Next Article in Journal
Controlling Dye Adsorption Kinetics of Graphene Oxide Nano-Sheets via Optimized Oxidation Treatment
Next Article in Special Issue
Wavy Ice Patterns as a Result of Morphological Instability of an Ice–Water Interface with Allowance for the Convective–Conductive Heat Transfer Mechanism
Previous Article in Journal
Thermal Conductivity and Orientation Structure of Liquid Crystalline Epoxy Thermosets Prepared by Latent Curing Catalyst
Previous Article in Special Issue
Noise-Induced Defects in Honeycomb Lattice Structure: A Phase-Field Crystal Study
 
 
Font Type:
Arial Georgia Verdana
Font Size:
Aa Aa Aa
Line Spacing:
Column Width:
Background:
Article

The Degree of Metallic Alloys Crystallinity Formed under Various Supercooling Conditions

by
Maxim V. Dudorov
1,*,
Alexander D. Drozin
1,
Roman S. Morozov
2,
Vasiliy E. Roshchin
1 and
Dmitry A. Zherebtsov
2
1
Department of Pyrometallurgical and Foundry Technologies, South Ural State University, Lenin Prospekt 76, 454080 Chelyabinsk, Russia
2
Department of Chemistry, South Ural State University, Lenin Prospekt 76, 454080 Chelyabinsk, Russia
*
Author to whom correspondence should be addressed.
Crystals 2024, 14(1), 48; https://doi.org/10.3390/cryst14010048
Submission received: 28 November 2023 / Revised: 25 December 2023 / Accepted: 27 December 2023 / Published: 29 December 2023
(This article belongs to the Special Issue Phase Transition in External Fields (2nd Edition))

Abstract

:
Amorphous metal alloys play an important role in the electrical industry. Studies show the presence of an insignificant proportion of crystals in alloys that are amorphous from the point of view of X-ray diffraction analysis. The crystals significantly affect the mechanical and magnetic properties of amorphous alloys. Therefore, within this work, a comprehensive approach has been developed to determine the degree of crystallinity of amorphous alloys based on theoretical and experimental methods. The study is based on the mathematical model of supercooled melt crystallization previously developed by the authors, which takes into account the patterns of crystal formation and their diffusion and diffusionless growth, taking into account the mutual influence of growing crystals on each other. The mathematical model also takes into account the melt cooling mode when producing amorphous ribbons by cooling the melt on a rotating copper drum. The calculation results have been verified by experiments based on the new technique developed by the authors for calorimetric studies of amorphous ribbons. The developed methodology allows us to determine not only the average fraction of the crystals in a ribbon, but also the patterns of crystal distribution along its thickness as well as the patterns of changes in the proportion of the crystals in ribbons depending on the melt cooling mode.

1. Introduction

The study of high undercooled metallic melts [1] allows us to identify the patterns of the melt transition from a liquid state to a solid amorphous one. An important task of such study is to determine the conditions when this transition can be considered to have taken place. The research on the obtained amorphous materials [2,3,4,5] shows the presence of crystals in their structure, which cannot always be detected by X-ray diffraction analysis (XRD) [5,6,7] and transmission electron microscopy methods (TEM) [8,9]. The investigation of the dependences of the nucleation and mutual growth of various crystal phases in changing the temperature field makes it possible to study the regularities of the processes occurring in supercooled melts. The estimation of the crystals fraction in amorphous material is a criterion for assessing the degree of metallic alloys crystallinity.
These studies on the crystallization of supercooled melts are of the great practical importance. Modern technologies of high-speed melt cooling make it possible to obtain amorphous materials with unique mechanical and magnetic properties. Thus, the study of the crystallization processes depending on the cooling mode and the melt composition makes it possible to predict the resulting material properties.
Currently, active research is being conducted to determine the degree of crystallinity in amorphous alloys. A promising experimental method for studying amorphous materials is the differential scanning calorimetry (DSC) of annealed samples [2]. Comparison of the crystallization enthalpy released during heating of various samples allows us to estimate the degree of their crystallinity. For example, studies on the annealing of amorphous materials of various compositions were carried out in [3,4]. The developed technique made it possible to estimate the change in the degree of crystallinity over time. In [5], an attempt was made to estimate the degree of crystallinity in an amorphous sample by comparing the heat of crystallization of the studied material with the sample containing a given fraction of the crystalline phase. Similar studies were also carried out by the authors of this article when comparing the crystallization heat of amorphous ribbons of various thicknesses [6].
Along with calorimetric methods, the methods of X-ray diffraction analysis (XRD) are being developed. The studies are based on heating the sample to a predetermined temperature and subsequent analysis of the sample. Sequential heating with a given temperature step and analysis of samples make it possible to identify patterns of new phase formation. In addition, the comparison of experimental results at various annealing temperatures enables to estimate the change in the fraction of crystals in the sample [5,7].
It should be noted that a feature of the above methods is the estimation of the average degree of crystallinity in the entire sample. Using experimental methods, it is difficult to determine the patterns of changes in the degree of crystallinity in different layers of the material under study. In this regard, a promising direction of research is mathematical modeling that provides extensive opportunities for studying crystal growth patterns under various cooling modes of the metallic melt [1,3,4,5,6]. Such studies are very relevant, for example, for the study of amorphous ribbons obtained by supercooling the melt on a rotating drum. Due to the change in the cooling mode, a structure is formed in different layers of the resulting ribbon.
This article presents an integrated study of amorphous ribbons obtained by cooling the melt on the rotating copper drum. To assess the melt cooling conditions impact, the mathematical model of the temperature allocation in various layers of the ribbon was constructed. To estimate the degree of crystallinity, calorimetric studies of ribbons of various thicknesses were carried out. In this case, the previously developed mathematical model [6] was used, describing the crystallization processes in supercooled eutectic melts. The model takes into account the patterns of formation and mutual growth of various crystal phases in relation to the given melt cooling mode.

2. Investigation of the Crystallization of Supercooled Melts in the Production of Amorphous Ribbons

Let us consider the crystallization processes in highly supercooled melts as an example of melt solidification on the rotating copper drum. When amorphous materials are obtained using this technique, the metal alloy of the desired composition is heated in an electric resistance furnace. The resulting melt is fed through the hole in the crucible to the surface of the cooled drum. The drum rotates at a high speed, which provides a super-fast cooling mode. Thanks to this process, the ribbon of a small (micron) thickness is obtained. Due to the contact of the melt with the surface of the drum, its high-speed cooling occurs. The outer side of the ribbon is additionally cooled by radiation.
As a part of the investigation, the ribbons with a thickness of 28, 34 and 38 microns previously obtained [6] when casting the melt of the composition (Fe–79.89%, B–15.40%, Si–4.40%, C–0.32%) were studied. All samples were made from the one ribbon. The thickness of the ribbon was different due to the change in the drum rotation speed during the casting. The results of the X-ray diffraction analysis of the ribbons were presented in our article [6]. The analysis of the ribbons did not reveal characteristic peaks corresponding to the crystal phase on the diffractograms. Therefore, all the samples obtained can be considered X-ray amorphous. However, the actual presence of crystals in these ribbons requires investigation.
To study the individual layers of the ribbon, the mathematical model [6] was used, taking into account the temperature distribution in various layers of the ribbon and in the rotating copper drum. To construct the model, a cylindrical coordinate system was used with the center coinciding with the axis of the drum (point r = 0), where r is the distance from the center of the rotating drum. The temperature change inside the drum is determined by the thermal conductivity equation in the interval 0 < r < l 1 , where l1 is the drum radius. The temperature change inside the ribbon is determined by the thermal conductivity equation in the interval l 1 < r < l 1 + l 2 , where l2 is the ribbon thickness. The outer surface of the ribbon ( r = l 1 + l 2 ) is cooled by radiation.
  • Thermal conductivity equations for the drum and ribbon:
T t = a 1 r ( r T r ) , 0 < r < l 1 , T t = a 2 r ( r T r ) , l 1 < r < l 1 + l 2 .
2.
Boundary conditions:
λ 1 T r | r = l 1 0 = λ 2 T r | r = l 1 + 0 ,   λ 1 T r | r = 0 = 0 ,   λ 2 T r | r = l 1 + l 2 0 = σ ( T 5 4 T s 4 )
where a1 and a2 are the thermal diffusivity of the drum and melt, λ 1 and λ 2 are their thermal conductivity, σ is the Stefan–Boltzmann constant, T5 is the temperature of the outer surface of the ribbon and Ts is the temperature of some remote surface of the workshop.
To solve problem (1) and (2), the finite-difference methods were used and a set of programs was developed [6]. Calculations were carried out for the ribbons of the studied thickness (28, 34 and 38 microns) since the moment when the next portion of the melt appears on the surface of the drum until the moment when the ribbons leave the drum. The following thermophysical characteristics of the system were used in the calculations: thermal conductivity of the melt—34 W/(m⋅K), thermal diffusivity of the melt—2.02 × 10−5 m2/s, thermal conductivity of copper—384 W/(m⋅K) and thermal diffusivity of copper—1.03 × 10−4 m2/s. The calculation results are shown in Figure 1.
Figure 1a shows the dependence of temperature change on time for the ribbons of various thicknesses at the different distances from the drum surface. The dashed lines show the temperature change on the inner surface of the ribbon in contact with the drum (the distance d to the drum surface is the ribbon thickness multiplied by 0.1). The solid lines correspond to the outer surface (the distance d to the drum surface is the ribbon thickness multiplied by 0.9). It can be seen from Figure 1a that the melt is cooled at a high speed, in 10−3 s, all layers of the ribbon are cooled to ambient temperature.
An important feature of these processes is the different cooling rates of the various layers of the ribbon. At a certain point in time, the temperature difference between the ribbon layers reaches 500–600 K. At a certain time, the layers of all types of the ribbons closest to the surface of the drum are cooled at almost the same speed. The cooling rate of the outer layers varies significantly for the different ribbons. This effect is shown in Figure 1b as a temperature dependence on the distance from the surface of the drum d. The data are presented at a certain time of the cooling (10−5 s from the beginning of the process). This time point corresponds to the stage of the process when the temperature varies significantly in different layers of the ribbon. As it can be seen in Figure 1b, the temperature in the layers closest to the surface is approximately equal for all three types of ribbons. Therefore, it can be argued that the crystallization process occurs in the same way in these layers. In the outer layers, the temperature varies significantly, the temperature difference at the outer surface between the ribbons with the thickness of 28 and 38 microns reaches 200 K. Accordingly, the degree of crystallinity in the outer layers will also vary significantly.

3. Calorimetric Study of Amorphous Ribbons of Various Thicknesses

In our previous work [6], these ribbons with the thickness of 28, 34 and 38 microns were examined using X-ray diffraction analysis methods. The conducted studies have shown that on all other obtained diffractograms, there are no characteristic peaks corresponding to the crystalline phase. Crystals may be present in these samples, but they cannot be detected by this method.
Additional calorimetric studies were performed to determine the degree of crystallinity in the ribbons. The ribbons with the thickness of 28, 34 and 38 microns of the above composition were studied. The measurements were carried out on a synchronous thermal analysis device Netzsch STA 449F1 “Jupiter” (Erich Netzsch GmbH & Co. Holding KG, Selb, Bavaria, Germany). The weight of each sample was about 30 mg, the measurement was made in a protective argon atmosphere, in an Al2O3 crucible. A heating rate of 10 K/min was used for the study. The maximum heating temperature was 1250 K.
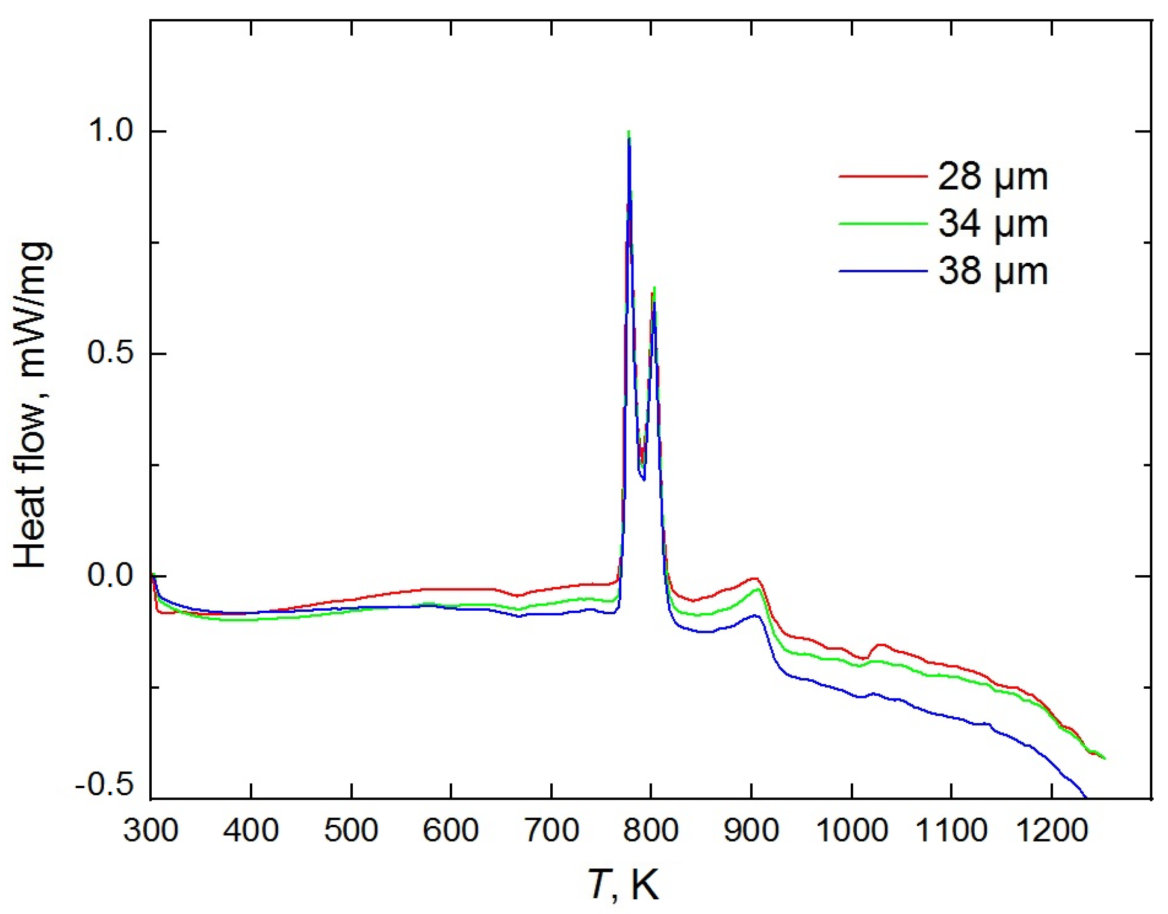
The results of the experiments are shown in Figure 2. Similar results were obtained in the studies of the authors [10,11,12]. Figure 2 shows the dependence of the thermal effect on temperature for the ribbons of different thicknesses. It can be seen that at a temperature of about 750 K, the active crystallization of all the ribbon sizes begins. The crystallization of the ribbons is accompanied by a sharp thermal effect. At the temperature of about 843 K, the first stage of crystallization ends. Further crystallization is associated [10,11,12] with the destruction of the metastable phase of Fe3B.
For further analysis, the DSC curves were compared for the ribbons of different thicknesses. It follows from Figure 2 that the curves differ at the stage of heating to the crystallization temperature. At this stage of the crystallization, the peaks repeat the shape of each other. When comparing the areas occupied by each of the curves, the dependence of the increase in the total thermal effect with the decrease in the ribbon thickness is visible. This result is well explained by the calculations of the previous section. The ribbons of smaller thickness contain fewer crystals, and when they are heated, more heat is released related to crystallization.
To quantify the effect obtained, the experimental results were processed. The quantitative assessment of the thermal effect of the phase transitions was preceded by subtraction of the baseline corresponding to the interval at the minimum points on the temperature change graph. The annealing start temperature (373 K) was chosen as the first point.
The task of the study was to determine the degree of crystallinity in a ribbon. In this regard, when choosing the second point, it was important to exclude the processes associated with the secondary phase transitions during heating of the ribbon. Therefore, the minimum temperature corresponding to the end of the first stage of the crystallization (843 K) was chosen as the second point.
The ratio of thermal effects between the curves allows us to estimate the change in the thermal effect with an increase in the thickness of the ribbon. By analogy with the works [2,3,4,5,6,7,10], the change in the thermal effect can be considered equal to the change in the degree of crystallinity of the ribbon. The ribbon with the thickness of 28 microns was selected as the base. The performed calculation showed that the change in the degree of crystallinity of the 34 microns ribbon relative to the base was 9.5%. The change in the degree of crystallinity in the ribbon of 38 microns relative to the base was 12.5%.
The result obtained does not allow us to estimate the degree of crystallinity in the ribbon, but shows the change in the proportion of crystals with an increase in the thickness of the ribbon. Based on the obtained result, it can be argued that the studied ribbons have a certain fraction of the crystalline phase.
Meanwhile, such an assessment gives only a generalized understanding of the process. It is impossible to estimate the change in the degree of crystallinity in various layers of the ribbon. In addition, it is impossible to estimate the phase composition of the resulting crystalline phase. Therefore, for a detailed study of the crystallization of the various ribbon layers, additional studies were carried out on the basis of the developed mathematical model.

4. Mathematical Model of Crystal Growth in Supercooled Eutectic Melt

The model of crystal growth, taking into account the mutual influence on each other in the supercooled melt, was built according to the method previously developed by the authors [6]. Equations (1) and (2) were used for dynamic modeling of the real cooling process. For the given mode of high-speed cooling of the melt on the rotating copper drum, the process of mutual crystal growth of each phase was described in accordance with the following approach.
As a part of the study, an alloy of the above composition was considered. The thermophysical characteristics of this material are close to the Fe-B alloy [6]. At a given cooling mode, the same crystalline phases are formed in the alloy under study as in the eutectic melt Fe83B17. Therefore, in order to simplify the calculations, mathematical modeling was carried out for the Fe83B17 system, which has been sufficiently studied [13,14,15,16,17,18,19,20]. Studies by many authors have shown [13,14,15,16,17] that with rapid cooling of the Fe83B17 melt, the crystals of iron and Fe2B phases are formed, as well as the crystals of the Fe3B metastable phase [13,14]. Therefore, the mathematical model included equations of change in the amount of the growing particles for each of the three phases. The value q is the number of molecules (or ions, atoms) in the particle. The value N(t,q) is such that for a small interval of particle sizes q, the value N(t,q) Δ q is the number of particles in the selected volume having the size from q to q + Δ q . The required particle distribution equations for each phase may be written as [6]
N t + ( N b ) q = 0 ,
where b ( t , q ) is the particle growth rate.
This equation makes it possible to calculate the interconnected crystal growth of all three phases. At the same time, the number of each size particle can be calculated at any time for each of the phases.
In accordance with the developed methodology [6], the number of N Fe L and N B L remaining Fe and B atoms in the melt was additionally calculated. To obtain these values, the following expressions were written as
N Fe L = N b e g ( 1 c 0 ) q G Fe N Fe ( t , q ) q d q 2 q G Fe 2 B N Fe 2 B ( t , q ) q d q 3 q G Fe 3 B N Fe 3 B ( t , q ) q d q ,
N B L = N b e g c 0 q G Fe 2 B N Fe 2 B ( t , q ) q d q q G Fe 3 B N Fe 3 B ( t , q ) q d q ,
where N b e g is the total number of the particles in the considered volume, c 0 is the initial molar fraction of component B in the melt and q G is the boundary size of the particle close to the critical size.
The obtained equations allow us to obtain an expression for the change in the concentration of iron in the melt as a function of time, which can be written as
c Fe ( t ) = N Fe L ( t ) N Fe L ( t ) + N B L ( t )
Expressions (3)–(6) describe the macro-process of the crystal growth of each of the phases taking into account their mutual influence on each other. To describe the micro-processes of the growth of the individual crystals and calculate the growth rate of each of the crystals of each of the phases, the model developed by methods of non-equilibrium thermodynamics was used [21,22]. A system consisted of a growing crystal in an initial melt was considered. The balance equations were written taking into account the thermal and diffusion processes in the phase of the crystal and the initial melt, as well as the processes of transition of the components through the interface. The transformation of the obtained expressions by non-equilibrium thermodynamics methods made it possible to write the following expressions for the growth rates b Fe and b Fe 2 B of the Fe and Fe2B crystals:
b Fe ( t , q ) = 4 π R N A D Fe ν ( x Fe Av x Fe ) ,
b Fe 2 B ( t , q ) = 4 π R N A D Fe M B ν Ψ M B x B + M Fe x Fe 2 x B x Fe ( x Fe Av x Fe ) ,
where v is the specific volume of the melt, R is the radius of the crystal (it was assumed for simplification that the growing particles have a spherical shape), D is the diffusion coefficient of the component, NA is Avogadro’s number, x Av and x are average molar fraction of the component in the solution and at the crystal surface and M is molar mass of the corresponding component.
When crystals grow in supercooled melts, the solute trapping effect is observed in some cases [23,24,25]. In this case, the crystal growth occurs at such a high rate that the crystallization front captures an excessive amount of impurity atoms. Because of such diffusionless growth, a deviation from the local equilibrium conditions is observed at the crystal–melt boundary. In the study [6,21], it was shown that with the growth of crystals in the system under consideration, the local equilibrium condition is fulfilled for the iron and Fe2B crystals only. For crystals of the metastable phase Fe3B, the deviation from the local equilibrium on the crystal surface is observed. Therefore, to obtain an expression of the growth rate of the Fe3B crystals, it is necessary to use special approaches. Currently, various methods have been developed to take into account the local non-equilibrium effects on the surface of a growing crystal [26,27,28,29,30,31,32]. In this paper, we used the expression for the growth rate of Fe3B crystals, which was obtained on the base of the variational method developed by the authors of this article [21,22]:
b Fe 3 B ( t , q ) = 4 π R N A D Fe M B ν ( M B x B + M Fe x Fe ) 3 x B x Fe ( x Fe Av x Fe ) + 8 π R N A ρ D Fe M Fe 3 B ,
where ρ is the crystal density, M Fe 3 B is the molar mass of the phase Fe3B.
To perform the calculations according to Equations (7)–(9), it is necessary to determine the concentration of the system components at the crystal surface for all the phases. Based on the theory developed by the authors [21,22,32], the quasi-equilibrium state diagram for the supercooled Fe-B melt was constructed, taking into account both the equilibrium crystal growth and the growth of the metastable phase. The obtained diagram made it possible to define the components concentrations at the surface of the growing crystals, both for Fe and Fe2B crystals with the local equilibrium on their surface, and for metastable Fe3B crystals with diffusionless growth. The resulting diagram was used for various supercooling of the melt corresponding to the temperature mode of solidification on the rotating drum.
In addition, the modified Zeldovich method was used to determine the probability of the crystals nucleation [21]. The nucleation rate equations were recorded separately for the Fe, Fe2B and Fe3B phases:
J = N 0 p ( q C r ) G 2 2 π exp ( Δ G ( q C r ) k T ) ,
where q C r is the number of molecules in the critical size nucleus, k is the Boltzmann constant, T is the temperature, Δ G is the change in Gibbs free energy due to formation of the nucleus consisting of q molecules, G 2 is the second derivative of Δ G ( q ) for the critical nucleus, p is the probability of the particle joining the surface of the critical nucleus and N 0 is the initial number of molecules (or atoms or ions) in the solution. Expression (10) was used to calculate the boundary values of the quantities N in Equation (3), i.e., to calculate the number of stable nuclei of near-critical sizes.
The mathematical model Equations (1)–(10) were solved using numerical methods by the specially developed software package. The following initial data were used in the calculations [6]: the activation energy of boron diffusion in the Fe-B melt—80,000 J/mol, the interfacial tension for iron nuclei—0.204 J/m2, the interfacial tension for Fe2B and Fe3B nuclei—0.3 J/m2.
To assess the degree of crystallinity, the criterion P [6] was introduced:
P = N C r y s N 0 ,
where NCrys is the number of molecules in the selected volume that have passed into the formed crystals and N0 is the initial number of molecules in the selected volume. Thus, if, after cooling on the copper drum, the melt has completely crystallized, then P = 1; and if no crystals have formed, then P = 0 (the resulting ribbon is amorphous).
The results of the degree of crystallinity P calculations in various layers of the ribbon with the thickness of 28 microns, depending on the melt cooling time, are shown in Figure 3.
The joint consideration of Figure 1 and Figure 3 allows us to understand the patterns of the ongoing processes. As it can be seen in Figure 1 during 10−6 s, the supercooling of the ribbon inner layers reaches 600 K. The same supercooling of the outer layers is achieved after 10−5 s. Meanwhile, even such ultra-fast cooling cannot completely stop the crystal growth in the melt. In Figure 3, it can be seen that the crystal growth in the ribbon begins with the start of the cooling process and ends after 10−4 s. During this time, all layers of the ribbon have time to cool down to about 400 K.
During the process, the crystallization of the different ribbon layers takes place in different ways. The inner layers of the ribbon at the surface of the drum cool down most quickly. Therefore, the ribbon layers at the distance of up to 5.6 microns from the surface of the drum do not contain a significant fraction of the crystals (the degree of crystallinity in these layers of the ribbon does not exceed 0.1%). When moving away from the drum surface, the degree of crystallinity increases and reaches 0.14% at a distance of 2.24 microns. When further approaching the outer surface, the cooling mode does not change significantly. This effect is visible from Figure 1b. The cooling rate slows down significantly in the outer layers of the ribbon. Therefore, the changes in the degree of crystallinity in these layers are insignificant. In the outer layer of the ribbon with the thickness of about 0.5 microns, the fraction of the crystalline phase practically does not change.
The results of calculations for ribbons of various thicknesses are shown in Figure 4. Calculations were carried out for the ribbons, similarly in Section 2, of the thickness of 28, 34 and 38 microns. Figure 4 shows the dependence of the change in the degree of crystallinity for each of the ribbons on the inner and outer surfaces.
As it can be seen in Figure 4, the degree of crystallinity in the inner layers of the ribbon is insignificant for all types of ribbons. It can be argued that the structure of the inner layers is similar for all types of ribbons. On the outer layers, the degree of crystallinity increases significantly with increasing the ribbon thickness. By the given cooling mode, the thickening of the ribbon of more than 30 microns leads to a significant increase in the degree of crystallinity.
Within the framework of experimental studies (Section 2), the experimental study of only three samples was carried out, which is not enough to obtain accurate quantitative results. However, the obtained data allow us to compare the results of calculations and experiments. For such a comparison, additional calculations were carried out using the mathematical model for different layers of the ribbons with the thickness of 28 microns and 34 microns in increments of 10% of the thickness. Based on the computations, the average fraction of crystals in the ribbon was calculated. The increase in the average degree of crystallinity in the ribbon with the thickness of 34 microns compared to the ribbon with the thickness of 28 microns was about 14%. As indicated in Section 2, the result of the experiment was 9.5%, which generally confirms the results of the calculation. Thus, the effectiveness of the integrated use of the mathematical modeling methods is confirmed with the experimental investigations to study the degree of crystallinity in an amorphous ribbon.
The developed methodology can be used for further investigation of the crystallization processes of supercooled melts. For these purposes, the mathematical model should be expanded. Equations (1) and (2) should be supplemented taking into account the cooling regime of the system under study.

5. Conclusions

A new method has been developed for studying the degree of crystallinity in various layers of amorphous ribbons obtained by casting on the rotating copper drum. The developed methodology allows us dynamic modeling of the crystal growth in the melt with a given cooling mode.
As part of the study, the mathematical model of crystal growth in a multicomponent eutectic melt was applied to the process of obtaining amorphous ribbons on the rotating copper drum. For this purpose, the model of temperature distribution over the cross-section of the ribbon cooled on the drum was additionally constructed. The analysis of changes in temperature and degree of crystallinity of the amorphous ribbon at different distances from the drum surface, depending on the casting process time, was carried out.
The amorphous ribbons with a thickness of 28, 34 and 38 microns previously obtained [6] when casting the melt of the composition (Fe—79.89%, B—15.40%, Si—4.40%, C—0.32%) were studied. The studies have shown the presence of the insignificant fraction of the crystalline phase in the amorphous ribbons under consideration. At the same time, the proportion of the crystalline phase differs significantly in various layers of the ribbon, and the difference in the degree of crystallinity of different thicknesses of ribbons is also revealed.
The outer layers of the ribbon cool down much more slowly than layers in contact with the rotating drum. Therefore, with increasing distance from the surface of the drum, the proportion of crystals in the ribbon increases. The degree of crystallinity in the outer layers of the ribbon (28 microns thickness) reaches 0.14%. The degree of crystallinity of the ribbon depends significantly on its thickness. The degree of crystallinity in the outer layers of the ribbon (38 microns thickness) reaches 0.55%.
To compare the calculation results with the experiment, a new calorimetric method for determining the degree of crystallinity by comparing the thermal effect during the annealing of ribbons was proposed. The experiments confirmed the presence of crystals in the studied ribbons and allowed us to estimate the change in the average degree of crystallinity in the ribbon with an increase in its thickness. The change in the degree of crystallinity of the 34 microns ribbon relative to the 28 microns ribbon was 9.5%. The change in the degree of crystallinity in the ribbon of 38 microns relative to the 28 microns ribbon was 12.5%.

Author Contributions

Conceptualization, M.V.D., A.D.D., V.E.R. and D.A.Z.; methodology, M.V.D. and R.S.M.; software, M.V.D.; validation, M.V.D. and A.D.D.; formal analysis, M.V.D. and A.D.D.; investigation, M.V.D. and A.D.D.; resources, M.V.D.; data curation, R.S.M.; writing—original draft preparation, M.V.D.; writing—review and editing, A.D.D., V.E.R. and D.A.Z.; visualization, M.V.D. and R.S.M.; supervision, A.D.D.; project administration, M.V.D. and A.D.D.; funding acquisition, A.D.D. and V.E.R. All authors have read and agreed to the published version of the manuscript.

Funding

This research was funded by the Ministry of Science and Higher Education of the Russian Federation, grant number FENU-2023-0011.

Data Availability Statement

The data presented in this study are available in the article.

Conflicts of Interest

The authors declare no conflicts of interest.

References

  1. Herlach, D.M.; Galenko, P.K.; Holland-Moritz, D. Metastable Solids from Undercooled Melts; Pergamon Materials Series; Elsevier: Amsterdam, The Netherlands; London, UK, 2007; ISBN 978-0-08-043638-8. [Google Scholar]
  2. Schawe, J.E.K. Remarks Regarding the Determination of the Initial Crystallinity by Temperature Modulated DSC. Thermochim. Acta 2017, 657, 151–155. [Google Scholar] [CrossRef]
  3. Paul, T.; Loganathan, A.; Agarwal, A.; Harimkar, S.P. Kinetics of Isochronal Crystallization in a Fe-Based Amorphous Alloy. J. Alloys Compd. 2018, 753, 679–687. [Google Scholar] [CrossRef]
  4. Pratap, A.; Lad, K.N.; Rao, T.L.S.; Majmudar, P.; Saxena, N.S. Kinetics of Crystallization of Amorphous Cu50Ti50 Alloy. J. Non-Cryst. Solids 2004, 345–346, 178–181. [Google Scholar] [CrossRef]
  5. Yazdani, A.; Höhne, G.W.H.; Misture, S.T.; Graeve, O.A. A Method to Quantify Crystallinity in Amorphous Metal Alloys: A Differential Scanning Calorimetry Study. PLoS ONE 2020, 15, e0234774. [Google Scholar] [CrossRef]
  6. Dudorov, M.V.; Drozin, A.D.; Stryukov, A.V.; Roshchin, V.E. Mathematical Model of Solidification of Melt with High-Speed Cooling. J. Phys. Condens. Matter 2022, 34, 444002. [Google Scholar] [CrossRef]
  7. Zhou, X.; Liu, D.; Bu, H.; Deng, L.; Liu, H.; Yuan, P.; Du, P.; Song, H. XRD-Based Quantitative Analysis of Clay Minerals Using Reference Intensity Ratios, Mineral Intensity Factors, Rietveld, and Full Pattern Summation Methods: A Critical Review. Solid Earth Sci. 2018, 3, 16–29. [Google Scholar] [CrossRef]
  8. Abrosimova, G.; Gunderov, D.; Postnova, E.; Aronin, A. Changes in the Structure of Amorphous Alloys under Deformation by High-Pressure Torsion and Multiple Rolling. Materials 2023, 16, 1321. [Google Scholar] [CrossRef]
  9. Konstantinidis, N.; Fos, A.; Svec, P.; Papadopoulos, N.; Vourna, P.; Hristoforou, E. Morphology and Magnetic Properties of Rapidly Quenched Fe-B Alloys. J. Magn. Magn. Mater. 2022, 564, 170054. [Google Scholar] [CrossRef]
  10. Wang, A.; Zhao, C.; Men, H.; He, A.; Chang, C.; Wang, X.; Li, R.-W. Fe-Based Amorphous Alloys for Wide Ribbon Production with High Bs and Outstanding Amorphous Forming Ability. J. Alloys Compd. 2015, 630, 209–213. [Google Scholar] [CrossRef]
  11. Wang, A.; Zhao, C.; He, A.; Men, H.; Chang, C.; Wang, X. Composition Design of High B s Fe-Based Amorphous Alloys with Good Amorphous-Forming Ability. J. Alloys Compd. 2016, 656, 729–734. [Google Scholar] [CrossRef]
  12. Yang, C.; Liu, F.; Yang, G.; Zhou, Y. Structure Evolution upon Non-Equilibrium Solidification of Bulk Undercooled Fe–B System. J. Cryst. Growth 2009, 311, 404–412. [Google Scholar] [CrossRef]
  13. Zhang, D.; Xu, J.; Liu, F. In Situ Observation of the Competition Between Metastable and Stable Phases in Solidification of Undercooled Fe-17at. pctB Alloy Melt. Met. Mater. Trans. A 2015, 46, 5232–5239. [Google Scholar] [CrossRef]
  14. Yang, C.; Yang, G.; Liu, F.; Chen, Y.; Liu, N.; Chen, D.; Zhou, Y. Metastable Phase Formation in Eutectic Solidification of Highly Undercooled Fe83B17 Alloy Melt. Phys. B Condens. Matter 2006, 373, 136–141. [Google Scholar] [CrossRef]
  15. Ma, C.; Yang, L.; Li, J. Solidification Behavior of Undercooled Fe75B25 Alloy. Metals 2023, 13, 1450. [Google Scholar] [CrossRef]
  16. Van Rompaey, T.; Hari Kumar, K.C.; Wollants, P. Thermodynamic Optimization of the B–Fe System. J. Alloys Compd. 2002, 334, 173–181. [Google Scholar] [CrossRef]
  17. Wu, X.; Wang, G.; Zeng, D. Prediction of the Glass Forming Ability in a Fe-25%B Binary Amorphous Alloy Based on Phase-Field Method. J. Non-Cryst. Solids 2017, 466–467, 52–57. [Google Scholar] [CrossRef]
  18. Palumbo, M.; Baricco, M. Modelling of Primary Bcc-Fe Crystal Growth in a FeB Amorphous Alloy. Acta Mater. 2005, 53, 2231–2239. [Google Scholar] [CrossRef]
  19. Battezzati, L.; Antonione, C.; Baricco, M. Undercooling of Ni-B and Fe-B Alloys and Their Metastable Phase Diagrams. J. Alloys Compd. 1997, 247, 164–171. [Google Scholar] [CrossRef]
  20. Palumbo, M.; Cacciamani, G.; Bosco, E.; Baricco, M. Driving Forces for Crystal Nucleation in Fe–B Liquid and Amorphous Alloys. Intermetallics 2003, 11, 1293–1299. [Google Scholar] [CrossRef]
  21. Dudorov, M.V. Decomposition of Crystal-Growth Equations in Multicomponent Melts. J. Cryst. Growth 2014, 396, 45–49. [Google Scholar] [CrossRef]
  22. Dudorov, M.V.; Drozin, A.D.; Stryukov, A.V.; Roshchin, V.E. Variational Theory of Crystal Growth and Its Application for Analysis of Forming Processes for Metastable Phases in Overcooled Metallic Melts with Eutectic Composition. CIS Iron Steel Rev. 2021, 2021, 48–54. [Google Scholar] [CrossRef]
  23. Baker, J.C.; Gahn, J.W. Solute Trapping by Rapid Solidification. Acta Metall. 1969, 17, 575–578. [Google Scholar] [CrossRef]
  24. Aziz, M.J. Model for Solute Redistribution during Rapid Solidification. J. Appl. Phys. 1982, 53, 1158–1168. [Google Scholar] [CrossRef]
  25. Aziz, M.J.; Kaplan, T. Continuous Growth Model for Interface Motion during Alloy Solidification. Acta Metall. 1988, 36, 2335–2347. [Google Scholar] [CrossRef]
  26. Jackson, K.A.; Beatty, K.M.; Gudgel, K.A. An Analytical Model for Non-Equilibrium Segregation during Crystallization. J. Cryst. Growth 2004, 271, 481–494. [Google Scholar] [CrossRef]
  27. Boettinger, W.J.; Warren, J.A.; Beckermann, C.; Karma, A. Phase-Field Simulation of Solidification. Annu. Rev. Mater. Res. 2002, 32, 163–194. [Google Scholar] [CrossRef]
  28. Galenko, P.K.; Jou, D. Rapid Solidification as Non-Ergodic Phenomenon. Phys. Rep. 2019, 818, 1–70. [Google Scholar] [CrossRef]
  29. Sobolev, S.L. Local Non-Equilibrium Diffusion Model for Solute Trapping during Rapid Solidification. Acta Mater. 2012, 60, 2711–2718. [Google Scholar] [CrossRef]
  30. Galenko, P.K.; Ankudinov, V. Local Non-Equilibrium Effect on the Growth Kinetics of Crystals. Acta Mater. 2019, 168, 203–209. [Google Scholar] [CrossRef]
  31. Wu, X.H.; Wang, G.; Zeng, D.C.; Liu, Z.W. Prediction of the Glass-Forming Ability of Fe–B Binary Alloys Based on a Continuum-Field-Multi-Phase-Field Model. Comput. Mater. Sci. 2015, 108, 27–33. [Google Scholar] [CrossRef]
  32. Dudorov, M.V.; Roshchin, V.E. Simulation of Crystal Growth in Multicomponent Metastable Alloys. Steel Transl. 2019, 49, 836–842. [Google Scholar] [CrossRef]
Figure 1. The temperature distribution: (a) in the outer and inner layers of the ribbons of different thicknesses depending on the time t; (b) in various layers of the ribbons of different thicknesses depending on the distance d from the surface of the drum at t = 10−5 s from the beginning of the process.
Figure 1. The temperature distribution: (a) in the outer and inner layers of the ribbons of different thicknesses depending on the time t; (b) in various layers of the ribbons of different thicknesses depending on the distance d from the surface of the drum at t = 10−5 s from the beginning of the process.
Crystals 14 00048 g001
Figure 2. Calorimetric analysis of the ribbons of various thicknesses.
Figure 2. Calorimetric analysis of the ribbons of various thicknesses.
Crystals 14 00048 g002
Figure 3. The change in the degree of crystallinity P in the various layers of the ribbon with the thickness of 28 microns, depending on the time during the cooling.
Figure 3. The change in the degree of crystallinity P in the various layers of the ribbon with the thickness of 28 microns, depending on the time during the cooling.
Crystals 14 00048 g003
Figure 4. The change in the degree of crystallinity P near the inner and outer of the ribbons surfaces depending on the time t.
Figure 4. The change in the degree of crystallinity P near the inner and outer of the ribbons surfaces depending on the time t.
Crystals 14 00048 g004
Disclaimer/Publisher’s Note: The statements, opinions and data contained in all publications are solely those of the individual author(s) and contributor(s) and not of MDPI and/or the editor(s). MDPI and/or the editor(s) disclaim responsibility for any injury to people or property resulting from any ideas, methods, instructions or products referred to in the content.

Share and Cite

MDPI and ACS Style

Dudorov, M.V.; Drozin, A.D.; Morozov, R.S.; Roshchin, V.E.; Zherebtsov, D.A. The Degree of Metallic Alloys Crystallinity Formed under Various Supercooling Conditions. Crystals 2024, 14, 48. https://doi.org/10.3390/cryst14010048

AMA Style

Dudorov MV, Drozin AD, Morozov RS, Roshchin VE, Zherebtsov DA. The Degree of Metallic Alloys Crystallinity Formed under Various Supercooling Conditions. Crystals. 2024; 14(1):48. https://doi.org/10.3390/cryst14010048

Chicago/Turabian Style

Dudorov, Maxim V., Alexander D. Drozin, Roman S. Morozov, Vasiliy E. Roshchin, and Dmitry A. Zherebtsov. 2024. "The Degree of Metallic Alloys Crystallinity Formed under Various Supercooling Conditions" Crystals 14, no. 1: 48. https://doi.org/10.3390/cryst14010048

APA Style

Dudorov, M. V., Drozin, A. D., Morozov, R. S., Roshchin, V. E., & Zherebtsov, D. A. (2024). The Degree of Metallic Alloys Crystallinity Formed under Various Supercooling Conditions. Crystals, 14(1), 48. https://doi.org/10.3390/cryst14010048

Note that from the first issue of 2016, this journal uses article numbers instead of page numbers. See further details here.

Article Metrics

Back to TopTop