Crystal Structure and Optical Behavior of Diamino-Substituted 1,4-Benzoquinones
Abstract
1. Introduction
2. Materials and Methods
2.1. Materials and Instrumentation
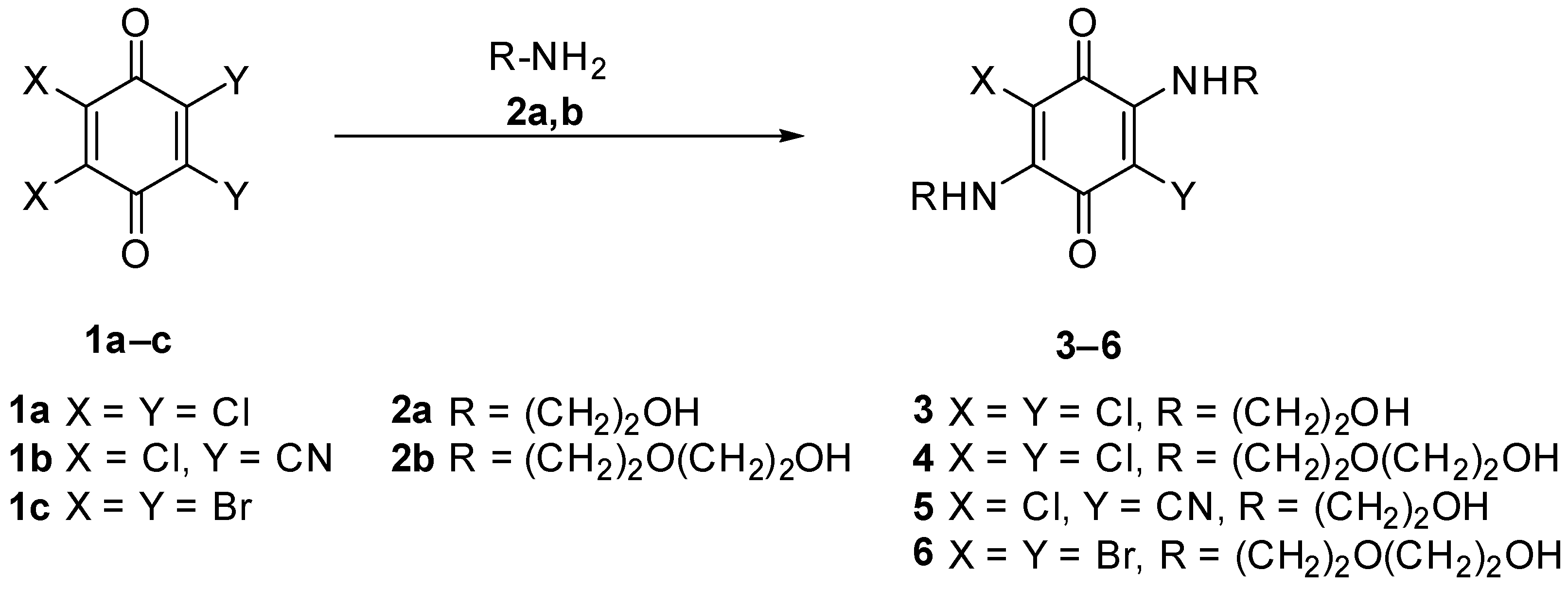
2.2. Synthesis of Compounds 3–6
2.2.1. Synthesis Method for Compounds 3, 4 and 6
2.2.2. 2,5-Dichloro-3,6-bis((2-hydroxyethyl)amino)cyclohexa-2,5-diene-1,4-dione (3)
2.2.3. 2,5-Dichloro-3,6-bis((2-(2-hydroxyethoxy)ethyl)amino)cyclohexa-2,5-diene-1,4-dione (4)
2.2.4. 4-Chloro-2,5-bis((2-hydroxyethyl)amino)-3,6-dioxocyclohexa-1,4-dienecarbonitrile (5)
2.2.5. 2,5-Dibromo-3,6-bis((2-(2-hydroxyethoxy)ethyl)amino)cyclohexa-2,5-diene-1,4-dione (6)
2.3. X-Ray Crystallography Analysis
3. Results and Discussion
3.1. Synthesis
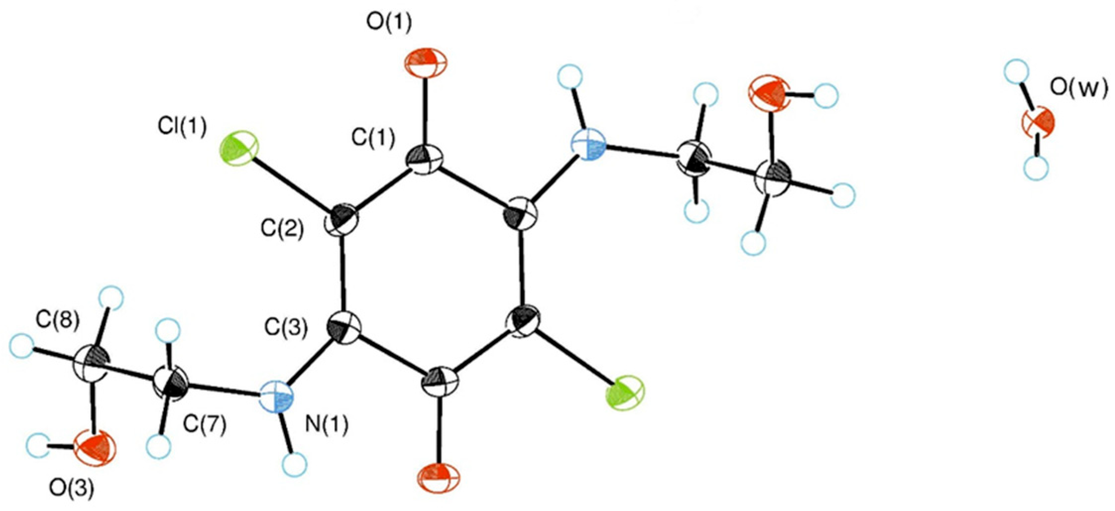
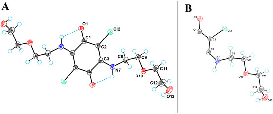
3.2. X-Ray Crystallography
3.3. UV-Vis Studies
4. Conclusions
Supplementary Materials
Author Contributions
Funding
Data Availability Statement
Conflicts of Interest
Abbreviations
| DDQ | 2,3-Dichloro-5,6-dicyano-1,4-benzoquinone |
| DMF | Dimethylformamide |
| DMSO | Dimethyl sulfoxide |
| NMR | Nuclear Magnetic Resonance |
| MeCN | acetonitrile |
| MeOH | methanol |
| MOF | Metal–organic framework |
| THF | Tetrahydrofuran |
| UV-Vis | Ultraviolet–visible spectroscopy |
References
- Mao, R.; Guo, J.; Bie, L.; Liu, L.; Gao, J. Tunneling Mechanisms of Quinones in Photosynthetic Reaction Center–Light Harvesting 1 Supercomplexes. Small Sci. 2024, 4, 2400188. [Google Scholar] [CrossRef]
- Gutiérrez-Fernández, J.; Kaszuba, K.; Minhas, G.S.; Baradaran, R.; Tambalo, M.; Gallagher, D.T.; Sazanov, L.A. Key role of quinone in the mechanism of respiratory complex I. Nat. Commun. 2020, 11, 4135. [Google Scholar] [CrossRef]
- Franza, T.; Gaudu, P. Quinones: More than electron shuttles. Res. Microbiol. 2022, 173, 103953. [Google Scholar] [CrossRef]
- Yan, T.; Nisar, M.F.; Hu, X.; Chang, J.; Wang, Y.; Wu, Y.; Liu, Z.; Cai, Y.; Jia, J.; Xiao, Y.; et al. Pyrroloquinoline Quinone (PQQ): Its impact on human health and potential benefits. Curr. Res. Food Sci. 2024, 9, 100889. [Google Scholar] [CrossRef]
- Brazeau, B.J.; Johnson, B.J.; Wilmot, C.M. Copper-containing amine oxidases. Biogenesis and catalysis; a structural perspective. Arch. Biochem. Biophys. 2004, 428, 22–31. [Google Scholar] [CrossRef] [PubMed]
- Patel, O.P.S.; Beteck, R.M.; Legoabe, L.J. European Journal of Medicinal Chemistry Antimalarial application of quinones: A recent update. Eur. J. Med. Chem. 2021, 210, 113084. [Google Scholar] [CrossRef] [PubMed]
- Bittner, S. When quinones meet amino acids: Chemical, physical and biological consequences. Amino Acids 2006, 30, 205–224. [Google Scholar] [CrossRef]
- Formen, J.S.S.K.; Wolf, C. Chiroptical Switching and Quantitative Chirality Sensing with (Pseudo)halogenated Quinones. Angew. Chem. Int. Ed. 2021, 60, 27031–27038. [Google Scholar] [CrossRef] [PubMed]
- Dulo, B.; Phan, K.; Githaiga, J.; Raes, K.; De Meester, S. Natural Quinone Dyes: A Review on Structure, Extraction Techniques, Analysis and Application Potential. Waste Biomass Valorization 2021, 12, 6339–6374. [Google Scholar] [CrossRef]
- Han, C.; Li, H.; Shi, R.; Zhang, T.; Tong, J.; Li, J.; Li, B. Organic quinones towards advanced electrochemical energy storage: Recent advances and challenges. J. Mater. Chem. A 2019, 7, 23378–23415. [Google Scholar] [CrossRef]
- Hasan, F.; Mahanta, V.; Abdelazeez, A.A.A. Quinones for Aqueous Organic Redox Flow Battery: A Prospective on Redox Potential, Solubility, and Stability. Adv. Mater. Interfaces 2023, 10, 2300268. [Google Scholar] [CrossRef]
- Wu, Y.; Zhao, L.; Shen, J.; Gu, T.; Yang, Y.; Ji, S.; Zhu, M.; Liu, J. Raising the Redox Potential in a Quinone-Based Positive Organic Cathode via Space Charge Modulation. ACS Energy Lett. 2025, 10, 1107–1116. [Google Scholar] [CrossRef]
- Gou, Y.; Liu, N.; Yu, P.; Zhang, J.; Peng, J.; Han, J.; Huang, Y.; Fang, C. Activating Redox Chemistry of Quinones for High Energy Density Aqueous Sodium-Ion Batteries. J. Am. Chem. Soc. 2025, 147, 4993–5003. [Google Scholar] [CrossRef]
- Lin, Z.; Shi, H.-Y.; Lin, L.; Yang, X.; Wu, W.; Sun, X. A high capacity small molecule quinone cathode for rechargeable aqueous zinc-organic batteries. Nat. Commun. 2021, 12, 4424. [Google Scholar] [CrossRef] [PubMed]
- Nielson, K.V.; Zhang, L.; Zhang, Q.; Liu, T.L. A strategic high yield synthesis of 2,5-dihydroxy-1,4-benzoquinone Based MOFs. Inorg. Chem. 2019, 58, 10756–10760. [Google Scholar] [CrossRef] [PubMed]
- Sarkar, B.; Schweinfurth, D.; Deibel, N.; Weisser, F. Functional metal complexes based on bridging “imino”-quinonoid ligands. Coord. Chem. Rev. 2015, 293–294, 250–262. [Google Scholar] [CrossRef]
- Dähne, S.; Leupold, D. Coupling Principles in Organic Dyes. Angew. Chem. Int. Ed. Engl. 1966, 5, 984–993. [Google Scholar] [CrossRef]
- Mourot, B.; Jacquemin, D.; Siri, O.; Pascal, S. Coupled Polymethine Dyes: Six Decades of Discoveries. Chem. Rec. 2024, 24, e202400183. [Google Scholar] [CrossRef] [PubMed]
- Grant, M.J.; Wolfe, K.M.; Harding, C.R.; Welch, G.C. Biogenic amine sensors using organic π-conjugated materials as active sensing components and their commercialization potential. J. Mater. Chem. C 2023, 11, 9749–9767. [Google Scholar] [CrossRef]
- Gottlieb, H.E.; Kotlyar, V.; Nudelman, A. NMR chemical shifts of common laboratory solvents as trace impurities. J. Org. Chem. 1997, 62, 7512–7515. [Google Scholar] [CrossRef]
- Palatinus, L.; Chapuis, G. SUPERFLIP—A computer program for the solution of crystal structures by charge flipping in arbitrary dimensions. J. Appl. Crystallogr. 2007, 40, 786–790. [Google Scholar] [CrossRef]
- Palatinus, L.; van der Lee, A. Symmetry determination following structure solution in P 1. J. Appl. Crystallogr. 2008, 41, 975–984. [Google Scholar] [CrossRef]
- Palatinus, L.; Prathapa, S.J.; van Smaalen, S. EDMA: A computer program for topological analysis of discrete electron densities. J. Appl. Crystallogr. 2012, 45, 575–580. [Google Scholar] [CrossRef]
- Bourhis, L.J.; Dolomanov, O.V.; Gildea, R.J.; Howard, J.A.K.; Puschmann, H. The anatomy of a comprehensive constrained, restrained refinement program for the modern computing environment—Olex2 dissected. Acta Crystallogr. Sect. A Found. Crystallogr. 2015, 71, 59–75. [Google Scholar] [CrossRef] [PubMed]
- MacRae, C.F.; Sovago, I.; Cottrell, S.J.; Galek, P.T.A.; McCabe, P.; Pidcock, E.; Platings, M.; Shields, G.P.; Stevens, J.S.; Towler, M.; et al. Mercury 4.0: From visualization to analysis, design and prediction. J. Appl. Crystallogr. 2020, 53, 226–235. [Google Scholar] [CrossRef]
- Spackman, P.R.; Turner, M.J.; McKinnon, J.J.; Wolff, S.K.; Grimwood, D.J.; Jayatilaka, D.; Spackman, M.A. CrystalExplorer: A program for Hirshfeld surface analysis, visualization and quantitative analysis of molecular crystals. J. Appl. Crystallogr. 2021, 54, 1006–1011. [Google Scholar] [CrossRef]
- Spackman, M.A.; Mckinnon, J.J. Fingerprinting intermolecular interactions in molecular crystals. CrystEngComm 2002, 4, 378–392. [Google Scholar] [CrossRef]
- Bayen, S.; Barooah, N.; Sarma, R.J.; Sen, T.K.; Karmakar, A.; Baruah, J.B. Synthesis, structure and electrochemical properties of 2,5-bis(alkyl/arylamino)1,4-benzoquinones and 2-arylamino-1,4-naphthoquinones. Dye. Pigment. 2007, 75, 770–775. [Google Scholar] [CrossRef]
- Kulpe, S. Chinofarbstoffe. I. Die Molekül- und Kristallstruktur des 3,6-Dichlor-2,5-diamino-1,4-benzochinons. Acta Cryst. 1969, B25, 1411–1417. [Google Scholar] [CrossRef]














| Parameter | Compound 3 | Compound 4-I | Compound 4-II | Compound 5 |
|---|---|---|---|---|
| CCDC number | 2247575 | 2487932 | 2487933 | 2455226 |
| Empirical formula | C10H14Cl2N2O5 | C14H20Cl2N2O6 | C14H20Cl2N2O6 | 4(C11H12ClN3O4) |
| Formula weight | 313.137 | 383.21 | 383.21 | 1142.75 |
| Temperature/K | 193.0 (2) | 150.0 (2) | 150 (2) | 150.0 (1) |
| Crystal system | monoclinic | monoclinic | monoclinic | monoclinic |
| Space group | C2/c | C2/c | P21/c | P21 |
| a/Å | 18.2431 (11) | 24.3813 (3) | 13.0548 (2) | 13.07156 (7) |
| b/Å | 4.7286 (2) | 4.6755 (1) | 4.76760 (10) | 12.86560 (7) |
| c/Å | 16.0608 (12) | 14.7186 (2) | 14.2266 (3) | 14.89482 (10) |
| α/° | 90.00 | 90.00 | 90.00 | 90 |
| β/° | 111.822 (2) | 101.655 (1) | 113.292 (2) | 105.3941 (6) |
| γ/° | 90.00 | 90.00 | 90.00 | 90 |
| Volume/Å3 | 1286.2 (1) | 1643.25 (5) | 813.30 (3) | 2415.04 (3) |
| Z | 4 | 4 | 2 | 2 |
| ρcalcg/cm3 | 1.617 | 1.549 | 1.565 | 1.5713 |
| Absorption coefficient/mm−1 | 0.523 | 3.876 | 3.915 | 2.972 |
| F(000) | 648 | 800 | 400 | 1184 |
| Crystal size/mm3 | 0.33 × 0.19 × 0.04 | 0.21 × 0.04 × 0.03 | 0.17 × 0.07 × 0.04 | 0.14 × 0.11 × 0.02 |
| Radiation | Mo Kα (λ = 0.71073 Å) | Cu Kα (λ = 1.54184 Å) | Cu Kα (λ = 1.54184 Å) | Cu Kα (λ = 1.54184 Å) |
| 2Θ max. for data collection/° | 55 | 160 | 160 | 160 |
| Index ranges | −23 ≤ h ≤ 23, −5 ≤ k ≤ 6, −21 ≤ l ≤ 20 | −24 ≤ h ≤ 30, −5 ≤ k ≤ 5, −18 ≤ l ≤ 18 | −16 ≤ h ≤ 16, −6 ≤ k ≤ 5, −18 ≤ l ≤ 17 | −16 ≤ h ≤ 16, −16 ≤ k ≤ 16, −19 ≤ l ≤ 18 |
| Reflections collected | 2800 | 8190 | 7382 | 58,128 |
| Independent reflections | 1280 | 1782 | 1763 | 10,490 |
| Data/restraints/parameters | 1280/0/99 | 1782/0/117 | 1763/0/117 | 10,490/1/753 |
| Goodness-of-fit on F2 | 1.028 | 1.080 | 1.054 | 1.043 |
| Final R indexes [I > 2σ(I)] | R1 = 0.037, wR2 = 0.095 | R1 = 0.0275, wR2 = 0.0753 | R1 = 0.0269, wR2 = 0.0722 | R1 = 0.0432, wR2 = 0.1138 |
| Final R indexes [all data] | R1 = 0.050, wR2 = 0.090 | R1 = 0.0278, wR2 = 0.0756 | R1 = 0.0277, wR2 = 0.0727 | R1 = 0.0439, wR2 = 0.1144 |
| Largest diff. peak/hole/e Å−3 | 0.24/−0.35 | 0.330/−0.291 | 0.245/−0.261 | 0.74/−0.34 |
| Torsion Angle | 4-I | 4-II |
|---|---|---|
| C1-C2-C3-N7 | −177.6 (1) | −179.9 (1) |
| C2-C3-N7-C8 | 3.8 (2) | 3.5 (2) |
| C3-N7-C8-C9 | −86.7 (2) | −83.1 (2) |
| N7-C8-C9-O10 | −67.1 (1) | −71.5 (1) |
| C8-C9-O10-C11 | −178.0 (1) | −178.8 (1) |
| C9-O10-C11-C12 | −175.9 (1) | −176.7 (1) |
| O10-C11-C12-O13 | −68.7 (2) | −70.4 (1) |
| Hydrogen Bond D-H···O | Distances in Å | Angle D-H···O (°) | Symmetry of Atom A | ||
|---|---|---|---|---|---|
| D···O | H···O | D-H | |||
| 4-I | |||||
| N7-H7···O1 | 2.574 (2) | 2.09 (2) | 0.89 (2) | 113 (2) | −x + 1/2, −y + 1/2, −z + 1 |
| N7-H7···O13 | 2.888 (2) | 2.18 (2) | 0.89 (2) | 136 (2) | −x + 1, y, −z + 3/2 |
| O13-H13···O10 | 2.783 (1) | 2.03 (1) | 0.80 (1) | 156 (2) | −x + 1, y, −z + 3/2 |
| 4-II | |||||
| N7-H7···O1 | 2.560 (2) | 2.08 (2) | 0.85 (2) | 115 (2) | −x + 1, −y + 1, −z + 1 |
| N7-H7···O13 | 3.004 (2) | 2.35 (2) | 0.85 (2) | 134 (2) | −x, y + 1, −z + 1 |
| O13-H13···O10 | 2.783 (1) | 1.98 (1) | 0.82 (2) | 166 (2) | −x, y + 1, −z + 1 |
| Angle | Molecule A | Molecule B | Molecule C | Molecule D 1 |
|---|---|---|---|---|
| C1-C2-N9-C10 | −3.2 (4) | 5.1 (4) | −2.8 (5) | 4.7 (5) |
| C2-N9-C10-C11 | 169.8 (2) | −171.0 (3) | 176.7 (3) | 179.2 (4) [161.4 (5)] |
| N9-C10-C11-O12 | 52.9 (3) | −53.0 (3) | 48.2 (3) | −49.8 (5) [53.9 (8)] |
| C4-C5-N15-C16 | 2.7 (5) | −5.7 (5) | −8.4 (4) | 7.9 (5) |
| C5-N15-C16-C17 | −178.2 (2) | 90.7 (3) | 172.3 (2) | −91.8 (4) |
| Hydrogen Bond DH···A | D···A (Å) | H···A (Å) | D-H···A (°) | Symmetry of Atom A |
|---|---|---|---|---|
| O12(A 1)-H···O18(A) | 2.685 (3) | 1.98 (4) | 170 (3) | x + 1, y, z |
| N15(B)-H···N8(B) | 3.075 (4) | 2.29 (4) | 142 (3) | x, y − 1, z |
| O18(A)-H···O13(B) | 2.775 (3) | 2.09 (4) | 173 (4) | x, y, z |
| O12(B)-H···O18(B) | 2.687 (3) | 1.74 (3) | 166 (3) | x + 1, y, z |
| N15(B)-H···N8(A) | 2.997 (4) | 2.33 (4) | 136 (4) | x − 1, y + 1, z |
| O18(B)-H···O13(A) | 2.791 (3) | 1.95 (4) | 175 (4) | x − 1, y, z |
| O12(C)-H···O18(C) | 2.703 (3) | 1.73 (3) | 176 (3) | x, y + 1, z |
| N15(C)-H···N8(C) | 3.021 (4) | 2.24 (4) | 146 (4) | x − 1, y − 1, z |
| O18(C)-H···O13(D) | 2.764 (4) | 1.99 (4) | 170 (4) | x, y − 1, z |
| O18(C)-H···Cl14(D) | 3.302 (3) | 2.85 (3) | 119 (3) | x, y − 1, z |
| O12(D)-H···O18(D) | 2.687 (5) | 1.83 (5) | 169 (5) | x, y + 1, z |
| N15(D)-H···N8(C) | 3.038 (4) | 2.24 (5) | 142 (4) | x + 1, y, z |
| O18(D)-H···O13(C) | 2.714 (4) | 1.89 (4) | 167 (4) | x, y, z |
| Added M2+/Amine | λmax (log ε) | |||
|---|---|---|---|---|
| Compound 3 | Compound 4 | Compound 5 | Compound 6 | |
| Without additives | 535 (2.25) | 532 (2.43) | 508 (2.92) | 523 (2.15) |
| Zn2+/sec-butylamine | 473 (3.04) | 481 (3.50) | 516 (3.15) | 506 (2.47) |
| Zn2+/diethylamine | 503 (2.75) | 474 (3.42) | 507 (sh) | 552 (sh) |
| Zn2+/butane-1,4-diamine | 503 (2.73) | 484 (3.55) | 486 (3.26) | 511 (2.48) |
| Cu2+/sec-butylamine | 579 (sh *) | 595 (sh) | 524 (sh) | 582 (sh) |
| Cu2+/diethylamine | 581 (sh) | 596 (sh) | 520 (sh) | 610 (sh) |
| Cu2+/butane-1,4-diamine | 557 (3.18) | 565 (3.13) | 502 (3.36) | 563 (3.11) |
Disclaimer/Publisher’s Note: The statements, opinions and data contained in all publications are solely those of the individual author(s) and contributor(s) and not of MDPI and/or the editor(s). MDPI and/or the editor(s) disclaim responsibility for any injury to people or property resulting from any ideas, methods, instructions or products referred to in the content. |
© 2025 by the authors. Licensee MDPI, Basel, Switzerland. This article is an open access article distributed under the terms and conditions of the Creative Commons Attribution (CC BY) license (https://creativecommons.org/licenses/by/4.0/).
Share and Cite
Gaile, A.; Belyakov, S.; Zhizhkun, S.; Batenko, N. Crystal Structure and Optical Behavior of Diamino-Substituted 1,4-Benzoquinones. Crystals 2025, 15, 986. https://doi.org/10.3390/cryst15110986
Gaile A, Belyakov S, Zhizhkun S, Batenko N. Crystal Structure and Optical Behavior of Diamino-Substituted 1,4-Benzoquinones. Crystals. 2025; 15(11):986. https://doi.org/10.3390/cryst15110986
Chicago/Turabian StyleGaile, Anastasija, Sergey Belyakov, Svetlana Zhizhkun, and Nelli Batenko. 2025. "Crystal Structure and Optical Behavior of Diamino-Substituted 1,4-Benzoquinones" Crystals 15, no. 11: 986. https://doi.org/10.3390/cryst15110986
APA StyleGaile, A., Belyakov, S., Zhizhkun, S., & Batenko, N. (2025). Crystal Structure and Optical Behavior of Diamino-Substituted 1,4-Benzoquinones. Crystals, 15(11), 986. https://doi.org/10.3390/cryst15110986

