Abstract
Isothermal constant-strain-rate compression experiments of S280 ultrahigh-strength stainless steel were conducted at 800–1150 °C, 0.001–10 s−1, and 70% height reduction. The flow stress behaviors were analyzed based on the compression data. The strain compensation Arrhenius constitutive relation, multiple linear regression constitutive relation, and back-propagation (BP) neural network constitutive relation of this alloy were established for the first time. The S280 ultrahigh-strength stainless steel is characterized by a positive strain rate and negative temperature sensitivity. Its flow stress at high temperature (1000–1150 °C) and low temperature (800–950 °C) is generally at the steady state and the softening state, respectively. The three new flow stress constitutive relations all meet the requirements for engineering applications in terms of predictive precision. The BP neural network constitutive relation shows the highest predictive precision, with correlation coefficient R of 0.999 and average absolute relative error AARE of 1.04%. The strain compensation Arrhenius constitutive relation shows the lowest predictive precision, with R of 0.994 and AARE of 14.748%. The multiple linear regression constitutive relation shows the modest predictive precision, with R of 0.994 and AARE of 6.24%.
1. Introduction
Ultrahigh-strength steels characterized by high strength, high tenacity, high fatigue strength, and low gap sensitivity are widely applied in aerospace, ocean engineering, and other equipment manufacture fields, including rocket engine shells, aircraft landing gears, and wing crossbeams [1,2,3]. The novel S280 ultrahigh-strength stainless steel has tensile strength over 1930 MPa and fracture toughness over 90 MPa·m1/2. This stainless steel also has higher corrosion resistance than other 300-M steels of the same type [4,5]. So far, the existing research on S280 ultrahigh-strength stainless steel is focused on the effects of heat treatment on microstructures and mechanical properties [6], pit erosion behaviors [7], passivation processes [8], and shot peening reinforcement [9]. The S280 ultrahigh-strength stainless steel is a main force-bearing part, and one of its major processing and forming methods is forging. However, there is little research on the thermal deformation behaviors of S280 ultrahigh-strength stainless steel. Liu et al. [10] studied the dynamic recrystallization (DRX) critical conditions of the S280 ultrahigh-strength stainless steel by using the work hardening rate and established a DRX critical strain model and a relational model between peak stress and critical stress of this alloy. Zhang et al. [11] tested the thermal deformation behaviors of S280 ultrahigh-strength stainless steel by using response surface method (RSM), built the RSM models of thermal deformation activation energy, Z parameter, and strain rate sensitivity index, and optimized the thermal processing process parameters. The flow stress constitutive relation is a key aspect of the research on thermal deformation behaviors. Generally, physical metallurgic phenomena including complex work hardening, dynamic recovery, and DRX will occur during thermal deformation, which further complicate the plastic flow behaviors during thermal deformation [12,13]. Thermal deformation process parameters including temperature, deformation ratio, and strain significantly affect the physical metallurgic behaviors during deformation, but different physical metallurgical behaviors in turn affect the plastic flow behaviors. Thus, there are certain nonlinear relations between the thermal deformation process parameters and plastic flow behaviors that can be characterized by flow stress constitutive relations [12,14]. Since flow stress reflects the plastic processing ability of alloys, modeling alloy flow stress constitutive relations is very important, which will guide reasonable formulation of an alloy material hot-stamping process as well as excavation of alloy material plastic deformability.
Currently, the main flow stress constitutive relational models include phenomenological constitutive models, mathematical statistics analysis constitutive models, neural network constitutive models, and physics-based constitutive models [12,14,15,16]. Wang et al. [17] studied the thermal deformation behaviors of 30CrMnSiNi2A low-alloy ultrahigh-strength steels under different deformation conditions, and established Arrhenius models and physical models of flow stress constitutive relations. The predicted data of these two models were both consistent with the experimental data, so these two models can well characterize the thermal deformation behaviors of the tested steel. Ren et al. [18] explored the flow stress behaviors of A100 steel in thermal deformation, analyzed the effects of friction and temperature rise on flow stress, and built an Arrhenius constitutive equation based on the modified data of friction and temperature rise. The flow stress constitutive relation can accurately predict the flow stress of the tested steel under different strains. Lei et al. [19] built a high-precision flow stress constitutive relation of forged Ti6242s titanium alloy by using thermal simulation compression experimental data and artificial neural networks. The flow stress constitutive relation was precise in the whole range of deformation conditions, and because of high generalization ability, can very precisely predict the flow stress outside the ranges of tested deformation parameters. So far, the flow stress constitutive relation of S280 ultrahigh-strength stainless steel has rarely been reported.
Herein, based on the data of isothermal constant-strain-rate compression experiments at 800–1150 °C and 0.001–10 s−1, we studied the flow stress constitutive relation of the S280 ultrahigh-strength stainless steel for the first time. The flow stress constitutive relations of the S280 ultrahigh-strength stainless steel were built on the basis of the strain compensation Arrhenius constitutive model, the multiple linear regression constitutive model, and the back-propagation (BP) neural network constitutive model. Then, the prediction precision was evaluated and compared among the three models. The flow stress constitutive relations as-established can theoretically guide the thermoforming process design of the S280 ultrahigh-strength stainless steel and provide basic data for finite element numerical simulation of this stainless steel during thermal deformation.
2. Materials and Methods
The main chemical composition of the S280 steel was 0.10C-12.0Cr-13.0Co-4.5Mo-3.0Ni-1.0W-0.15V-balance Fe, wt.%. Its material processing state was as follows: cast ingot → forging at 1050 °C → normalizing at 1080 °C + annealing at 680 °C. The material was processed into cylinder compression specimens (Φ8 mm × 12 mm). The required precision of specimen processing was shown in Figure 1. The isothermal constant-strain-rate compression experiments of the specimens were conducted on a Thermecmaster-Z thermal simulator (Fuji Kiko Co., Ltd., Shizuoka, Japan). Before compression, the end-face of each specimen was pasted with a mica sheet containing a high-temperature lubricant, which will decrease friction and high-temperature adhesion on the contact surface between the specimen and the indenter during compression. Thus, the non-uniformity of specimens after deformation was decreased. The deformation temperatures were 800, 850, 900, 950, 1000, 1050, 1100, and 1150 °C. The strain rates were 0.001, 0.01, 0.1, 1, and 10 s−1. The height reduction ratio was 70%, and the corresponding true strain was 1.2. The conversion relationship between engineering strain and true strain is shown in Equation (1).
where is the true strain and is the engineering strain. The specimens were heated at 5 °C/s to the predetermined deformation temperature, and after heat preservation for 5 min, were compressed at the specific strain rate. Data of flow stress and true strain under different hot compression parameters were acquired using the exclusive data acquisition software equipped in the thermal simulation machine.
Figure 1.
Dimension and processing precision of compression specimens.
3. Results
3.1. Ture Stress-Strain Curve
Figure 2 shows the true stress-strain curves of the S280 ultrahigh-strength stainless steel at different deformation conditions. At early deformation, abundant dislocation sources under external action sequentially moved, so the dislocation density rapidly increased, and the dislocations intertwined. As a result, the deformation resistance was quickly enhanced, forming evident work hardening and making the flow stress increase with the rise of strain. The peak stress appeared when the strain rose to a certain level [20,21]. As the strain further increased, the flow stresses at different deformation temperatures showed two different flow characteristics. At high deformation temperature (1000–1150 °C) and different strain rates, the true stress-strain curves were roughly characteristic of steady-state flow. It was indicated the work hardening effect at this moment was roughly offset by the softening effect, and the main softening mechanisms were dynamic recovery and DRX [10,22,23]. At low deformation temperature (800–950 °C) and different strain rates, the true stress-strain curves were roughly characteristic of flow softening. It was suggested the softening effect at this moment surpassed the work hardening effect, and the main softening mechanisms were dynamic recovery and DRX [24,25].
Figure 2.
True stress-strain curves of the S280 ultrahigh-strength stainless steel at different deformation conditions: (a) 0.001 s−1; (b) 0.01 s−1; (c) 0.1 s−1; (d) 1 s−1; (e) 10 s−1.
At a certain strain rate, the flow stress decreased with the rise of deformation temperature (Figure 2), indicating the S280 ultrahigh-strength stainless steel was a negative temperature-sensitive material. This was mainly because when the deformation temperature rose, the thermal activation of the S280 ultrahigh-strength stainless steel was gradually enhanced, and the cavity atom diffusion per unit time was accelerated, leading to lower inter-atom bonding force, and smaller critical shear stress needed by slip. Moreover, the dislocation motion and intercrystal slip occurred more easily, leading to a decrease in flow stress [26]. At a certain deformation temperature, the flow stress increased with the rise of strain rate (Figure 2a,e), indicating the S280 ultrahigh-strength stainless steel is a normal-strain-rate-sensitive material. This was mainly because when the strain rate rose, the dislocation proliferation rate per unit time was accelerated, and the dislocation motion resistance was enhanced. Thus, extra external force was needed for further deformation, so the flow stress increased. Moreover, as the strain rate increased, the plastic deformation time was shortened, so the softening was insufficient, and the work hardening was relatively enhanced, leading to an increase in flow stress [27,28].
3.2. Arrhenius Constitutive Relation Based on Strain Compensation
The Arrhenius constitutive model proposed by Sellars et al. [29,30] has been successfully used to study the flow stress constitutive relations of various materials [20,31,32,33]. The Arrhenius constitutive model is expressed as follows:
The Arrhenius constitutive model is usually expressed in three forms:
where is the strain rate (s−1); is the flow stress (MPa); Q is the thermal deformation activation energy (kJ/mol); R is the universal gas constant (8.31 J·mol−1·K−1); T is the deformation temperature (K); β, n1, n, A1, A2, A and α are material-related constants (α = β/n1).
Equations (2)–(4) are the exponential equation, power function, and double-convolution sinusoidal equation of the Arrhenius constitutive model, respectively. The exponential equation and power function are suitable for flow stress modeling at low stress (ασ < 0.8) and high stress (ασ > 1.2), respectively. The double-convolution sinusoidal equation adapts well to varying stress levels and can characterize the flow stress modeling under full strain.
Natural logarithm of both sides of Equations (2)–(4) yields the following:
Equations (5)–(7) indicate the following:
Zener et al. [34] thought the combined influence of deformation temperature and strain rate on thermal deformation behaviors can be characterized by parameter Z. Z is expressed as follows:
Equations (4) and (12) suggest
Using the hot compression data of the S280 ultrahigh-strength stainless steel at true strain of 0.1 as an example, the material parameters in the Arrhenius constitutive model were solved successively. Based on the data of hot compression at true strain of 0.1, the scatter diagram of the relationship between - and ln- can be plotted (Figure 3a,b). The scattered points at different temperatures were linearly fitted using the least square method, and the slope of the fitting straight line was determined. Based on Equations (8) and (9), the average values of straight line slopes in Figure 3a,b were β and n1. From this, it can be determined that β = 0.0763, n1 = 5.399, so α = 0.0055. Similarly, based on the data of hot compression at true strain of 0.1, the scatter diagrams of ln- at different temperatures and of - at different strain rates can be plotted (Figure 3c,d). The scattered points in Figure 3c,d were linearly fitted using the least square method, and the slopes of the fitted straight lines were determined. Based on Equation (10), the average values of straight-line slopes in Figure 3d were n. From this, it can be determined that n = 6.782. The average value of straight-line slopes in Figure 3d as well as n were substituted into Equation (11). Then, the thermal deformation activation energy Q at true strain of 0.1 was determined to be 597.9 KJ/mol.
Figure 3.
Scatter diagrams and linear fitting of (a) -; (b) ln-; (c) -; (d) -1000/.
Based on the Q-value and the data of hot compression at true strain of 0.1, the scatter diagrams between lnZ- from Equations (12) and (13) were plotted in Figure 4. The scattered points in Figure 4 were linearly fitted, yielding lnA = 54.53.
Figure 4.
Scatter diagrams and linear fitting of lnZ-.
After the α, n, Q, and A as-determined were substituted to Equation (4), we acquired the Arrhenius constitutive relation of the S280 ultrahigh-strength stainless steel at true strain of 0.1:
The above constitutive relation was only used to predict the flow stress at the true strain of 0.1. To predict the flow stress at different deformation temperatures, strain rates and true strains, we used the above parameter-determining method at the strain of 0.1, and thereby solved the parameters α, n, Q and lnA at other true strains (Table 1). The parameters in Table 1 were used with the true strains into polynomial fitting for 2–10 times. Results showed the eigh-time polynomial fitting regression had the highest precision, and the corresponding fitted curve was shown in Figure 5. Relevant fitting functions were expressed in Equations (15)–(18):
Table 1.
Parameters , , , and ln at different true strains.
Figure 5.
Parameters α, n, Q, lnA, and true strain in eight-time polynomial fitting: (a) α-; (b) Q-; (c) n-; (d) -.
Then Equations (15)–(18) were substituted to Equation (4), and together with the expression of parameter Z (Equation (12)), the flow stress Arrhenius constitutive relation based on strain compensation can be determined:
Figure 6 shows a comparison between the predicted data from the strain compensation Arrhenius constitutive relation (19) and the experimental data. At the highest temperature of 1150 °C, the predicted data and experimental data of flow stress at different strain rates were largely different. At other temperatures, the differences between the predicted data and experimental data were small at low strain rate (0.001, 0.01, 0.1 s−1), but were large at high strain rates (1, 10 s−1). These results indicate the Arrhenius constitutive model based on strain compensation is incapable in predicting the flow behaviors of the S280 ultrahigh-strength stainless steel.
Figure 6.
Comparison between predicted data from the Arrhenius constitutive relation and experimental data. (a) 1150 °C, (b) 1100 °C, (c) 1050 °C, (d) 1000 °C, (e) 950 °C, (f) 900 °C, (g) 850 °C, (h) 800 °C.
3.3. Multiple Linear Regression Constitutive Relation
Among all mathematical statistics analytical models, the multiple linear regression constitutive model based on stepwise regression is most commonly used in research on constitutive relations of materials [35]. We aim to improve the ability of the multiple linear regression constitutive model in predicting the flow stress of the S280 ultrahigh-strength stainless steel. However, the softening mechanism of flow stress is dominated by dynamic recovery at low temperature, and by DRX at high temperature. Thus, the whole deformation temperature range was divided into two segments: 800–1000 and 1000–1150 °C, and thereby the multiple linear regression constitutive relations of the flow stress of the S280 ultrahigh-strength stainless steel were established.
The deformation temperature, strain rate, and strain that affect flow stress were randomly combined into different independent variables. Then, the data of true stress-strain of the S280 ultrahigh-strength stainless steel acquired from the hot compression experiments were substituted into the independent variables. Data were analyzed using SPSS. After screening the analytical results, the optimal independent variable and regression coefficient of the model can be determined. The multiple linear regression constitutive relations of the S280 ultrahigh-strength stainless steel optimized at 800–1000 °C and 1000–1150 °C were shown in Equations (20) and (21), respectively:
Table 2.
Values of coefficients in Equation (20).
Table 3.
Values of coefficients in Equation (21).
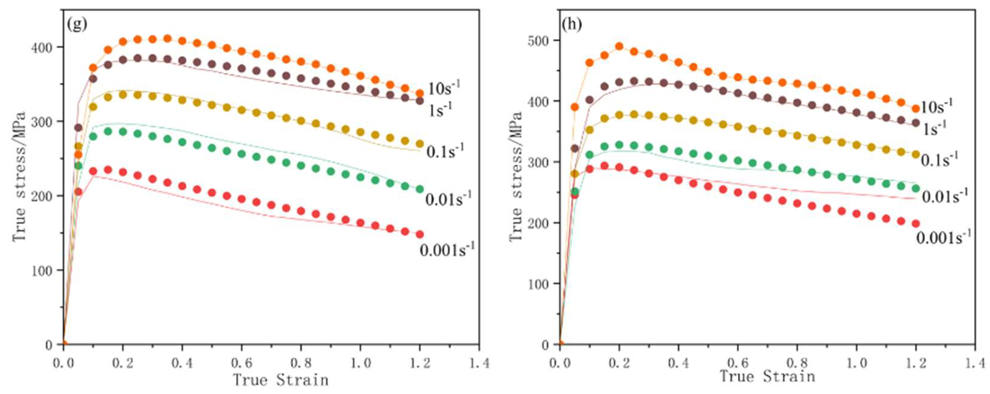
Figure 7 compares the predicted data from the multiple linear regression constitutive relation under different deformation conditions and the experimental data. The differences between the predicted data and experimental data were small at all strain rates, except for the strain rate of 0.001 s−1. These results indicate the constitutive relation based on linear regression is capable of predicting the flow behaviors of the S280 ultrahigh-strength stainless steel.

Figure 7.
Comparison between predicted data from the multiple linear regression constitutive relation and experimental data. (a) 1150 °C, (b) 1100 °C, (c) 1050 °C, (d) 1000 °C, (e) 950 °C, (g) 850 °C, (h) 800 °C.
3.4. BP Neural Network Constitutive Relation
The artificial neural network constitutive model is also successfully used to build flow stress constitutive models of various materials [36,37,38]. Herein, the widely used BP neural network was used to build the constitutive relation of the S280 ultrahigh-strength stainless steel. The BP neural network has high adaptability and learning ability, and can be used to build nonlinear, multifactor complex models [39,40]. BP neural networks are not restricted to a fixed mathematical model, and errors can be lowered by continually amending the chaos model using the data, and thereby, the prediction precision of unknown target value can be improved [41]. Specifically, through learning based on the inputted training samples, the errors between the actual values of the training samples and the network predicted values are back-propagated, so as to find the optimal threshold and weight of the network and to improve the prediction precision of the target value.
The BP neural network consists of an input layer, a hidden layer, and an output layer (Figure 8). The input layer involves the three deformation conditions (deformation temperature, strain rate, strain) of the S280 ultrahigh-strength stainless steel as the neurons. The output layer has a single output-flow stress. The number of neurons in the hidden layer is determined using Equation (22) [42]:
where D is the number of neurons in the hidden layer; f is the number of neurons in the input layer (f = 3); g is the number of neurons in the output layer (g = 1); h is a constant (h ∈ [1,10]). Generally, the number of nodes in the hidden layer largely affects the network performance. When the number of nodes is too large, the network training time will be prolonged, and over-fitting easily occurs during the training. Otherwise, if the number of nodes is too small, the neuron training time is deficient, which weakens the predictive ability of the BP neural network model. After repeated operations, 11 nodes were preferred in the hidden layer of the BP neural network.
Figure 8.
Schematic diagram of the BP neural network.
To ensure the BP neural network had outstanding predictive ability, we determined the optimal training function, activation function, and learning function. Based on the self-compiled program codes of the BP algorithm, we used the trial and error method as well as error analysis and determined the training function was the trainlm function of Levenberg-Marquardt algorithm, and the activation function from the input layer to the hidden layer was sigmoid function, the activation function from the hidden layer to the output layer was purelin function, and the learning function was leardgdm function. The data of true stress-strain of the S280 ultrahigh-strength stainless steel acquired from hot compression experiments were used as the total samples, which were divided into a training set (50%) and a testing set. The sample division was listed in Table 4. Before the BP nerve network training, all inputted or outputted samples were normalized to the range [0, 1]. Relevant function was expressed in Equation (23) [43]:
where is the normalized data; X is the data before normalization; Xmax is the maximum value in the data; Xmin is the minimum value in the data.
Table 4.
Division of sampled data in the BP neural network (C is the training samples; T is the testing samples).
Since the learning rate is the key for the whole modeling, we set the learning rate at 0.01. The target of training errors was set at 10−5, and the step number was 3000.
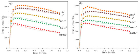
With the above procedures, the data of compression experiments were substituted to determine the BP neural network constitutive relation of the S280 ultrahigh-strength stainless steel. Figure 9 compares the predicted data from the BP neural network constitutive relation and the experimental data. Under all deformation conditions, the predicted data from the BP neural network constitutive relation are highly consistent with the experimental data (Figure 9), indicating this BP neural network constitutive relation can well predict the flow behaviors of the S280 ultrahigh-strength stainless steel.

Figure 9.
Comparison between the predicted data from the BP neural network constitutive relation and the experimental data: (a) 0.001 s−1; (b) 0.01 s−1; (c) 0.1 s−1; (d) 1 s−1; (e) 10 s−1.
3.5. Precision Evaluation of Constitutive Relations
The strain compensation Arrhenius constitutive relation, multiple linear regression constitutive relation, and BP neural network constitutive relation of the S280 ultrahigh-strength stainless steel were established above. Qualitative comparison between the predicted data and experimental data for the three constitutive relations shows that the BP neural network constitutive relation has the best predictive ability and the Arrhenius constitutive relation has the worst predictive ability, with the multiple linear regression constitutive relation in between.
To more accurately describe the predictive abilities of the three constitutive relations over the flow behaviors of the S280 ultrahigh-strength stainless steel, we introduced correlation coefficient R and average absolute relative error AARE from statistics to further quantitatively evaluate the prediction precision of the three constitutive relations [44,45]:
where is the ith experimental data; E is the average value of the experimental data; Pi is the predicted value from the ith model; P is the average value of predicted data from the model; is the total amount of data.
The predicted data from each constitutive relation and the experimental data were substituted to Equations (24) and (25). The R and AARE of the strain compensation Arrhenius constitutive relation are 0.994 and 14.748%, respectively. The R and AARE of the multiple linear regression constitutive relation are 0.996 and 3.396%, respectively, at 800–1000 °C, 0.991 and 9.090%, respectively, at 1000–1150 °C, and 0.994 and 6.24%, respectively, in the whole temperature range (800–1150 °C). The R and AARE of the BP neural network constitutive relation are 0.999 and 1.04%, respectively. These results further indicate the BP neural network constitutive relation has the highest predictive precision over the flow stress of the S280 ultrahigh-strength stainless steel, followed successively by the multiple linear regression constitutive relation and the Arrhenius constitutive relation.
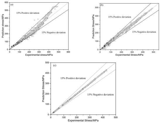
Figure 10 shows the correlations between the predicted data from the three constitutive relations and the experimental data. The proportion in which the errors between the predicted data (from the strain compensation Arrhenius constitutive relation, multiple linear regression constitutive relation, BP neural network constitutive relation) and the experimental data are within ±15% is 94.80%, 98.99% and 99.99%, respectively. This also suggests the rank of precision among the three constitutive relations in predicting the flow stress of the S280 ultrahigh-strength stainless steel.
Figure 10.
Correlations between the predicted data from the three constitutive relations and the experimental data: (a) strain compensation Arrhenius constitutive relation; (b) multiple linear regression constitutive relation; (c) BP neural network constitutive relation.
The AARE of the strain compensation Arrhenius constitutive relation in predicting the flow stress of S280 ultrahigh-strength stainless steel is up to 14.748%, but is still within 15%, indicating its predictive precision is yet within the acceptable range of errors in engineering applications [46]. Lin et al. [47] built the constitutive relation of 42CrMo steel at 800–1150 °C and 0.01–50 s−1 based on the strain compensation Arrhenius constitutive model, and found the prediction errors were large at 0.01 and 50 s−1 but were small at 1 s−1. Wu [46] established the constitutive relation of the Laves-phase NbCr2/Nb two-phase alloy at 1000–1200 °C and 0.1–0.001 s−1 based on the strain compensation Arrhenius constitutive model, and found the AARE was up to 13.859%. Pilehva et al. [48] established the constitutive relation of the Ti-6Al-7Nb alloy at 850–1000 °C and 0.0025–0.25 s−1 based on the strain compensation Arrhenius constitutive model, and found the AARE was only 5.5869%, which indicates high predictive precision. Long et al. [49] built the constitutive relation of the Ti-6Cr-5Mo-5V-4Al alloy at 690–840 °C and 0.001–1 s−1 based on the strain compensation Arrhenius constitutive model, and found the AARE was only 4.1397%, which also indicates high predictive precision. The above studies suggest the flow stress predicting precision of the constitutive relations based on the strain compensation Arrhenius constitutive model may be related to the alloy type, initial organization, deformation process conditions, and the deformation mechanisms.
4. Conclusions
- (1)
- The S280 ultrahigh-strength stainless steel at 800–1150 °C and 0.001–10 s−1 is a negative temperature-sensitive material with positive strain rate, and its flow stress increases with the rise of strain rate and the decline of deformation temperature. Its flow stress is basically in the steady state at high temperature (1000–1150 °C), but is in the flow softening stage at low temperature (800–950 °C).
- (2)
- The flow stress constitutive relations of the S280 ultrahigh-strength stainless steel were built based on the strain compensation Arrhenius constitutive model, the multiple linear regression constitutive model and the BP neural network constitutive model. The BP neural network constitutive relation shows the highest predictive precision, with correlation coefficient R of 0.999 and average absolute relative error AARE of 1.04%. The strain compensation Arrhenius constitutive relation shows the lowest predictive precision, with R of 0.994 and AARE of 14.748%. The multiple linear regression constitutive relation shows the modest predictive precision, with R of 0.994 and AARE of 6.24%.
- (3)
- The AARE of the strain compensation Arrhenius constitutive relation is up to 14.748%, but is still within the acceptable range of errors in engineering applications. Besides, the Arrhenius constitutive relation and the multiple linear regression constitutive relation directly present the relations between flow stress and process parameters and thus are convenient. Though the BP neural network constitutive relation has high predictive precision, it hides the relations between flow stress and process parameters, and thus is inconvenient. In practice, the suitable model can be chosen according to the required precision and the use convenience.
- (4)
- The three flow stress constitutive relations theoretically guide the thermoforming process design of the S280 ultrahigh-strength stainless steel, and provide basic data for finite element numerical simulation of this stainless steel during thermal deformation.
Author Contributions
Conceptualization, M.L. and X.X.; methodology, M.L.; software, M.L.; validation, M.L., Y.T. and Y.X.; formal analysis, K.W.; investigation, S.L.; resources, X.X.; data curation, M.L.; writing—original draft preparation, M.L.; writing—review and editing, X.X.; visualization, Y.T.; supervision, Y.X.; project administration, K.W.; funding acquisition, S.L. All authors have read and agreed to the published version of the manuscript.
Funding
This research received no external funding.
Data Availability Statement
Data is contained within the article.
Conflicts of Interest
The authors declare no conflict of interest.
References
- Liu, Z.B.; Liang, J.X.; Su, J.; Wang, X.H.; Sun, Y.Q.; Wang, C.J.; Yang, Z.Y. Research and application progress in ultra-high strength stainless steel. Acta Metall. Sin. 2020, 56, 549–557. [Google Scholar] [CrossRef]
- Niu, Y.E.; Zhao, P.P.; Li, N.; Song, J. Research status and application of ultra-high strength steel at home and abroad. J. Ord. Eq. Eng. 2021, 42, 274–279. [Google Scholar] [CrossRef]
- Wang, X.H.; Luo, H.W. Research and application progress in ultra-high strength stainless steel for aircraft landing gear. J. Mater. Eng. 2019, 47, 1–12. Available online: https://jme.biam.ac.cn/CN/10.11868/j.issn.1001-4381.2019.000122 (accessed on 10 August 2024).
- Zhong, P.; Zhang, Y.Q.; Zhong, J.Y.; Liu, M.T.; Xiao, K. A new type of structural material S280. Sci. Technol. Rev. 2015, 33, 59–62. [Google Scholar] [CrossRef]
- Zhong, J.Y.; Zhang, Y.Q.; Han, Y.F. New phase precipitated from the new type of ultrahigh strength stainless steel S280. Rare. Metal. Mat. Eng. 2019, 48, 116–122. [Google Scholar] [CrossRef]
- Zhong, J.Y.; Chen, Z.; Yang, S.L.; Li, S.M.; Liu, J.H.; Yu, M. Effect of solution and aging temperatures on microstructure and mechanical properties of 10Cr13Co13Mo5Ni3W1VE (S280) steel. Micromachines 2021, 12, 566. [Google Scholar] [CrossRef] [PubMed]
- Zhong, J.Y.; Mao, F.X.; Ghanbari, E.; Macdonald, D.D. Passivity breakdown on 300 M and S280 ultra-high strength steels in borate buffer solutions containing chloride ion. Electrochim. Acta 2017, 251, 324–335. [Google Scholar] [CrossRef]
- Zhan, Z.W.; Sun, Z.H.; Tang, Z.H. Effect of chemical passivation on properities of S280 ultra high-strength stainless steel. Corros. Prot. 2015, 36, 742–758. Available online: https://www.cnki.com.cn/Article/CJFDTotal-FSYF201508012.htm (accessed on 10 August 2024).
- Tian, S.; Liu, P.G. Influence of shot peening on fatigue behavior of S280 ultrahigh strengh stainless steel. J. Mater. Prot. 2013, 46, 16–18. [Google Scholar]
- Liu, M.T.; Tian, Y.; Wang, Y.; Wang, K.L.; Zhang, K.M.; Lu, S.Q. Critical conditions for dynamic recrystallization of S280 ultra-high-strength stainless steel based on work hardening rate. Metals 2022, 12, 1123. [Google Scholar] [CrossRef]
- Zhang, K.M.; Wang, K.L.; Lu, S.Q.; Liu, M.T.; Zhong, P.; Tian, Y. Thermal deformation behaviors of S280 ultrahigh strength stainless steel based on response surface methodology. Acta Aeronaut. Astronaut. Sin. 2023, 44, 427293. Available online: https://www.zhangqiaokeyan.com/academic-journal-cn_acta-aeronautica-astronautica-sinica_thesis/02012104936147.html (accessed on 10 August 2024).
- Lu, C.Y.; Shi, J.; Wang, J. Physically based constitutive modeling for Ti17 alloy with original basketweave microstructure in β forging: A comparison of three approaches. Mater. Charact. 2021, 181, 111455. [Google Scholar] [CrossRef]
- Chen, M.S.; Lin, Y.C.; Ma, X.S. The kinetics of dynamic recrystallization of 42CrMo steel. Mater. Sci. Eng. A. 2012, 556, 260–266. [Google Scholar] [CrossRef]
- Lin, Y.C.; Chen, X.M. A critical review of experimental results and constitutive descriptions for metals and alloys in hot working. Mater. Des. 2011, 32, 1733–1759. [Google Scholar] [CrossRef]
- Yuan, K.B.; Yao, X.H.; Wang, R.F.; Mo, Y.H. A Review on rate-temperature coupling response and dynamic constitutive relation of metallic materials. Explos. Shock. Waves 2022, 42, 1–37. Available online: https://www.nstl.gov.cn/paper_detail.html?id=9a9fe2b2b0ef68522c4d0e78cddcc652 (accessed on 10 August 2024).
- Zhang, B.; Yue, L.; Chen, H.F.; Zhang, Z.J.; Liu, P.R.; Zhao, F.F. Hot Deformation behavior of as-cast GH4169 alloy and comparison of three constitutive models. Rare Metal Mat. Eng. 2021, 50, 212–222. Available online: http://www.rmme.ac.cn/rmme/article/abstract/20200086 (accessed on 10 August 2024).
- Wang, K.; Wen, D.X.; Li, J.J.; Zheng, Z.Z.; Xiong, Y.B. Hot deformation behaviors of low-alloyed ultrahigh strength steel 30CrMnSiNi2A: Microstructure evolution and constitutive modeling. Mater. Today Commun. 2021, 26, 102009. [Google Scholar] [CrossRef]
- Ren, S.J.; Luo, F.; Tian, Y.; Liu, D.B.; Wang, K.L.; Lu, S.Q. Flow stress curve correction and phenomenological constitutive relationship of A100 ultra-high strength Steel. J. Mater. Eng. 2019, 47, 144–151. [Google Scholar] [CrossRef]
- Lei, J.W.; Xue, X.Y.; Zhang, S.Y.; Ren, Y.; Wang, K.X.; Xin, S.W.; Li, Q. High-precision constitutive model of Ti6242s alloy hot deformation based on artificial neural network. Rare Met. Mater. Eng. 2021, 50, 2025–2032. [Google Scholar] [CrossRef]
- Lu, C.Y.; Wang, J.; Zhang, P.Z. Flow behavior analysis and flow stress modeling of Ti17 alloy in β forging process. J. Mater. Eng. Perform. 2021, 30, 7668–7681. [Google Scholar] [CrossRef]
- Wang, R.; Zhang, W.; Li, Y.H.; Li, D.Z.; Kang, Y.; Yang, X.M.; Eckert, J.; Yan, Z.J. Stress-strain behavior and microstructural evolution of ultra-high carbon Fe-C-Cr-V-Mo steel subjected to hot deformation. Mater. Charact. 2021, 171, 110746. [Google Scholar] [CrossRef]
- Moon, J.; Jo, H.H.; Ha, H.Y.; Kim, S.D.; Lee, T.H.; Lee, C.H. Microstructure evolution and hot deformation behavior of 25Cr-6Mn-3Ni-1Mo-3W-0.1C-0.34N lean duplex stainless steel. J. Mater. Res. Technol. 2021, 14, 186–194. [Google Scholar] [CrossRef]
- Niu, C.S.; Wang, Y.L.; Lin, J.P.; Lin, Z.; Chen, G.L. Dynamic recrystallization mechanism of the Fe3Si based alloy. Trans. Mater. Heat Treat. 2003, 24, 28–32. [Google Scholar] [CrossRef]
- Shang, L.M.; Wang, C.X.; Han, S.; Li, Y.; Pang, X.D.; Li, J.X.; Yang, C. Hot deformation behavior and processing maps of maraging250 steel based on friction and temperature double correction. Heat Treat. Met. 2021, 46, 111–117. Available online: https://qikan.cqvip.com/Qikan/Article/Detail?id=7104821226 (accessed on 10 August 2024).
- Li, L.X.; Wang, G.; Liu, J.; Yao, Z.Q. Flow softening behavior and microstructure evolution of Al-5Zn-2Mg aluminum alloy during dynamic recovery. T. Nonferr. Metal. Soc. 2014, 24, 42–48. [Google Scholar] [CrossRef]
- Yan, L.; Jiang, A.; Li, Y.; Qiu, T.; Jiang, F.; Xie, H.; Wang, F.Z.; Wu, X.; Zhang, Y. Dynamic constitutive models of Ti-6Al-4V based on isothermal ture stress-strain curves. J. Mater. Res. Technol. 2022, 19, 4733–4744. [Google Scholar] [CrossRef]
- Jiang, Y.Q.; Lin, Y.C.; Wang, G.Q.; Pang, G.D.; Chen, M.S.; Huang, Z.C. Microstructure evolution and a unified constitutive model for a Ti-55511 alloy deformed in β region. J. Alloys Compd. 2021, 870, 159534. [Google Scholar] [CrossRef]
- Lu, Y.; Xie, H.B.; Wang, J.; Li, Z.; Lin, F.; Han, J.; Han, J.T.; Jiang, Z.Y. Characteristic flow behaviour prediction and microstructure analysis of a commercial Si-Cr micro-alloyed spring steel under isothermal compression. Vacuum 2021, 186, 110066. [Google Scholar] [CrossRef]
- Sellars, C.M.; Mctegart, W.J. On the mechanism of hot deformation. Acta Metall. 1966, 14, 1136–1138. [Google Scholar] [CrossRef]
- Jonas, J.J.; Sellars, C.M.; Mctegart, W.J. Strength and structure under hot-working conditions. Metall. Rev. 1969, 14, 1–24. [Google Scholar] [CrossRef]
- Liu, J.J.; Wang, K.L.; Lu, S.Q.; Gao, X.Y.; Li, X.; Zhou, F. Hot deformation behavior and processing map of Zr-4 alloy. J. Nucl. Mater. 2020, 531, 151993. [Google Scholar] [CrossRef]
- Xu, R.R.; Li, M.Q.; Li, H. Kinetic analysis and strain-compensated constitutive models of Ti-42.9Al-4.6Nb-2Cr during isothermal compression. Prog. Nat. Sci. Mater. Int. 2020, 30, 260–269. [Google Scholar] [CrossRef]
- Akbari, Z.; Mirzadeh, H.; Cabrera, J.M. A simple constitutive model for predicting flow stress of medium carbon microalloyed steel during hot deformation. Mater. Des. 2015, 77, 126–131. [Google Scholar] [CrossRef]
- Zener, C.; Hollomon, J.H. Effect of strain rate upon plastic flow of steel. J. Appl. phys. 1944, 15, 22–32. [Google Scholar] [CrossRef]
- Ni, H.M.; Dong, X.J.; Xu, Y.; Lu, S.Q.; Gong, S.H. Thermal deformation behavior and constitutive relation of Ti-48Al-2Nb-2Cr alloy. Spec. Cast. Nonferrous Alloys 2020, 40, 228–232. [Google Scholar] [CrossRef]
- Santosh, S.; Sampath, V.; Mouliswar, R.R. Hot deformation characteristics of NiTiV shape memory alloy and modeling using constitutive equations and artificial neural networks. J. Alloys Compd. 2022, 901, 163451. [Google Scholar] [CrossRef]
- Wang, T.; Chen, Y.Z.; Ouyang, B.; Zhou, X.; Hu, J.; Le, Q.C. Artificial neural network modified constitutive descriptions for hot deformation and kinetic models for dynamic recrystallization of novel AZE311 and AZX311 alloys. Mater. Sci. Eng. A. 2021, 816, 141259. [Google Scholar] [CrossRef]
- Shen, Z.N.; Wu, R.D.; Yuan, C.L.; Jiao, W. Comparative study of metamodeling methods for modeling the constitutive relationships of the TC6 titanium alloy. J. Mater. Res. Technol. 2021, 10, 188–204. [Google Scholar] [CrossRef]
- Li, X.F.; Liu, G.Z. The improvement of BP algorithm and its application. Adv. Eng. Sci. 2000, 32, 105–109. [Google Scholar] [CrossRef]
- Zhang, C.; Guo, Y.; Li, M. Review of development and application of artificial neural network models. Comput. Eng. Appl. 2021, 57, 57–69. [Google Scholar] [CrossRef]
- Ren, J.S.; Li, X.L.; Xiao, S.T.; Zhou, L.P.; Shu, Y.; Zhang, Y.M. Hot deformation behavior and constitutive relationship of Ti-Al-Zr-Nb-Mo-Si alloy based on artificial neural network model. Mater. Rep. 2020, 34, 283–288+303. Available online: http://www.mater-rep.com/CN/Y2020/V34/IZ1/283 (accessed on 10 August 2024).
- Zhou, X.; Wang, K.L.; Lu, S.Q.; Li, X.; Chen, X.H.; Zhou, Y.; Cao, J.X.; Huang, X. Hot deformation behavior of Ti-22Al-26Nb-2Ta-0.5Y alloy. Chin. J. Nonferrous Met. 2020, 30, 2295–2305. [Google Scholar] [CrossRef]
- He, Y.; Zhang, H.G.; Liu, X.F.; Xie, J.X. A constitutive model of high temperature deformation of NiTi alloy based on neural network. Rare Met. Mater. Eng. 2008, 37, 19–23. [Google Scholar] [CrossRef]
- Nayan, N.; Singh, G.; Murty, S.V.S.N.; Narayan, P.R.; Mohan, M.; Venkitakrishnan, P.V.; Ramamurty, U. Effect of ternary additions of Cu and Fe on the hot deformation behavior of NiTi shape memory alloy—A study using processing maps. Intermetallics 2021, 131, 107084. [Google Scholar] [CrossRef]
- Kumar, S.; Karmakar, A.; Nath, S.K. Construction of hot deformation processing maps for 9Cr-1Mo steel through conventional and ANN approach. Mater. Today Commun. 2021, 26, 101903. [Google Scholar] [CrossRef]
- Wu, J.K.; Lu, S.Q.; Deng, L.P.; Wang, T.X.; Wang, K.L. Thermal deformation behavior and constitutive relationship of laves phase NbCr2/Nb dual-phase alloy. Rare Met. Mater. Eng. 2021, 50, 2541–2551. [Google Scholar] [CrossRef]
- Lin, Y.C.; Chen, M.S.; Zhong, J. Constitutive modeling for elevated temperature flow behavior of 42CrMo steel. Comput. Mater. Sci. 2008, 42, 470–477. [Google Scholar] [CrossRef]
- Pilehva, F.; Zarei-Hanzaki, A.; Ghambari, M.; Abedi, H.R. Flow behavior modeling of a Ti-6Al-7Nb biomedical alloy during manufacturing at elevated temperatures. Mater. Des. 2013, 51, 457–465. [Google Scholar] [CrossRef]
- Long, S.; Xia, Y.F.; Wang, P.; Zhou, Y.T.; Gong-Ye, F.J.; Zhou, J.; Zhang, J.S.; Cui, M.L. Constitutive modelling, dynamic globularization behavior and processing map for Ti-6Cr-5Mo-5V-4Al alloy during hot deformation. J. Alloys Compd. 2019, 796, 65–76. [Google Scholar] [CrossRef]
Disclaimer/Publisher’s Note: The statements, opinions and data contained in all publications are solely those of the individual author(s) and contributor(s) and not of MDPI and/or the editor(s). MDPI and/or the editor(s) disclaim responsibility for any injury to people or property resulting from any ideas, methods, instructions or products referred to in the content. |
© 2024 by the authors. Licensee MDPI, Basel, Switzerland. This article is an open access article distributed under the terms and conditions of the Creative Commons Attribution (CC BY) license (https://creativecommons.org/licenses/by/4.0/).