Temperature Induced Monoclinic to Orthorhombic Phase Transition in Protonated ZSM-5 Zeolites with Different Si/Al Ratios: An In-Situ Synchrotron X-ray Powder Diffraction Study
Abstract
1. Introduction
2. Materials and Methods
3. Results and Discussion
3.1. Structural Characterization
3.1.1. Room Temperature
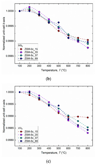
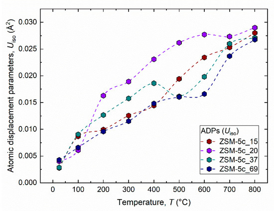
3.1.2. High Temperature
4. Conclusions
Supplementary Materials
Author Contributions
Funding
Data Availability Statement
Conflicts of Interest
References
- Kerstens, D.; Smeyers, B.; Van Waeyenberg, J.; Zhang, Q.; Yu, J.; Sels, B.F. State of the Art and Perspectives of Hierarchical Zeolites: Practical Overview of Synthesis Methods and Use in Catalysis. Adv. Mater. 2020, 32, 2004690. [Google Scholar] [CrossRef]
- Li, Y.; Yu, J. Emerging Applications of Zeolites in Catalysis, Separation and Host–Guest Assembly. Nat. Rev. Mater. 2021, 6, 1156–1174. [Google Scholar] [CrossRef]
- Pérez-Botella, E.; Valencia, S.; Rey, F. Zeolites in Adsorption Processes: State of the Art and Future Prospects. Chem. Rev. 2022, 122, 17647–17695. [Google Scholar] [CrossRef] [PubMed]
- Rimer, J.D. Rational Design of Zeolite Catalysts. Nat. Catal. 2018, 1, 488–489. [Google Scholar] [CrossRef]
- Čejka, J.; Millini, R.; Opanasenko, M.; Serrano, D.P.; Roth, W.J. Advances and Challenges in Zeolite Synthesis and Catalysis. Catal. Today 2020, 345, 2–13. [Google Scholar] [CrossRef]
- Ji, W.; Zhang, H.; Liu, S.; Wang, Z.; Deng, S. An Experimental Study on the Binary Hydrated Salt Composite Zeolite for Improving Thermochemical Energy Storage Performance. Renew. Energy 2022, 194, 1163–1173. [Google Scholar] [CrossRef]
- Zhang, R.; Ju, Y.; Wu, P.; Chen, J.; Lv, Z.; Zhang, Y.; Song, S.; Zhang, Z.; Ma, C.; Zhang, R.; et al. Efficiently Reducing Olefin Content of FCC Gasoline over ZSM-5 Zeolite Based Catalyst via Hydro-Upgrading. Catal. Today 2022, 405–406, 57–65. [Google Scholar] [CrossRef]
- Mardiana, S.; Azhari, N.J.; Ilmi, T.; Kadja, G.T.M. Hierarchical Zeolite for Biomass Conversion to Biofuel: A Review. Fuel 2022, 309, 122119. [Google Scholar] [CrossRef]
- Chaturvedi, A.; Kundu, P.P. Co-Doped Zeolite-GO Nanocomposite as a High-Performance ORR Catalyst for Sustainable Bioelectricity Generation in Air-Cathode Single-Chambered Microbial Fuel Cells. ACS Appl. Mater. Interfaces 2022, 14, 33219–33233. [Google Scholar] [CrossRef]
- Gao, S.; Wang, S.; Hu, P.; Wang, J.; Sun, Y.; Ma, Z. Performance of Sorption Thermal Energy Storage in Zeolite Bed Reactors: Analytical Solution and Experiment. J. Energy Storage 2023, 64, 107154. [Google Scholar] [CrossRef]
- Boer, D.G.; Čiliak, D.; Langerak, J.; Bakker, B.; Pescarmona, P.P. Binderless SAPO-34 Beads for Selective CO2 Adsorption. Sustain. Chem. Clim. Action 2023, 2, 100026. [Google Scholar] [CrossRef]
- Velty, A.; Corma, A. Advanced Zeolite and Ordered Mesoporous Silica-Based Catalysts for the Conversion of CO2 to Chemicals and Fuels. Chem. Soc. Rev. 2023, 52, 1773–1946. [Google Scholar] [CrossRef] [PubMed]
- Mancinelli, M.; Stevanin, C.; Ardit, M.; Chenet, T.; Pasti, L.; Martucci, A. PFAS as Emerging Pollutants in the Environment: A Challenge with FAU Type and Silver-FAU Exchanged Zeolites for Their Removal from Water. J. Environ. Chem. Eng. 2022, 10, 108026. [Google Scholar] [CrossRef]
- Mahdavi Far, R.; Van der Bruggen, B.; Verliefde, A.; Cornelissen, E. A Review of Zeolite Materials Used in Membranes for Water Purification: History, Applications, Challenges and Future Trends. J. Chem. Technol. Biotechnol. 2022, 97, 575–596. [Google Scholar] [CrossRef]
- Panasenko, A.E.; Shichalin, O.O.; Yarusova, S.B.; Ivanets, A.I.; Belov, A.A.; Dran’kov, A.N.; Azon, S.A.; Fedorets, A.N.; Buravlev, I.Y.; Mayorov, V.Y.; et al. A Novel Approach for Rice Straw Agricultural Waste Utilization: Synthesis of Solid Aluminosilicate Matrices for Cesium Immobilization. Nucl. Eng. Technol. 2022, 54, 3250–3259. [Google Scholar] [CrossRef]
- Kausar, A.; Ahmad, I.; Zhu, T.; Shahzad, H.; Eisa, M.H. Exigency for the Control and Upgradation of Indoor Air Quality—Forefront Advancements Using Nanomaterials. Pollutants 2023, 3, 123–149. [Google Scholar] [CrossRef]
- Ziejewska, C.; Grela, A.; Łach, M.; Marczyk, J.; Hordyńska, N.; Szechyńska-Hebda, M.; Hebda, M. Eco-Friendly Zeolites for Innovative Purification of Water from Cationic Dye and Heavy Metal Ions. J. Clean. Prod. 2023, 406, 136947. [Google Scholar] [CrossRef]
- Vezzalini, G.; Quartieri, S.; Galli, E.; Alberti, A.; Cruciani, G.; Kvick, Å. Crystal Structure of the Zeolite Mutinaite, the Natural Analog of ZSM-5. Zeolites 1997, 19, 323–325. [Google Scholar] [CrossRef]
- Olson, D.H.; Kokotailo, G.T.; Lawton, S.L.; Meier, W.M. Crystal Structure and Structure-Related Properties of ZSM-5. J. Phys. Chem. 1981, 85, 2238–2243. [Google Scholar] [CrossRef]
- Kokotailo, G.T.; Lawton, S.L.; Olson, D.H.; Meier, W.M. Structure of Synthetic Zeolite ZSM-5. Nature 1978, 272, 437–438. [Google Scholar] [CrossRef]
- Baerlocher, C.; McCusker, L.B.; Olson, D.H. Atlas of Zeolite Framework Types, 6th ed.; Elsevier Science B.V.: Amsterdam, The Netherlands, 2007. [Google Scholar]
- Van Koningsveld, H.; Jansen, J.C. Single Crystal Structure Analysis of Zeolite H-ZSM-5 Loaded with Naphthalene. Microporous Mater. 1996, 6, 159–167. [Google Scholar] [CrossRef]
- Van Koningsveld, H.; Van Bekkum, H.; Jansen, J.C. On the Location and Disorder of the Tetrapropylammonium (TPA) Ion in Zeolite ZSM-5 with Improved Framework Accuracy. Acta Crystallogr. Sect. B 1987, 43, 127–132. [Google Scholar] [CrossRef]
- Van Koningsveld, H. High-temperature (350 K) Orthorhombic Framework Structure of Zeolite H-ZSM-5. Acta Crystallogr. Sect. B 1990, 46, 731–735. [Google Scholar] [CrossRef]
- Kamiya, N.; Oshiro, T.; Tan, S.; Nishi, K.; Yokomori, Y. Adsorption Process of Phenol on Silicalite-1 and Crystal Structure of Phenol8.0-Silicalite-1 Using a Single Crystal X-ray Diffraction Method. Microporous Mesoporous Mater. 2013, 169, 168–175. [Google Scholar] [CrossRef]
- Nishi, K.; Hidaka, A.; Yokomori, Y. Structure of Toluene6.4-ZSM-5 and the Toluene Disproportionation Reaction on ZSM-5. Acta Crystallogr. B 2005, 61, 160–163. [Google Scholar] [CrossRef]
- Reck, G.; Marlow, F.; Kornatowski, J.; Hill, W.; Caro, J. Structure of Dipole Chains in an MFI Type Molecular Sieve. J. Phys. Chem. 1996, 100, 1698–1704. [Google Scholar] [CrossRef]
- Klein, H.; Fuessa, H.; Ernst, S.; Weitkamp, J. Localization of Naphthalenes in Zeolite HZSM-5 by X-ray Powder Diffraction and Molecular Mechanics Calculation. Microporous Mater. 1994, 3, 291–304. [Google Scholar] [CrossRef]
- van Koningsveld, H.; Tuinstra, F.; Jansen, J.C.; van Bekkum, H. On the Preparation of a Monoclinic (Nearly) Single Crystal of Zeolite HZSM-5. Zeolites 1989, 9, 253–256. [Google Scholar] [CrossRef]
- Ardit, M.; Martucci, A.; Cruciani, G. Monoclinic Orthorhombic Phase Transition in ZSM 5 Zeolite: Spontaneous Strain Variation and Thermodynamic Properties. J. Phys. Chem. C 2015, 119, 7351–7359. [Google Scholar] [CrossRef]
- Ardit, M.; Martucci, A.; Pasti, L.; Rodeghero, E.; Beltrami, G.; Cruciani, G. Organic Guests within a Ferroelastic Host: The Case of High Silica Zeolite ZSM-5. J. Phys. Chem. C 2018, 122, 7249–7259. [Google Scholar] [CrossRef]
- Ji, Y.; Yang, H.; Yan, W. Strategies to enhance the catalytic performance of ZSM-5 zeolite in hydrocarbon cracking: A review. Catalysts 2017, 7, 367. [Google Scholar] [CrossRef]
- Lok, C.M.; Van Doorn, J.; Aranda Almansa, G. Promoted ZSM-5 Catalysts for the Production of Bio-Aromatics, a Review. Renew. Sustain. Energy Rev. 2019, 113, 109248. [Google Scholar] [CrossRef]
- Ding, Y.L.; Wang, H.Q.; Xiang, M.; Yu, P.; Li, R.Q.; Ke, Q.P. The Effect of Ni-ZSM-5 Catalysts on Catalytic Pyrolysis and Hydro-Pyrolysis of Biomass. Front. Chem. 2020, 8, 790. [Google Scholar] [CrossRef] [PubMed]
- Alotibi, M.F.; Alshammari, B.A.; Alotaibi, M.H.; Alotaibi, F.M.; Alshihri, S.; Navarro, R.M.; Fierro, J.L.G. ZSM-5 Zeolite Based Additive in FCC Process: A Review on Modifications for Improving Propylene Production. Catal. Surv. Asia 2020, 24, 1–10. [Google Scholar] [CrossRef]
- Dai, W.; Zhang, L.; Liu, R.; Wu, G.; Guan, N.; Li, L. Plate-Like ZSM-5 Zeolites as Robust Catalysts for the Cracking of Hydrocarbons. ACS Appl. Mater. Interfaces 2022, 14, 11415–11424. [Google Scholar] [CrossRef]
- Mohammadi, L.; Hosseinifard, M.; Vaezi, M.R.; Rostamnia, S. Stabilization of Copper Nanoparticles onto the Double Schiff-Base-Functionalized ZSM-5 for A3 Coupling Reaction Catalysis Aimed under Mild Conditions. RSC Adv. 2023, 13, 4843–4858. [Google Scholar] [CrossRef] [PubMed]
- Martucci, A.; Rodeghero, E.; Pasti, L.; Bosi, V.; Cruciani, G. Adsorption of 1,2-Dichloroethane on ZSM-5 and Desorption Dynamics by in Situ Synchrotron Powder X-ray Diffraction. Microporous Mesoporous Mater. 2015, 215, 175–182. [Google Scholar] [CrossRef]
- Rodeghero, E.; Pasti, L.; Sarti, E.; Cruciani, G.; Bagatin, R.; Martucci, A. Temperature-Induced Desorption of Methyl Tert-Butyl Ether Confined on ZSM-5: An in Situ Synchrotron XRD Powder Diffraction Study. Minerals 2017, 7, 34. [Google Scholar] [CrossRef]
- Pasti, L.; Rodeghero, E.; Sarti, E.; Bosi, V.; Cavazzini, A.; Bagatin, R.; Martucci, A. Competitive Adsorption of VOCs from Binary Aqueous Mixtures on Zeolite ZSM-5. RSC Adv. 2016, 6, 54544–54552. [Google Scholar] [CrossRef]
- Pasti, L.; Rodeghero, E.; Beltrami, G.; Ardit, M.; Sarti, E.; Chenet, T.; Stevanin, C.; Martucci, A. Insights into Adsorption of Chlorobenzene in High Silica MFI and FAU Zeolites Gained from Chromatographic and Diffractometric Techniques. Minerals 2018, 8, 80. [Google Scholar] [CrossRef]
- Marinkovic, B.A.; Jardim, P.M.; Saavedra, A.; Lau, L.Y.; Baehtz, C.; de Avillez, R.R.; Rizzo, F. Negative Thermal Expansion in Hydrated HZSM-5 Orthorhombic Zeolite. Microporous Mesoporous Mater. 2004, 71, 117–124. [Google Scholar] [CrossRef]
- Sen, S.; Wusirika, R.R.; Youngman, R.E. High Temperature Thermal Expansion Behavior of H[Al]ZSM-5 Zeolites: The Role of Brønsted Sites. Microporous Mesoporous Mater. 2006, 87, 217–223. [Google Scholar] [CrossRef]
- Migliori, M.; Aloise, A.; Giordano, G. Methanol to Dimethylether on H-MFI Catalyst: The Influence of the Si/Al Ratio on Kinetic Parameters. Catal. Today 2014, 227, 138–143. [Google Scholar] [CrossRef]
- Frusteri, F.; Bonura, G.; Cannilla, C.; Drago Ferrante, G.; Aloise, A.; Catizzone, E.; Migliori, M.; Giordano, G. Stepwise Tuning of Metal-Oxide and Acid Sites of CuZnZr-MFI Hybrid Catalysts for the Direct DME Synthesis by CO2 Hydrogenation. Appl. Catal. B 2015, 176-177, 522–531. [Google Scholar] [CrossRef]
- Toby, B.H. EXPGUI, a Graphical User Interface for GSAS. J. Appl. Crystallogr. 2001, 34, 210–213. [Google Scholar] [CrossRef]
- Larson, A.C.; Von Dreele, R.B. General Structure Analysis System (GSAS); Los Alamos National Laboratory Report LAUR; Los Alamos National Laboratory: Los Alamos, NM, USA, 2004; pp. 86–748. [Google Scholar]
- Van Koningsveld, H.; Tuinstra, F.; Van Bekkum, H.; Jansen, J.C. The Location of P-xylene in a Single Crystal of Zeolite H-ZSM-5 with a New, Sorbate-induced, Orthorhombic Framework Symmetry. Acta Crystallogr. Sect. B 1989, 45, 423–431. [Google Scholar] [CrossRef]
- Shannon, R.D. Revised Effective Ionic Radii and Systematic Studies of Interatomic Distances in Halides and Chalcogenides. Acta Crystallogr. Sect. A 1976, 32, 751–766. [Google Scholar] [CrossRef]
- Arletti, R.; Cruciani, G.; Ferraris, G. Section 7.14.2. Mineral Physics through in Situ Powder-Diffraction Experiments. In International Tables for Crystallography; Gilmore, C.J., Kaduk, J.A., Schenk, H., Eds.; Wiley: New York, NY, USA, 2019; Volume H, pp. 886–889. [Google Scholar]
- Fei, Y. Thermal Expansion. In Mineral Physics & Crystallography: A Handbook of Physical Constants; Ahrens, T.J., Ed.; American Geophysical Union: Washington, DC, USA, 1995; Volume 2, pp. 29–44. [Google Scholar]
- Angel, R.J.; Gonzalez-Platas, J.; Alvaro, M. EosFit7c and a Fortran Module (Library) for Equation of State Calculations. Z. Fur Krist. 2014, 229, 405–419. [Google Scholar] [CrossRef]
- Bhange, D.S.; Ramaswamy, V. Negative Thermal Expansion in Silicalite-1 and Zirconium Silicalite-1 Having MFI Structure. Mater. Res. Bull. 2006, 41, 1392–1402. [Google Scholar] [CrossRef]
- Milanesio, M.; Artioli, G.; Gualtieri, A.F.; Palin, L.; Lamberti, C. Template Burning inside TS-1 and Fe-MFI Molecular Sieves: An in Situ XRPD Study. J. Am. Chem. Soc. 2003, 125, 14549–14558. [Google Scholar] [CrossRef]












| Sample Label | Bulk Si/Al Ratio [mol/mol] | Al Content (apfu) |
|---|---|---|
| ZSM-5c_15 | 15 | 6.19 |
| ZSM-5c_20 | 20 | 4.57 |
| ZSM-5c_37 | 37 | 2.53 |
| ZSM-5c_69 | 69 | 1.37 |
| Parameter | ZSM-5c_15 | ZSM-5c_20 | ZSM-5c_37 | ZSM-5c_69 |
|---|---|---|---|---|
| Space Group | Pnma | P21/n | P21/n | P21/n |
| a (Å) | 20.1464(11) | 19.9413(9) | 19.9119(11) | 19.9108(5) |
| b (Å) | 19.9434(10) | 20.1503(8) | 20.1321(11) | 20.1319(4) |
| c (Å) | 13.4168(9) | 13.4167(6) | 13.3952(8) | 13.3943(4) |
| V (Å3) | 5390.7(5) | 5391.0(4) | 5369.5(5) | 5368.7(2) |
| β (°) | 90 | 90.354(4) | 90.477(2) | 90.499(1) |
| Wavelength (Å) | 0.82700(1) | 0.82700(1) | 0.82700(1) | 0.82700(1) |
| 2θ (°) range | 3–45 | 3–45 | 3–45 | 3–45 |
| Ndata | 8400 | 8400 | 8400 | 8400 |
| Nvar | 117 | 256 | 256 | 256 |
| Rwp (%) | 12.88 | 13.23 | 13.84 | 9.45 |
| Rp (%) | 9.28 | 9.98 | 10.99 | 7.36 |
| RF (%) | 9.48 | 8.08 | 8.2 | 4.72 |
| RF2 (%) | 10.58 | 13.00 | 12.01 | 7.23 |
| Rp = ∑[Yio − Yic]/∑Y_io; Rwp = [∑wi(Yio − Yic)^2/∑wiYio2]^0.5; RF2 = ∑|Fo2 − Fc2|/|Fo2| | ||||
| Free Diameter (Å) | |||||||||
|---|---|---|---|---|---|---|---|---|---|
| ZZA | O28-O1 | O27-O2 | O20-O15 | O24-O26 | O41-46 | Mean O-O (Å) | Radius (Å) | CFA (Å2) | ε |
| ZSM-5c_20 | 5.426 | 5.447 | 5.688 | 5.341 | 5.794 | 5.5392 | 2.7696 | 24.09 | 1.08 |
| ZSM-5c_37 | 5.453 | 5.443 | 5.688 | 5.313 | 5.808 | 5.541 | 2.7705 | 24.10 | 1.09 |
| ZSM-5c_69 | 5.405 | 5.476 | 5.651 | 5.301 | 5.835 | 5.5336 | 2.7668 | 24.04 | 1.1 |
| ZSM-5c_15 | O18-O17 | O18-O17 | O4-O5 | O4-O5 | O25-O23 | Mean O-O (Å) | Radius (Å) | CFA (Å2) | ε |
| 5.272 | 5.272 | 5.325 | 5.325 | 5.864 | 5.411 | 2.705 | 22.98 | 1.11 | |
| ZZB | O31-O4 | O30-O5 | O44-O43 | O25-O23 | O18-O17 | Mean O-O (Å) | Radius (Å) | CFA (Å2) | ε |
| ZSM-5c_20 | 5.233 | 5.491 | 5.44 | 5.853 | 5.146 | 5.4326 | 2.7163 | 23.17 | 1.13 |
| ZSM-5c_37 | 5.163 | 5.549 | 5.498 | 5.498 | 5.061 | 5.3538 | 2.6769 | 22.50 | 1.09 |
| ZSM-5c_69 | 5.145 | 5.587 | 5.483 | 5.822 | 5.071 | 5.4216 | 2.7108 | 23.07 | 1.14 |
| ZSM-5c_15 | O1-O2 | O1-O2 | O15-O20 | O15-O20 | O24-O26 | Mean O-O (Å) | Radius (Å) | CFA (Å2) | ε |
| 5.451 | 5.451 | 5.746 | 5.746 | 5.368 | 5.552 | 2.776 | 24.20 | 1.07 | |
| SC | O47-O48 | O31-O37 | O44-O46 | O8-O2 | O7-O1 | Mean O-O (Å) | Radius (Å) | CFA (Å2) | ε |
| ZSM-5c_20 | 5.425 | 5.512 | 5.561 | 5.399 | 5.491 | 5.477 | 2.738 | 23.55 | 1.03 |
| ZSM-5c_37 | 5.438 | 5.517 | 5.929 | 5.379 | 5.436 | 5.539 | 2.769 | 24.09 | 1.10 |
| ZSM-5c_69 | 5.444 | 5.554 | 5.629 | 5.407 | 5.409 | 5.488 | 2.744 | 23.65 | 1.04 |
| O1-O7 | O2-O8 | O5-O11 | O18-O20 | O21-O22 | Mean O-O (Å) | Radius (Å) | CFA (Å2) | ε | |
| ZSM-5c_15 | 5.642 | 5.440 | 5.621 | 5.839 | 5.518 | 5.511 | 2.755 | 23.84 | 1.07 |
| ZSM-5c_15 | ZSM-5c_20 | ZSM-5c_37 | ZSM-5c_69 * | |
|---|---|---|---|---|
| V0 | 5373.46(25) | 5370.76(34) | 5373.46(25) | 5368.52(19) |
| α0 | −2.1(6) | −6.1(9) | −2.1(6) | −4.08(5) |
| α1 | 1.3(5) | 4.5(9) | 1.3(5) | 3.30(4) |
| α2 | 1.4(9) | 7.9(9) | 1.40(9) | 3.35(7) |
| αV(200–800) | −8.21 | −10.08 | −8.21 | −8.67 |
Disclaimer/Publisher’s Note: The statements, opinions and data contained in all publications are solely those of the individual author(s) and contributor(s) and not of MDPI and/or the editor(s). MDPI and/or the editor(s) disclaim responsibility for any injury to people or property resulting from any ideas, methods, instructions or products referred to in the content. |
© 2023 by the authors. Licensee MDPI, Basel, Switzerland. This article is an open access article distributed under the terms and conditions of the Creative Commons Attribution (CC BY) license (https://creativecommons.org/licenses/by/4.0/).
Share and Cite
Precisvalle, N.; Mancinelli, M.; Ardit, M.; Beltrami, G.; Gigli, L.; Aloise, A.; Catizzone, E.; Migliori, M.; Giordano, G.; Guidi, V.; et al. Temperature Induced Monoclinic to Orthorhombic Phase Transition in Protonated ZSM-5 Zeolites with Different Si/Al Ratios: An In-Situ Synchrotron X-ray Powder Diffraction Study. Crystals 2023, 13, 979. https://doi.org/10.3390/cryst13060979
Precisvalle N, Mancinelli M, Ardit M, Beltrami G, Gigli L, Aloise A, Catizzone E, Migliori M, Giordano G, Guidi V, et al. Temperature Induced Monoclinic to Orthorhombic Phase Transition in Protonated ZSM-5 Zeolites with Different Si/Al Ratios: An In-Situ Synchrotron X-ray Powder Diffraction Study. Crystals. 2023; 13(6):979. https://doi.org/10.3390/cryst13060979
Chicago/Turabian StylePrecisvalle, Nicola, Maura Mancinelli, Matteo Ardit, Giada Beltrami, Lara Gigli, Alfredo Aloise, Enrico Catizzone, Massimo Migliori, Girolamo Giordano, Vincenzo Guidi, and et al. 2023. "Temperature Induced Monoclinic to Orthorhombic Phase Transition in Protonated ZSM-5 Zeolites with Different Si/Al Ratios: An In-Situ Synchrotron X-ray Powder Diffraction Study" Crystals 13, no. 6: 979. https://doi.org/10.3390/cryst13060979
APA StylePrecisvalle, N., Mancinelli, M., Ardit, M., Beltrami, G., Gigli, L., Aloise, A., Catizzone, E., Migliori, M., Giordano, G., Guidi, V., & Martucci, A. (2023). Temperature Induced Monoclinic to Orthorhombic Phase Transition in Protonated ZSM-5 Zeolites with Different Si/Al Ratios: An In-Situ Synchrotron X-ray Powder Diffraction Study. Crystals, 13(6), 979. https://doi.org/10.3390/cryst13060979

