Voltage Control of Exchange Bias via Magneto-Ionic Approaches
Abstract
1. Introduction
2. Exchange Bias Effect
3. Voltage-Controlled Exchange Bias Based on Magneto-Ionic Mechanism
3.1. Voltage-Controlled Exchange Bias Based on Oxygen Ions
3.1.1. Ionic Liquid Gating
3.1.2. Resistive Switching Effect
3.2. Voltage-Controlled Exchange Bias Based on Hydrogen Ions
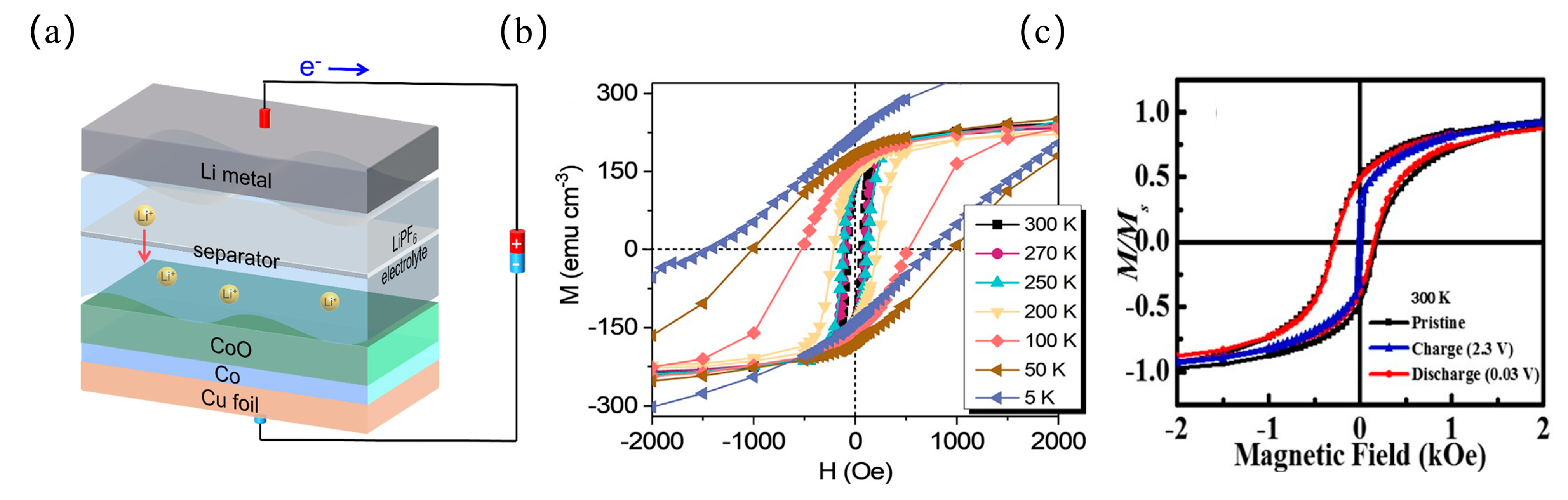
3.3. Voltage-Controlled Exchange Bias Based on Lithium Ions
3.4. Voltage-Controlled Exchange Bias Based on Emerging New Ions
4. Comparison of Magneto-Ionic Mechanisms Based on Different Ions
5. Conclusions
Author Contributions
Funding
Data Availability Statement
Conflicts of Interest
References
- Wolf, S.A.; Awschalom, D.D.; Buhrman, R.A.; Daughton, J.M.; von Molnár, S.; Roukes, M.L.; Chtchelkanova, A.Y.; Treger, D.M. Spintronics: A spin-based electronics vision for the future. Science 2001, 294, 1488–1495. [Google Scholar] [CrossRef]
- Žutić, I.; Fabian, J.; Sarma, S.D. Spintronics: Fundamentals and applications. Rev. Mod. Phys. 2004, 76, 323–410. [Google Scholar] [CrossRef]
- Song, C.; Cui, B.; Li, F.; Zhou, X.; Pan, F. Recent progress in voltage control of magnetism: Materials, mechanisms, and performance. Prog. Mater. Sci. 2017, 87, 33–82. [Google Scholar] [CrossRef]
- Nogués, J.; Schuller, I.K. Exchange bias. J. Magn. Magn. Mater. 1999, 192, 203–232. [Google Scholar] [CrossRef]
- Manna, P.K.; Yusuf, S.M. Two interface effects: Exchange bias and magnetic proximity. Phys. Rep. 2014, 535, 61–99. [Google Scholar] [CrossRef]
- Grünberg, P.A. Exchange anisotropy, interlayer exchange coupling and GMR in research and application. Sens. Actuators A Phys. 2001, 91, 153–160. [Google Scholar] [CrossRef]
- Takagishi, M.; Koi, K.; Yoshikawa, M.; Funayama, T.; Iwasaki, H.; Sahashi, M. The applicability of CPP-GMR heads for magnetic recording. IEEE Trans. Magn. 2002, 38, 2277–2282. [Google Scholar] [CrossRef]
- Yang, Q.; Zhou, Z.; Sun, N.X.; Liu, M. Perspectives of voltage control for magnetic exchange bias in multiferroic heterostructures. Phys. Lett. A 2017, 381, 1213–1222. [Google Scholar] [CrossRef]
- Ramesh, R.; Martin, L.W. Electric field control of magnetism: Multiferroics and magnetoelectrics. Riv. Nuovo Cimento 2021, 44, 251–289. [Google Scholar] [CrossRef]
- Gradauskaite, E.; Meisenheimer, P.; Müller, M.; Heron, J.; Trassin, M. Multiferroic heterostructures for spintronics. Phys. Sci. Rev. 2021, 6, 20190072. [Google Scholar] [CrossRef]
- He, X.; Wang, Y.; Wu, N.; Caruso, A.N.; Vescovo, E.; Belashchenko, K.D.; Dowben, P.A.; Binek, C. Robust isothermal electric control of exchange bias at room temperature. Nat. Mater. 2010, 9, 579–585. [Google Scholar] [CrossRef]
- Borisov, P.; Hochstrat, A.; Chen, X.; Kleemann, W.; Binek, C. Magnetoelectric switching of exchange bias. Phys. Rev. Lett. 2005, 94, 117203. [Google Scholar] [CrossRef]
- Chen, X.; Hochstrat, A.; Borisov, P.; Kleemann, W. Magnetoelectric exchange bias systems in spintronics. Appl. Phys. Lett. 2006, 89, 202508. [Google Scholar] [CrossRef]
- Laukhin, V.; Skumryev, V.; Martí, X.; Hrabovsky, D.; Sánchez, F.; García-Cuenca, M.V.; Ferrater, C.; Varela, M.; Lüders, U.; Bobo, J.F.; et al. Electric-field control of exchange bias in multiferroic epitaxial heterostructures. Phys. Rev. Lett. 2006, 97, 227201. [Google Scholar] [CrossRef] [PubMed]
- Wu, S.; Cybart, S.A.; Yu, P.; Rossell, M.; Zhang, J.; Ramesh, R.; Dynes, R. Reversible electric control of exchange bias in a multiferroic field-effect device. Nat. Mater. 2010, 9, 756–761. [Google Scholar] [CrossRef] [PubMed]
- Wu, S.M.; Cybart, S.A.; Yu, P.; Rossell, M.D.; Zhang, J.X.; Ramesh, R.; Dynes, R.C. Full electric control of exchange bias. Phys. Rev. Lett. 2013, 110, 067202. [Google Scholar] [CrossRef] [PubMed]
- Heron, J.T.; Trassin, M.; Ashraf, K.; Gajek, M.; He, Q.; Yang, S.Y.; Nikonov, D.E.; Chu, Y.H.; Salahuddin, S.; Ramesh, R. Electric-field-induced magnetization reversal in a ferromagnet-multiferroic heterostructure. Phys. Rev. Lett. 2011, 107, 217202. [Google Scholar] [CrossRef]
- Polisetty, S.; Echtenkamp, W.; Jones, K.; He, X.; Sahoo, S.; Binek, C. Piezoelectric tuning of exchange bias in a BaTiO3/Co/CoO heterostructure. Phys. Rev. B Condens. Matter Mater. Phys. 2010, 82, 134419. [Google Scholar] [CrossRef]
- Chen, A.; Zhao, Y.; Li, P.; Zhang, X.; Peng, R.; Huang, H.; Zou, L.; Zheng, X.; Zhang, S.; Miao, P.; et al. Angular dependence of exchange bias and magnetization reversal controlled by electric-field-induced competing anisotropies. Adv. Mater. 2015, 28, 363–369. [Google Scholar] [CrossRef]
- Wang, Y.; Zhou, X.; Song, C.; Yan, Y.; Zhou, S.; Wang, G.; Chen, C.; Zeng, F.; Pan, F. Electrical control of the exchange spring in antiferromagnetic metals. Adv. Mater. 2015, 27, 3196–3201. [Google Scholar] [CrossRef] [PubMed]
- Zhang, P.; Yin, G.; Wang, Y.; Cui, B.; Pan, F.; Song, C. Electrical control of antiferromagnetic metal up to 15 nm. Sci. China Phys. Mech. Astron. 2016, 59, 1–5. [Google Scholar] [CrossRef]
- Yang, Q.; Hu, Z.; Zhang, Y.; Su, W.; Cheng, Y.; Peng, B.; Wu, J.; Zhou, Z.; He, Y.; Cui, W.; et al. Voltage control of perpendicular exchange bias in multiferroic heterostructures. Adv. Electron. Mater. 2019, 5, 1900192. [Google Scholar] [CrossRef]
- Bauer, U.; Yao, L.; Tan, A.J.; Agrawal, P.; Emori, S.; Tuller, H.L.; Van Dijken, S.; Beach, G.S. Magneto-ionic control of interfacial magnetism. Nat. Mater. 2015, 14, 174–181. [Google Scholar] [CrossRef] [PubMed]
- Gilbert, D.A.; Grutter, A.J.; Arenholz, E.; Liu, K.; Kirby, B.J.; Borchers, J.A.; Maranville, B.B. Structural and magnetic depth profiles of magneto-ionic heterostructures beyond the interface limit. Nat. Commun. 2016, 7, 12264. [Google Scholar] [CrossRef]
- Bi, C.; Liu, Y.; Newhouse-Illige, T.; Xu, M.; Rosales, M.; Freeland, J.W.; Mryasov, O.; Zhang, S.; te Velthuis, S.G.; Wang, W.G. Reversible control of Co magnetism by voltage-induced oxidation. Phys. Rev. Lett. 2014, 113, 267202. [Google Scholar] [CrossRef] [PubMed]
- Lee, K.Y.; Jo, S.; Tan, A.J.; Huang, M.; Choi, D.; Park, J.H.; Ji, H.I.; Son, J.W.; Chang, J.; Beach, G.S.; et al. Fast magneto-ionic switching of interface anisotropy using yttria-stabilized zirconia gate oxide. Nano Lett. 2020, 20, 3435–3441. [Google Scholar] [CrossRef] [PubMed]
- Li, H.B.; Lu, N.; Zhang, Q.; Wang, Y.; Feng, D.; Chen, T.; Yang, S.; Duan, Z.; Li, Z.; Shi, Y.; et al. Electric-field control of ferromagnetism through oxygen ion gating. Nat. Commun. 2017, 8, 2156. [Google Scholar] [CrossRef] [PubMed]
- Li, Z.; Zhao, Z.; Shang, X.; Zhang, J.; Cai, L.; Pan, Y.; Li, Q.; Li, H.; Cao, Q.; Li, Q. Electrical control of ON-OFF magnetism and exchange bias via reversible ionic motion. Appl. Phys. Lett. 2022, 120, 082405. [Google Scholar] [CrossRef]
- Chen, X.; Wang, K.Y.; Wu, Z.L.; Jiang, S.L.; Yang, G.; Liu, Y.; Teng, J.; Yu, G.H. Interfacial electronic structure-modulated magnetic anisotropy in Ta/CoFeB/MgO/Ta multilayers. Appl. Phys. Lett. 2014, 105, 092402. [Google Scholar] [CrossRef]
- Chen, X.; Feng, C.; Long Wu, Z.; Yang, F.; Liu, Y.; Jiang, S.; Hua Li, M.; Hua Yu, G. Interfacial oxygen migration and its effect on the magnetic anisotropy in Pt/Co/MgO/Pt films. Appl. Phys. Lett. 2014, 104, 052413. [Google Scholar] [CrossRef]
- Yan, Y.N.; Zhou, X.J.; Li, F.; Cui, B.; Wang, Y.Y.; Wang, G.Y.; Pan, F.; Song, C. Electrical control of Co/Ni magnetism adjacent to gate oxides with low oxygen ion mobility. Appl. Phys. Lett. 2015, 107, 122407. [Google Scholar] [CrossRef]
- Zhu, X.; Zhou, J.; Chen, L.; Guo, S.; Liu, G.; Li, R.W.; Lu, W.D. In situ nanoscale electric field control of magnetism by nanoionics. Adv. Mater. 2016, 28, 7658–7665. [Google Scholar] [CrossRef]
- Zhang, Q.; Luo, X.; Wang, L.; Zhang, L.; Khalid, B.; Gong, J.; Wu, H. Lithium-ion battery cycling for magnetism control. Nano Lett. 2016, 16, 583–587. [Google Scholar] [CrossRef] [PubMed]
- Dasgupta, S.; Das, B.; Li, Q.; Wang, D.; Baby, T.T.; Indris, S.; Knapp, M.; Ehrenberg, H.; Fink, K.; Kruk, R.; et al. Toward on-and-off magnetism: Reversible electrochemistry to control magnetic phase transitions in spinel ferrites. Adv. Funct. Mater. 2016, 26, 7507–7515. [Google Scholar] [CrossRef]
- Tan, A.J.; Huang, M.; Sheffels, S.; Büttner, F.; Kim, S.; Hunt, A.H.; Waluyo, I.; Tuller, H.L.; Beach, G.S.D. Hydration of gadolinium oxide (GdOx) and its effect on voltage-induced Co oxidation in a Pt/Co/GdOx/Au heterostructure. Phys. Rev. Mater. 2019, 3, 064408. [Google Scholar] [CrossRef]
- Tan, A.J.; Huang, M.; Avci, C.O.; Büttner, F.; Mann, M.; Hu, W.; Mazzoli, C.; Wilkins, S.; Tuller, H.L.; Beach, G.S.D. Magneto-ionic control of magnetism using a solid-state proton pump. Nat. Mater. 2019, 18, 35–41. [Google Scholar] [CrossRef] [PubMed]
- Vasala, S.; Jakob, A.; Wissel, K.; Waidha, A.I.; Alff, L.; Clemens, O. Reversible tuning of magnetization in a ferromagnetic Ruddlesden-Popper-type manganite by electrochemical fluoride-ion intercalation. Adv. Electron. Mater. 2020, 6, 1900974. [Google Scholar] [CrossRef]
- De Rojas, J.; Quintana, A.; Lopeandía, A.; Salguero, J.; Muñiz, B.; Ibrahim, F.; Chshiev, M.; Nicolenco, A.; Liedke, M.O.; Butterling, M.; et al. Voltage-driven motion of nitrogen ions: A new paradigm for magneto-ionics. Nat. Commun. 2020, 11, 5871. [Google Scholar] [CrossRef] [PubMed]
- Chen, G.; Mascaraque, A.; Jia, H.; Zimmermann, B.; Robertson, M.; Conte, R.L.; Hoffmann, M.; González Barrio, M.A.; Ding, H.; Wiesendanger, R.; et al. Large Dzyaloshinskii-Moriya interaction induced by chemisorbed oxygen on a ferromagnet surface. Sci. Adv. 2020, 6, eaba4924. [Google Scholar] [CrossRef]
- Chen, G.; Robertson, M.; Hoffmann, M.; Ophus, C.; Fernandes Cauduro, A.L.; Lo Conte, R.; Ding, H.; Wiesendanger, R.; Blügel, S.; Schmid, A.K.; et al. Observation of hydrogen-induced Dzyaloshinskii-Moriya interaction and reversible switching of magnetic chirality. Phys. Rev. X 2021, 11, 021015. [Google Scholar] [CrossRef]
- Leistner, K. Electrochemical approaches to room temperature magnetoelectric materials. Curr. Opin. Electrochem. 2021, 25, 100636. [Google Scholar] [CrossRef]
- De Rojas, J.; Quintana, A.; Rius, G.; Stefani, C.; Domingo, N.; Costa-Krämer, J.L.; Menéndez, E.; Sort, J. Voltage control of magnetism with magneto-ionic approaches: Beyond voltage-driven oxygen ion migration. Appl. Phys. Lett. 2022, 120, 070501. [Google Scholar] [CrossRef]
- Navarro-Senent, C.; Quintana, A.; Menéndez, E.; Pellicer, E.; Sort, J. Electrolyte-gated magnetoelectric actuation: Materials, mechanisms, and prospective applications. APL Mater. 2019, 7, 030701. [Google Scholar] [CrossRef]
- Gu, Y.; Song, C.; Wang, Q.; Hu, W.; Liu, W.; Pan, F.; Zhang, Z. Emerging opportunities for voltage-driven magneto-ionic control in ferroic heterostructures. APL Mater. 2021, 9, 040904. [Google Scholar] [CrossRef]
- Meiklejohn, W.H.; Bean, C.P. New magnetic anisotropy. Phys. Rev. 1956, 102, 1413–1414. [Google Scholar] [CrossRef]
- Dieny, B.; Speriosu, V.S.; Metin, S.; Parkin, S.S.; Gurney, B.A.; Baumgart, P.; Wilhoit, D.R. Magnetotransport properties of magnetically soft spin-valve structures. J. Appl. Phys. 1991, 69, 4774–4779. [Google Scholar] [CrossRef]
- Meiklejohn, W.H.; Bean, C.P. New magnetic anisotropy. Phys. Rev. 1957, 105, 904–913. [Google Scholar] [CrossRef]
- Mauri, D.; Siegmann, H.C.; Bagus, P.S.; Kay, E. Simple model for thin ferromagnetic films exchange coupled to an antiferromagnetic substrate. J. Appl. Phys. 1987, 62, 3047–3049. [Google Scholar] [CrossRef]
- Malozemoff, A.P. Random-field model of exchange anisotropy at rough ferromagnetic-antiferromagnetic interfaces. Phys. Rev. B 1987, 35, 3679–3682. [Google Scholar] [CrossRef]
- Stamps, R.L. Mechanisms for exchange bias. J. Phys. D Appl. Phys. 2000, 33, R247–R268. [Google Scholar] [CrossRef]
- Gilbert, D.A.; Olamit, J.; Dumas, R.K.; Kirby, B.J.; Grutter, A.J.; Maranville, B.B.; Arenholz, E.; Borchers, J.A.; Liu, K. Controllable positive exchange bias via redox-driven oxygen migration. Nat. Commun. 2016, 7, 11050. [Google Scholar] [CrossRef]
- Murray, P.D.; Jensen, C.J.; Quintana, A.; Zhang, J.; Zhang, X.; Grutter, A.J.; Kirby, B.J.; Liu, K. Electrically enhanced exchange bias via solid-state magneto-ionics. ACS Appl. Mater. Interfaces 2021, 13, 38916–38922. [Google Scholar] [CrossRef]
- Jensen, C.J.; Quintana, A.; Sall, M.; Diez, L.H.; Zhang, J.; Zhang, X.; Ravelosona, D.; Liu, K. Ion irradiation and implantation modifications of magneto-ionically induced exchange bias in Gd/NiCoO. J. Magn. Magn. Mater. 2021, 540, 168479. [Google Scholar] [CrossRef]
- Jeong, J.; Aetukuri, N.; Graf, T.; Schladt, T.D.; Samant, M.G.; Parkin, S.S. Suppression of metal-insulator transition in VO2 by electric field-induced oxygen vacancy formation. Science 2013, 339, 1402–1405. [Google Scholar] [CrossRef] [PubMed]
- Cui, B.; Song, C.; Wang, G.; Yan, Y.; Peng, J.; Miao, J.; Mao, H.; Li, F.; Chen, C.; Zeng, F.; et al. Reversible ferromagnetic phase transition in electrode-gated manganites. Adv. Funct. Mater. 2014, 24, 7233–7240. [Google Scholar] [CrossRef]
- Cui, B.; Song, C.; Gehring, G.A.; Li, F.; Wang, G.; Chen, C.; Peng, J.; Mao, H.; Zeng, F.; Pan, F. Electrical manipulation of orbital occupancy and magnetic anisotropy in manganites. Adv. Funct. Mater. 2014, 25, 864–870. [Google Scholar] [CrossRef]
- Cui, B.; Song, C.; Mao, H.; Yan, Y.; Li, F.; Gao, S.; Peng, J.; Zeng, F.; Pan, F. Manipulation of electric field effect by orbital switch. Adv. Funct. Mater. 2015, 26, 753–759. [Google Scholar] [CrossRef]
- Saleem, M.S.; Cui, B.; Song, C.; Sun, Y.; Gu, Y.; Zhang, R.; Fayaz, M.U.; Zhou, X.; Werner, P.; Parkin, S.S.; et al. Electric field control of phase transition and tunable resistive switching in SrFeO2.5. ACS Appl. Mater. Interfaces 2019, 11, 6581–6588. [Google Scholar] [CrossRef]
- Song, J.; Chen, Y.; Chen, X.; Khan, T.; Han, F.; Zhang, J.; Huang, H.; Zhang, H.; Shi, W.; Qi, S.; et al. Electric Tuning of Magnetic Anisotropy and Exchange Bias of La0.8Sr0.2CoO3/La0.67Sr0.33MnO3 Bilayer Films. Phys. Rev. Appl. 2020, 14, 024062. [Google Scholar] [CrossRef]
- Ji, H.; Zhou, G.; Wang, X.; Zhang, J.; Kang, P.; Xu, X. Electric-field reversible switching of the exchange spring and exchange bias effect in SrCoO3-x/La0.7Sr0.3MnO3 heterostructures. ACS Appl. Mater. Interfaces 2021, 13, 15774–15782. [Google Scholar] [CrossRef]
- Zhao, X.W.; Ng, S.M.; Wong, L.W.; Wong, H.F.; Liu, Y.K.; Cheng, W.F.; Mak, C.L.; Zhao, J.; Leung, C.W. Ionic liquid modulation of exchange bias in epitaxial LaMnO3 thin films. Appl. Phys. Lett. 2022, 121, 162406. [Google Scholar] [CrossRef]
- Zhou, X.; Yan, Y.; Jiang, M.; Cui, B.; Pan, F.; Song, C. Role of oxygen ion migration in the electrical control of magnetism in Pt/Co/Ni/HfO2 films. J. Phys. Chem. C 2016, 120, 1633–1639. [Google Scholar] [CrossRef]
- Bednarz, B.; Syskaki, M.A.; Pachat, R.; Prädel, L.; Wortmann, M.; Kuschel, T.; Ono, S.; Kläui, M.; Herrera Diez, L.; Jakob, G. Stabilizing perpendicular magnetic anisotropy with strong exchange bias in PtMn/Co by magneto-ionics. Appl. Phys. Lett. 2024, 124, 232403. [Google Scholar] [CrossRef]
- Lin, Y.; Zeng, F.; Tang, S.; Liu, H.; Chen, C.; Gao, S.; Wang, Y.; Pan, F. Resistive switching mechanisms relating to oxygen vacancies migration in both interfaces in Ti/HfOx/Pt memory devices. J. Appl. Phys. 2013, 113, 064510. [Google Scholar] [CrossRef]
- Ren, S.; Qin, H.; Bu, J.; Zhu, G.; Xie, J.; Hu, J. Coexistence of electric field controlled ferromagnetism and resistive switching for TiO2 film at room temperature. Appl. Phys. Lett. 2015, 107, 062404. [Google Scholar] [CrossRef]
- Bu, J.; Liu, X.; Hao, Y.; Zhou, G.; Cheng, B.; Huang, W.; Xie, J.; Zhang, H.; Qin, H.; Hu, J. Electric field modulated ferromagnetism in ZnO films deposited at room temperature. Appl. Phys. Lett. 2018, 112, 162408. [Google Scholar] [CrossRef]
- Chen, X.; Ma, X.; Yang, Y.; Chen, L.; Xiong, G.; Lian, G.; Yang, Y.; Yang, J. Comprehensive study of the resistance switching in SrTiO3 and Nb-doped SrTiO3. Appl. Phys. Lett. 2011, 98, 122102. [Google Scholar] [CrossRef]
- Pan, F.; Gao, S.; Chen, C.; Song, C.; Zeng, F. Recent progress in resistive random access memories: Materials, switching mechanisms, and performance. Mater. Sci. Eng. R Rep. 2014, 83, 1–59. [Google Scholar] [CrossRef]
- Li, Q.; Yan, S.S.; Xu, J.; Li, S.D.; Zhao, G.X.; Long, Y.Z.; Shen, T.T.; Zhang, K.; Zhang, J. Electrical control of exchange bias via oxygen migration across CoO-ZnO nanocomposite barrier. Appl. Phys. Lett. 2016, 109, 252406. [Google Scholar] [CrossRef]
- Wang, Z.; Sun, Y.; Zhou, X.; Pan, F.; Song, C. Local control of exchange bias by resistive switching. Phys. Status Solidi Rapid Res. Lett. 2018, 12, 1800446. [Google Scholar] [CrossRef]
- Wei, L.; Hu, Z.; Du, G.; Yuan, Y.; Wang, J.; Tu, H.; You, B.; Zhou, S.; Qu, J.; Liu, H.; et al. Full electric control of exchange bias at room temperature by resistive switching. Adv. Mater. 2018, 30, 1801885. [Google Scholar] [CrossRef]
- Yuan, Y.; Qu, J.; Wei, L.; Zheng, R.; Lu, Y.; Liu, R.; Liu, T.; Chen, J.; Luo, L.; Du, G.; et al. Electric control of exchange bias at room temperature by resistive switching via Electrochemical Metallization. ACS Appl. Mater. Inter. 2022, 14, 26941–26948. [Google Scholar] [CrossRef]
- Ji, H.; Wei, J.; Natelson, D. Modulation of the electrical properties of VO2 nanobeams using an ionic liquid as a gating medium. Nano Lett. 2012, 12, 2988–2992. [Google Scholar] [CrossRef]
- Lu, N.; Zhang, P.; Zhang, Q.; Qiao, R.; He, Q.; Li, H.B.; Wang, Y.; Guo, J.; Zhang, D.; Duan, Z.; et al. Electric-field control of tri-state phase transformation with a selective dual-ion switch. Nature 2017, 546, 124–128. [Google Scholar] [CrossRef] [PubMed]
- Zehner, J.; Wolf, D.; Hasan, M.; Huang, M.; Bono, D.; Nielsch, K.; Leistner, K.; Beach, G. Magnetoionic control of perpendicular exchange bias. Phys. Rev. Mater. 2021, 5, L061401. [Google Scholar] [CrossRef]
- Hasan, M.U.; Kossak, A.E.; Beach, G.S. Large exchange bias enhancement and control of ferromagnetic energy landscape by solid-state hydrogen gating. Nat. Commun. 2023, 14, 8510. [Google Scholar] [CrossRef] [PubMed]
- Dasgupta, S.; Das, B.; Knapp, M.; Brand, R.A.; Ehrenberg, H.; Kruk, R.; Hahn, H. Intercalation-driven reversible control of magnetism in bulk ferromagnets. Adv. Mater. 2014, 26, 4639–4644. [Google Scholar] [CrossRef] [PubMed]
- Singh, R.; Witte, R.; Mu, X.; Brezesinski, T.; Hahn, H.; Kruk, R.; Breitung, B. Reversible control of magnetism: On the conversion of hydrated FeF3 with Li to Fe and LiF. J. Mater. Chem. A 2019, 7, 24005–24011. [Google Scholar] [CrossRef]
- Wei, G.; Wei, L.; Wang, D.; Tian, Y.; Chen, Y.; Yan, S.; Mei, L.; Jiao, J. Reversible Control of the Magnetization of Fe3O4 via Lithium Ions. Appl. Phys. Lett. 2017, 110, 062404. [Google Scholar] [CrossRef]
- Mustafa, Z.; Pravarthana, D.; Wang, B.; Yang, H.; Li, R.W. Manipulation of exchange bias effect via all-solid-state Li-ion redox capacitor with antiferromagnetic electrode. Phys. Rev. Appl. 2020, 14, 014062. [Google Scholar] [CrossRef]
- Mustafa, Z.; Jabeen, N.; Hassan, N.U.; Jelani, M.; Muhammad, A.Q.; Sehar, F.; Nasir, N.; Idrees, A.; Hussain, A.; Bajaber, M.A. Realization of room temperature exchange bias effect in Co/NiO bilayer via all-solid-state Li-ion redox capacitor. Ceram. Int. 2023, 49, 2115–2120. [Google Scholar] [CrossRef]
- Islam, M.A.; Zuba, M.; Debiase, V.; Noviasky, N.; Hawley, C.J. High capacity lithium ion batteries composed of cobalt oxide nanoparticle anodes and Raman spectroscopic analysis of nanoparticle strain dynamics in batteries. Nanotechnology 2018, 29, 075403. [Google Scholar] [CrossRef] [PubMed]
- Zhang, F.; Li, Z.; Xia, Q.; Zhang, Q.; Ge, C.; Chen, Y.; Li, X.; Zhang, L.; Wang, K.; Li, H.; et al. Li-ionic control of magnetism through spin capacitance and conversion. Matter 2021, 4, 3605–3620. [Google Scholar] [CrossRef]
- Li, H.; Hu, Z.; Xia, Q.; Zhang, H.; Li, Z.; Wang, H.; Li, X.; Zuo, F.; Zhang, F.; Wang, X.; et al. Operando magnetometry probing the charge storage mechanism of CoO lithium-ion batteries. Adv. Mater. 2021, 33, 2006629. [Google Scholar] [CrossRef] [PubMed]
- Xiao, C.; Wang, H.; Usiskin, R.; van Aken, P.A.; Maier, J. Unification of insertion and supercapacitive storage concepts: Storage profiles in titania. Science 2024, 386, 407–413. [Google Scholar] [CrossRef] [PubMed]
- Reddy, M.A.; Fichtner, M. Batteries based on fluoride shuttle. J. Mater. Chem. 2011, 21, 17059–17062. [Google Scholar] [CrossRef]
- Rongeat, C.; Anji Reddy, M.; Witter, R.; Fichtner, M. Solid electrolytes for fluoride ion batteries: Ionic conductivity in polycrystalline tysonite-type fluorides. ACS Appl. Mater. Inter. 2014, 6, 2103–2110. [Google Scholar] [CrossRef] [PubMed]
- Nowroozi, M.A.; Ivlev, S.; Rohrer, J.; Clemens, O. La2CoO4: A new intercalation based cathode material for fluoride ion batteries with improved cycling stability. J. Mater. Chem. A 2018, 6, 4658–4669. [Google Scholar] [CrossRef]
- Nowroozi, M.A.; Clemens, O. Insights on the behavior of conversion-based anode materials for fluoride ion batteries by testing against an intercalation-based reference cathode. ACS Appl. Energy Mater. 2018, 1, 6626–6637. [Google Scholar] [CrossRef]
- Sen, S.; Gupta, A.; Reddy, V.; Gupta, R. Study of training effect by Kerr microscopy measurement in Fe thin film implanted with F-ions. Phys. B Condens. Matter 2022, 632, 413733. [Google Scholar] [CrossRef]
- De Rojas, J.; Salguero, J.I.N.; Ibrahim, F.; Chshiev, M.; Quintana, A.; Lopeandia, A.; Liedke, M.O.; Butterling, M.; Hirschmann, E.; Wagner, A.; et al. Magneto-ionics in single-layer transition metal nitrides. ACS Appl. Mater. Inter. 2021, 13, 30826–30834. [Google Scholar] [CrossRef]
- Quarterman, P.; Hallsteinsen, I.; Dunz, M.; Meinert, M.; Arenholz, E.; Borchers, J.A.; Grutter, A.J. Effects of field annealing on MnN/CoFeB exchange bias systems. Phys. Rev. Mater. 2019, 3, 064413. [Google Scholar] [CrossRef]
- Jensen, C.J.; Quintana, A.; Quarterman, P.; Grutter, A.J.; Balakrishnan, P.P.; Zhang, H.; Davydov, A.V.; Zhang, X.; Liu, K. Nitrogen-based magneto-ionic manipulation of exchange bias in CoFe/MnN heterostructures. ACS Nano 2023, 17, 6745–6753. [Google Scholar] [CrossRef] [PubMed]
- López-Pintó, N.; Jensen, C.J.; Chen, Z.; Tan, Z.; Ma, Z.; Liedke, M.O.; Butterling, M.; Wagner, A.; Herrero-Martín, J.; Menéndez, E.; et al. Room-Temperature Solid-State Nitrogen-Based Magneto-Ionics in CoxMn1-xN Films. Adv. Funct. Mater. 2024, 34, 2404487. [Google Scholar] [CrossRef]











| System | Ions | T (K) | Response Time | Voltage Range (V) | Change in HEB (Oe) | Reversibility | Ref. | 
|---|---|---|---|---|---|---|---|
| Gd/Ni0.33Co0.67O | O2− | 300 | \(No data) | 20 | 28 | reversible | [52] | 
| Gd/Ni0.33Co0.67O | O2−, He+ | 300 | \ | \ | \ | irreversible | [53] | 
| SrFeO2.5/La0.7Sr0.3MnO3 | O2− | 10 | 45 min | −2~+0.7 | 135 | reversible | [58] | 
| La0.8Sr0.2CoO3/La0.67Sr0.33MnO3 | O2− | 5 | 1~5 min | −2.7~+3 | 203/555 | reversible | [59] | 
| SrCoO3−x/La0.7Sr0.3MnO3 | O2− | 5 | 0.5 h/2 h | ±2 | \ | reversible | [60] | 
| Pt/[Co/Ni]N/HfO2 | O2− | 10 | 10~60 min | −3.5~+4 | 538 | reversible | [62] | 
| Ta/Pt/PtMn/Co/HfO2 | O2− | 300 | 5 min/10 min | −2.7~+3.7 | \ | reversible | [63] | 
| Co/CoO-ZnO/Ag | O2− | 5 | \ | ±1 | 503 | reversible | [69] | 
| Co/CoOx/HfOx/Pt | O2− | 10 | \ | −1.3~+3.3 | \ | reversible | [70] | 
| Pt/Co/NiO/Pt | O2− | 300 | 105s (keep) | 1.4~4.3 | 19.1 | reversible | [71] | 
| Ag/MZO/Pt/FeMn/Co/ITO | O2− | 300 | 104s (keep) | ±1 | 15 | reversible | [72] | 
| NiO/Pd/Co/Pd/GdOx/Au | H+ | 300 | 0~176 s | 3 | 68 | reversible | [75] | 
| Co/Co0.8Ni0.2O | H+ | 300 | <1 ms | 0~14 | 38 | reversible | [76] | 
| Li/LiPF6/CoO/Co/Cu | Li+ | 5 | 80~180 min | 0~3 | 670.1 | reversible | [28] | 
| LiCoO2/LICGC/Co3O4/Co | Li+ | 10 | \ | 0.03~1.6 | 249 | reversible | [80] | 
| LiCoO2/LICGC/NiO/Co | Li+ | 300 | \ | 0.03~2.3 | 20 | reversible | [81] | 
| Si/Al/Fe/Fe57/Fe | F− | 300 | \ | \ | 48.3 | irreversible | [90] | 
| Ta/MnN/Co0.7Fe0.3/Ta | N3− | 300/10 | 1 h | 20 | 285/28 | reversible | [93] | 
| Ta/CoxMn1−xN/Ta | N3− | 10 | 1 h | 20 | 670 | reversible | [94] | 
| Disclaimer/Publisher’s Note: The statements, opinions and data contained in all publications are solely those of the individual author(s) and contributor(s) and not of MDPI and/or the editor(s). MDPI and/or the editor(s) disclaim responsibility for any injury to people or property resulting from any ideas, methods, instructions or products referred to in the content. | 
© 2025 by the authors. Licensee MDPI, Basel, Switzerland. This article is an open access article distributed under the terms and conditions of the Creative Commons Attribution (CC BY) license (https://creativecommons.org/licenses/by/4.0/).
Share and Cite
Luo, Y.; Liu, S.; Li, Y.; Wang, Z.; Zhang, J.; Zheng, L. Voltage Control of Exchange Bias via Magneto-Ionic Approaches. Crystals 2025, 15, 77. https://doi.org/10.3390/cryst15010077
Luo Y, Liu S, Li Y, Wang Z, Zhang J, Zheng L. Voltage Control of Exchange Bias via Magneto-Ionic Approaches. Crystals. 2025; 15(1):77. https://doi.org/10.3390/cryst15010077
Chicago/Turabian StyleLuo, Yifu, Shengsheng Liu, Yuxin Li, Zhen Wang, Jie Zhang, and Limei Zheng. 2025. "Voltage Control of Exchange Bias via Magneto-Ionic Approaches" Crystals 15, no. 1: 77. https://doi.org/10.3390/cryst15010077
APA StyleLuo, Y., Liu, S., Li, Y., Wang, Z., Zhang, J., & Zheng, L. (2025). Voltage Control of Exchange Bias via Magneto-Ionic Approaches. Crystals, 15(1), 77. https://doi.org/10.3390/cryst15010077
 
        


 
       