Effect of Zn on Microstructure and Wear Resistance of Sn-Based Babbitt Alloy
Abstract
1. Introduction
2. Experimental Procedure
2.1. Preparation of As-Casted ZSnSb11Cu6 Alloy
2.2. Experimental
2.3. Test Method
3. Results and Discussion
3.1. Observation and Analysis of Alloy Microstructure
3.1.1. Microstructure
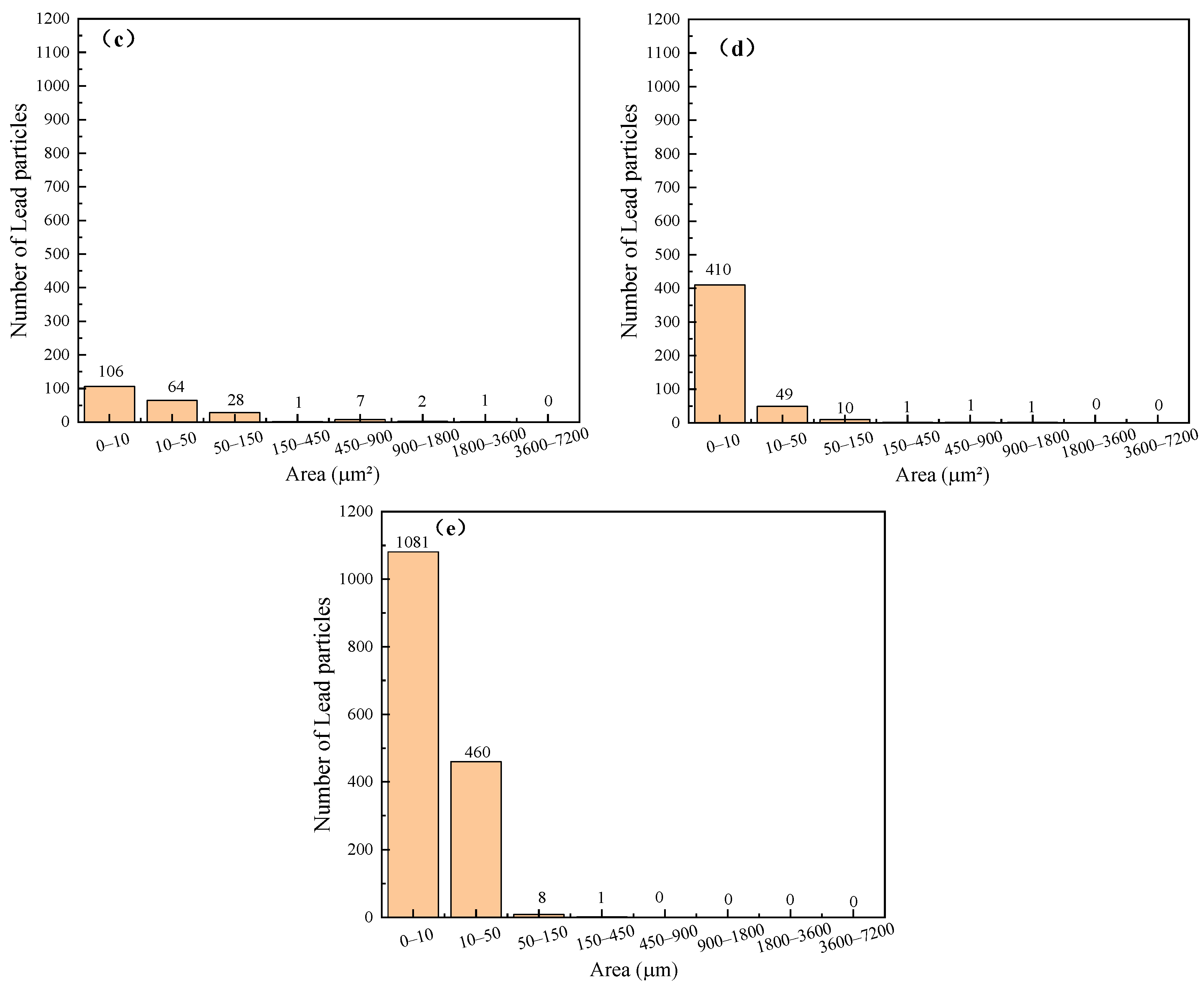
3.1.2. SnSb Particles Size Evaluation
3.1.3. DTA Analysis
3.2. Mechanical Performance Analysis
3.2.1. Hardness Analysis
3.2.2. Tensile Test Results and Analysis
3.3. Tribological Performances
3.3.1. Friction Coefficient Analysis
3.3.2. Outline of 3D Wear Marks Analysis
3.3.3. Friction Surface Analysis
4. Conclusions
- The addition of Zn makes the size and number of the SnSb phase in the microstructure generally increase first and then decrease. Therefore, the size and distribution of the alloy microstructure are better when the Zn content is 0.2%.
- After the addition of Zn, the overall tensile strength tends to increase, and the yield strength shows a trend of first increasing and then decreasing. When the Zn content is 0.1 wt.%, the yield strength reaches the maximum value, and then begins to decrease with the Zn content continuing to increase. Conversely, the elongation rate showed a tendency to first decrease and then increase, reaching a minimum Zn content of 0.1 wt.% and subsequently increasing as the Zn content continues to increase. When the Zn content is 0.1 wt.%, the hardness value of the alloy reaches the maximum value 25.82 HB, which increases by 7.3% compared to the sample without Zn. The hardness of Zn 0.15 wt.% is close to that of Zn 0.1 wt.%. Compared to the sample without Zn, the tensile strength and elongation of the alloy were maximized at a Zn content of 0.15 wt.%. Compared to the sample without Zn, the tensile strength was increased by 21.29%, and the elongation rate was increased by 46%. The changes in performance are mainly related to the organization. The increase in hardness is mainly caused by the hard Cu6Sn5 phase changing from independent short needles to slender branches coexisting with the matrix.
- The average friction coefficient of the alloy fluctuates in the range of 0.007 to 0.013. With the increase of Zn content, the friction coefficient tends to first decrease and then increase. When the Zn content is 0.1%, the friction coefficient is the largest, and then begins to decline with the further increase in Zn content. When the Zn content is 0.2%, the friction coefficient is the smallest, and the mean value is 0.007.
- With the increasing amount of Zn, the depth of the marks gradually become shallow. The addition of Zn can increase the wear resistance of the tin-based Babbitt alloy, with the largest friction trace after the same conditions without Zn and the addition of Zn to 0.2 wt.% as the minimum grinding mark.
Author Contributions
Funding
Data Availability Statement
Acknowledgments
Conflicts of Interest
References
- An, H.Y.; Zhang, X.D.; Zhao, W.J.; Wen, Y.Y. Study on failure mechanism and preventive measures of sliding support bearing. New Ind. 2021, 11, 172–173. (In Chinese) [Google Scholar]
- Guo, F.; Li, X.M.; Lou, W.J.; Ma, Z.K.; Fu, Y.Q. Several lssues on Lubrication Research of Rolling Bearings. Bearing 2024, 5, 1–20. (In Chinese) [Google Scholar]
- Huang, J.; Zhou, B.; Sun, M.; Zhang, B.Q.; Fan, H. Optimal Design of Wear Testing of Bearing Babbit Metal. Dongfang Turbine 2010, 3, 42–45. (In Chinese) [Google Scholar]
- Sun, Y.M. Performance and Analysis of Babbitt metal. Guangdong Chem. Ind. 2012, 39, 187. [Google Scholar]
- Liu, X.F.; Zhong, S.J.; Jing, W.; Zhang, G.X.; Chang, Y.F. Research progress on preparation technology and composition optimization modification of tin-based babbitt alloy. Weld. Jt. 2023, 2, 44–52. [Google Scholar]
- Xu, T.Z.; Zhang, S.; Wang, Z.Y.; Zhang, C.H.; Zhang, D.X. Wear behavior of graphite self-lubricating Babbitt alloy composite coating on 20 steel prepared by laser cladding. Eng. Fail. Anal. 2022, 141, 106698. [Google Scholar] [CrossRef]
- Guo, Z.X.; He, Y.Y.; Lu, X.C. Tribological Performance of Tin-based White Metal ZSnSb8Cu4. Lubr. Eng. 2014, 39, 5–10. [Google Scholar]
- Qin, Z.; Zhao, Z.W.; Wei, H.D.; Yao, Y. Research Progress and Preparation Techniques of Babbitt Metal. Hot Work. Technol. 2016, 45, 10–14. [Google Scholar]
- Laurentis, N.D.; Kadiric, A.; Lugt, P.; Cann, P. The influence of bearing grease composition on friction in rolling/sliding concentrated contacts. Tribol. Int. 2006, 94, 624–632. [Google Scholar] [CrossRef]
- Shahmohamadi, H.; Rahmani, R.; Rahnejat, H.; Garner, C.P.; Balodimos, N. Thermohydrodynamics of lubricant flow with carbon nanoparticles in tribological contacts. Tribol. Int. 2016, 113, 50–57. [Google Scholar] [CrossRef]
- Kuanyshev, M.; Nuralin, B.; Salimo, B.; Kaukarov, A.; Murzagaliev, A.; Narikov, K.; Shakeshev, B. The improvement of friction bearing manufacturing technology by using copper alloy. Int. J. Adv. Manuf. Technol. 2017, 88, 317–324. [Google Scholar] [CrossRef]
- Zhang, Z.L.; Duan, S.H.; Zhang, H.B.; Li, D.; Sun, W.; Yang, C. Microstructure and properties of arc sprayed tin-based babbitt coating. Trans. China Weld. Inst. 2010, 31, 17–20. (In Chinese) [Google Scholar]
- Xu, T.Z.; Zhang, C.; Sun, C.Q.; Chen, H.; Xu, L.; Pan, X. Analysis of Micromorphology and Mechanical Properties of Laser Cladding Nickel/Tin-Based Babbitt Alloy. Laser Optoelectron. Prog. 2020, 57, 147–154. (In Chinese) [Google Scholar]
- Song, Z.Y.; Peng, Z.; Yan, M.; Li, Z.H.; Dong, G.M.; Zhang, L.C. Microstructures and Mechanical Properties of Tin-Based Babbitt Bearing with Different Fabrication Methods. Chin. J. Rare Met. 2021, 45, 378–384. (In Chinese) [Google Scholar]
- Sun, K.; Wang, P.Y.; Wei, M.Z.; Zhou, J.; Xue, F. The effect of parameter of MIG arc brazing on microstructure and bonding strength of tin-based babbitt alloy ZChSnSb11-6 on ASTM 1045 Steel. In IOP Conference Series: Materials Science and Engineering, Proceedings of the 2018 3rd International Conference on Advanced Materials Research and Manufacturing Technologies (AMRMT 2018), Shanghai, China, 11–13 August 2018; IOP Publishing: Bristol, UK, 2018; Volume 436, p. 012002. [Google Scholar]
- Zhou, F.; Zhang, Q.; Shi, M.; Guo, J.W.; Li, H. The effect of TIG arc brazing current on interfacial structure and bonding strength of tin-based babbitt. J. Adhes. Sci. Technol. 2017, 31, 2312–2322. [Google Scholar] [CrossRef]
- Zhou, F.; Zhang, Q.; Shi, M.; Guo, J.; Li, H. Structural design and wear properties of TIG arc brazing tin-based babbit to mild steel. High Temp. Mater. Process. 2018, 37, 761–767. [Google Scholar] [CrossRef]
- Zhang, X.; Wu, S.; Liu, W.; Chu, X.; Xie, Y.; Zhang, F. High performance tin-based Babbitt coatings deposited by high-pressure cold spraying. Surf. Coat. Technol. 2023, 473, 130048. [Google Scholar] [CrossRef]
- Pan, J.Y.; Liu, X.G.; Liu, P.; Chen, Z.J.; Qi, X.F. A Method to Improve the Properties of Tin-Based Pasteurized Alloys. CN111549265A, 1 June 2022. [Google Scholar]
- Chen, Y.H.; Zhong, N.; Yin, Z.W.; Li, H.L.; Dong, Q. Effects of micro-adding Cd on microstructure and mechanical properties of SnSb11Cu6 tin-based bearing alloy. Chin. J. Nonferrous Met. 2019, 29, 1226–1232. (In Chinese) [Google Scholar]
- Chen, R.L.; Wei, Y.Y.; Jia, Q. Effect of Increasing Cu Content on the Mechanical Properties of Tin-based Babbitt. Rare Met. Mater. Eng. 2018, 47, 1854–1859. [Google Scholar]
- Leszczyńska-Madej, B.; Madej, M. The Tribological Properties and the Microstructure Investigations of Tin Babbitt with Pb Addition after Heat Treatment. Dubai Med. J. 2016, 61, 1861–1868. [Google Scholar]
- Junior, P.R.C.A.; Pukasiewicz, A.G.M. Evaluation of microstructure, mechanical and tribological properties of a Babbitt alloy deposited by arc and flame spray processes. Tribol. Int. 2019, 131, 148–157. [Google Scholar] [CrossRef]
- Zhao, J.; Sun, K.; Liang, G.; Xu, C.; Zhao, J.; Xue, F.; Zhou, J. Effect of Zn additions on the microstructure and mechanical properties of Sn-Babbitt alloys fabricated by arc deposition. J. Mater. Res. Technol. 2021, 15, 6726–6735. [Google Scholar] [CrossRef]
- Ghasemi, F.; Goudarzi, M.; Hamidreza, N. Hardening and tribological behaviors of tin matrix composites reinforced with SiC and Zn particles. Rare Met. 2021, 40, 2584–2592. [Google Scholar] [CrossRef]
- GB/T 1176-2013; Casting Copper and Copper Alloys. General Administration of Quality Supervision, Inspection and Quarantine of the People’s Republic of China: Beijing, China, 2013.
- GB/T1348-2009; Spheroidal Graphite Iron Castings. General Administration of Quality Supervision, Inspection and Quarantine of the People’s Republic of China: Beijing, China, 2009.
- GB/T 12444-2006; Metallic Materials—Wear Test Method—Block-on-Ring Sliding Wear Test. General Administration of Quality Supervision, Inspection and Quarantine of the People’s Republic of China: Beijing, China, 2006.














| No. | Sn | Sb | Cu | Pb | Zn |
|---|---|---|---|---|---|
| 1 | Bal. | 11 | 6 | 0.35 | 0 |
| 2 | Bal. | 11 | 6 | 0.35 | 0.05 |
| 3 | Bal. | 11 | 6 | 0.35 | 0.1 |
| 4 | Bal. | 11 | 6 | 0.35 | 0.15 |
| 5 | Bal. | 11 | 6 | 0.35 | 0.2 |
| Serial Number | Zn Content | The Average Particle of SnSb | A Total Number of Grains of SnSb | 0~450 μm2 SnSb Particle Number | Particle Proportion of SnSb in 0~450 μm2 |
|---|---|---|---|---|---|
| 1 | 0.00 wt.% | 48.19 μm2 | 389 | 384 | 98.7% |
| 2 | 0.05 wt.% | 18.39 μm2 | 1012 | 1009 | 99.70% |
| 3 | 0.1 wt.% | 62.09 μm2 | 209 | 199 | 95.22% |
| 4 | 0.15 wt.% | 14.50 μm2 | 472 | 470 | 99.58% |
| 5 | 0.2 wt.% | 13.10 μm2 | 1768 | 1768 | 100% |
Disclaimer/Publisher’s Note: The statements, opinions and data contained in all publications are solely those of the individual author(s) and contributor(s) and not of MDPI and/or the editor(s). MDPI and/or the editor(s) disclaim responsibility for any injury to people or property resulting from any ideas, methods, instructions or products referred to in the content. |
© 2024 by the authors. Licensee MDPI, Basel, Switzerland. This article is an open access article distributed under the terms and conditions of the Creative Commons Attribution (CC BY) license (https://creativecommons.org/licenses/by/4.0/).
Share and Cite
Ren, X.; Chen, H.; Chang, Y.; Chen, N.; Shi, Z.; Zhang, Y.; Guo, Z.; Hu, J. Effect of Zn on Microstructure and Wear Resistance of Sn-Based Babbitt Alloy. Crystals 2024, 14, 907. https://doi.org/10.3390/cryst14100907
Ren X, Chen H, Chang Y, Chen N, Shi Z, Zhang Y, Guo Z, Hu J. Effect of Zn on Microstructure and Wear Resistance of Sn-Based Babbitt Alloy. Crystals. 2024; 14(10):907. https://doi.org/10.3390/cryst14100907
Chicago/Turabian StyleRen, Xiaoyan, Huimin Chen, Yuan Chang, Ningning Chen, Zhenghua Shi, Yougui Zhang, Zhiming Guo, and Jinzhi Hu. 2024. "Effect of Zn on Microstructure and Wear Resistance of Sn-Based Babbitt Alloy" Crystals 14, no. 10: 907. https://doi.org/10.3390/cryst14100907
APA StyleRen, X., Chen, H., Chang, Y., Chen, N., Shi, Z., Zhang, Y., Guo, Z., & Hu, J. (2024). Effect of Zn on Microstructure and Wear Resistance of Sn-Based Babbitt Alloy. Crystals, 14(10), 907. https://doi.org/10.3390/cryst14100907
