scattering performance using biomimetic nanophotonic structure. ES Energy Environ. 2020, 8, 29–41. [Google Scholar]
- Wang, R.; Mujahid, M.; Duan, Y.; Wang, Z.-K.; Xue, J.; Yang, Y. A review of perovskites solar cell stability. Adv. Funct. Mater. 2019, 29, 1808843. [Google Scholar] [CrossRef]
- Zou, S.J.; Shen, Y.; Xie, F.M.; Chen, J.-D.; Li, Y.-Q.; Tang, J.-X. Recent advances in organic light-emitting diodes: Toward smart lighting and displays. Mater. Chem. Front. 2020, 4, 788–820. [Google Scholar] [CrossRef]
- Elliott, C.; Yamada, M.; Penning, J.; Schober, S.; Lee, K. Energy Savings Forecast of Solid-State Lighting in General Illumination Applications; Navigant Consulting, Inc.: Washington, DC, USA, 2019. [Google Scholar]
- Karabchevsky, A.; Katiyi, A.; Ang, A.S.; Hazan, A. On-chip nanophotonics and future challenges. Nanophotonics 2020, 9, 3733–3753. [Google Scholar] [CrossRef]
- Liu, Y.; Cheng, P.; Li, T.; Wang, R.; Li, Y.; Chang, S.Y.; Zhu, Y.; Cheng, H.W.; Wei, K.H.; Zhan, X.; et al. Unraveling sunlight by transparent organic semiconductors toward photovoltaic and photosynthesis. ACS Nano 2019, 13, 1071–1077. [Google Scholar] [CrossRef] [PubMed]
- Alahmadi, M.; Mansour, S.; Dasgupta, N.; Martin, D.J. Using nighttime lights data to assess the resumption of religious and socioeconomic activities post-COVID-19. Remote Sens. 2023, 15, 1064. [Google Scholar] [CrossRef]
- Ji, Y.; Wang, H.; Cui, J.; Yu, M.; Yang, Z.; Bai, L. All-optical signal processing technologies in flexible optical networks. Photonic Netw. Commun. 2019, 38, 14–36. [Google Scholar] [CrossRef]
- Yan, X.; Fu, R.; Cheng, T.; Li, S. A highly sensitive refractive index sensor based on a V-shaped photonic crystal fiber with a high refractive index range. Sensors 2021, 21, 3782. [Google Scholar] [CrossRef]
- Liu, M.; Wei, Z.W.; Luo, A.P.; Xu, W.-C.; Luo, Z.-C. Recent progress on applications of 2D material-decorated microfiber photonic devices in pulse shaping and all-optical signal processing. Nanophotonics 2020, 9, 2641–2671. [Google Scholar] [CrossRef]
- Wiendartun, W.; Wulandari, C.; Fauzan, J.N.; Hasanah, L.; Nugroho, H.S.; Pawinanto, R.E.; Mulyanti, B. Trends in research related to photonic crystal (PHC) from 2009 to 2019: A bibliometric and knowledge mapping analysis. J. Eng. Sci. Technol. 2022, 17, 0343–0360. [Google Scholar]











Disclaimer/Publisher’s Note: The statements, opinions and data contained in all publications are solely those of the individual author(s) and contributor(s) and not of MDPI and/or the editor(s). MDPI and/or the editor(s) disclaim responsibility for any injury to people or property resulting from any ideas, methods, instructions or products referred to in the content. |
© 2025 by the authors. Licensee MDPI, Basel, Switzerland. This article is an open access article distributed under the terms and conditions of the Creative Commons Attribution (CC BY) license (https://creativecommons.org/licenses/by/4.0/).
Share and Cite
Zhang, Y.; Hu, L.; Zheng, H.; Cong, X.; Fu, S.; Liu, Q.; Chen, X. Physical and Chemical Preparation Techniques and Applications of Photonic Crystals: A Review. Crystals 2025, 15, 124. https://doi.org/10.3390/cryst15020124
Zhang Y, Hu L, Zheng H, Cong X, Fu S, Liu Q, Chen X. Physical and Chemical Preparation Techniques and Applications of Photonic Crystals: A Review. Crystals. 2025; 15(2):124. https://doi.org/10.3390/cryst15020124
Chicago/Turabian StyleZhang, Yifan, Lina Hu, Hengfei Zheng, Xiyue Cong, Sitian Fu, Qi Liu, and Xiaoyi Chen. 2025. "Physical and Chemical Preparation Techniques and Applications of Photonic Crystals: A Review" Crystals 15, no. 2: 124. https://doi.org/10.3390/cryst15020124
APA StyleZhang, Y., Hu, L., Zheng, H., Cong, X., Fu, S., Liu, Q., & Chen, X. (2025). Physical and Chemical Preparation Techniques and Applications of Photonic Crystals: A Review. Crystals, 15(2), 124. https://doi.org/10.3390/cryst15020124
