Performance and Characterization of Additively Manufactured BST Varactor Enhanced by Photonic Thermal Processing
Abstract
1. Introduction
2. Materials and Methods
2.1. Capacitor Design and Fabrication
2.2. BST Deposition and Thermal Processing
3. Results
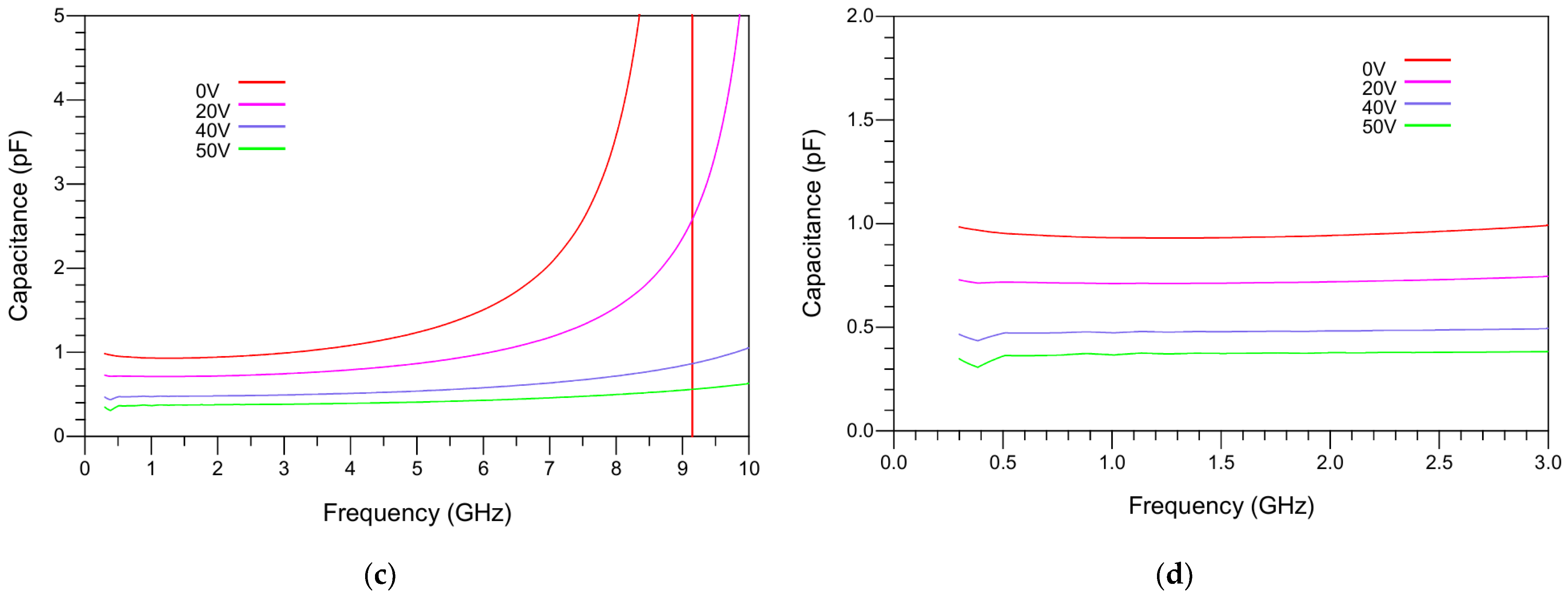
3.1. High Frequency S-Parameter Measurments
3.2. BST Parameter Extraction
3.3. SEM Imaging and XRD Measurements
4. Discussion
Author Contributions
Funding
Data Availability Statement
Acknowledgments
Conflicts of Interest
References
- Mitchell, A.; Lafont, U.; Hołyńska, M.; Semprimoschnig, C. Additive Manufacturing—A Review of 4D Printing and Future Applications. Addit. Manuf. 2018, 24, 606–626. [Google Scholar] [CrossRef]
- Molitch-Hou, M. 1—Overview of Additive Manufacturing Process. In Additive Manufacturing: Materials, Processes, Quantifications and Applications; Zhang, J., Jung, Y.-G., Eds.; Butterworth-Heinemann: Oxford, UK, 2018; pp. 1–38. [Google Scholar] [CrossRef]
- Zhang, Y.; Jarosinski, W.; Jung, Y.-G.; Zhang, J. 2—Additive Manufacturing Processes and Equipment. In Additive Manufacturing: Materials, Processes, Quantifications and Applications; Zhang, J., Jung, Y.-G., Eds.; Butterworth-Heinemann: Oxford, UK, 2018; pp. 39–51. [Google Scholar] [CrossRef]
- Zenou, M.; Grainger, L. 3—Additive Manufacturing of Metallic Materials. In Additive Manufacturing: Materials, Processes, Quantifications and Applications; Zhang, J., Jung, Y.-G., Eds.; Butterworth-Heinemann: Oxford, UK, 2018; pp. 53–103. [Google Scholar] [CrossRef]
- Moritz, T.; Maleksaeedi, S. 4—Additive Manufacturing of Ceramic Components. In Additive Manufacturing: Materials, Processes, Quantifications and Applications; Zhang, J., Jung, Y.-G., Eds.; Butterworth-Heinemann: Oxford, UK, 2018; pp. 105–161. [Google Scholar] [CrossRef]
- Craton, M.T.; Albrecht, J.D.; Chahal, P.; Papapolymerou, J. Additive Manufacturing of a Wideband Capable W-Band Packaging Strategy. IEEE Microw. Wirel. Compon. Lett. 2021, 31, 697–700. [Google Scholar] [CrossRef]
- Akbari, S.; Kostov, K.; Brinkfeldt, K.; Adolfsson, E.; Lim, J.-K.; Andersson, D.; Bakowski, M.; Wang, Q.; Salter, M. Ceramic Additive Manufacturing Potential for Power Electronics Packaging. IEEE Trans. Compon. Packag. Manuf. Technol. 2022, 12, 1857–1866. [Google Scholar] [CrossRef]
- Solodov, A.N.; Shayimova, J.; Balkaev, D.; Nizamutdinov, A.S.; Zimin, K.; Kiiamov, A.G.; Amirov, R.R.; Dimiev, A.M. High-throughput, low-cost and “green” production method for high stable polypropylene/perovskite composites, applicable in 3D printing. Addit. Manuf. 2022, 59, 103094. [Google Scholar] [CrossRef]
- Winczewski, J.P.; Arriaga Dávila, J.; Herrera-Zaldívar, M.; Ruiz-Zepeda, F.; Córdova-Castro, R.M.; Pérez de la Vega, C.R.; Cabriel, C.; Izeddin, I.; Gardeniers, H.; Susarrey-Arce, A. 3D-Architected Alkaline-Earth Perovskites. Adv. Mater. 2024, 36, 2307077. [Google Scholar] [CrossRef] [PubMed]
- Chen, M.; Zhou, Z.; Hu, S.; Huang, N.; Lee, H.; Liu, Y.; Yang, J.; Huan, X.; Xu, Z.; Cao, S.; et al. 3D Printing of Arbitrary Perovskite Nanowire Heterostructures. Adv. Funct. Mater. 2023, 33, 2212146. [Google Scholar] [CrossRef]
- Mendoza Sandoval, J.J. Mm-Wave Reconfigurable Antenna Arrays, Phase Shifters and Beamforming Networks with Reduced Hardware Complexity Using Integrated Microfluidic Actuation. Ph.D. Thesis, University of South Florida, Tampa, FL, USA, 2022. Available online: https://digitalcommons.usf.edu/etd/10328 (accessed on 28 October 2024).
- Gheethan, A. Novel Pattern Reconfigurable Antenna Arrays Using Engineered Metamaterials and Microfluidic Principles. Ph.D. Thesis, University of South Florida, Tampa, FL, USA, 2014. Available online: https://digitalcommons.usf.edu/etd/5223 (accessed on 28 October 2024).
- Liu, M.; Howe, B.M.; Grazulis, L.; Mahalingam, K.; Nan, T.; Sun, N.X.; Brown, G.J. Voltage-Impulse-Induced Non-Volatile Ferroelastic Switching of Ferromagnetic Resonance for Reconfigurable Magnetoelectric Microwave Devices. Adv. Mater. 2013, 25, 4886–4892. [Google Scholar] [CrossRef]
- Gao, F.; Zhang, K.; Guo, Y.; Xu, J.; Szafran, M. (Ba,Sr)TiO3/polymer dielectric composites–progress and perspective. Prog. Mater. Sci. 2021, 121, 100813. [Google Scholar] [CrossRef]
- Nam, S.; Psychogiou, D.; Mortazawi, A. Reconfigurable Transfer Function BST Acoustic Wave Lumped Element Resonator Filters. In Proceedings of the 2021 51st European Microwave Conference (EuMC), London, UK, 4–6 April 2022; pp. 301–304. [Google Scholar] [CrossRef]
- Price, T.S. Nonlinear Properties of Nanoscale Barium Strontium Titanate Microwave Varactors. Ph.D. Thesis, University of South Florida, Tampa, FL, USA, 2012. Available online: https://scholarcommons.usf.edu/etd/4390 (accessed on 20 February 2020).
- Ouagague, B.; El-Shaarawy, H.B.; Pacchini, S.; Payan, S.; Rousseau, A.; Maglione, M.; Plana, R. BST tunability study at DC and microwave frequencies by using IDC and MIM capacitors. In Proceedings of the 2010 Asia-Pacific Microwave Conference, Yokohama, Japan, 7–10 December 2010; pp. 1837–1840. [Google Scholar]
- Ouaddari, M.; Delprat, S.; Vidal, F.; Chaker, M.; Wu, K. Microwave characterization of ferroelectric thin-film materials. IEEE Trans. Microw. Theory Tech. 2005, 53, 1390–1397. [Google Scholar] [CrossRef]
- Gautam, C.R.; Yadav, A.K. Synthesis and Optical Investigations on (Ba,Sr)TiO3 Borosilicate Glasses Doped with La2O3. Opt. Photonics J. 2013, 3, 35643. [Google Scholar] [CrossRef]
- Dey, S.K.; Kooriyattil, S.; Pavunny, S.P.; Katiyar, R.S.; Subramanyam, G. Analyses of Substrate-Dependent Broadband Microwave (1–40 GHz) Dielectric Properties of Pulsed Laser Deposited Ba0.5Sr0.5TiO3 Films. Crystals 2021, 11, 852. [Google Scholar] [CrossRef]
- Wang, Y.; Chen, X. Investigation of the Positive Temperature Coefficient Resistivity of Nb-Doped Ba0.55Sr0.45TiO3 Ceramics. Crystals 2024, 14, 419. [Google Scholar] [CrossRef]
- Guo, Z.; Pan, L.; Bi, C.; Qiu, H.; Zhao, X.; Yang, L.; Rafique, M.Y. Structural and multiferroic properties of Fe-doped Ba0.5Sr0.5TiO3 solids. J. Magn. Magn. Mater. 2013, 35, 24–28. [Google Scholar] [CrossRef]
- Bhoyar, D.N.; Somvanshi, S.B.; Nalle, P.B.; Mande, V.K.; Pandit, A.A.; Jadhav, K.M. Multiferroic Fe3+ ion doped BaTiO3 Perovskite Nanoceramics: Structural, Optical, Electrical and Dielectric Investigations. J. Phys. Conf. Ser. 2020, 1644, 012058. [Google Scholar] [CrossRef]
- Safronov, A.P.; Mikhnevich, E.A.; Lotfollahi, Z.; Blyakhman, F.A.; Sklyar, T.F.; Larrañaga Varga, A.; Medvedev, A.I.; Fernández Armas, S.; Kurlyandskaya, G.V. Polyacrylamide Ferrogels with Magnetite or Strontium Hexaferrite: Next Step in the Development of Soft Biomimetic Matter for Biosensor Applications. Sensors 2018, 18, 257. [Google Scholar] [CrossRef]
- Yang, Z.; Wang, H.; Dong, X.; Yan, H.; Lei, C.; Luo, Y. Giant magnetoimpedance based immunoassay for cardiac biomarker myoglobin. Anal. Methods 2017, 9, 3636–3642. [Google Scholar] [CrossRef]
- Zhao, M.; Cao, W.Q. The effects of deposition temperature on structure and dielectric properties of Ba0.6Sr0.4TiO3 thin films produced by pulsed laser deposition. Ceram. Int. 2009, 35, 2283–2287. [Google Scholar] [CrossRef]
- Silva, J.P.B.; Kamakshi, K.; Sekhar, K.C.; Moreira, J.A.; Almeida, A.; Pereira, M.; Gomes, M.J.M. Light-controlled resistive switching in laser-assisted annealed Ba0.8Sr0.2TiO3 thin films. Phys. Status Solidi A 2016, 213, 1082–1087. [Google Scholar] [CrossRef]
- Kang, M.G.; Cho, K.H.; Oh, S.M.; Do, Y.H.; Kang, C.Y.; Kim, S.; Yoon, S.J. Low-temperature crystallization and electrical properties of BST thin films using excimer laser annealing. Curr. Appl. Phys. 2011, 11, S66–S69. [Google Scholar] [CrossRef]
- Podpirka, A.; Cole, M.W.; Ramanathan, S. Effect of photon irradiation on structural, dielectric, and insulating properties of Ba0.60Sr0.40TiO3 thin films. Appl. Phys. Lett. 2008, 92, 212906. [Google Scholar] [CrossRef]
- Nikfalazar, M.; Sazegar, M.; Friederich, A.; Kohler, C.; Zheng, Y.; Wiens, A.; Binder, J.R.; Jakoby, R. Inkjet printed BST thick-films for x-band phase shifter and phased array applications. In Proceedings of the 2013 International Workshop on Antenna Technology (iWAT), Karlsruhe, Germany, 4–6 March 2013; pp. 121–124. [Google Scholar] [CrossRef]
- Nikfalazar, M.; Zheng, Y.; Wiens, A.; Jakoby, R.; Friederich, A.; Kohler, C.; Binder, J.R. Fully inkjet-printed tunable S-band phase shifter on BST thick film. In Proceedings of the 2014 44th European Microwave Conference, Rome, Italy, 6–9 October 2014; pp. 504–507. [Google Scholar] [CrossRef]
- Ranasingha, O.K.; Haghzadeh, M.; Sobkowicz, M.J.; Kingsley, E.; Armiento, C.; Akyurtlu, A. Formulation and Characterization of Sinterless Barium Strontium Titanate (BST) Dielectric Nanoparticle Ink for Printed RF and Microwave Applications. J. Electron. Mater. 2021, 50, 3241–3248. [Google Scholar] [CrossRef]
- Crunteanu, A.; Muzzupapa, V.; Ghalem, A.; Huitema, L.; Passerieux, D.; Borderon, C.; Renoud, R.; Gundel, H.W. Characterization and Performance Analysis of BST-Based Ferroelectric Varactors in the Millimeter-Wave Domain. Crystals 2021, 11, 277. [Google Scholar] [CrossRef]
- Lee, Y.-C.; Lin, Y.-C.; Chen, W.-C.; Fu, J.-S. Fabrication and characterization of ferroelectric varactors for tunable wireless front-ends. In Proceedings of the 2010 Asia-Pacific Microwave Conference, Yokohama, Japan, 7–10 December 2010; pp. 1220–1223. [Google Scholar]
- Borderon, C.; Ginestar, S.; Gundel, H.W.; Haskou, A.; Nadaud, K.; Renoud, R.; Sharaiha, A. Design and Development of a Tunable Ferroelectric Microwave Surface Mounted Device. IEEE Trans. Ultrason. Ferroelectr. Freq. Control. 2020, 67, 1733–1737. [Google Scholar] [CrossRef] [PubMed]
- Ghalem, A.; Huitema, L.; Crunteanu, A.; Rammal, M.; Trupina, L.; Nedelcu, L.; Banciu, M.G.; Dutheil, P.; Constantinescu, C.; Marchet, P.; et al. Electrical transport properties and modelling of electrostrictive resonance phenomena in Ba2/3Sr1/3TiO3 thin films. J. Appl. Phys. 2016, 120, 184101. [Google Scholar] [CrossRef]
- Bahl, I.J. Lumped Elements for RF and Microwave Circuits, 2nd ed.; Artech House: Boston, MA, USA, 2023; pp. 185–200. [Google Scholar]
- Zhou, P.; Jin, X.; Chen, J.; Zhou, Y.; Luo, J.; Li, H.; Chu, C.; Yan, M. Residual stress estimation in laminated ZrB2-SiC ultra-high temperature ceramics with strong interfaces using X-ray diffraction and indentation technique. Ceram. Int. 2017, 43, 12459–12465. [Google Scholar] [CrossRef]













| Dimension | Size (μm) |
|---|---|
| Finger length | 400 |
| Finger width | 50 |
| Finger gap | 2 |
| Interconnect width | 50 |
| Feedline width | 65 |
| CPW gap | 25 |
| Feedline length | 500 |
| CPW ground width at IDC region | 150 |
| Voltage (V) | E Field (kV/mm) | Capacitance (pF) | Tunability (%) | Dielectric Constant | Q Factor | Loss Tangent (1/Q) | Resonance Frequency (GHz) |
|---|---|---|---|---|---|---|---|
| 0 | 0 | 0.932 | 0.0 | 57.3 | 10.9 | 0.092 | 9.2 |
| 20 | 10 | 0.711 | 23.7 | 43.5 | 17.9 | 0.056 | 10.5 |
| 40 | 20 | 0.474 | 49.2 | 28.6 | 31.3 | 0.032 | 13.1 |
| 50 | 25 | 0.367 | 60.6 | 22.0 | 41.7 | 0.024 | 14.9 |
| Ref. | Deposition Method | Thermal Processing | Tunability (%) | E Field (kV/mm) | C0V (pF) |
|---|---|---|---|---|---|
| [18] | PLD * | Furnace | 15 | 4.38 | 1.00 |
| [32] | Aerosol jet | Sinterless | 15 | 10.00 | Not reported |
| [33] | Sol–gel | RTA | 40 | 16.70 | 0.15 |
| This work | Spray pyrolysis | Photonic sintering | 60 | 25.00 | 0.93 |
Disclaimer/Publisher’s Note: The statements, opinions and data contained in all publications are solely those of the individual author(s) and contributor(s) and not of MDPI and/or the editor(s). MDPI and/or the editor(s) disclaim responsibility for any injury to people or property resulting from any ideas, methods, instructions or products referred to in the content. |
© 2024 by the authors. Licensee MDPI, Basel, Switzerland. This article is an open access article distributed under the terms and conditions of the Creative Commons Attribution (CC BY) license (https://creativecommons.org/licenses/by/4.0/).
Share and Cite
Molina, C.; Guneroglu, U.; Zaman, A.; Li, L.; Wang, J. Performance and Characterization of Additively Manufactured BST Varactor Enhanced by Photonic Thermal Processing. Crystals 2024, 14, 990. https://doi.org/10.3390/cryst14110990
Molina C, Guneroglu U, Zaman A, Li L, Wang J. Performance and Characterization of Additively Manufactured BST Varactor Enhanced by Photonic Thermal Processing. Crystals. 2024; 14(11):990. https://doi.org/10.3390/cryst14110990
Chicago/Turabian StyleMolina, Carlos, Ugur Guneroglu, Adnan Zaman, Liguan Li, and Jing Wang. 2024. "Performance and Characterization of Additively Manufactured BST Varactor Enhanced by Photonic Thermal Processing" Crystals 14, no. 11: 990. https://doi.org/10.3390/cryst14110990
APA StyleMolina, C., Guneroglu, U., Zaman, A., Li, L., & Wang, J. (2024). Performance and Characterization of Additively Manufactured BST Varactor Enhanced by Photonic Thermal Processing. Crystals, 14(11), 990. https://doi.org/10.3390/cryst14110990

