Abstract
Zirconium (Zr) element doping has proven to be an effective strategy for reinforcing the strength and toughness of Pt-Rh alloys. However, the incorporation of Zr into Pt-Rh alloy in solid solution form renders its microstructural observation challenging through experimental means, thus complicating the elucidation of its underlying mechanisms. Therefore, this study employs density functional theory-based first-principles calculations to investigate the mechanical and thermodynamic properties of Pt-40Rh-xZr (x = 0, 0.1, 0.5, 1.0) alloys. The results reveal that with an increasing Zr weight percentage, Young’s modulus, and hardness of Pt-40Rh-xZr alloys exhibit a trend of an initial decrease followed by a subsequent increase. Notably, at a Zr weight percentage of 1.0 wt.%, the alloy Pt-40Rh-1.0Zr demonstrates the highest Young’s modulus (329.119 GPa) and hardness (10.590 GPa). Concurrently, thermodynamic calculations indicate that as Zr content increases, the crystal thermal stability of Pt-40Rh-xZr alloys initially decreases before rising again. More specifically, the coefficient of thermal expansion for Pt-40Rh-1.0Zr is merely 89.518% of that observed in Pt-40Rh. These results imply that incorporating 1.0 wt.% Zr results in the most substantial enhancement in the comprehensive mechanical properties of the Pt-40Rh-xZr alloy. Consequently, this study offers theoretical insights that can guide the extended application of Pt-Rh alloys.
1. Introduction
Pt-based alloys, which include platinum as a primary constituent, possess exceptional attributes marked by enhanced thermal stability, resistance to corrosion, and endurance against oxidation. These traits confer upon them remarkable versatility spanning a spectrum of industries, encompassing aerospace, aviation, glass production, ceramics, and the chemical sector [1,2,3]. Presently, the most well-developed Pt-based alloy fortified with a solid solution is the Pt-Rh system. Nevertheless, its capacity for high-temperature strength remains insufficient to meet the criteria set for aerospace engine nozzles [4]. Even with an elevated content of rhodium (Rh > 40 wt.%), advances in high-temperature mechanical performance are significantly constrained, leading to an evident reduction in processing ability [5,6]. As a result, the extended utilization and advancement of Pt-Rh alloys within the aerospace domain face limitations.
Researchers have extensively investigated this matter. The maximum Rh addition to Pt-based alloys is 40 wt.%. Ning et al. [7] observed that the Rh can improve the mechanical properties of Pt-based alloys; however, this strengthening effect diminishes beyond 25% Rh content. Notably, Fairbank [8] emphasized that introducing Zirconium (Zr) to the Pt-Rh system forms Pt4Zr compounds, enhancing the alloy’s high-temperature mechanical attributes. Su et al. [9] affirmed that Zr addition to Pt-Rh alloys induces dispersion strengthening, leading to a notable reduction in thermal expansion coefficients above 800 °C, accompanied by significant enhancements in crystal structure stability, thermal tensile strength, and elongation. These findings collectively highlight that alloy element doping effectively enhances the high-temperature mechanical performance of Pt-40Rh alloys. Zirconium (Zr), known for its elevated melting point of 1852 °C, impressive resistance to corrosion, thermal stability, and high strength at elevated temperatures, presents itself as a prospective dopant for Pt-40Rh alloys. Nonetheless, the integration of Zr into the Pt-40Rh alloy matrix in a solid solution form introduces complexities in discerning its configuration and the resultant impact on mechanical properties at high temperatures, utilizing conventional experimental methodologies. [10].
With the advancement of computer technology and the development of first-principles calculations, new opportunities have been brought to the analysis and performance prediction of Pt-Rh solid solution structures. For example, Maisel et al. [11] noted that Pt–Rh is a random alloy rather than a phase-separating system at higher temperatures, based on first-principles simulations. Bellaiche et al. [12] proposed the application of the virtual crystal approximation model for property calculations in solid solutions. Along these lines, Wei et al. [13] studied the high-temperature mechanical properties and thermal properties of Pt-40Rh; the crystalloid volume of Pt-40Rh was strongly influenced by the pressure and temperature. The higher the temperature and reduced pressure, the greater the change in volume. Meanwhile, Wu et al. [14] analyzed the effect of Ir doping on Pt-20Rh, and the results showed that the Ir can improve the high-temperature service performance of Pt-20Rh alloy. Based on the aforementioned literature, virtual crystal approximation based on first-principles calculations can effectively analyze the influence of the Zr element on the mechanical and thermodynamic properties of Pt-40Rh.
In this research, the methodology of first-principles density functional theory (DFT) was employed [15]. The investigation involved analyzing the elastic properties and thermal characteristics of Pt-40Rh-xZr alloys through the utilization of a virtual crystal approximation model [16]. The elastic constants of Pt-40Rh-xZr alloys, varying in Zr content, were determined using elastic matrix elements. Additionally, the thermodynamic properties of these alloys were accomplished by utilizing Gibbs software [17]. Furthermore, an examination of the electronic properties was conducted to reveal the intrinsic mechanisms responsible for enhancing the mechanical and thermodynamic properties of Pt-40Rh-xZr alloys. Ultimately, valuable insights were acquired regarding the influence of Zr content on the comprehensive mechanical properties of Pt-40Rh-xZr alloys.
2. Model Construction and Calculation Methods
2.1. Model Construction
The study’s calculations employed the CASTEP module [18] integrated into Materials Studio software. Electronic structure calculations for total energy utilized Vanderbilt’s established non-local ultrasoft pseudopotentials [19] in conjunction with the Perdew–Burke–Ernzerhof (PBE) functional [20] within the framework of the generalized gradient approximation (GGA). A cutoff energy of 800 eV and a Monkhorst–Pack k-point mesh of 15 × 15 × 15 were selected. Valence electron configurations included Pt (s1d9), Rh (s1d8), and Zr (s4p4s5d4). Throughout the iterative process, energy convergence was achieved with an accuracy of 5 × 10−6 eV/atom, maintaining a maximum force convergence of 0.02 GPa, and a maximum displacement convergence set at 0.005 Å.
2.2. Elastic Constants Analysis
Elastic constants are pivotal parameters that characterize the elastic properties of materials. They are defined theoretically [21]
Among these, represents the externally applied stress, the symbol “” signifies strain, while “” and “” represent coordinates before and after deformation. This equation’s solution, within the framework of cubic crystals, results in three distinct elastic constants: , , and . Further elasticity-related parameters can be determined utilizing the Voigt–Reuss–Hill approximation [22], as outlined below:
2.3. Thermodynamic Properties’ Calculation
To derive the thermodynamic properties of Pt-40Rh-xZr alloys, this study utilized Gibbs software, which relies on the quasi-harmonic Debye model. This model combines the non-equilibrium Gibbs free energy, which includes static energy, lattice vibrational energy, and energy fluctuations due to volume alterations. The expression for this model is as follows:
where, “” represents the potential energy at equilibrium, a quantity intricately tied to the volume and obtainable through electronic structure calculations. The term indicates alterations in enthalpy resulting from the application of pressure. denotes the vibrational free energy, and can be expressed in the following form:
where represents the Debye integral, and its form is given by:
where Θ represents the Debye temperature, and its calculation formula is given as follows:
Within the provided equation, the variable “” signifies the count of atoms within the molecule. The symbols “” and “” are used to, respectively, symbolize Poisson’s ratio and molar mass. The function “” is precisely characterized in the following manner:
Minimizing the volume with respect to the Gibbs function :
This procedure yields the equilibrium volume at a given pressure and temperature . With this equilibrium volume, we can obtain the isothermal bulk modulus within equilibrium thermodynamic relationships, as outlined below:
Once the equilibrium state is achieved, the crystal’s molar heat capacity at a constant volume (), molar heat capacity at constant pressure (), and thermal expansion coefficient (α) can be determined using the equations below:
3. Calculation Results and Analysis
3.1. Basic Physical Properties of the Pt-40Rh-xZr Alloy
The crystal structure of Pt-40Rh-xZr, as illustrated in Figure 1, belongs to the cubic space group FM-3M (OH-5) with a group number of 225. In order to set up the initial lattice model for the virtual crystal approximation, this article converts the weight percentage of the alloy into an atomic percentage. After structural optimization, the resultant proportions of atomic percent, lattice constants, and bond angles for each site are detailed in Table 1. In this study, the establishment of the solid solution structure was facilitated through the utilization of Materials Studio software. Following the principles of the virtual crystal approximation method elucidated in the reference, the seamless integration of Pt, Rh, and Zr atoms into the existing atomic lattice sites within the crystal lattice becomes plausible. By strategically assigning atoms based on their comprehensive atomic percentage within the system, we enable a nuanced analysis of the influence of element doping on the system’s properties. This configuration entails the simultaneous co-occupation of these sites by the three distinct atom types, each in varying proportions. Evidently, an increase in Zr content leads to a gradual expansion of the lattice constant of Pt-40Rh-xZr.
Figure 1.
The schematic crystal structure of Pt-40Rh-xZr alloy under varying Zr contents.
Table 1.
Crystallographic characteristics of the Pt-40Rh-xZr alloy under varying Zr contents.
The enthalpy of formation (ΔH) is frequently employed to signify the simplicity or complexity of alloy phase creation. Conversely, cohesive energy (Ecoh) relates to the energy liberated upon the aggregation of atoms, initially in their independent states, leading to the formation of a compound characterized by a crystalline structure. The computational expression [23] is presented below:
Within the formula, Etotal signifies the total energy per atom of intermetallic compounds within the alloy. N and Es indicate the number of atoms and the average energy in the bulk crystal, respectively. Ea is the energy of a single atom belonging to a specific element in its unbound state. The outcomes of the calculations for Ecoh and ΔH in the Pt-40Rh-xZr alloy are laid out in Table 2. A negative binding energy signifies the intrinsic stability of the resulting compound, while a positive enthalpy of formation implies a requirement for heat absorption during the reaction process. A decreased enthalpy of formation corresponds to diminished heat demand for the reaction, thus facilitating the reaction’s advancement. It is evident that the cohesive energies for all four alloys are negative, underscoring their inherent stability. Moreover, at a Zr content of 1.0 wt.%, the Pt-40Rh-1.0Zr alloy exhibits the minimum cohesive energy of −5.512 eV, indicating its most stable structure. Meanwhile, with an increase in Zr content, the enthalpy of formation decreases, suggesting a decreased change in their formation.
Table 2.
The enthalpy of formation (ΔH) and cohesive energy (Ecoh) of the alloys under varying Zr contents.
3.2. Mechanical Properties of Pt-40Rh-xZr
For this investigation, the elastic matrix method was utilized to calculate the elastic constants (C11, C12, C44) of Pt-40Rh-xZr alloys under conditions of absolute zero temperature and zero pressure. In the case of cubic crystals, the criteria for mechanical stability are defined as C11 > |C12|, C11 + 2C12 > 0, and C44 > 0 [24]. A summary of the outcomes is presented in Table 3.
Table 3.
Elastic constants (Cij), bulk modulus (B), shear modulus (G), B/G ratio, Poisson’s ratio (ν), Young’s modulus (E), and Vickers hardness (HV) of the alloy under different Zr contents.
The calculated elastic constants of Pt-40Rh-xZr alloys fulfill the prescribed criteria, underscoring the structural stability of the alloys under both zero-temperature and zero-pressure conditions. Pugh [25] proposed that a material demonstrates ductility when the ratio of bulk modulus to shear modulus (B/G) exceeds 1.75; otherwise, it is considered brittle. The B/G ratio for Pt-40Rh-xZr alloys exceeds 1.75, implying favorable ductility for all Pt-40Rh-xZr alloys and categorizing them as robust materials. In Figure 2, a further comparison is depicted regarding the variations in the volume modulus, shear modulus, and Young’s modulus of Pt-40Rh materials as Zr content varies. With an increase in Zr content, the volume modulus, shear modulus, and Young’s modulus all exhibit gradual increments. These values reach their zenith at a 1.0 wt.% Zr (resulting in volume modulus, shear modulus, and Young’s modulus values of 276.385 GPa, 126.435 GPa, and 329.119 GPa, respectively). This observation implies a significant enhancement in the mechanical properties of the Pt-40Rh-1.0Zr material in comparison with Pt-40Rh at this specific content.
Figure 2.
The bulk modulus, shear modulus, and Young’s modulus of Pt-40Rh-xZr material.
Upon further comparison of Poisson’s ratio (ν) variations following Zr addition (refer to Figure 3), the results indicate that the ν for the Pt-40Rh, Pt-40Rh-0.1Zr, Pt-40Rh-0.5Zr, and Pt-40Rh-1.0Zr alloys is recorded as 0.311, 0.309, 0.305, and 0.302, respectively. All these values surpass 0.25, signifying the ductile nature of the four materials, in alignment with the B/G ratio findings. It is noteworthy that the decreased Poisson’s ratio of Pt-40Rh-1.0Zr implies its heightened mechanical strength in comparison to the other alloy compositions.
Figure 3.
Two-dimensional Poisson’s ratio projection for Pt-40Rh-xZr alloys (a) Pt-40Rh, (b) Pt-40Rh-0.1Zr, (c) Pt-40Rh-0.5Zr, (d) Pt-40Rh-1.0Zr. (Blue line represents the maximum Poisson’s ratio; Red line represents the average Poisson’s ratio, and green line represents the minimum Poisson’s ratio.)
Furthermore, in accordance with the empirical model introduced by Chen et al. [26] to predict Vickers hardness (), this investigation evaluated the theoretical hardness of Pt-40Rh-xZr alloys. The assessment formula is presented below:
In this context, and represent the Pugh’s modulus ratio (K = G/B) and shear modulus, respectively. Employing this formula, we calculated the theoretical hardness of Pt-40Rh-xZr alloys within this study, as illustrated in Figure 4. The outcomes indicate a proportional increase in the hardness of Pt-40Rh-xZr alloys with rising Zr content. Upon reaching a Zr content of 1.0 wt.%, the theoretical hardness peaks at 10.59 GPa. This observation highlights a significant enhancement in the hardness of the Pt-40Rh-1.0Zr alloy, which aligns with the consistency in the elastic module values. The observed phenomenon may be attributed to the increase in Zr content, which promotes the refinement of microcrystals. This effect has the potential to enhance the performance after the addition of Zr [27].
Figure 4.
The hardness of Pt-40Rh-xZr alloy under different Zr contents.
3.3. Thermal Properties of Pt-40Rh-xZr Alloys
Due to the primary application of Pt-Rh alloy as a nozzle material in rockets operating at elevated temperatures (1200–1600 °C), it is crucial to examine the impact of varying Zr content on the thermodynamic characteristics of Pt-40Rh-xZr alloys. To delve deeper into the thermodynamic behavior of Pt-40Rh-xZr alloys under operating temperatures, the Gibbs code was utilized to forecast the thermodynamic properties across the temperature range of 0 to 2000 K. Figure 5 illustrates the Birch–Murnaghan equation [28] of the state (BM EOS) curves for Pt-40Rh-xZr alloys at varying Zr concentrations. The figure highlights a notable congruence between the computed data points of the four Pt-40Rh-xZr alloys and the BM fitting formula concerning volume and energy fluctuations. Through the fitting process, the volume modulus and its initial derivative were determined, revealing that the peak value of the volume modulus for the alloy was achieved at a Zr content of 1.0 wt.%. Furthermore, the primary derivative of the volume modulus signifies the pace of volume modulus alteration with respect to pressure and volume. Notably, the minimal rate of change of the volume modulus occurs at 1.0 wt.% Zr, suggesting the structural stability of this composition.
Figure 5.
EOS fitting results for the Pt-40Rh-xZr alloys (a) Pt-40Rh, (b) Pt-40Rh-0.1Zr, (c) Pt-40Rh-0.5Zr, and (d) Pt-40Rh-1.0Zr.
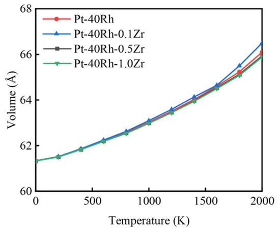
Figure 6 presents the volume variation in the four alloys with respect to temperature. As depicted, elevating the temperature leads to an expansion in crystal volume. In the high-temperature range (1500–2000 K), both the Pt-40Rh and Pt-40Rh-0.1Zr alloys exhibit accelerated volume expansion rates. By reaching 2000 K, the Pt-40Rh-0.1Zr alloy attains a volume of 68.686 Å3, whereas the expansion rate of the Pt-40Rh-1.0Zr alloy decelerates, resulting in a volume of 67.815 Å3 at 2000 K. This analysis implies that crystals manifest more substantial expansion at elevated temperatures and reduced pressures. Nevertheless, this trend weakens with an augmentation in Zr content.
Figure 6.
Temperature–volume (T–V) relationships of cells with varying Zr contents.
Figure 7 illustrates the correlation between molar heat capacities ( and ) and temperature under zero-pressure conditions for Pt-40Rh-xZr alloys. It is evident that below around 200 K, the value for the crystal undergoes a marked rise as the temperature increases, displaying an average slope of about 0.43. Beyond 200 K, the rate of this growth begins to decelerate. Nonetheless, at identical temperatures, the values diminish with escalating Zr composition. When temperatures surpass 1000 K, the value closely converges towards the Dulong–Petit limit, as defined by Dulong–Petit’s law [29]:
Figure 7.
The relationship between the molar heat capacities (Cv, Cp) of the alloy at different Zr contents and temperatures (T) (a) Cv (b) Cp.
The universal gas constant, denoted as , equals 8.314, while the dimensionless heat capacity denoted as C* remains consistently at 3. In the crystalline structure of Pt-40Rh-xZr containing four atomic entities, the calculated Dulong–Petit limit is determined to be 99.768 J·mol−1·K−1. As shown in Figure 7a, the specific heat capacity at constant volume () of the Pt-40Rh alloy gradually stabilizes with increasing temperature. Below 600 K, it demonstrates a rapid growth rate; however, beyond 600 K, the rate of increase significantly diminishes. Comparative to equivalent temperatures, Pt-40Rh-1.0Zr displays the smallest molar volume heat capacity and constant pressure heat capacity (illustrated in Figure 7b). This indicates its enhanced capability for rapid heat transfer, mitigating the material’s vulnerability to reduced high-temperature mechanical performance and potential failure due to thermal accumulation.
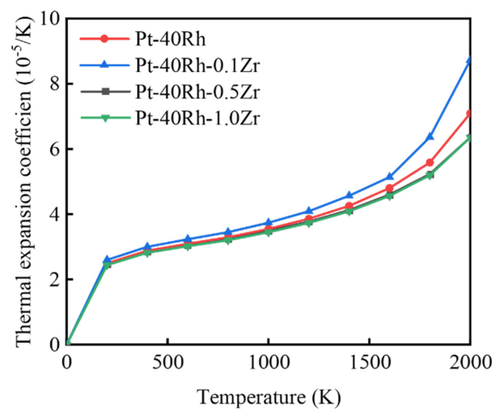
Furthermore, the coefficient of thermal expansion functions as a metric for a material’s response to temperature fluctuations. Figure 8 illustrates the effect of Zr on the thermal expansion coefficient of Pt-40Rh-xZr alloys. Notably, as temperatures drop below 300 K, the coefficients of thermal expansion for each crystal exhibit a significant rise as the temperature increases, demonstrating an average growth rate of 2.317 × 10−5·K−1. However, as temperatures surpass 300 K, the rate of growth in the thermal expansion coefficients of the crystals gradually diminishes. Beyond the threshold of 1200 K, the rate of expansion in the thermal coefficient experiences renewed acceleration, particularly evident in Pt-40Rh and Pt-40Rh-0.1Zr alloys, reaching values of 7.079 × 10−5·K−1 and 8.738 × 10−5·K−1, respectively, at 2000 K. Furthermore, the graphical representation highlights that higher Zr concentrations lead to reduced susceptibility of the crystal’s thermal expansion coefficient to temperature variations. Noteworthy is the Pt-40Rh-1.0Zr alloy which, at 2000 K, displays a coefficient of 6.337 × 10−5·K−1, about 89% of that observed in the Pt-40Rh alloys. This trend indicates that with increasing temperature, lattice vibrations become more pronounced; however, the introduction of a specific Zr composition mitigates these vibrations at equivalent temperatures, thereby reducing the potential for material degradation during high-temperature operational conditions.
Figure 8.
Coefficient of thermal expansion in Pt-40Rh-xZr alloys.
Moreover, to elucidate the mechanistic influence of Zr incorporation on the high-temperature performance of Pt-40Rh, this study extensively investigated the density of states in Pt-40Rh-xZr alloys. The outcomes are depicted in Figure 9. The x-axis illustrates normalized electron states at the Fermi level. Clearly, all four alloys exhibit metallic traits. Specifically, with the introduction of Zr at a content of 1.0 wt.%, electron states at the Fermi level align within a trough, flanked by two peaks that give rise to a quasi-bandgap [30]. This distinct electronic configuration considerably enhances its structural stability, thereby bolstering its endurance at elevated temperatures.
Figure 9.
The density of the state of Pt-40Rh-xZr.
4. Conclusions
The present study utilizes first-principles calculations grounded in density functional theory (DFT) to investigate the structural stability, mechanical and thermodynamic behavior of Pt-40Rh-xZr alloys. Analysis of the equation of state fitting reveals enhanced stability in crystals containing Zr content compared to the Pt-40Rh composition. Computational assessment of elastic constants indicates that the Pt-40Rh-1.0Zr alloy demonstrates the highest resistance to elastic deformation (B = 276.385 GPa) and desirable malleability (with a Poisson’s ratio of 0.302). These observations emphasize an improved mechanical performance of the Pt-40Rh alloy with the introduction of a specific quantity of Zr. Thermodynamic analysis reveals a decrease in heat capacity and an elevation in thermal conductivity upon the addition of Zr. Particularly, at 2000 K, the coefficient of thermal expansion for Pt-40Rh-1.0Zr registers merely 6.337 × 10−5·K−1, equivalent to approximately 89% of the value observed in the Pt-40Rh alloys. This investigation yields an optimal Zr content of 1.0 wt.% for Pt-40Rh, thereby furnishing theoretical insights for the further advancement and application of Pt-40Rh alloys within the aerospace sector.
Author Contributions
Conceptualization, H.D. and Q.G.; methodology, X.W. (Xiao Wang) and Z.Y.; software, X.W. (Xiao Wang); formal analysis, X.W. (Xian Wang); investigation, H.C.; resources, C.H.; data curation, F.L.; writing—original draft preparation, F.L.; writing—review and editing, Y.W., J.C. and S.Z.; project administration, H.D.; funding acquisition, H.D. and Y.W. All authors have read and agreed to the published version of the manuscript.
Funding
This research was funded by The Major Science and Technology Program of Yunnan, China (202203ZA080001); The National Natural Science Foundation of China (No. 52161005, 52263034), and the Open Project of Yunnan Precious Metals Laboratory Co., Ltd. (YPML—2023050239, YPML—2023050213, YPML—2022050215).
Data Availability Statement
Not applicable.
Conflicts of Interest
The authors declare no conflict of interest.
References
- Teliska, M.; Murthi, V.S.; Mukerjee, S.; Ramker, D.E. Site-specific vs specific adsorption of anions on Pt and Pt-based alloys. J. Phys. Chem. C 2007, 111, 9267–9274. [Google Scholar] [CrossRef]
- Ren, X.F.; Lv, Q.Y.; Liu, L.F.; Liu, B.G.; Wang, Y.R.; Liu, A.M.; Wu, G. Current progress of Pt and Pt-based electrocatalysts used for fuel cells. Sustain. Energ. Fuels 2020, 4, 15–30. [Google Scholar] [CrossRef]
- Qian, W.; Hao, R.; Zhou, J.; Eastman, M.; Manhat, B.A.; Sun, Q.; Goforth, A.M.; Jiao, J. Exfoliated graphene-supported Pt and Pt-based alloys as electrocatalysts for direct methanol fuel cells. Carbon 2013, 52, 595–604. [Google Scholar] [CrossRef]
- Luo, S.P.; Zhang, L.; Liao, Y.J.; Li, L.X.; Yang, Q.; Wu, X.T.; Wu, X.Y.; He, D.S.; He, C.Y.; Chen, W.; et al. A tensile-strained Pt–Rh single-atom alloy remarkably boosts ethanol oxidation. Adv. Mater. 2021, 33, 2008508. [Google Scholar] [CrossRef] [PubMed]
- Devendra, B.K.; Praveen, B.M.; Tripathi, V.S.; Nagaraju, D.H.; Nayana, K.O. Pt–Rh alloy catalysts for hydrogen generation developed by direct current/pulse current method. J. Iran. Chem. Soc. 2022, 19, 1913–1922. [Google Scholar] [CrossRef]
- Merker, J.; Lupton, D.; Töpfer, M.; Knake, H. High temperature mechanical properties of the platinum group metals. Platin. Met. Rev. 2001, 45, 74–82. [Google Scholar]
- Ning, Y.; Yang, Z.; Wen, F. Platinum; Metallurgical Industry Press: Beijing, China, 2010. [Google Scholar]
- Fairbank, G.B.; Humphreys, C.J.; Kelly, A.; Jones, C.N. Ultra-high temperature intermetallics for the third millennium. Intermetallics 2000, 8, 1091–1100. [Google Scholar] [CrossRef]
- Su, Z.H.; Peng, X.D.; Xie, W.D.; Liu, W.T.; Yang, Z.L. High temperature performance of dispersion strengthened Pt-3Rh alloy. Rare Metal Mat. Eng. 2012, 41, 402–405. [Google Scholar]
- Wu, X.; Wang, G.Y.; Du, R.B.; Tang, S. Structures, stabilities and electronic properties of Pt-Rh clusters based on DFT and Sutton-Chen potential. Chem. Phys. 2020, 534, 110751. [Google Scholar] [CrossRef]
- Maisel, S.B.; Kerscher, T.C.; Müller, S. No miscibility gap in Pt–Rh binary alloys: A first-principles study. Acta Mater. 2012, 60, 1093–1098. [Google Scholar] [CrossRef]
- Bellaiche, L.; Vanderbilt, D. Virtual crystal approximation revisited: Application to dielectric and piezoelectric properties of perovskites. Phys. Rev. B 2000, 61, 7877. [Google Scholar] [CrossRef]
- Wei, Y.; Zhang, M.; Hu, C.Y.; Yuan, Z.T.; Wang, X.; Jiang, H.C.; Wang, X.; Cai, H.Z.; Zhang, G.X.; Wang, X.Q.; et al. First-principles investigation on the high-temperature mechanical properties and thermal properties of Pt-40Rh. Trans. Trans. Indian Inst. Met. 2023, 76, 1545–1552. [Google Scholar] [CrossRef]
- Wu, C.L.; Yao, W.B.; Dai, H.; Wu, H.J.; Wei, Y.; Hu, C.Y.; Cai, H.Z.; Yuan, Z. First-principles study on the effect of Ir doping on the mechanical and thermodynamic properties of Pt–20Rh alloy. Trans. Indian Inst. Met. 2023, 35, 1–9. [Google Scholar] [CrossRef]
- Parr, R.G. Density functional theory. Annu. Rev. Phys. Chem. 1983, 34, 631–656. [Google Scholar] [CrossRef]
- Stocks, G.M.; Williams, R.W.; Faulkner, J.S. Densities of states in Cu-Rich Ni-Cu alloys by the coherent-potential approximation: Comparisons with rigid-band and virtual-crystal approximation. Phys. Rev. Lett. 1971, 26, 253. [Google Scholar] [CrossRef]
- Otero-de-la-Roza, A.; Abbasi-Pérez, D.; Luaña, V. Gibbs2: A new version of the quasiharmonic model code. IInst. Models for solid-state thermodynamics, features and implementation. Comput. Phys. Commun. 2011, 182, 2232–2248. [Google Scholar] [CrossRef]
- Segall, M.D.; Lindan, P.J.D.; Probert, M.J.; Pickard, C.J.; Hasnip, P.J.; Clark, S.J.; Payne, M.C. First-principles simulation: Ideas, illustrations and the CASTEP code. J. Phys. Condens. Mat. 2002, 14, 2717. [Google Scholar] [CrossRef]
- Kresse, G.; Joubert, D. From ultrasoft pseudopotentials to the projector augmented-wave method. Phys. Rev. B 1999, 59, 1758. [Google Scholar] [CrossRef]
- Mattsson, A.E.; Armiento, R.; Schultz, P.A.; Mattsson, T.R. Nonequivalence of the generalized gradient approximations PBE and PW91. Phys. Rev. B 2006, 73, 195123. [Google Scholar] [CrossRef]
- Karki, B.; Ackland, G.; Crain, J. Elastic instabilities in crystals from ab initio stress-strain relations. J. Phys. Condens. Mat. 1997, 9, 8579. [Google Scholar] [CrossRef]
- Chung, D.H.; Buessem, W.R. The voigt-reuss-hill approximation and elastic moduli of polycrystalline MgO, CaF2, β-ZnS, ZnSe, and CdTe. J. Appl. Phys. 1967, 38, 2535–2540. [Google Scholar] [CrossRef]
- Birch, F. Finite elastic strain of cubic crystals. Phys. Rev. 1947, 71, 809. [Google Scholar] [CrossRef]
- Sin’Ko, G.V.; Smirnov, N.A. Ab initio calculations of elastic constants and thermodynamic properties of bcc, fcc, and hcp Al crystals under pressure. J. Phys. Condens. Mat. 2002, 14, 6989. [Google Scholar]
- Long, Q.X.; Nie, X.W.; Shang, S.L.; Wang, J.C.; Du, Y.; Jin, Z.P.; Liu, Z.K. C15 NbCr2 Laves phase with mechanical properties beyond Pugh’s criterion. Comp. Mater. Sci. 2016, 121, 167–173. [Google Scholar] [CrossRef]
- Chen, X.Q.; Niu, H.; Li, D.; Li, Y. Modeling hardness of polycrystalline materials and bulk metallic glasses. Intermetallics 2011, 19, 1275–1281. [Google Scholar] [CrossRef]
- Sahu, B.P.; Sarangi, C.K.; Mitra, R. Effect of Zr content on structure property relations of Ni-Zr alloy thin films with mixed nanocrystalline and amorphous structure. Thin Solid Films 2018, 660, 31–45. [Google Scholar] [CrossRef]
- Katsura, T.; Tange, Y. A simple derivation of the Birch–Murnaghan equations of state (EOSs) and comparison with EOSs derived from other definitions of finite strain. Minerals 2019, 9, 745. [Google Scholar] [CrossRef]
- Edagawa, K.; Kajiyama, K.; Tamura, R.; Takeuchi, S. High-temperature specific heat of quasicrystals and a crystal approximant. Mat. Sci. Eng. A 2001, 312, 293–298. [Google Scholar] [CrossRef]
- Singh, V.; Yu, Y.; Sun, Q.C.; Korgel, B.; Nagpal, P. Pseudo-direct bandgap transitions in silicon nanocrystals: Effects on optoelectronics and thermoelectrics. Nanoscale 2014, 6, 14643–14647. [Google Scholar] [CrossRef] [PubMed]
Disclaimer/Publisher’s Note: The statements, opinions and data contained in all publications are solely those of the individual author(s) and contributor(s) and not of MDPI and/or the editor(s). MDPI and/or the editor(s) disclaim responsibility for any injury to people or property resulting from any ideas, methods, instructions or products referred to in the content. |
© 2023 by the authors. Licensee MDPI, Basel, Switzerland. This article is an open access article distributed under the terms and conditions of the Creative Commons Attribution (CC BY) license (https://creativecommons.org/licenses/by/4.0/).








