The Preparation and Properties of Polycrystalline Bi2O2Se—Pitfalls in Reproducibility and Charge-Transport Limiting Factors
Abstract
1. Introduction
2. Materials and Methods
3. Results and Discussion
3.1. Difficulties Common to Both Undoped and Doped Bi2O2Se
- Air stability of the as-synthesized Bi2O2Se powder [6].
- Reaction with die during compacting.
- Equilibrium reactions between the matrix and foreign phases—grain boundaries—stoichiometry.
3.1.1. Purity of the Precursors and Their Reactivity with SiO2 During Synthesis
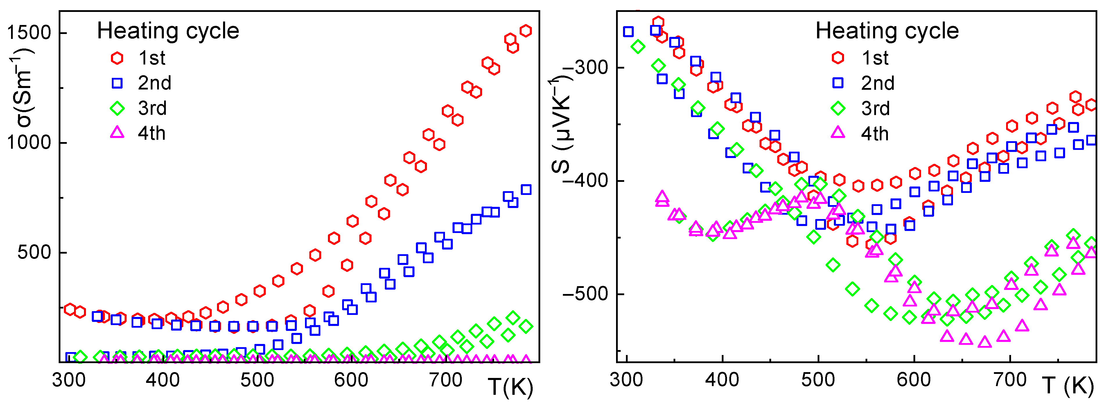
3.1.2. Air Stability of the As-Synthesized Bi2O2Se Powder
3.1.3. Reaction with Die During Compacting
3.1.4. Equilibrium Reactions Between the Matrix and Foreign Phases—Grain Boundaries—Stoichiometry
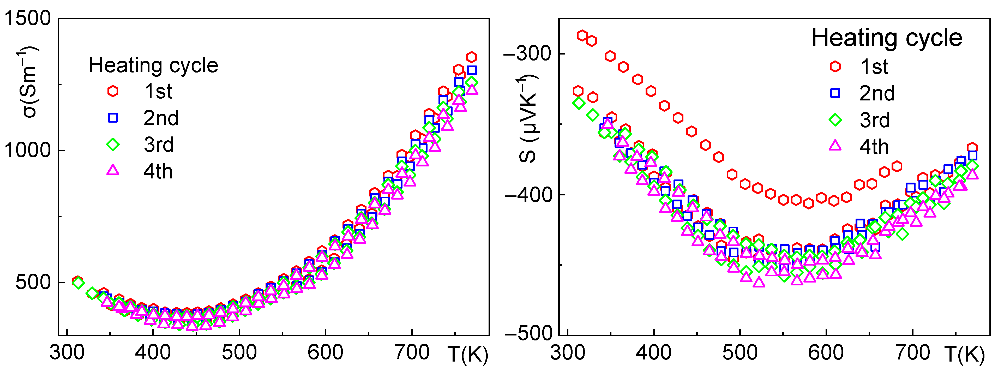
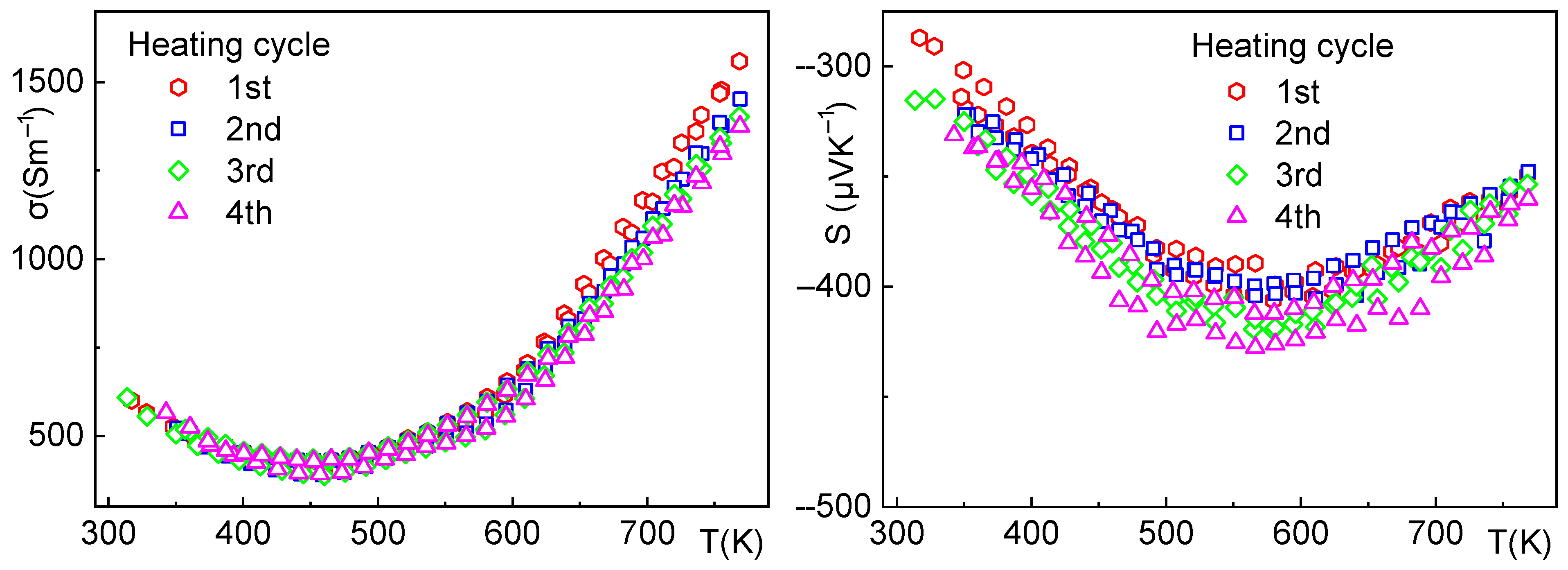
3.2. Summary and Results of the Improved Synthesis Method
3.2.1. Low-Temperature Synthesis of Pure Bi2O2Se
3.2.2. High-Temperature Gradient Growth for the Optimization of Grain Boundaries
3.2.3. Pressing
3.3. Difficulties Associated with the Doping of Bi2O2Se
4. Conclusions
Supplementary Materials
Author Contributions
Funding
Data Availability Statement
Acknowledgments
Conflicts of Interest
Abbreviations
| BM | Ball Milling |
| BSE | Backscattered Electron imaging |
| CP | Cold pressing |
| DTA | Differential thermal analysis |
| EDS | Energy-Dispersive Spectroscopy |
| FP | Foreign Phases |
| HP | Hot Pressing |
| (P)XRD | (Powder) X Ray Diffraction |
| SEM | Scanning Electron Microscopy |
| STA | Simultaneous Thermal Analysis |
| TE | Thermoelectric |
| XRF | X Ray Fluorescence |
References
- Zhang, C.; Tu, T.; Wang, J.; Zhu, Y.; Tan, C.; Chen, L.; Wu, M.; Zhu, R.; Liu, Y.; Fu, H.; et al. Single-crystalline van der Waals layered dielectric with high dielectric constant. Nat. Mater. 2023, 22, 832–837. [Google Scholar] [CrossRef]
- Wu, J.; Qiu, C.; Fu, H.; Chen, S.; Zhang, C.; Dou, Z.; Tan, C.; Tu, T.; Li, T.; Zhang, Y.; et al. Low Residual Carrier Concentration and High Mobility in 2D Semiconducting Bi2O2Se. Nano Lett. 2019, 19, 197–202. [Google Scholar] [CrossRef] [PubMed]
- Liang, Y.; Zhou, X.; Li, W.; Peng, H. Preparation of two-dimensional [Bi2O2]-based layered materials: Progress and prospects. APL Mater. 2021, 9, 060905. [Google Scholar] [CrossRef]
- Liu, J.; Han, Z.; Ding, J.; Guo, K.; Yang, X.; Hu, P.; Jiao, Y.; Teng, F. Preparation and Performance Study of Photoconductive Detector Based on Bi2O2Se Film. Photonics 2023, 10, 1187. [Google Scholar] [CrossRef]
- Wu, J.; Yuan, H.; Meng, M.; Chen, C.; Sun, Y.; Chen, Z.; Dang, W.; Tan, C.; Liu, Y.; Yin, J.; et al. High electron mobility and quantum oscillations in non-encapsulated ultrathin semiconducting Bi2O2Se. Nat. Nanotechnol. 2017, 12, 530–534. [Google Scholar] [CrossRef]
- Xu, S.; Fu, H.; Tian, Y.; Deng, T.; Cai, J.; Wu, J.; Tu, T.; Li, T.; Tan, C.; Liang, Y.; et al. Exploiting Two-Dimensional Bi2O2Se for Trace Oxygen Detection. Angew. Chem. Int. Ed. 2020, 59, 17938–17943. [Google Scholar] [CrossRef]
- Zheng, Z.-H.; Shi, X.-L.; Ao, D.-W.; Liu, W.-D.; Li, M.; Kou, L.-Z.; Chen, Y.-X.; Li, F.; Wei, M.; Liang, G.-X.; et al. Harvesting waste heat with flexible Bi2Te3 thermoelectric thin film. Nat. Sustain. 2023, 6, 180–191. [Google Scholar] [CrossRef]
- Yang, D.; Shi, X.-L.; Li, M.; Nisar, M.; Mansoor, A.; Chen, S.; Chen, Y.; Li, F.; Ma, H.; Liang, G.X.; et al. Flexible power generators by Ag2Se thin films with record-high thermoelectric performance. Nat. Commun. 2024, 15, 923. [Google Scholar] [CrossRef]
- Ao, D.; Liu, W.; Chen, Y.; Wei, M.; Jabar, B.; Li, F.; Shi, X.; Zheng, Z.; Liang, G.; Zhang, X.; et al. Novel Thermal Diffusion Temperature Engineering Leading to High Thermoelectric Performance in Bi2Te3 -Based Flexible Thin-Films. Adv. Sci. 2022, 9, 2103547. [Google Scholar] [CrossRef]
- Yang, N.; Pan, L.; Chen, C.; Wang, Y. Effects of Sb-doping on the electron-phonon transport properties of Bi2O2Se. J. Alloys Compd. 2021, 858, 157748. [Google Scholar] [CrossRef]
- Bae, S.Y.; Kim, H.-S.; Lee, S.W.; Park, O.; Park, H.; Kim, S. Enhanced thermoelectric properties of I-doped polycrystalline Bi2O2Se oxyselenide. J. Mater. Res. Technol. 2022, 19, 2831–2836. [Google Scholar] [CrossRef]
- Fu, Z.; Jiang, J.-L.; Dong, S.-T.; Yu, M.-C.; Zhao, L.; Wang, L.; Yao, S.-H. Effects of Zr substitution on structure and thermoelectric properties of Bi2O2Se. J. Mater. Res. Technol. 2022, 21, 640–647. [Google Scholar] [CrossRef]
- Pan, L.; Zhao, Z.; Yang, N.; Xing, W.; Zhang, J.; Liu, Y.; Chen, C.; Li, D.; Wang, Y. Effects of sulfur substitution for oxygen on the thermoelectric properties of Bi2O2Se. J. Eur. Ceram. Soc. 2020, 40, 5543–5548. [Google Scholar] [CrossRef]
- Tan, X.; Liu, Y.; Hu, K.; Ren, G.; Li, Y.; Liu, R.; Lin, Y.; Lan, J.; Nan, C. Synergistically optimizing electrical and thermal transport properties of Bi2O2Se ceramics by Te-substitution. J. Am. Ceram. Soc. 2018, 101, 326–333. [Google Scholar] [CrossRef]
- Niu, X.; Gao, Y.; Pan, L.; Chen, C.; Wang, Y. Thermoelectric properties of Bi2O2Se-x%AgSnSe2 composites via liquid assisted shear exfoliation- restacking process. J. Alloys Compd. 2022, 921, 166087. [Google Scholar] [CrossRef]
- Song, C.; Song, Y.; Pan, L.; Chen, C.; Zong, P.; Wang, Y. Thermoelectric properties of Bi2-xTixO2Se with the shear exfoliation-restacking process. J. Alloys Compd. 2022, 892, 162147. [Google Scholar] [CrossRef]
- Hong, H.Y.; Kim, D.H.; Won, S.O.; Park, K. Enhancement of the thermoelectric performance of n−type Bi2O2Se by Ce4+ doping. J. Mater. Res. Technol. 2021, 15, 4161–4172. [Google Scholar] [CrossRef]
- Li, Y.; Huo, H.; Huang, H.; Guo, K.; Yang, X.; Xing, J.; Luo, J.; Rao, G.-H.; Zhao, J.-T. Optimization of electrical and thermal transport properties of layered Bi2O2Se via Nb doping. J. Mater. Sci. 2021, 56, 12732–12739. [Google Scholar] [CrossRef]
- Gao, Y.; Wang, Y.; Pan, L.; Chen, C.; Zong, P.; Wang, Y. Enhancing thermoelectric performance of Bi2O2Se by W-doping with the shear exfoliation- restacking process. Mater. Lett. 2022, 308, 131291. [Google Scholar] [CrossRef]
- Tan, X.; Lan, J.; Ren, G.; Liu, Y.; Lin, Y.-H.; Nan, C.-W. Enhanced thermoelectric performance of n-type Bi2O2Se by Cl-doping at Se site. J. Am. Ceram. Soc. 2017, 100, 1494–1501. [Google Scholar] [CrossRef]
- Song, C.; Zhou, H.; Gu, Y.; Pan, L.; Chen, C.; Wang, Y. Enhanced thermoelectric properties of Bi2O2Se by Bi2Te2.7Se0.3 addition. J. Alloys Compd. 2023, 930, 167439. [Google Scholar] [CrossRef]
- Tan, X.; Liu, Y.; Liu, R.; Zhou, Z.; Liu, C.; Lan, J.; Zhang, Q.; Lin, Y.; Nan, C. Synergistical Enhancement of Thermoelectric Properties in n-Type Bi2O2Se by Carrier Engineering and Hierarchical Microstructure. Adv. Energy Mater. 2019, 9, 1900354. [Google Scholar] [CrossRef]
- Kim, M.; Park, D.; Kim, J. Enhancement of Bi2O2Se thermoelectric power factor via Nb doping. J. Alloys Compd. 2021, 851, 156905. [Google Scholar] [CrossRef]
- Ruleova, P.; Plechacek, T.; Kasparova, J.; Vlcek, M.; Benes, L.; Lostak, P.; Drasar, C. Enhanced Thermoelectric Performance of n-type Bi2O2Se Ceramics Induced by Ge Doping. J. Electron. Mater. 2018, 47, 1459–1466. [Google Scholar] [CrossRef]
- Zhan, B.; Butt, S.; Liu, Y.; Lan, J.-L.; Nan, C.-W.; Lin, Y.-H. High-temperature thermoelectric behaviors of Sn-doped n-type Bi2O2Se ceramics. J. Electroceramics 2015, 34, 175–179. [Google Scholar] [CrossRef]
- Zhan, B.; Liu, Y.; Lan, J.; Zeng, C.; Lin, Y.-H.; Nan, C.-W. Enhanced Thermoelectric Performance of Bi2O2Se with Ag Addition. Materials 2015, 8, 1568–1576. [Google Scholar] [CrossRef]
- Pan, L.; Shi, X.; Song, C.; Liu, W.; Sun, Q.; Lu, C.; Liu, Q.; Wang, Y.; Chen, Z. Graphite Nanosheets as Multifunctional Nanoinclusions to Boost the Thermoelectric Performance of the Shear-Exfoliated Bi2O2Se. Adv. Funct. Mater. 2022, 32, 2202927. [Google Scholar] [CrossRef]
- Pan, L.; Zhao, L.; Zhang, X.; Chen, C.; Yao, P.; Jiang, C.; Shen, X.; Lyu, Y.; Lu, C.; Zhao, L.-D.; et al. Significant Optimization of Electron–Phonon Transport of n-Type Bi2O2Se by Mechanical Manipulation of Se Vacancies via Shear Exfoliation. ACS Appl. Mater. Interfaces 2019, 11, 21603–21609. [Google Scholar] [CrossRef] [PubMed]
- Pan, L.; Liu, W.-D.; Zhang, J.-Y.; Shi, X.-L.; Gao, H.; Liu, Q.; Shen, X.; Lu, C.; Wang, Y.-F.; Chen, Z.-G. Synergistic effect approaching record-high figure of merit in the shear exfoliated n-type Bi2O2−2xTe2xSe. Nano Energy 2020, 69, 104394. [Google Scholar] [CrossRef]
- Zhan, B.; Liu, Y.; Tan, X.; Lan, J.; Lin, Y.; Nan, C. Enhanced Thermoelectric Properties of Bi2O2Se Ceramics by Bi Deficiencies. J. Am. Ceram. Soc. 2015, 98, 2465–2469. [Google Scholar] [CrossRef]
- Zheng, Z.; Wang, T.; Jabar, B.; Ao, D.; Li, F.; Chen, Y.; Liang, G.; Luo, J.; Fan, P. Enhanced Thermoelectric Performance in n -Type Bi2O2Se by an Exquisite Grain Boundary Engineering Approach. ACS Appl. Energy Mater. 2021, 4, 10290–10297. [Google Scholar] [CrossRef]
- Wei, T.; Xu, B.; Ji, X. Enhanced thermoelectric properties of Bi2O2Se ceramics by Bi deficiencies. Eur. Phys. J. B 2019, 92, 17. [Google Scholar] [CrossRef]
- Pan, L.; Zhang, J.; Chen, C.; Wang, Y. Enhanced thermoelectric properties of highly textured Bi2O2-xSe1+x with liquid-phase mechanical exfoliation. Scr. Mater. 2020, 178, 376–381. [Google Scholar] [CrossRef]
- Wu, Z.; Wang, Y.; Liu, G.; Yang, X.; Wei, T.; Zhang, H.; Zhou, J.; Zhu, J. Tuning power factors of two-dimensional Bi2O2Se nanoplates through vacancy engineering. Mater. Today Energy 2021, 21, 100810. [Google Scholar] [CrossRef]
- Tan, X.; Lan, J.; Hu, K.; Xu, B.; Liu, Y.; Zhang, P.; Cao, X.; Zhu, Y.; Xu, W.; Lin, Y.; et al. Boosting the thermoelectric performance of Bi2O2Se by isovalent doping. J. Am. Ceram. Soc. 2018, 101, 4634–4644. [Google Scholar] [CrossRef]
- Sojka, A.; Zich, J.; Plecháček, T.; Levinský, P.; Navrátil, J.; Ruleová, P.; Šlang, S.; Beneš, L.; Knížek, K.; Holý, V.; et al. Mn-doping reveals a thermal gap and natural p-type conductivity in Bi2O2Se. Mater. Adv. 2025, 6, 7526–7534. [Google Scholar] [CrossRef]
- Ortiz-Quiñonez, J.-L.; Zumeta-Dubé, I.; Díaz, D.; Nava-Etzana, N.; Cruz-Zaragoza, E.; Santiago-Jacinto, P. Bismuth Oxide Nanoparticles Partially Substituted with EuIII, MnIV, and SiIV: Structural, Spectroscopic, and Optical Findings. Inorg. Chem. 2017, 56, 3394–3403. [Google Scholar] [CrossRef]
- Moré, R.; Olah, M.; Balaghi, S.E.; Jäker, P.; Siol, S.; Zhou, Y.; Patzke, G.R. Bi2O2CO3 Growth at Room Temperature: In Situ X-ray Diffraction Monitoring and Thermal Behavior. ACS Omega 2017, 2, 8213–8221. [Google Scholar] [CrossRef]
- Ding, X.; Li, M.; Chen, P.; Zhao, Y.; Zhao, M.; Leng, H.; Wang, Y.; Ali, S.; Raziq, F.; Wu, X.; et al. Bi2O2Se: A rising star for sem-iconductor devices. Matter 2022, 5, 4274–4314. [Google Scholar] [CrossRef]
- Tong, T.; Zhang, M.; Chen, Y.; Li, Y.; Chen, L.; Zhang, J.; Song, F.; Wang, X.; Zou, W.; Xu, Y.; et al. Ultrahigh Hall mobility and suppressed backward scattering in layered semiconductor Bi2O2Se. Appl. Phys. Lett. 2018, 113, 072106. [Google Scholar] [CrossRef]
- Xu, L.; Luo, Y.-C.; Lv, Y.-Y.; Zhang, Y.-Y.; Wu, Y.-Z.; Yao, S.-H.; Zhou, J.; Chen, Y.B.; Chen, Y.-F. Electrical scattering mechanism evolution in un-doped and halogen-doped Bi2O2Se single crystals. J. Phys. Condens. Matter 2020, 32, 365705. [Google Scholar] [CrossRef]
- Henry, N.; Evain, M.; Deniard, P.; Jobic, S.; Abraham, F.; Mentre, O. [Bi2O2]2+ Layers in Bi2O2(OH)(NO3): Synthesis and Structure Determination. Z. Für Naturforschung 2005, 60b, 322–327. [Google Scholar] [CrossRef]
- Corkett, A.J.; Chen, Z.; Bogdanovski, D.; Slabon, A.; Dronskowski, R. Band Gap Tuning in Bismuth Oxide Carbodiimide Bi2O2NCN. Inorg. Chem. 2019, 58, 6467–6473. [Google Scholar] [CrossRef]
- Huang, H.; Tian, N.; Jin, S.; Zhang, Y.; Wang, S. Syntheses, characterization and nonlinear optical properties of a bismuth subcarbonate Bi2O2CO3. Solid State Sci. 2014, 30, 1–5. [Google Scholar] [CrossRef]
- Sojka, A.; Janíček, P.; Zich, J.; Navrátil, J.; Ruleová, P.; Plecháček, T.; Kucek, V.; Knížek, K.; Drašar, Č. Extraneous doping and its necessary preconditions. Comput. Mater. Sci. 2024, 243, 113138. [Google Scholar] [CrossRef]
- Jain, A.; Hautier, G.; Ong, S.P.; Moore, C.J.; Fischer, C.C.; Persson, K.A.; Ceder, G. Formation enthalpies by mixing GGA and GGA + U calculations. Phys. Rev. B 2011, 84, 045115. [Google Scholar] [CrossRef]
- Yu, W.-X.; Liu, B.; Huang, W.-Q.; Zhou, H.; Xie, S.-Y. Phase evolution for oxidizing bismuth selenide. J. Phys. Condens. Matter 2023, 35, 075401. [Google Scholar] [CrossRef] [PubMed]
- Han, S.W.; Yun, W.S.; Seong, S.; Tahir, Z.; Kim, Y.S.; Ko, M.; Ryu, S.; Bae, J.-S.; Ahn, C.W.; Kang, J. Hidden Direct Bandgap of Bi2O2Se by Se Vacancy and Enhanced Direct Bandgap of Bismuth Oxide Overlayer. J. Phys. Chem. Lett. 2024, 15, 1590–1595. [Google Scholar] [CrossRef] [PubMed]
- Xu, Z.; Wang, J.; Wang, T.; Hu, W.; Yang, X.; Lin, X. Huge permittivity and premature metallicity in Bi2O2Se single crystals. Sci. China Phys. Mech. Astron. 2021, 64, 267312. [Google Scholar] [CrossRef]
- Fu, H.; Wu, J.; Peng, H.; Yan, B. Self-modulation doping effect in the high-mobility layered semiconductor Bi2O2Se. Phys. Rev. B 2018, 97, 241203. [Google Scholar] [CrossRef]
- Onderka, B.; Fitzner, K.; Kopyto, M.; Przybyło, W. Thermodynamics of Bi2O3-SiO2 system. J. Min. Met. Sect. B: Met. 2017, 53, 223–231. [Google Scholar] [CrossRef]
- Liu, R.; Lan, J.-L.; Tan, X.; Liu, Y.-C.; Ren, G.-K.; Liu, C.; Zhou, Z.-F.; Nan, C.-W.; Lin, Y.-H. Carrier concentration optimization for thermoelectric performance enhancement in n-type Bi2O2Se. J. Eur. Ceram. Soc. 2018, 38, 2742–2746. [Google Scholar] [CrossRef]
- Li, T.; Peng, H. 2D Bi2O2Se: An Emerging Material Platform for the Next-Generation Electronic Industry. Accounts Mater. Res. 2021, 2, 842–853. [Google Scholar] [CrossRef]
- Xu, R.; Wang, S.; Li, Y.; Chen, H.; Tong, T.; Cai, Y.; Meng, Y.; Zhang, Z.; Wang, X.; Wang, F. Layered Semiconductor Bi2O2Se for Broadband Pulse Generation in the Near-Infrared. IEEE Photon-Technol. Lett. 2019, 31, 1056–1059. [Google Scholar] [CrossRef]
- Wang, J.; Wu, J.; Wang, T.; Xu, Z.; Wu, J.; Hu, W.; Ren, Z.; Liu, S.; Behnia, K.; Lin, X. T-square resistivity without Umklapp scattering in dilute metallic Bi2O2Se. Nat. Commun. 2020, 11, 3846. [Google Scholar] [CrossRef] [PubMed]
- Mao, Q.; Geng, X.; Yang, J.; Zhang, J.; Zhu, S.; Yu, Q.; Wang, Y.; Li, H.; Li, R.; Hao, H. Synthesis and electrical transport properties of Bi2O2Se single crystals. J. Cryst. Growth 2018, 498, 244–247. [Google Scholar] [CrossRef]
- Lv, Y.-Y.; Xu, L.; Dong, S.-T.; Luo, Y.-C.; Zhang, Y.-Y.; Chen, Y.B.; Yao, S.-H.; Zhou, J.; Cui, Y.; Zhang, S.-T.; et al. Electron-electron scattering dominated electrical and magnetotransport properties in the quasi-two-dimensional Fermi liquid single-crystal Bi2O2Se. Phys. Rev. B 2019, 99, 195143. [Google Scholar] [CrossRef]
- Chen, C.; Wang, M.; Wu, J.; Fu, H.; Yang, H.; Tian, Z.; Tu, T.; Peng, H.; Sun, Y.; Xu, X.; et al. Electronic structures and unusually robust bandgap in an ultrahigh-mobility layered oxide semiconductor, Bi2O2Se. Sci. Adv. 2018, 4, eaat8355. [Google Scholar] [CrossRef] [PubMed]
- Drasar, C.; Ruleova, P.; Benes, L.; Lostak, P. Preparation and Transport Properties of Bi2O2Se Single Crystals. J. Electron. Mater. 2012, 41, 2317–2321. [Google Scholar] [CrossRef]
- Li, P.; Han, A.; Zhang, C.; He, X.; Zhang, J.; Zheng, D.; Cheng, L.; Li, L.-J.; Miao, G.-X.; Zhang, X.-X. Mobility-Fluctuation-Controlled Linear Positive Magnetoresistance in 2D Semiconductor Bi2O2Se Nanoplates. ACS Nano 2020, 14, 11319–11326. [Google Scholar] [CrossRef]
- Zhu, Z.; Yao, X.; Zhao, S.; Lin, X.; Li, W. Giant Modulation of the Electron Mobility in Semiconductor Bi2O2Se via Incipient Ferroelectric Phase Transition. J. Am. Chem. Soc. 2022, 144, 4541–4549. [Google Scholar] [CrossRef] [PubMed]
- Jain, A.; Ong, S.P.; Hautier, G.; Chen, W.; Richards, W.D.; Dacek, S.; Cholia, S.; Gunter, D.; Skinner, D.; Ceder, G.; et al. Commentary: The Materials Project: A materials genome approach to accelerating materials innovation. APL Mater. 2013, 1, 011002. [Google Scholar] [CrossRef]









Disclaimer/Publisher’s Note: The statements, opinions and data contained in all publications are solely those of the individual author(s) and contributor(s) and not of MDPI and/or the editor(s). MDPI and/or the editor(s) disclaim responsibility for any injury to people or property resulting from any ideas, methods, instructions or products referred to in the content. |
© 2025 by the authors. Licensee MDPI, Basel, Switzerland. This article is an open access article distributed under the terms and conditions of the Creative Commons Attribution (CC BY) license (https://creativecommons.org/licenses/by/4.0/).
Share and Cite
Zich, J.; Plecháček, T.; Sojka, A.; Levinský, P.; Navrátil, J.; Ruleová, P.; Šlang, S.; Knížek, K.; Hejtmánek, J.; Nečina, V.; et al. The Preparation and Properties of Polycrystalline Bi2O2Se—Pitfalls in Reproducibility and Charge-Transport Limiting Factors. Crystals 2025, 15, 951. https://doi.org/10.3390/cryst15110951
Zich J, Plecháček T, Sojka A, Levinský P, Navrátil J, Ruleová P, Šlang S, Knížek K, Hejtmánek J, Nečina V, et al. The Preparation and Properties of Polycrystalline Bi2O2Se—Pitfalls in Reproducibility and Charge-Transport Limiting Factors. Crystals. 2025; 15(11):951. https://doi.org/10.3390/cryst15110951
Chicago/Turabian StyleZich, Jan, Tomáš Plecháček, Antonín Sojka, Petr Levinský, Jiří Navrátil, Pavlína Ruleová, Stanislav Šlang, Karel Knížek, Jiří Hejtmánek, Vojtěch Nečina, and et al. 2025. "The Preparation and Properties of Polycrystalline Bi2O2Se—Pitfalls in Reproducibility and Charge-Transport Limiting Factors" Crystals 15, no. 11: 951. https://doi.org/10.3390/cryst15110951
APA StyleZich, J., Plecháček, T., Sojka, A., Levinský, P., Navrátil, J., Ruleová, P., Šlang, S., Knížek, K., Hejtmánek, J., Nečina, V., & Drašar, Č. (2025). The Preparation and Properties of Polycrystalline Bi2O2Se—Pitfalls in Reproducibility and Charge-Transport Limiting Factors. Crystals, 15(11), 951. https://doi.org/10.3390/cryst15110951

