2,2-Bis(3,5-dimethylpyrazol-1-yl)-1,1-diphenylethanol: A Versatile Heteroscorpionate Ligand for Transition and Main Group Metal Complexes
Abstract
1. Introduction
2. Materials and Methods
2.1. General
2.2. Syntheses
2.2.1. General Method A
2.2.2. Titanium Complex 2
2.2.3. Zirconium Complex 3
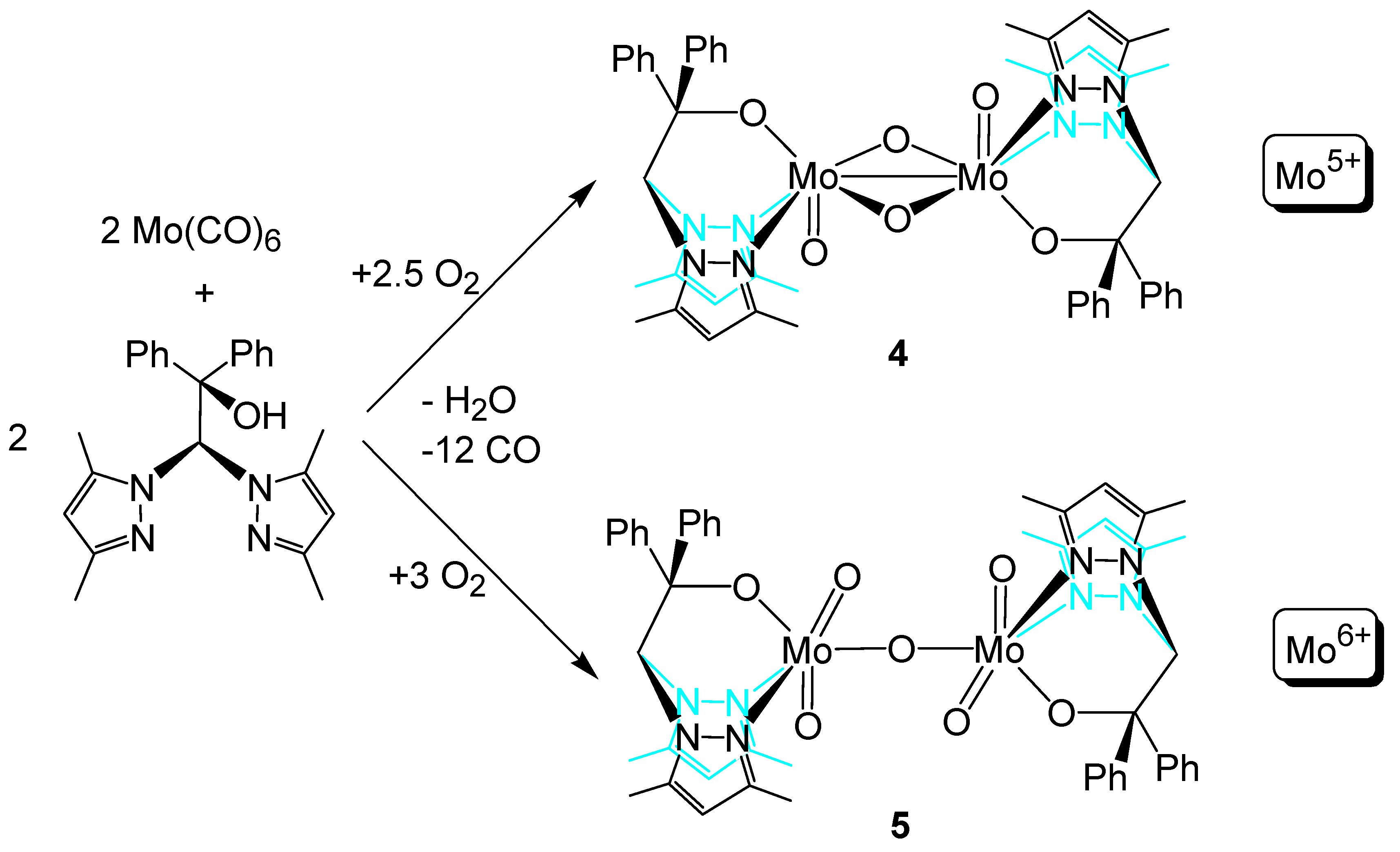
2.2.4. Molybdenum Complexes 4 and 5
2.2.5. Pseudopolymorph of the Tungsten Complex 6
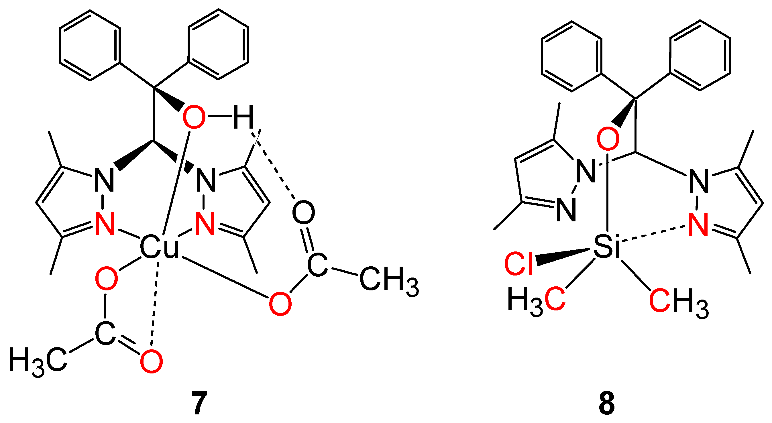
2.2.6. Copper Complex 7
2.2.7. Silicon Complex 8
2.2.8. Germanium Complex 9
2.3. Single Crystal Structure Determination
3. Results and Discussion
3.1. Molecular Structures
3.2. Discussion of the Outcome of the Reactions
4. Conclusions
Supplementary Materials
Author Contributions
Funding
Data Availability Statement
Acknowledgments
Conflicts of Interest
References
- Trofimenko, S. Boron-Pyrazole Chemistry. J. Am. Chem. Soc. 1966, 88, 1842–1844. [Google Scholar] [CrossRef]
- Trofimenko, S. Boron-Pyrazole Chemistry. I. Pyrazaboles. J. Am. Chem. Soc. 1967, 89, 3165–3170. [Google Scholar] [CrossRef]
- Trofimenko, S. Recent advances in poly(pyrazolyl)borate (scorpionate) chemistry. Chem. Rev. 1993, 93, 943–980. [Google Scholar] [CrossRef]
- Trofimenko, S. Scorpionates: The Coordination Chemistry of Poly(pyrazolyl)borate Ligands; Imperial College Press: London, UK, 1999. [Google Scholar]
- Piccoli, P.M.B.; Cowan, J.A.; Schultz, A.J.; Koetzle, T.F.; Yap, G.P.A.; Trofimenko, S. Low-temperature neutron structure determinations of a series of scorpionate complexes of molybdenum containing BHMo agostic bonds. J. Mol. Struct. 2008, 890, 63–69. [Google Scholar] [CrossRef]
- Kharbani, D.; Deb, D.K.; Mawnai, I.L.; Kurbah, S.D.; Sarkar, B.; Rymmai, E.K. Pyrazole cleavage of tris(3,5-dimethylpyrazolyl)borate with Ruthenium(II) complexes: Synthesis, structural characterization and DFT studies. J. Mol. Struct. 2017, 1133, 264–270. [Google Scholar] [CrossRef]
- Reshma, G.; Nakul, S.; Mahitha, P.M.; Kulkarni, N.V.; Senthurpandi, D.; Yamijala, S.S.R.K.C.; Brennessel, W.W.; Jones, W.D. Synthesis and molecular structure of half-sandwich ruthenium(II) complexes containing pyrazolyl ligands: Solvent induced geometrical change in κ2-scorpionate supported complex. J. Mol. Struct. 2022, 1251, 132005. [Google Scholar] [CrossRef]
- Otero, A.; Fernández-Baeza, J.; Antinolo, A.; Tejeda, J.; Lara-Sanchez, A. Heteroscorpionate ligands based on bis(pyrazol-1-yl)methane: Design and coordination chemistry. Dalton Trans. 2004, 1499–1510. [Google Scholar] [CrossRef] [PubMed]
- Otero, A.; Fernández-Baeza, J.; Antinolo, A.; Tejeda, J.; Lara-Sanchez, A.; Sanchez-Barba, L.F.; Sanchez-Molina, M.; Franco, S.; Lopez-Solera, M.I.; Rodriguez, A.M. Design of new heteroscorpionate ligands and their coordinative ability toward Group 4 transition metals; an efficient synthetic route to obtain enantiopure ligands. Dalton Trans. 2006, 4359–4370. [Google Scholar] [CrossRef]
- Hübner, E.; Haas, T.; Burzlaff, N. Synthesis and Transition Metal Complexes of Novel N,N,O Scorpionate Ligands Suitable for Solid Phase Immobilisation. Eur. J. Inorg. Chem. 2006, 2006, 4989–4997. [Google Scholar] [CrossRef]
- Hübner, E.; Türkoglu, G.; Wolf, M.; Zenneck, U.; Burzlaff, N. Novel N,N,O Scorpionate Ligands and Transition Metal Complexes Thereof Suitable for Polymerisation. Eur. J. Inorg. Chem. 2008, 2008, 1226–1235. [Google Scholar] [CrossRef]
- Otero, A.; Fernández-Baeza, J.; Lara-Sanchez, A.; Tejeda, J.; Sanchez-Barba, L.F. Recent Advances in the Design and Coordination Chemistry of Heteroscorpionate Ligands Bearing Stereogenic Centres. Eur. J. Inorg. Chem. 2008, 2008, 5309–5326. [Google Scholar] [CrossRef]
- Otero, A.; Fernández-Baeza, J.; Lara-Sanchez, A.; Sanchez-Barba, L.F. Metal complexes with heteroscorpionate ligands based on the bis(pyrazol-1-yl)methane moiety: Catalytic chemistry. Coord. Chem. Rev. 2013, 257, 1806–1868. [Google Scholar] [CrossRef]
- Pettinari, C.; Pettinari, R.; Marchetti, F. Chapter Four—Golden Jubilee for Scorpionates: Recent Advances in Organometallic Chemistry and Their Role in Catalysis. Adv. Organomet. Chem. 2016, 65, 175–260. [Google Scholar] [CrossRef]
- Carrano, C.J. A Family of Homo- and Heteroscorpionate Ligands: Applications to Bioinorganic Chemistry. Eur. J. Inorg. Chem. 2016, 2016, 2377–2390. [Google Scholar] [CrossRef]
- Počkaj, M.; Kitanovski, N. A Novel Tetranuclear Silver Compound with bis(3,5-dimethylpyrazol-1-yl)acetate: A Simple Synthesis Yielding Complex Crystal Structure. Acta Chim. Slov. 2018, 65, 532–540. [Google Scholar] [CrossRef]
- Fujisawa, K.; Kuboniwa, A.; Tan, S.L.; Tiekink, E.R.T. Structural and Hirshfeld Surface Analysis of Thallium(I) and Indium(III) Complexes of a Soft Scorpionate Ligand. Crystals 2023, 13, 745. [Google Scholar] [CrossRef]
- SShatokhin, S.; Tuskaev, V.A.; Gagieva, S.C.; Rybalkina, E.Y.; Pozdnyakov, D.I.; Melnikova, E.K.; Denisov, G.L.; Zubkevich, S.V.; Oganesyan, E.T. Synthesis, structural characterization, antioxidant and cytotoxic activity towards human cancer cell lines and computational studies of new Ni(II), Co(II) and Pd(II) complexes with 3-[bis(3,5-dimethylpyrazol-1-yl)methyl]chromen-4-one derivatives. J. Mol. Struct. 2021, 1241, 130706. [Google Scholar] [CrossRef]
- Tzegai, W.; Reil, M.; Burzlaff, N. Bis(4-carboxylpyrazol-1-yl)acetic acid: A scorpionate ligand for complexes with improved water solubility. Dalton Trans. 2022, 51, 6839–6845. [Google Scholar] [CrossRef]
- Pflock, S.; Langer, F.; Reil, M.; Strinitz, L.; Lorenz, R.; Hübner, E.G.; Burzlaff, N. p-Block metal complexes with bis(pyrazol-1-yl)acetato ligands. Dalton Trans. 2022, 51, 3902–3912. [Google Scholar] [CrossRef]
- Burzlaff, N. Tripodal N, N, O-ligands for metalloenzyme models and organometallics. Adv. Inorg. Chem. 2008, 60, 101–165. [Google Scholar] [CrossRef]
- Sánchez-Barba, L.F.; Garcés, A.; Fajardo, M.; Alonso-Moreno, C.; Fernández-Baeza, J.; Otero, A.; Antiñolo, A.; Tejeda, J.; Lara-Sánchez, A.; López-Solera, M.I. Well-Defined Alkyl Heteroscorpionate Magnesium Complexes as Excellent Initiators for the ROP of Cyclic Esters. Organometallics 2007, 26, 6403–6411. [Google Scholar] [CrossRef]
- Zhang, Z.; Cui, D. Heteroscorpionate Rare-Earth Metal Zwitterionic Complexes: Syntheses, Characterization, and Heteroselective Catalysis on the Ring-Opening Polymerization of rac-Lactide. Chem. Eur. J. 2011, 17, 11520–11526. [Google Scholar] [CrossRef]
- Sobrino, S.; Navarro, M.; Fernández-Baeza, J.; Sánchez-Barba, L.F.; Lara-Sánchez, A.; Garcés, A.; Castro-Osma, J.A.; Rodríguez, A.M. Efficient Production of Poly(Cyclohexene Carbonate) via ROCOP of Cyclohexene Oxide and CO2 Mediated by NNO-Scorpionate Zinc Complexes. Polymers 2020, 12, 2148. [Google Scholar] [CrossRef]
- Garcés, A.; Sánchez-Barba, L.F.; Fernández-Baeza, J.; Otero, A.; Fernández, I.; Lara-Sánchez, A.; Rodríguez, A.M. Organo-Aluminum and Zinc Acetamidinates: Preparation, Coordination Ability, and Ring-Opening Polymerization Processes of Cyclic Esters. Inorg. Chem. 2018, 57, 12132–12142. [Google Scholar] [CrossRef]
- Martínez, J.; Martínez de Sarasa Buchaca, M.; de la Cruz-Martínez, F.; Alonso-Moreno, C.; Sánchez-Barba, L.F.; Fernández-Baeza, J.; Rodríguez, A.M.; Rodríguez-Diéguez, A.; Castro-Osma, J.A.; Otero, A.; et al. Versatile organoaluminium catalysts based on heteroscorpionate ligands for the preparation of polyesters. Dalton Trans. 2018, 47, 7471–7479. [Google Scholar] [CrossRef] [PubMed]
- Martínez, J.; Otero, A.; Lara-Sánchez, A.; Castro-Osma, J.A.; Fernández-Baeza, J.; Sánchez-Barba, L.F.; Rodríguez, A.M. Heteroscorpionate Rare-Earth Catalysts for the Hydroalkoxylation/Cyclization of Alkynyl Alcohols. Organometallics 2016, 35, 1802–1812. [Google Scholar] [CrossRef]
- de la Cruz-Martínez, F.; Martínez de Sarasa Buchaca, M.; Fernández-Baeza, J.; Sánchez-Barba, L.F.; Rodríguez, A.M.; Castro-Osma, J.A.; Lara-Sánchez, A. Zinc-Catalyzed Hydroalkoxylation/Cyclization of Alkynyl Alcohols. Inorg. Chem. 2021, 60, 5322–5332. [Google Scholar] [CrossRef] [PubMed]
- Navarro, M.; Sánchez-Barba, L.F.; Garcés, A.; Fernández-Baeza, J.; Fernández, I.; Lara-Sánchez, A.; Rodríguez, A.M. Bimetallic scorpionate-based helical organoaluminum complexes for efficient carbon dioxide fixation into a variety of cyclic carbonates. Catal. Sci. Technol. 2020, 10, 3265–3278. [Google Scholar] [CrossRef]
- Fernández-Baeza, J.; Sánchez-Barba, L.F.; Lara-Sánchez, A.; Sobrino, S.; Martínez-Ferrer, J.; Garcés, A.; Navarro, M.; Rodríguez, A.M. NNC-Scorpionate Zirconium-Based Bicomponent Systems for the Efficient CO2 Fixation into a Variety of Cyclic Carbonates. Inorg. Chem. 2020, 59, 12422–12430. [Google Scholar] [CrossRef]
- de la Cruz-Martínez, F.; de Sarasa Buchaca, M.M.; Fernández-Baeza, J.; Sánchez-Barba, L.F.; Rodríguez, A.M.; Alonso-Moreno, C.; Castro-Osma, J.A.; Lara-Sánchez, A. Heteroscorpionate Rare-Earth Catalysts for the Low-Pressure Coupling Reaction of CO2 and Cyclohexene Oxide. Organometallics 2021, 40, 1503–1514. [Google Scholar] [CrossRef]
- Jayakumar, S.; Mahendiran, D.; Selvan, D.A.; Rahiman, A.K. Bis(imidazol-1-yl)methane-based heteroscorpionate metal(II) complexes: Theoretical, antimicrobial, antioxidant, in vitro cytotoxicity and c-Met tyrosine kinase studies. J. Mol. Struct. 2019, 1196, 567–577. [Google Scholar] [CrossRef]
- Jayakumar, S.; Mahendiran, D.; Rahiman, A.K. Theoretical, antimicrobial, antioxidant, in vitro cytotoxicity, and cyclin-dependent kinase 2 inhibitor studies of metal(II) complexes with bis(imidazol-1-yl)methane-based heteroscorpionate ligands. J. Coord. Chem. 2019, 72, 2015–2034. [Google Scholar] [CrossRef]
- Jayakumar, S.; Mahendiran, D.; Viswanathan, V.; Velmurugan, D.; Rahiman, A.K. Heteroscorpionate-based heteroleptic copper(II) complexes: Antioxidant, molecular docking and in vitro cytotoxicity studies. Appl. Organomet. Chem. 2017, 31, 2351–2364. [Google Scholar] [CrossRef]
- Pellei, M.; Gandin, V.; Cimarelli, C.; Quaglia, W.; Mosca, N.; Bagnarelli, L.; Marzano, C.; Santini, C. Syntheses and biological studies of nitroimidazole conjugated heteroscorpionate ligands and related Cu(I) and Cu(II) complexes. J. Inorg. Biochem. 2018, 187, 33–40. [Google Scholar] [CrossRef] [PubMed]
- Pellei, M.; Gandin, V.; Marchio, L.; Marzano, C.; Bagnarelli, L.; Santini, C. Syntheses and biological studies of Cu(II) complexes bearing bis(pyrazol-1-yl)- and bis(triazol-1-yl)-acetato heteroscorpionate ligands. Molecules 2019, 24, 1761. [Google Scholar] [CrossRef]
- Pellei, M.; Bagnarelli, L.; Luciani, L.; Del Bello, F.; Giorgioni, G.; Piergentili, A.; Quaglia, W.; De Franco, M.; Gandin, V.; Marzano, C.; et al. Synthesis and Cytotoxic Activity Evaluation of New Cu(I) Complexes of Bis(pyrazol-1-yl) Acetate Ligands Functionalized with an NMDA Receptor Antagonist. Int. J. Mol. Sci. 2020, 21, 2616. [Google Scholar] [CrossRef]
- Pellei, M.; Santini, C.; Bagnarelli, L.; Battocchio, C.; Iucci, G.; Venditti, I.; Meneghini, C.; Amatori, S.; Sgarbossa, P.; Marzano, C.; et al. Exploring the Antitumor Potential of Copper Complexes Based on Ester Derivatives of Bis(pyrazol-1-yl)acetate Ligands. Int. J. Mol. Sci. 2022, 23, 9397. [Google Scholar] [CrossRef]
- Pellei, M.; Santini, C.; Bagnarelli, L.; Caviglia, M.; Sgarbossa, P.; De Franco, M.; Zancato, M.; Marzano, C.; Gandin, V. Novel Silver Complexes Based on Phosphanes and Ester Derivatives of Bis(pyrazol-1-yl)acetate Ligands Targeting TrxR: New Promising Chemotherapeutic Tools Relevant to SCLC Management. Int. J. Mol. Sci. 2023, 24, 4091. [Google Scholar] [CrossRef]
- Hoffmann, J.T.; Einwaechter, S.; Chohan, B.S.; Basu, P.; Carrano, C.J. Isomerization and Oxygen Atom Transfer Reactivity in Oxo−Mo Complexes of Relevance to Molybdoenzymes. Inorg. Chem. 2004, 43, 7573–7575. [Google Scholar] [CrossRef]
- Hoffmann, J.T.; Tran, B.L.; Carrano, C.J. Oxidation-state and metal-ion dependent stereoisomerization in oxo molybdenum and tungsten complexes of a bulky alkoxy heteroscorpionate ligand. Dalton Trans. 2006, 3822–3830. [Google Scholar] [CrossRef]
- Tran, B.L.; Carrano, C.J. Synthesis and characterization of heteroscorpionate dioxo-tungsten(VI) complexes. Inorg. Chim. Acta 2007, 360, 1961–1969. [Google Scholar] [CrossRef]
- Zhang, Z.; Cui, D.; Trifonov, A.A. Synthesis and Characterization of Heteroscorpionate Rare-Earth Metal Dialkyl Complexes and Catalysis on MMA Polymerization. Eur. J. Inorg. Chem. 2010, 2010, 2861–2866. [Google Scholar] [CrossRef]
- Skvortsov, G.G.; Cherkasov, A.V.; Fukin, G.K.; Trifonov, A.A. Yttrium complexes containing heteroscorpionate ligands [(3,5-But2C3HN2)2CHC(Ph)2O]− and [o-Me2NC6H4CH2C(NCy)2]−. Russ. Chem. Bull. 2016, 65, 1189–1197. [Google Scholar] [CrossRef]
- Tampier, S.; Burzlaff, N. Heteroscorpionate complexes based on bis(3,5-di-tert-butylpyrazol-1-yl)dithioacetate. Acta Cryst. C 2013, 69, 981–985. [Google Scholar] [CrossRef] [PubMed]
- Trofimenko, S.; Jové, F.; Yap, G.P.A. An unusual bis-heteroscorpionate complex with anomalous ligands: [tris(3,4-dibromo-5-phenylpyrazolyl)hydroborato][hydrotris(3-neopentylpyrazolyl)borato]nickel(II). Acta Cryst. C 2016, 72, 802–805. [Google Scholar] [CrossRef] [PubMed]
- Otero, A.; Fernández-Baeza, J.; Antinolo, A.; Tejeda, J.; Lara-Sanchez, A.; Sanchez-Barba, L.F.; Sanchez-Molina, M.; Franco, S.; Lopez-Solera, M.I.; Rodriguez, A.M. Highly Diastereoselective Nucleophilic Addition to Myrtenal. Straightforward Synthesis of an Enantiopure Scorpionate Ligand. Inorg. Chem. 2007, 46, 8475–8477. [Google Scholar] [CrossRef] [PubMed]
- Otero, A.; Fernández-Baeza, J.; Tejeda, J.; Lara-Sanchez, A.; Sanchez-Molina, M.; Franco, S.; Lopez-Solera, I.; Rodriguez, A.M. On the Search for NNO-Donor Enantiopure Scorpionate Ligands and Their Coordination to Group 4 Metals. Inorg. Chem. 2009, 48, 5540–5554. [Google Scholar] [CrossRef]
- Lagunas-Simón, B.; González-Montiel, S.; Salazar-Pereda, V.; Vásquez-Pérez, J.M.; Cruz-Borbolla, J. An structural study of Pt•••Hδ–C(sp3) anagostic interaction in heteroscorpionate complexes. J. Mol. Struct. 2024, 1300, 137289. [Google Scholar] [CrossRef]
- Otero, A.; Fernández-Baeza, J.; Antiñolo, A.; Tejeda, J.; Lara-Sánchez, A.; Sánchez-Barba, L.; Fernández-López, M.; López-Solera, I. New Complexes of Zirconium(IV) and Hafnium(IV) with Heteroscorpionate Ligands and the Hydrolysis of Such Complexes To Give a Zirconium Cluster. Inorg. Chem. 2004, 43, 1350–1358. [Google Scholar] [CrossRef]
- Böhme, U.; Schwarzer, A.; Günther, B. The heteroscorpionate ligand 2,2-bis(3,5-dimethylpyrazol-1-yl)-1,1-diphenylethanol and an easy preparation of its tungsten complex. Acta Cryst. C 2019, 75, 996–1001. [Google Scholar] [CrossRef]
- Herzog, S.; Dehnert, J. Eine rationelle anaerobe Arbeitsmethode. Z. Chem. 1964, 4, 1–11. [Google Scholar] [CrossRef]
- Böhme, U. Inertgastechnik; Walter de Gruyter: Berlin, Germany, 2020. [Google Scholar] [CrossRef]
- Stoe&Cie. X-RED and X-AREA; Stoe&Cie: Darmstadt, Germany, 2009. [Google Scholar]
- Sheldrick, G.M. A short history of SHELX. Acta Crystallogr. A 2008, 64, 112–122. [Google Scholar] [CrossRef] [PubMed]
- Sheldrick, G.M. Crystal structure refinement with SHELXL. Acta Crystallogr. C 2015, 71, 3–8. [Google Scholar] [CrossRef] [PubMed]
- Spek, A. Single crystal structure validation with the program PLATON. J. Appl. Crystallogr. 2003, 36, 7–13. [Google Scholar] [CrossRef]
- Spek, A. PLATON SQUEEZE: A tool for the calculation of the disordered solvent contribution to the calculated structure factors. Acta Crystallogr. C 2015, 71, 9–18. [Google Scholar] [CrossRef]
- Spek, A. checkCIF validation ALERTS: What they mean and how to respond. Acta Crystallogr. E 2020, 76, 1–11. [Google Scholar] [CrossRef]
- Milione, S.; Bertolasi, V.; Cuenca, T.; Grassi, A. Titanium Complexes Bearing a Hemilabile Heteroscorpionate Ligand: Synthesis, Reactivity, and Olefin Polymerization Activity. Organometallics 2005, 24, 4915–4925. [Google Scholar] [CrossRef]
- Pauling, L. Die Natur der Chemischen Bindung; Verlag Chemie: Weinheim/Bergstr, Germany, 1962. [Google Scholar]
- Aguado, R.; Escribano, J.; Pedrosa, M.R.; De Cian, A.; Sanz, R.; Arnáiz, F.J. Binuclear oxomolybdenum(V) chlorides: Molecular structure of Mo2O4Cl2(DMF)4 and Mo2O4Cl2(bipy)2·DMF. Polyhedron 2007, 26, 3842–3848. [Google Scholar] [CrossRef]
- Kitanovski, N.; Golobič, A.; Čeh, B. Synthesis and structural characterization of mono- and dinuclear Mo(V)-oxo-complexes containing bis(3,5-dimethylpyrazol-1-yl)acetate anion as ligand. Inorg. Chem. Commun. 2011, 14, 276–280. [Google Scholar] [CrossRef]
- Dinoi, C.; da Silva, M.F.C.G.; Alegria, E.C.B.A.; Smoleński, P.; Martins, L.M.D.R.S.; Poli, R.; Pombeiro, A.J.L. Molybdenum Complexes Bearing the Tris(1-pyrazolyl)methanesulfonate Ligand: Synthesis, Characterization and Electrochemical Behaviour. Eur. J. Inorg. Chem. 2010, 2010, 2415–2424. [Google Scholar] [CrossRef]
- Kitanovski, N.; Golobič, A.; Čeh, B. Syntheses and structural characterization of two novel oxygen bridged dinuclear Mo-complexes containing bdmpza as ligand, trans-[Mo2O5(bdmpza)2] and trans-[Mo2O3(NCS)2(bdmpza)2]·4CH3CN. Inorg. Chem. Commun. 2006, 9, 296–299. [Google Scholar] [CrossRef]
- Hammes, B.S.; Chohan, B.S.; Hoffman, J.T.; Einwächter, S.; Carrano, C.J. A Family of Dioxo−Molybdenum(VI) Complexes of N2X Heteroscorpionate Ligands of Relevance to Molybdoenzymes. Inorg. Chem. 2004, 43, 7800–7806. [Google Scholar] [CrossRef] [PubMed]
- Addison, A.W.; Rao, T.N.; Reedijk, J.; van Rijn, J.; Verschoor, G.C. Synthesis, structure, and spectroscopic properties of copper(II) compounds containing nitrogen-sulphur donor ligands; the crystal and molecular structure of aqua [1,7-bis (N-methylbenzimidazol-2′-yl)-2,6-dithiaheptane]-copper(II) perchlorate. J. Chem. Soc. Dalton Trans 1984, 1349–1356. [Google Scholar] [CrossRef]
- Cotton, F.A.; Wilkinson, G. Anorganische Chemie, 4th ed.; Verlag Chemie: Weinheim, Germany, 1982; p. 828. [Google Scholar]
- Hathaway, B.J. Copper(II). In Comprehensive Coordination Chemistry; Wilkinson, G., Gillard, R.D., McCleverty, J.A., Eds.; Pergamon Press: Oxford, UK, 1987; Volume 5, pp. 594–650. [Google Scholar]
- Hathaway, B.J.; Billing, D.E. The electronic properties and stereochemistry of mono-nuclear complexes of the copper(II) ion. Coord. Chem. Rev. 1970, 5, 143–207. [Google Scholar] [CrossRef]
- Chandrasekhar, V.; Thilagar, P.; Senapati, T. Transition Metal-Assisted Hydrolysis of Pyrazole-Appended Organooxotin Carboxylates Accompanied by Ligand Transfer. Eur. J. Inorg. Chem. 2007, 2007, 1004–1009. [Google Scholar] [CrossRef]
- Türkoglu, G.; Ulldemolins, C.P.; Müller, R.; Hübner, E.; Heinemann, F.W.; Wolf, M.; Burzlaff, N. Bis(3,5-dimethyl-4-vinylpyrazol-1-yl)acetic Acid: A New Heteroscorpionate Building Block for Copolymers that Mimic the 2-His-1-carboxylate Facial Triad. Eur. J. Inorg. Chem. 2010, 2010, 2962–2974. [Google Scholar] [CrossRef]
- Türkoglu, G.; Heinemann, F.W.; Burzlaff, N. Transition metal complexes bearing a 2,2-bis(3,5-dimethylpyrazol-1-yl)propionate ligand: One methyl more matters. Dalton Trans. 2011, 40, 4678–4686. [Google Scholar] [CrossRef]
- Kozlevčar, B.; Gamez, P.; de Gelder, R.; Driessen, W.L.; Reedijk, J. Unprecedented Change of the Jahn−Teller Axis in a Centrosymmetric CuII Complex Induced by Lattice Water Molecules—Crystal and Molecular Structures of Bis[bis(3,5-dimethylpyrazol-1-yl)acetato]copper(II) and Its Dihydrate. Eur. J. Inorg. Chem. 2003, 2003, 47–50. [Google Scholar] [CrossRef]
- Quillian, B.; Lynch, W.E.; Padgett, C.W.; Lorbecki, A.; Petrillo, A.; Tran, M. Syntheses and Crystal Structures of Copper(II) Bis(pyrazolyl)acetic Acid Complexes. J. Chem. Crystallogr. 2019, 49, 1–7. [Google Scholar] [CrossRef]
- Kozlevčar, B.; Počkaj, M.; Kitanovski, N. IR analysis of the carboxylate forms in structurally determined [CuII(κ3-L)2] species isolated from different acidic solutions. Maced. J. Chem. Chem. Eng. 2015, 34, 133–138. [Google Scholar] [CrossRef]
- Groom, C.R.; Bruno, I.J.; Lightfoot, M.P.; Ward, S.C. The Cambridge Structural Database. Acta Cryst. B 2016, 72, 171–179. [Google Scholar] [CrossRef]
- Bitto, F.; Kraushaar, K.; Böhme, U.; Brendler, E.; Wagler, J.; Kroke, E. Chlorosilanes and 3,5-Dimethylpyrazole: Multinuclear Complexes, Acetonitrile Insertion and 29Si NMR Chemical-Shift Anisotropy Studies. Eur. J. Inorg. Chem. 2013, 2013, 2954–2962. [Google Scholar] [CrossRef]
- Bitto, F.; Brendler, E.; Böhme, U.; Wagler, J.; Kroke, E. 3,5-Dimethylpyrazolyl-Substituted Di- and Trisiloxanes. Eur. J. Inorg. Chem. 2016, 2016, 4207–4215. [Google Scholar] [CrossRef]
- Gomes, A.C.; Neves, P.; Figueiredo, S.; Fernandes, J.A.; Valente, A.A.; Paz, F.A.A.; Pillinger, M.; Lopes, A.D.; Gonçalves, I.S. Tris(pyrazolyl)methane molybdenum tricarbonyl complexes as catalyst precursors for olefin epoxidation. J. Mol. Cat. A Chem. 2013, 370, 64–74. [Google Scholar] [CrossRef]
- Mohamed, H.A. Structural studies of some chromium and molybdenum complexes of 5,6-benzoquinoline. J. Coord. Chem. 2006, 59, 271–277. [Google Scholar] [CrossRef]




















| Compound | 2 | 3 | 4 | 5 |
|---|---|---|---|---|
| Formula | C34H51N7O2Ti | C24H25Cl3N4OZr | C64H82Mo2N8O10 | C48H50Mo2N8O7 |
| Mr | 637.71 | 583.05 | 1315.25 | 1042.84 |
| T (K) | 173 | 153 | 153 | 253 |
| λ (Å) | 0.71073 | 0.71073 | 0.71073 | 0.71073 |
| Crystal system | Monoclinic | Monoclinic | Monoclinic | Monoclinic |
| Space group | P21/n | P21/c | P21/c | P2/c |
| a (Å) | 11.4380 (3) | 8.2468 (14) | 8.9902 (6) | 9.6272 (3) |
| b (Å) | 21.0034 (4) | 17.845 (3) | 13.7889 (6) | 9.5339 (3) |
| c (Å) | 14.9392 (4) | 17.443 (4) | 24.9824 (16) | 35.7093 (11) A |
| α (°) | 90 | 90 | 90 | 90 |
| β (°) | 103.907 (2) | 93.506 (15) | 93.254 (5) | 96.349 (2) |
| γ (°) | 90 | 90 | 90 | 90 |
| V (Å3) | 3483.74 (15) | 2562.2 (8) | 3091.9 (3) | 3257.47 (18) |
| Z | 4 | 4 | 2 | 2 |
| ρcalc (g.cm−3) | 1.216 | 1.511 | 1.413 | 1.063 |
| μ (mm−1) | 0.285 | 0.766 | 0.470 | 0.428 |
| F(000) | 1368 | 1184 | 1372 | 1068 |
| θmax (°) | 27.776 | 26.490 | 27.500 | 27.500 |
| Reflections collected/unique [Rint] | 46,877/8194 [R(int) = 0.0612] | 43,091/5313 [R(int) = 0.1268] | 25,352/7090 [R(int) = 0.1035] | 14,610/5712 [R(int) = 0.0461] |
| Completeness to θ = 25.242° | 99.9% | 100.0% | 99.7% | 72.1% |
| Absorption correction | Integration | Semi-empirical from equivalents | Integration | Integration |
| Max. and min. transmission | 0.9743 and 0.8591 | 1.0000 and 1.0000 | 0.9795 and 0.9015 | 0.9608 and 0.8036 |
| Data/restraints/parameters | 8194/46/407 | 5313/0/302 | 7090/452/475 | 5712/484/409 |
| GoF on F2 | 1.169 | 0.996 | 1.091 | 1.136 |
| Final R indices [I > 2sigma(I)] | R1 = 0.0567, wR2 = 0.1263 | R1 = 0.0454, wR2 = 0.1040 | R1 = 0.0588, wR2 = 0.1084 | R1 = 0.0704, wR2 = 0.1792 |
| R indices (all data) | R1 = 0.0750, wR2 = 0.1371 | R1 = 0.0759, wR2 = 0.1150 | R1 = 0.1190, wR2 = 0.1383 | R1 = 0.0889, wR2 = 0.1950 |
| Extinction coefficient | n/a | n/a | n/a | 0.0087 (8) |
| Largest peak and hole (e.Å−3) | 0.337 and −0.455 | 0.707 and −1.136 | 0.583 and −0.660 | 0.602 and −0.650 |
| Compound | 6 | 7 | 8 | 9 |
|---|---|---|---|---|
| Formula | C24H25ClN4O3W | C36H48CuN4O7 | C30H41ClN4O3Si | C24H25Cl3GeN4O |
| Mr | 636.78 | 712.32 | 569.21 | 564.42 |
| T (K) | 153 | 153 | 153 | 153 |
| λ (Å) | 0.71073 | 0.71073 | 0.71073 | 0.71073 |
| Crystal system | Monoclinic | Monoclinic | Monoclinic | Monoclinic |
| Space group | P21/c | Ic | P21/c | Cc |
| a (Å) | 8.3902 (3) | 16.9450 (10) | 15.8821 (6) | 17.614 (4) |
| b (Å) | 16.7097 (7) | 12.3152 (4) | 9.9808 (4) | 8.934 (3) |
| c (Å) | 17.0373 (5) | 17.4262 (9) | 20.8507 (6) | 15.410 (3) |
| α (°) | 90 | 90 | 90 | 90 |
| β (°) | 91.431 (2) | 101.690 (4) | 110.172 (2) | 97.303 (18) |
| γ (°) | 90 | 90 | 90 | 90 |
| V (Å3) | 2387.85 (15) | 3561.1 (3) | 3102.4 (2) | 2405.3 (11) |
| Z | 4 | 4 | 4 | 4 |
| ρcalc (g.cm−3) | 1.771 | 1.329 | 1.219 | 1.559 |
| μ (mm−1) | 4.983 | 0.666 | 0.198 | 1.632 |
| F(000) | 1248 | 1508 | 1216 | 1152 |
| θmax (°) | 27.500 | 27.761 | 27.498 | 26.492 |
| Reflections collected/unique [Rint] | 29,857/5470 [R(int) = 0.0245] | 34,858/8148 [R(int) = 0.0440] | 63,213/7110 [R(int) = 0.0344] | 33,204/4993 [R(int) = 0.0480] |
| Completeness to θ = 25.242° | 99.8% | 99.8% | 99.8% | 100.0% |
| Absorption correction | Integration | Integration | Integration | Semi-empirical from equivalents |
| Max. and min. transmission | 0.8450 and 0.2336 | 0.9803 and 0.8434 | 0.9767 and 0.8973 | 1.0000 and 1.0000 |
| Data/restraints/parameters | 5470/0/302 | 8148/144/555 | 7110/2/374 | 4993/2/302 |
| GoF on F2 | 1.138 | 1.113 | 1.054 | 1.042 |
| Final R indices [I > 2sigma(I)] | R1 = 0.0235, wR2 = 0.0547 | R1 = 0.0446, wR2 = 0.0919 | R1 = 0.0569, wR2 = 0.1469 | R1 = 0.0331, wR2 = 0.0735 |
| R indices (all data) | R1 = 0.0263, wR2 = 0.0566 | R1 = 0.0559, wR2 = 0.0993 | R1 = 0.0661, wR2 = 0.1571 | R1 = 0.0407, wR2 = 0.0763 |
| Extinction coefficient | n/a | n/a | n/a | n/a |
| Largest peak and hole (e.Å−3) | 2.154 and −1.023 | 0.600 and −0.760 | 1.631 and −0.630 | 0.381 and −0.560 |
| Absolute structure parameter | n/a | n/a | n/a | −0.008 (6) |
| Parameter | 2 | 2a | 2b |
|---|---|---|---|
| Ti1-O1 | 1.933 (2) | 1.908 (5) | 1.986 (1) |
| Ti1-N2 | 2.444 (2) | 2.424 (6) | 2.387 (2) |
| Ti1-N4 | 2.337 (2) | 2.346 (5) | 2.398 (1) |
| Ti1-N5 | 1.936 (2) | 1.915 (6) | 1.965 (2) |
| Ti1-N6 | 1.961 (2) | 1.931 (5) | 1.954 (2) |
| Ti1-N7 | 1.951 (2) | 1.967 (6) | 1.944 (1) |
| 4 | |
| Mo1-O1 | 1.990 (3) |
| Mo1-N2 | 2.275 (4) |
| Mo1-N4 | 2.290 (4) |
| Mo1-O2 (bridging) | 1.951 (3) |
| Mo1-O2A (bridging) | 1.945 (3) |
| Mo1-O3 (terminal) | 1.703 (4) |
| Mo1-Mo#1 | 2.5600 (9) |
| 5 | |
| Mo1-O1 | 1.951 (5) |
| Mo1-N2 | 2.360 (5) |
| Mo1-N4 | 2.350 (5) |
| Mo1-O2 (terminal) | 1.704 (4) |
| Mo1-O3 (terminal) | 1.669 (4) |
| Mo1-O4 (bridging) | 1.890 (1) |
| Compound 3 | Compound 9 | Differences | ||
|---|---|---|---|---|
| Zr1-O1 | 1.926 | Ge1-O1 | 1.822 | 0.10 |
| Zr1-N2 | 2.318 | Ge1-N2 | 2.085 | 0.23 |
| Zr1-N4 | 2.344 | Ge1-N4 | 2.063 | 0.28 |
| Zr1-Cl1 | 2.4103 | Ge1-Cl1 | 2.2405 | 0.17 |
| Zr1-Cl2 | 2.4443 | Ge1-Cl2 | 2.2427 | 0.20 |
| Zr1-Cl3 | 2.426 | Ge1-Cl3 | 2.2508 | 0.18 |
| Atomic radii | ||||
| Zr | 1.48 | Ge | 1.22 | 0.26 |
Disclaimer/Publisher’s Note: The statements, opinions and data contained in all publications are solely those of the individual author(s) and contributor(s) and not of MDPI and/or the editor(s). MDPI and/or the editor(s) disclaim responsibility for any injury to people or property resulting from any ideas, methods, instructions or products referred to in the content. |
© 2025 by the authors. Licensee MDPI, Basel, Switzerland. This article is an open access article distributed under the terms and conditions of the Creative Commons Attribution (CC BY) license (https://creativecommons.org/licenses/by/4.0/).
Share and Cite
Böhme, U.; Günther, B.; Schwarzer, A. 2,2-Bis(3,5-dimethylpyrazol-1-yl)-1,1-diphenylethanol: A Versatile Heteroscorpionate Ligand for Transition and Main Group Metal Complexes. Crystals 2025, 15, 865. https://doi.org/10.3390/cryst15100865
Böhme U, Günther B, Schwarzer A. 2,2-Bis(3,5-dimethylpyrazol-1-yl)-1,1-diphenylethanol: A Versatile Heteroscorpionate Ligand for Transition and Main Group Metal Complexes. Crystals. 2025; 15(10):865. https://doi.org/10.3390/cryst15100865
Chicago/Turabian StyleBöhme, Uwe, Betty Günther, and Anke Schwarzer. 2025. "2,2-Bis(3,5-dimethylpyrazol-1-yl)-1,1-diphenylethanol: A Versatile Heteroscorpionate Ligand for Transition and Main Group Metal Complexes" Crystals 15, no. 10: 865. https://doi.org/10.3390/cryst15100865
APA StyleBöhme, U., Günther, B., & Schwarzer, A. (2025). 2,2-Bis(3,5-dimethylpyrazol-1-yl)-1,1-diphenylethanol: A Versatile Heteroscorpionate Ligand for Transition and Main Group Metal Complexes. Crystals, 15(10), 865. https://doi.org/10.3390/cryst15100865

