Abstract
Eight polymer-metal complexes were synthesized from complexation of divalent Mn(II), Ni(II), Co(II), and Cu(II) metal ions with modified polystyrene-alt-(maleic anhydride) (PSMAP and PSMAM) ligands. The structures of these new complexes were characterized using a variety of techniques, including magnetic moment susceptibility, conductance measurements, FT-IR spectroscopy, ultraviolet-visible (UV-VIS), thermogravimetric analysis (TGA), as well as scanning electron microscopy (SEM). All metal-polymer complexes have a non-electrolytic nature based on conductance measurements. The polymer molecule behaves as neutral bidentate NO ligand through O atoms of carbonyl (C=O) and N atoms of amide (O=C-NH). Divalent Mn2+, Ni2+, Co2+ and Cu2+ complexes have an octahedral geometry based on their electronic spectra and magnetic values. Based on thermal analysis data, those new complexes are more thermally stable than the ligands. SEM and TEM are manipulated to give the surface structure and the particle size measurements where they give different shapes and sizes of the synthesized complexes.
1. Introduction
The potential sites in the synthetic polymer can coordinate with metal ions to form coordination compound [1]. It is inevitable that the metal atoms bond to the polymer ligands would exhibit characteristic catalytic behavior rather than low molecular weight polymer [2]. In fact, a lot of synthetic metal polymer compounds have been reported to be good catalysts, semiconductor, heat resistance as well as great prospects for biomedical applications [3]. The chelation between metal ions and polymer molecules confers the produced complex great stability in solution and in solid state due to these strong bonds [4,5]. The building block of a polymer; that is an aromatic or aliphatic monomer contains an electronegative donor atom that is nitrogen, sulfur, and oxygen (N, S, and O) reacts as a potential site for coordination to for complex with metal ions [6,7]. The platinum family which involves (Pt, Pd, Ir, Ru, Rh, and Os) can form nano complexes with donor atoms bearing polymer [8]. Furthermore, these types of coordination in polymer chelates facilitate the flow of electrons which explains why they good fluorescent compounds [9]. Different factors facilitate the transfer of electron from donor to acceptor as temperature, pH, NIR, and metal-ion sonication. A series of polyacrylamide and dithiocarbamade metal polymers complexes with divalent Cu, Ni, Zn, Co and Hg metal ion have been prepared, thermal studies have been reported [10]. Moreover, Cross-linked polyacrylamide-Cu(II) complexes with divinylbenzene have been explored for their catalytic activity [10,11]. The thermal studies of polymer complexes derived from chelation between divalent Co, Ni, Cu and Cd metal ions and poly(ethylene glycol) ligand have been investigated [12]. Polymer metal chelates derived from poly(vinyl alcohol) with ferric and copper metal ions have been examined using NMR techniques [13]. The chelate of divalent Cd metal ion with poly (ethylene glycol) have been synthesized and characterized using X-Ray crystallography [14]. Potentiometry was utilized to study the aqueous solution of partially phosphorylated poly (vinyl alcohol) coordinated with some metals of the first-row transition metals [15]. The metal polymer complex structures have been made up of a variety of polymers, including porphyrin [16], pyridinyl [17], pyrene [18], polyethyleneimine [19], salecan [20,21,22], pullulan [23], and chitosan [24]. Depending on their versatile applications, polymer complexes are considered as promising compounds in different fields [25,26,27,28,29]; organic synthesis [30], waste water treatment [31], hydrometallurgy [32], polymer drug grafts [33], medical applications as (MRI) [34,35,36], bioseparation [37,38], drug delivery [39], recovery of trace metal ions [40] and antimicrobial and antiviral agents [41]. In addition, they are also used as models for enzymes [42,43]. They are utilized as chiral, catalytic, conductive, luminescent, magnetic, porous, or nonlinear optical materials [44,45,46,47]. The idea of using macromolecular structures instead of the synthetically rather complicated supramolecular ligands seems to be well founded. It is assumed that a polymer coil forms a steric “cage” for metal(II) ions. In this paper we report on the synthesis and characterization of metal complexation with high molecular-weight polymer ligands containing an efficient 7-amino-4-methylquinolin-2(1H)-one fluorophore and COOH, that quinolinone derivatives are strong donors towards metal ions [48]. Therefore, in our present study we aimed to synthesized eight polymer-metal complexes associated from complexation of divalent Mn(II), Ni(II), Co(II), and Cu(II) metal ions with modified polystyrene-alt-(maleic anhydride) (PSMAP and PSMAM) ligands.
2. Experimental
Materials and Measurements
All reagents used were purchased from Aldrich chemical company. The elemental analyses of carbon, hydrogen, and nitrogen contents were performed using a Perkin Elmer CHN 2400 (USA). The molar conductivities of freshly prepared 10−3 mol/cm3 dimethylsulfoxide (DMSO) solutions were measured for the dissolved compounds using Jenway 4010 conductivity meter. A Shimadzu thermo gravimetric analyzer was used to perform thermal analysis (TGA) up to 800 °C with the heating rate 10 °C min−1 under nitrogen atmosphere. The measurement of electronic absorption spectra for complexes was carried out in DMSO solutions on a UNICAM UV-300 spectrophotometer (thickness of cuvette, 1 cm) within the region of 200–600 nm. Scanning electron microscopy (SEM) images were taken in Quanta FEG 250 equipment, the scanning electron microscopic images were captured with magnification power of 500×-to-40,000× at 10 kV. The transmission electron microscopy images (TEM) were performed using JEOL 100s microscopy. Magnetic moments were calculated using the Magnetic Susceptibility Balance, Sherwood Scientific, Cambridge Science Park, Cambridge, England, at Temp 25 °C. The magnetic susceptibility of samples was measured using Gouy’s. Shimandzu FT-IR-8101A spectrophotometer was utilized to record the vibrational spectra of the sample at range 4000–400 cm−1. The conductance measurements for all samples have been recorded with electrometer.
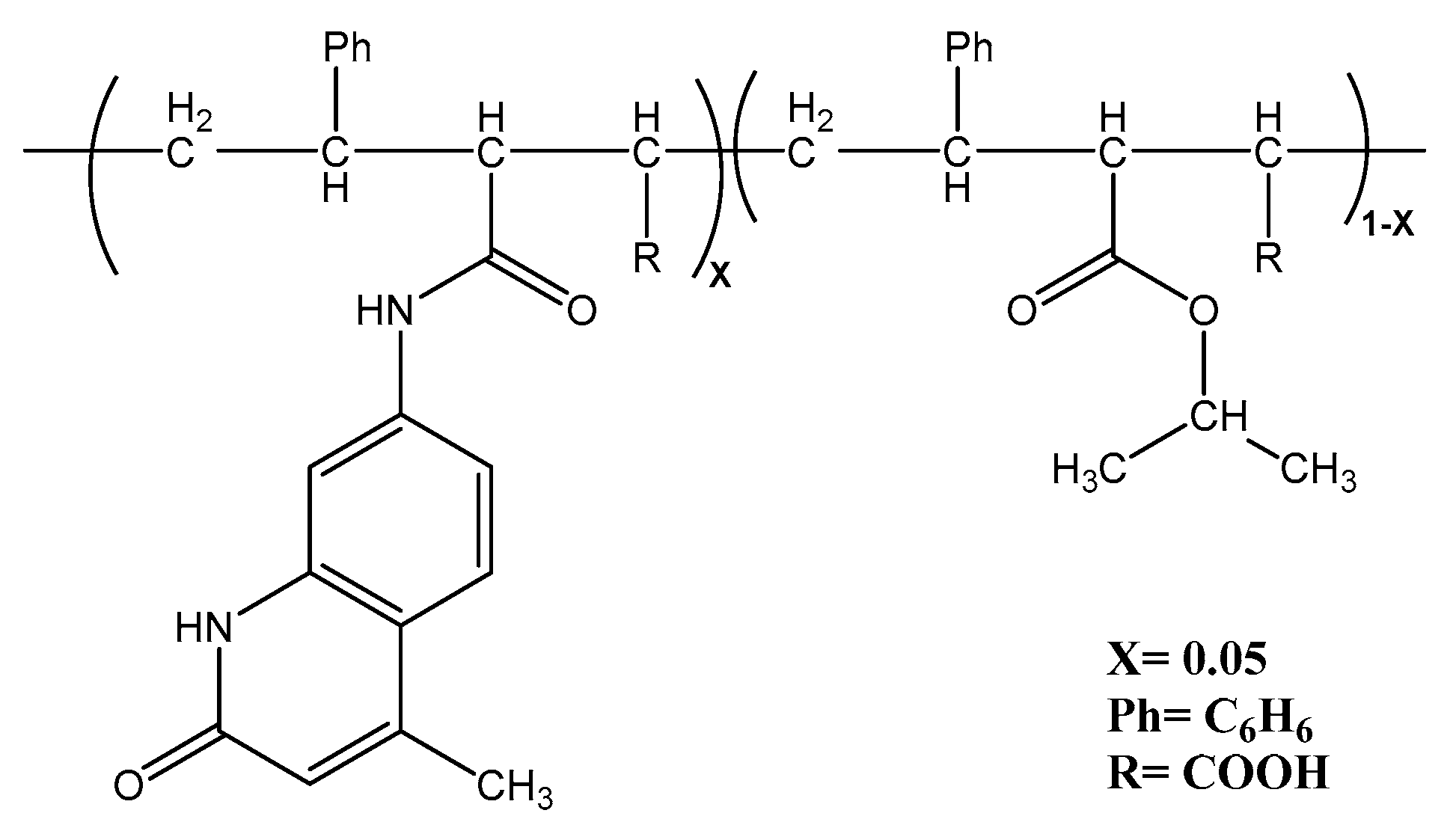
- Preparation of coordination polymers Ligand (PSMAP)
The copolymer Poly [styrene-alt-(maleic anhydride)] (PSMA) (0.05 mol of anhydride groups (10 g)) was dissolved in 70 mL of dry acetone and 7-amino-4-methylquinolin-2(1H)-one (0.0025 mol (0.44g)). Then, the reaction mixture was refluxed under argon with gradual addition of 50 mL from 2-prpoanol and 20 mL of dry dimethylformamide. The reaction mixture was refluxed first for 12 h and then for another 5 h with continuous stirring at room temperature. The white precipitate had been separated out using large amounts of ethyl acetate, filtered off, and dried. The produced precipitate was twice reprecipitated from methanol into diethyl ether, yielding 6.5 g of white polymer ligand (PSMAP) (Scheme 1). IR (film on KBr): υ(O-H) stretch 3447, υ(C-H) stretch 3029, 2926, 2854, υ(C=O) stretch 1718, υ(HN-C=O) 1653, υ(C-C) ring stretch 1496, δ(CH2) scissoring 1455, δ(C-OH) bend 1400, υ(C-O-C) antisym. stretch, 1200, 1171, 763 and δ(C-H) out-of-plane, ring bend) 702, 548 cm−1 (Figure S1) [48].
Scheme 1.
Proposed structure of the modified coordination polymers poly styrene-alt-(maleic anhydride) (PSMAP) ligand.
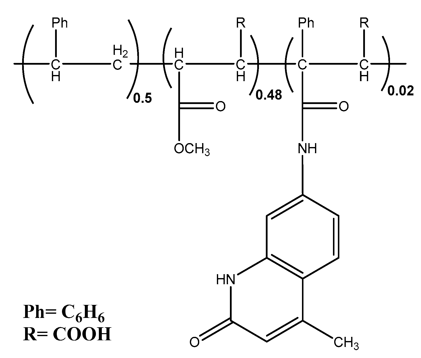
- Preparation of coordination polymers Ligand (PSMAM)
The modified polymer (PSMAM) was synthesized typically as mentioned above. However, the reaction mixture was refluxed in 50 mL methanol instead of 2-prpoanol (Scheme 2). IR (film on KBr): υ(O-H) stretch 3447, υ(C-H) stretch 3029, 2926, 2854, υ(C=O) stretch 1718, υ(HN-C=O) 1653, υ(C-C) ring stretch 1496, δ(CH2) scissoring 1455, δ(C-OH) bend 1400, υ(C-O-C) antisym. stretch, 1200, 1171, and δ(C-H) out-of-plane, ring bend 702, 763, 548 cm−1 (Figure S2) [48].
Scheme 2.
Proposed structure of the modified coordination polymers poly styrene-alt-(maleic anhydride) (PSMAM) ligand.
- Synthesis of [M(PSMAP)2(Cl)2](H2O)n (M = Mn2+, Ni2+, Co2+ and Cu2+) complexes
The metal complexes were prepared by refluxing 1.0 mmol of metal chloride salts of MnCl2 (0.126 g), CoCl2.6H2O (0.238 g), NiCl2.6H2O (0.238 g) and CuCl2.2H2O (0.170 g) with 20 mL (2.0 mmol; 1.706 g) of PSMAP ligand polymer with (1:2) molar ratio in 60 mL acetone solution. The mixture solutions were refluxed at 60 °C for 2 h. Separating the solid precipitates, washing them multiple times with methanol, and then vacuum-drying them over anhydrous CaCl2 were the next steps.
- Synthesis of [M(PSMAM)2(Cl)2](H2O)n (M = Mn2+, Ni2+, Co2+ and Cu2+) complexes
The metal complexes were prepared as discussed earlier by replacing PSMAP polymer with (PSMAM) (2.0 mmol; 1.464 g) and acetone solution was replaced by in 2-propanol. The chemical structures of the synthesized metal complexes were confirmed as follows:
- [Mn(PSMAP)2Cl2]2H2O (1)
Solid light brown powder; Yield 78%, m. p ˃ 300 °C; IR (film on KBr): 3447 (O-H stretching); 3029, 2926, 2854 (C-H stretching); 1718 (C=O stretching); 1653 (amide bond); 1496 (C-C ring stretching); 1455 (CH2 scissoring); 1400 (C-O-H bending); 1200, 1171 (C-O-C antisym. stretch); 763, 702, 548 cm−1 (C-H out-of-plane, ring bending); (Figure S3), UV-Vis absorption at 270 nm(λmax).
- [Mn(PSMAM)2Cl2]2H2O (2)
Solid light brown powder; yield-64%, m. p ˃ 300 °C; IR (film on KBr): 3447 (O–H stretching); 3029, 2926, 2854 (C–H stretching); 1718 (C=O stretching); 1653 (amide I band); 1496 (C–C ring stretching); 1455 (CH2 scissoring); 1400 (C–O–H bending); 1200, 1171 (C–O–C antisym. stretching); 763, 702, 548 (C–H out-of-plane, ring bending) cm−1; (Figure S4), UV-Vis absorption at 260nm (λmax).
- [Ni(PSMAP)2Cl2]2H2O (3)
Green solid, Yield 63%, m. p ˃ 300 °C; IR (film on KBr): 3447 (O-H stretching); 3029, 2926, 2854 (C-H stretching); 1718 (C=O stretching); 1653 (amide bond); 1496 (C-C ring stretching); 1455 (CH2 scissoring); 1400 (C-O-H bending); 1200, 1171 (C-O-C antisym. stretch); 763, 702, 548 (C-H out-of-plane, ring bending) cm−1; (Figure S5), UV-Vis absorption at 260 nm (λmax).
- [Ni(PSMAM)2Cl2]2H2O (4)
Green solid; Yield- 77%, m. p ˃ 300 °C; IR (film on KBr): 3447 (O–H stretching); 3029, 2926, 2854 (C-H stretching); 1718 (C=O stretching); 1653 (amide bond); 1496 (C-C ring stretching); 1455 (CH2 scissoring); 1400 (C-O-H bending); 1200, 1171 (C-O-C antisym. stretching); 763, 702, 548 (C-H out-of-plane, ring bending) cm−1; (Figure S6), UV-Vis absorbance at 230 nm (λmax).
- [Co(PSMAP)2Cl2]H2O (5)
Solid purple powder; Yield 75%, m. p ˃ 300 °C; IR (film on KBr): 3447 (O-H stretching); 3029, 2926, 2854 (C-H stretching); 1718 (C=O stretching); 1653 (amide bond); 1496 (C-C ring stretching); 1455 (CH2 scissoring); 1400 (C-O-H bending); 1200, 1171 (C-O-C antisym. stretching); 763, 702, 548 (C-H out-of-plane, ring bending) cm−1; (Figure S7), UV-Vis absorbance at 400nm (λmax).
- [Co(PSMAM)2Cl2]2H2O (6)
Solid purple powder; Yield 73%, m. p ˃ 300 °C; IR (film on KBr): 3447 (O-H stretching); 3029, 2926, 2854 (C-H stretching); 1718 (C=O stretching); 1653 (amide bond); 1496 (C-C ring stretching); 1455 (CH2 scissoring); 1400 (C-O-H bending); 1200, 1171 (C-O-C antisym. stretch); 763, 702, 548 (C-H out-of-plane, ring bending) cm−1; (Figure S8), UV-Vis absorbance at 215 nm (λmax).
- [Cu(PSMAP)2Cl2]H2O (7)
Solid blue powder; Yield 71%, m. p ˃ 300 °C; IR (film on KBr): 3447 (O-H stretching); 3029, 2926, 2854 (C-H stretching); 1718 (C=O stretching); 1653 (amide bond); 1496 (C-C ring stretching); 1455 (CH2 scissoring); 1400 (C-O-H bending); 1200, 1171 (C-O-C antisym. stretching); 763, 702, 548 (C-H out-of-plane, ring bending) cm−1; (Figure S9), UV-Vis absorbance at 210 nm (λmax).
- [Cu(PSMAM)2Cl2]2H2O (8)
Solid blue powder; Yield 75%, m. p ˃ 300 °C; IR (film on KBr): 3447 (O-H stretching); 3029, 2926, 2854 (C-H stretching); 1718 (C=O stretching); 1653 (amide bond); 1496 (C-C ring stretching); 1455 (CH2 scissoring); 1400 (C-O-H bending); 1200, 1171 (C-O-C antisym. stretching); 763, 702, 548 (C-H out-of-plane, ring bending) cm−1; (Figure S10), UV-Vis absorbance at 210 nm (λmax).
3. Results and Discussion
3.1. Elemental and Conductance Data
The polymer metal complexes were prepared by refluxing different metal salts of Mn(II), Ni(II), Co(II) and Cu(II) with PSMAP and PSMAM ligands. Under ambient circumstances, all the complexes are stable and mostly insoluble in organic solvents except DMF and DMSO as well as they are non-hygroscopic. Elemental analysis as well as other physical data of ligands and its complexes are tabulated in (Table 1). Elemental analysis predicts the formation of 1:2 molar ratio complexes. The conductance measurements of 10−3 DMSO solutions of complex samples predict the non-electrolytic nature of complexes reflecting that chloride ions are non-ionizable. The data obtained were in accord with the proposed formulas (Scheme 3 and Scheme 4).
Table 1.
Physicochemical results of PSMAP, PSMAM ligands and their metal complexes.
Scheme 3.
Proposed structures of [M(PSMAP)2Cl2].nH2O complexes.
Scheme 4.
Proposed structures of [M(PSMAM)2Cl2].2H2O complexes.
3.2. FT-IR Analysis
The assignments of absorption bands in the vibrational spectra of PSMAP, PSMAM ligands and their metal complexes are given in Table 2 & Figures S1–S10. An insight to the spectra shows broad and weak bands in the region between (3687–3236 cm−1) probable to the stretching vibration of O-H water molecules [49]. The band at 3055–3052 cm−1 may be attributed to C-H aromatic stretching vibrations [50]. The strong band at 1639 cm−1 may be assigned to the amidic (O=C-NH) bonds [51,52] that shifted to lower frequency (1553–1563 cm−1) on coordination to metal ions for complexes (1–8). The presence of a perceptible band for C═O was found at 1665 cm−1 in free ligand, whereas in coordination polymers it was shifted towards the lower frequency relative to the band of the parent ligand which indicates the chelation, then ultimately strengthened the C═N bond as result of polymerization. The absorption bands appear in the spectra at (3018–3038), (1718–1700), (1488–1496), (1161–1200) cm−1 may be characteristic to the stretching vibration of (C-H) stretching, (C=O) stretching of amide, (C-O-C) anti sys stretching, (C-H) out-of-plane, ring bending, respectively. Moreover, there were two additional absorption bands that appeared at 705–693, and 538–515 cm−1 that were attributed to the vibration of Metal-O, and Metal-N, respectively. Besides the bands of uncoordinated water molecule that observed at 3444 –3447, 1533, and 756. Those new bands can strongly prove the formation of complex and the presence of H2O outside coordination sphere [52].
Table 2.
Vibrational spectral data of the PSMAP, PSMAM ligands and their metal complexes (cm−1).
3.3. Electronic Spectra and Magnetic Investigation of Metal Polymer Complexes
The data listed in Table 3 reveals the electronic spectral data for PSMAP, PSMAM and their metal complexes Figures S11–S18. According to the data tabulated in Table 3, PSMAP-Mn(II) complex shows absorption maxima bands at 272, 365, and 373 nm. PSMAM-Mn(II) complex has four absorption maxima at 260, 287, 319, 349, 376 and 386 nm. PSMAP-Ni(II) shows absorption bands at 362, 283, 345 and 375 nm. PSMAM-Ni(II) complex reveals absorption maxima at 213, 234, 261, 320, 349 and 377 nm. PSMAP-Co(II) complex depicts three at 265, 288 and 415 nm. PSMAM-Co(II) complex displays five absorption maxima at 226, 251, 278, 354 and 378 nm. PSMAP-Cu(II) complex displays absorption bands at 241, 262, 286, 322, 389 and 408 nm. PSMAM-Cu(II) complex displays absorption bands at 211, 253, 293, 353 and 394 nm. The first regional bands at 211–272 nm correspond to a π →π* transitions, whereas the bands existed at 362–415 nm region can be assigned to n→π* transitions type [53,54,55,56]. The solid reflectance spectra of the complexes (1) and (2) demonstrate four weak intensity absorption bands in the ranges of (16.666–16.233), (31.347–27.397), and (38.461–36.764) cm−1 (Table 3). These bands can be attributed to the following transitions, respectively: 6A1g→4T1g, 6A1g→4T2g, 6A1g→4A1g, 4Eg(4P) [57]. The absorption bands of the nickel(II) complexes (3) and (4) fall between (17.241–16.474), (22.026–21.929), and (31.250–28.985) cm−1. These bands reveal the complexes have octahedral geometry that attributed to the three spin allowed transitions: 3A2g(F)→3T1g(P), 3A2g(F)→3T1g(F) and 3A2g(F)→3T2g(F), respectively [58]. The electronic spectra of cobalt(II) complex (5) show absorption in the ranges of 18.181 and 14.492 cm−1, which can be attributed to the 4T1g(F)→4T1g(P) and 4T1g(F)→4A2g(F), respectively [59,60]. This suggests an octahedral environment for the divalent cobalt ion. The effective magnetic moment is 4.98 B.M that supports the octahedral argument. The electronic spectra of complex (6) show absorption bands at 17.605 and 14.749 cm−1, which can be attributed to the 4T1g(F)→4T1g(P) and 4T1g(F)→4A2g(F) transitions respectively. These transitions along with the magnetic moment (4.98 B.M) suggest the octahedral environment around divalent cobalt ion [61,62,63]. The spectra of copper(II) complexes (7) and (8) display two bands at 16.318–17.322 cm−1 and 24.038–24.376 cm−1 may be attributed to d-d transitions and a charge transfer band, respectively. Moreover, a broad band at 14.727–14.556 cm−1 due to 2E g→2T2g transition and predicts an octahedral symmetry around divalent copper [64].
Table 3.
Solid reflectance spectral bands (cm−1) and assignments of the PSMAP and PSMAM complexes.
3.4. Thermal Studies
Figures S19–S23 depict the thermogravimetric analyses (TGA) of the PSMAP, PSMAM ligands, as well as their metal complexes. Table 4 summarizes the mass percentage losses for all compounds. Four thermal decomposition steps of complex (1) are depicted in (Figure S20). The first step occurs at temperature range 30–115 °C with 1.89% observed mass loss (calc.= 1.92%) attributable to the loss of two hydrated H2O molecules. The second step occurs between 115 and 384 °C with observed mass loss of 20.51 (calculated 20.53%) caused by the degradation of 2Cl + 4NO2 + 5C2H2, while the third step occurs between 384 and 450 °C with an observed weight loss of 71.41% (calculated as 71.98%) that is pertain to the decomposition of the entire compound C92H160O7. The full decomposition of the complex (1) corresponds to the ultimate decomposition stage in the temperature range above 450 °C, yielding MnO + 2C as the end product. Four steps of decomposition are provided by polymer complex (2), as depicted in (Figure S20). The evolution of all hydrated water molecules occurs in initial step at temperature range 20–120 °C. The subsequent step involves the removal of 2Cl + 3C2H2 + 4NO2 at a range of 120–370 °C. Third steps occur at temperature range 370–450 °C corresponding to the removal of the C78H138O7. Above 450 °C, the final stage occurs, leaving MnO + C as a residue. The complex (3) undergoes four thermal degradation steps as shown in (Figure S21). The first step occurs at a range of 30–120 °C. This step involves loss of hydrated 2.5H2O molecules. Within a temperature range of 120–300 °C, the second stage takes place with removal of 2Cl + 3NO2 + 8C2H2 species. The loss of major entity C86H154NO9 takes place at a range of 300–420 °C. Above the range of 420 °C, NiO + 0.5C exist as a final product. When the complex (4) is heated to 800 °C, the complex (4) undergoes four main decomposition steps as shown in (Figure S21). The TG temperatures of 30–130 °C, 130–300 °C and 300–400 °C caused by loss of 2H2O, 2Cl + 4NO2 + 6C2H2 and breakdown of the C72H132O7 molecule respectively, it appears likely that the remaining bulk matches NiO + C. The thermal degradation of complex (5) occurs in four decomposition steps as shown in (Figure S22). the mass loss in the initial stage of the decomposition is 0.92%. (calc. = 0.97%) in reference to the disintegration of hydrated H2O molecules within the 30–130 °C temperature range. The second step with an observed mass loss of 26.32 % (calc. = 26.28%) correspond to the loss of 2Cl + 4NO2 + 9C2H2 molecules. The third degradation step with mass losses (found= 67.90 %, calc.= 67.88%) suggesting the loss of C84H154O6 molecule occur in a range of 350–450 °C. It appears likely that the remaining bulk matches CoO + C. The decomposition reactions of complex (6) occur in four steps from 30 °C to 780°C, as shown in (Figure S22). In this complex, mass loss in the initial stage of the breakdown is 2.11%. (calc. 2.21%) referring to the loss of hydrated 2H2O molecules at a range of 30–150 °C. The second degradation step proceeds at a temperature between 150 °C and 300 °C with a weight loss ranging from of 25.19%, associated with the loss of the 2Cl + 4NO2 + 6C2H2 molecules. The third step of decomposition occurs at in the temperature range 300–430 °C is accompanied by weight loss (64.05%) corresponding to the loss of C72H136O5. The fourth step of decomposition occurs in the temperature range 430–780 °C and is accompanied by a weight loss (6.36%) corresponding to CoO + 2.5C. Thermal decomposition occurs in the polymer complex (7) in four major steps, as displayed in (Figure S23). Regarding the loss of hydrated H2O molecules between 25 and 200 °C, the initial step of the decomposition has a mass loss of 0.91% (calc.= 0.97%). Due to the loss of 2Cl, 4NO2, and 7C2H2 molecules, the second degradation step had an observed weight loss of 23.35% (calc. = 23.43%). The loss of C88H158O6 molecules in the 300–450 °C temperature range is correlated with the third thermal breakdown, which results in a weight loss of 70.50% (calculated to be 70.51%). CuO + C is the residual product up to 450 °C. The complex (8) gives four stages of decomposition as shown in (Figure S23). The loss of hydrated 2H2O molecules within the temperature range of 30–200 °C is represented by the mass loss of 2.21% (calc.= 2.20%) in the initial degradation step. In the initial degradation step, the loss of 2Cl + 4NO2 + 12C2H2 molecules occurs at a range of 30–120 °C. While the next decomposition stage completes the loss of C66H130O5 molecule in a range of 220–450 °C. CuO + 2C are the resultant thermal degradation product.
Table 4.
TGA data of PSMAP, PSMAM ligands and their metal complexes.
3.5. SEM and TEM Investigations
The properties of the polymers are significantly influenced by the shape of the molecules as well as how they are arranged within a solid. Figure S24 showed the SEM PSMAP and PSMAM complexes. (Figure S24) showed the SEM of PSMAP-Mn(II) and PSMAM-Mn(II) respectively which showed the shape as irregular stone. The flattened morphology of the tiny grains distributed across the solid matrix in the SEM micrograph of PSMAP-Ni(II) and PSMAM-Ni(II) provides the appearance of a structure resembling a river framework (Figure S24). The complexes of PSMAP-Co(II), PSMAM-Co(II), PSMAP-Cu(II), and PSMAM-Cu(II) shown in (Figure S24), and they appeared to have a plate-like surface with cracks. One of the elements that affects morphology is the presence of metal ions embedded inside the polymer matrix. Images of TEM for polymer complexes (1–8) are shown in (Figure S25) and refer to the formation of spherical black spots with particle sizes starting from 2 μm-500 nanometers.
4. Conclusions
New polymer-metal complexes comprising Mn(II), Ni(II), Co(II), and Cu(II) metal ions with modified poly styrene-alt-(maleic anhydride) (PSMAP and PSMAM) were the target of physical-chemical studies. The molecular structures of the investigated compounds were verified using elemental, Infrared, molar conductance, magnetic, UV-vis, and thermal investigations. The neutral bidentate behavior of the PSMAP and PSMAM ligands is revealed by the vibrational spectra. Coordination occurs through the oxygen of (C=O) and the nitrogen of amide groups as a potential site of coordination with metal ion. All substances having a 1:2 stoichiometry is non-electrolytic, according to molar conductivity studies. All polymer complexes are predicted to have octahedral geometry by magnetic measurements and electronic spectra.
Supplementary Materials
The following supporting information can be downloaded at: https://www.mdpi.com/article/10.3390/cryst13050728/s1.
Author Contributions
Conceptualization, A.A.A., H.M.A., M.A.A.-O., A.J.O., M.A.B., L.S.A., A.M.N., A.A.O.Y., A.M.A., M.S.R., A.M.A.A., M.Y.E.-S., K.A.A.; methodology, A.A.A., H.M.A., M.A.A.-O., A.J.O., M.A.B., L.S.A., A.M.N., A.A.O.Y., A.M.A., M.S.R., A.M.A.A., M.Y.E.-S., K.A.A.; software, A.A.A., H.M.A., M.A.A.-O., A.J.O., M.A.B., L.S.A., A.M.N., A.A.O.Y., A.M.A., M.S.R., A.M.A.A., M.Y.E.-S., K.A.A.; formal analysis, A.A.A., H.M.A., M.A.A.-O., A.J.O., M.A.B., L.S.A., A.M.N., A.A.O.Y., A.M.A., M.S.R., A.M.A.A., M.Y.E.-S., K.A.A.; investigation, A.A.A., H.M.A., M.A.A.-O., A.J.O., M.A.B., L.S.A., A.M.N., A.A.O.Y., A.M.A., M.S.R., A.M.A.A., M.Y.E.-S., K.A.A.; resources, A.A.A., H.M.A., M.A.A.-O., A.J.O., M.A.B., L.S.A., A.M.N., A.A.O.Y., A.M.A., M.S.R., A.M.A.A., M.Y.E.-S., K.A.A.; data curation, A.A.A., H.M.A., M.A.A.-O., A.J.O., M.A.B., L.S.A., A.M.N., A.A.O.Y., A.M.A., M.S.R., A.M.A.A., M.Y.E.-S., K.A.A.; writing—original draft preparation, A.A.A., H.M.A., M.A.A.-O., A.J.O., M.A.B., L.S.A., A.M.N., A.A.O.Y., A.M.A., M.S.R., A.M.A.A., M.Y.E.-S., K.A.A.; writing—review and editing, A.A.A., H.M.A., M.A.A.-O., A.J.O., M.A.B., L.S.A., A.M.N., A.A.O.Y., A.M.A., M.S.R., A.M.A.A., M.Y.E.-S., K.A.A.; visualization, A.A.A., H.M.A., M.A.A.-O., A.J.O., M.A.B., L.S.A., A.M.N., A.A.O.Y., A.M.A., M.S.R., A.M.A.A., M.Y.E.-S., K.A.A.; supervision, A.A.A., H.M.A., M.A.A.-O., A.J.O., M.A.B., L.S.A., A.M.N., A.A.O.Y., A.M.A., M.S.R., A.M.A.A., M.Y.E.-S., K.A.A.; project administration, A.A.A., H.M.A., M.A.A.-O., A.J.O., M.A.B., L.S.A., A.M.N., A.A.O.Y., A.M.A., M.S.R., A.M.A.A., M.Y.E.-S., K.A.A.; funding acquisition, A.A.A., H.M.A., M.A.A.-O., A.J.O., M.A.B., L.S.A., A.M.N., A.A.O.Y., A.M.A., M.S.R., A.M.A.A., M.Y.E.-S., K.A.A. All authors have read and agreed to the published version of the manuscript.
Funding
This research was funded by the Deputyship for Research & Innovation, Ministry of Education in Saudi Arabia through project no. (IFKSURC-1-0102).
Data Availability Statement
Data available on the web of journal.
Acknowledgments
The authors extend their appreciation to the Deputyship for Research & Innovation, Ministry of Education in Saudi Arabia through project no. (IFKSURC-1-0102). The authors would like to deeply thankful for Drahomír VÝPRACHTICKÝ for providing the polymeric materials for the research.
Conflicts of Interest
The authors declare no conflict of interest.
References
- Fang, Q.; Xu, Y.; Yan, X.; Jiang, T.; Jiang, Y. Synthetic approaches to metal-coordination-directed macrocyclic complexes. Front. Chem. 2022, 10, 1078432. [Google Scholar] [CrossRef] [PubMed]
- Malik, A.A.; Meraz, M.M.; Yang, W.; Zhang, Q.; Sage, D.D.; Sun, W.H. Catalytic Performance of Cobalt(II) Polyethylene Catalysts with Sterically Hindered. Dibenzopyranyl Substituents Studied by Experimental and MLR Methods. Molecules 2022, 27, 5455. [Google Scholar] [CrossRef] [PubMed]
- Sassone, D.; Zeng, J.; Fontana, M.; Sacco, A.; Farkhondehfal, M.A.; Periolatto, M.; Pirri, C.F.; Bocchini, S. Polymer-metal complexes as emerging catalysts for electrochemical reduction of carbon dioxide. J. Appl. Electrochem. 2021, 51, 1301–1311. [Google Scholar] [CrossRef]
- Anderegg, G.; Arnaud-Neu, F.; Delgado, R.; Felcman, J.; Popov, K. Critical evaluation of stability constants of metal complexes of complexones for biomedical and environmental applications (IUPAC Technical Report). Pure Appl. Chem. 2005, 77, 1445–1495. [Google Scholar] [CrossRef]
- Wei, Z.; Duan, H.; Weng, G.; He, J. Metals in polymers: Hybridization enables new functions. J. Mater. Chem. C 2020, 8, 15956–15980. [Google Scholar] [CrossRef]
- Téllez, F.; Peña-Hueso, A.; Barba-Behrens, N.; Contreras, R.; Flores-Parra, A. Coordination compounds in a pentacyclic aromatic system from 2-aminobenzothiazole derivatives and transition metal ions. Polyhedron 2006, 25, 2363–2374. [Google Scholar] [CrossRef]
- Yousif, E.; Farina, Y.; Kasar, K.; Graisa, A.; Ayid, K. Complexes of 2-thioacetic acid benzothiazole with some metal ions. Am. J. Appl. Sci. 2009, 6, 582–585. [Google Scholar] [CrossRef]
- Mbaba, M.; Golding, T.M.; Smith, G.S. Recent advances in the biological investigation of organometallic platinum-group metal (Ir, Ru, Rh, Os, Pd, Pt) complexes as antimalarial agents. Molecules 2020, 25, 5276. [Google Scholar] [CrossRef]
- Li, J.; Li, J. A luminescent porous metal–organic framework with Lewis basic pyridyl sites as a fluorescent chemosensor for TNP detection. Inorg. Chem. Commun. 2018, 89, 51–54. [Google Scholar] [CrossRef]
- Mathew, B.; Madhusudanan, P.M.; Pillai, V.R. Effect of the nature of crosslinking agents on the thermal decomposition of metal complexes of crosslinked polyacrylamide-supported dithiocarbamates. Thermochim. Acta 1992, 207, 265–277. [Google Scholar] [CrossRef]
- Jose, L.; Pillai, V.N.R. Catalase-like activity of divinylbenzene (DVB)-crosslinked polyacrylamide supported amino metal complexes. Eur. Polym. J. 1966, 32, 1431–1435. [Google Scholar] [CrossRef]
- El-Sonbati, A.Z.; Diab, M.A.; El-Bindary, A.A. Stoichiometry of Polymer Complexes. Polym. Deg. Stab. 1990, 29, 271–277. [Google Scholar]
- Yasuyoshi, M.; Hiroshi, Y.; Yutaka, F. Structural Investigation of Iron(III) and Copper(II) Complexes with Poly (vinyl alcohol) by NMR Techniques. Polym. J. 1995, 27, 271–279. [Google Scholar]
- Rogers, D.R.; Bond, A.H.; Aguinaga, S.; Reyers, A. Polyethylene glycol complexation of Cd2+. Structures of triethylene glycol complexes of CdCl2, CdBr2 and CdI2. Inorg. Chim. Acta 1993, 212, 225–231. [Google Scholar] [CrossRef]
- An, Y.; Ushida, T.; Suzuki, M.; Koyama, T.; Hanabusa, K.; Shirai, H. Complex formation of partially phosphorylated poly (vinyl alcohol), with metal ions in aqueous solution. Polymer 1996, 37, 3097–3100. [Google Scholar] [CrossRef]
- Amiri, N.; Hajji, M.; Roisnel, T.; Simonneaux, G.; Nasri, H. Synthesis, molecular structure, photophysical properties and spectroscopic characterization of new 1D-magnesium(II) porphyrin-based coordination polymer. Res. Chem. Intermed. 2018, 44, 5583–5595. [Google Scholar]
- Li, J.; Wang, X.; Li, R.; Zhang, W.; Bai, H.; Liu, Y.; Liu, Z.; Yu, T.; Liu, Z.; Yang, Y.; et al. Twelve cadmium(II) coordination frameworks with asymmetric pyridinyl triazole carboxylate: Syntheses, structures, and fluorescence properties. Cryst. Growth Des. 2019, 19, 3785–3806. [Google Scholar] [CrossRef]
- Pitto-Barry, A.; Barry, N.P.; Zava, O.; Deschenaux, R.; Therrien, B. Encapsulation of pyrene-functionalized poly (benzyl ether) dendrons into a water-soluble organometallic cage. Chem. Asian J. 2011, 6, 1595–1603. [Google Scholar] [CrossRef]
- Mao, J.; Wang, J.; Tang, G.; Chu, P.K.; Bai, H. A zipped-up tunable metal coordinated cationic polymer for nanomedicine. J. Mater. Chem. B 2020, 8, 1350–1358. [Google Scholar] [CrossRef]
- Qi, X.; Li, J.; Wei, W.; Zuo, G.; Su, T.; Pan, X.; Zhang, J.; Dong, W. Cationic Salecan-based hydrogels for release of 5-fluorouracil. RSC Adv. 2017, 7, 14337–14347. [Google Scholar] [CrossRef]
- Qi, X.; Wei, W.; Li, J.; Zuo, G.; Hu, X.; Zhang, J.; Dong, W. Development of novel hydrogels based on Salecan and poly (N-isopropylacrylamide-co-methacrylic acid) for controlled doxorubicin release. RSC Adv. 2016, 6, 69869–69881. [Google Scholar] [CrossRef]
- Wei, W.; Qi, X.; Li, J.; Zuo, G.; Sheng, W.; Zhang, J.; Dong, W. Smart macroporous salecan/poly (N, N-diethylacrylamide) semi-IPN hydrogel for anti-inflammatory drug delivery. ACS Biomater. Sci. Eng. 2016, 2, 1386–1394. [Google Scholar] [CrossRef] [PubMed]
- Su, T.; Zhao, W.; Wu, L.; Dong, W.; Qi, X. Facile fabrication of functional hydrogels consisting of pullulan and polydopamine fibers for drug delivery. Int. J. Biol. Macromol. 2020, 163, 366–374. [Google Scholar] [CrossRef] [PubMed]
- Yan, K.; Xu, F.; Wang, C.; Li, Y.; Chen, Y.; Li, X.; Lu, Z.; Wang, D. A multifunctional metal-biopolymer coordinated double network hydrogel combined with multi-stimulus responsiveness, self-healing, shape memory and antibacterial properties. Biomater. Sci. 2020, 8, 3193–3201. [Google Scholar] [CrossRef]
- Wei, Z.; Thanneeru, S.; Rodriguez, E.M.; Weng, G.; He, J. Adaptable Eu-containing polymeric films with dynamic control of mechanical properties in response to moisture. Soft Matter 2020, 16, 2276–2284. [Google Scholar] [CrossRef] [PubMed]
- Ren, Z.; Sun, S.; Sun, R.; Cui, G.; Hong, L.; Rao, B.; Li, A.; Yu, Z.; Kan, Q.; Mao, Z. A metal-polyphenol-coordinated nanomedicine for synergistic cascade cancer chemotherapy and chemodynamic therapy. Adv. Mater. 2020, 32, 1906024. [Google Scholar] [CrossRef]
- Tao, B.; Yin, Z. Redox-responsive coordination polymers of dopamine-modified hyaluronic acid with copper and 6-mercaptopurine for targeted drug delivery and improvement of anticancer activity against cancer cells. Polymers 2020, 12, 1132. [Google Scholar] [CrossRef]
- Kondo, A.; Noro, S.I.; Kajiro, H.; Kanoh, H. Structure- and phase-transformable coordination polymers/metal complexes with fluorinated anions. Coord. Chem. Rev. 2022, 471, 214728. [Google Scholar] [CrossRef]
- Amiri, N.; Taheur, F.B.; Chevreux, S.; Wenger, E.; Lemercier, G.; Nasri, H. Synthesis, crystal structure and spectroscopic characterizations of porphyrin-based Mg(II) complexes—Potential application as antibacterial agent. Tetrahedron 2017, 73, 7011–7016. [Google Scholar] [CrossRef]
- Maksimov, A.; Vagapova, A.; Kutyreva, M.; Kutyrev, G. Polymer metal-organic clusters based on hyperbranched polyester polybenzoylthiocarbamate and Cu(II) and Co(II) ions. J. Mol. Struct. 2022, 1258, 132575. [Google Scholar] [CrossRef]
- Rashid, S.; Shen, C.; Yang, J.; Liu, J.; Li, J. Preparation and properties of chitosan–metal complex: Some factors influencing the adsorption capacity for dyes in aqueous solution. J. Environ. Sci. 2018, 66, 301–309. [Google Scholar] [CrossRef]
- Murali, A.; Sarswat, P.K.; Benedict, J.; Plummer, M.J.; Shine, A.E.; Free, M.L. Determination of metallic and polymeric contents in electronic waste materials and evaluation of their hydrometallurgical recovery potential. Int. J. Environ. Sci. Technol. 2022, 19, 2295–2308. [Google Scholar]
- Maitz, M.F. Applications of synthetic polymers in clinical medicine. Biosurf Biotribol. 2015, 1, 161–176. [Google Scholar] [CrossRef]
- Tu, L.; Fan, Z.; Zhu, F.; Zhang, Q.; Zeng, S.; Chen, Z.; Ren, L.; Hou, Z.; Ye, S.; Li, Y. Self-recognizing and stimulus-responsive carrier free metal-coordinated nanotheranostics for magnetic resonance/photoacoustic/fluorescence imaging-guided synergistic photochemotherapy. J. Mater. Chem. B 2020, 8, 5667–5681. [Google Scholar] [CrossRef] [PubMed]
- Figueiredo, A.Q.; Rodrigues, C.F.; Fernandes, N.; de Melo-Diogo, D.; Correia, I.J.; Moreira, A.F. Metal-Polymer Nanoconjugates Application in Cancer Imaging and Therapy. Nanomaterials 2022, 12, 3166. [Google Scholar] [CrossRef] [PubMed]
- Zhou, P.; Shi, R.; Yao, J.F.; Sheng, C.F.; Li, H. Supramolecular self-assembly of nucleotide–metal coordination complexes: From simple molecules to nanomaterials. Coord. Chem. Rev. 2015, 292, 107–143. [Google Scholar] [CrossRef]
- Thakur, N.; Sharma, B.; Bishnoi, S.; Mishra, S.K.; Nayak, D.; Kumar, A.; Sarma, T.K. Multifunctional inosine monophosphate coordinated metal-organic hydrogel: Multistimuli responsiveness, self-healing properties, and separation of water from organic solvents. ACS Sustain. Chem. Eng. 2018, 6, 8659–8671. [Google Scholar] [CrossRef]
- Ezzayani, K.; Khelifa, A.B.; Taheur, F.B.; Guergueb, M.; Mansour, A.; Daran, J.C.; Nasri, H. Building-up novel coordination polymer with magnesium porphyrin: Synthesis, molecular structure, photophysical properties and spectroscopic characterization. Potential application as antibacterial agent. Inorg. Chim. Acta 2021, 514, 119960. [Google Scholar] [CrossRef]
- Tabasi, H.; Babaei, M.; Abnous, K.; Taghdisi, S.M.; Saljooghi, A.S.; Ramezani, M.; Alibolandi, M. Metal–polymer-coordinated complexes as potential nanovehicles for drug delivery. J. Nanostructure Chem. 2021, 11, 501–526. [Google Scholar]
- Kaliyappan, T.; Swaminathan, C.S.; Kannan, P. Synthesis and characterization of a new metal chelating polymer and derived Ni(II) and Cu(II) polymer complexes. Polymer 1996, 37, 2865–2869. [Google Scholar] [CrossRef]
- Yan, Y.; Zhang, J.; Ren, L.; Tang, C. Metal-containing and Related Polymers for Biomedical Applications. Chem. Soc. Rev. 2016, 45, 5232–5263. [Google Scholar] [CrossRef] [PubMed]
- Permyakov, E.A. Metal Binding Proteins. Encyclopedia 2021, 1, 261–292. [Google Scholar] [CrossRef]
- Gucwa, M.; Lenkiewicz, J.; Zheng, H.; Cymborowski, M.; Cooper, D.R.; Murzyn, K.; Minor, W. CMM—An enhanced platform for interactive validation of metal binding sites. Protein Sci. 2023, 32, e4525. [Google Scholar] [CrossRef]
- Williams, C.K.; Nozaki, K. Metal Complexes for Catalytic Polymerizations. Inorg. Chem. 2020, 59, 957–959. [Google Scholar] [CrossRef] [PubMed]
- Janiak, C. Engineering coordination polymers towards applications. Dalton Trans. 2003, 27, 81–2804. [Google Scholar] [CrossRef]
- James, S.L. Metal-organic frameworks. Chem. Soc. Rev. 2003, 32, 276–288. [Google Scholar] [CrossRef]
- Maspoch, D.; Ruiz-Molina, D.; Veciana, J. Magnetic nanoporous coordination polymers. J. Mater. Chem. 2004, 14, 2713–2723. [Google Scholar] [CrossRef]
- Kukla, S.; Cimrova, V.; Vyprachticky, D. Terbium binding in highly luminescent polymer complexes. Collect. Czech. Chem. Commun. 2006, 71, 1332–1349. [Google Scholar] [CrossRef]
- Jima’a, R.B.; Shaalan, N.D. Synthesis, Characterization, and Biological Activity of New Metal Ion Complexes with Schiff Base (Z)-3((E)-2-Hydroxybenzylidene) hydrazineylidene) indolin-2-one. J. Med. Chem. Sci. 2023, 6, 1660–1674. [Google Scholar]
- Soto-Acosta, S.; Campos-Gaxiola, J.J.; Reynoso-Soto, E.A.; Cruz-Enríquez, A.; Baldenebro-López, J.; Höpfl, H.; García, J.J.; Flores-Álamo, M.; Miranda-Soto, V.; Glossman-Mitnik, D. Synthesis, Crystal Structure, DFT Studies and Optical/Electrochemical Properties of Two Novel Heteroleptic Copper(I) Complexes and Application in DSSC. Crystals 2022, 12, 1240. [Google Scholar] [CrossRef]
- He, Z.; Liu, Y.; Kim, H.J.; Tewolde, H.; Zhang, H. Fourier transform infrared spectral features of plant biomass components during cotton organ development and their biological implications. J. Cotton Res. 2022, 5, 11. [Google Scholar] [CrossRef]
- Ji, Y.; Yang, X.; Ji, Z.; Zhu, L.; Ma, N.; Chen, D.; Jia, X.; Tang, J.; Cao, Y. DFT-Calculated IR Spectrum Amide I, II, and III Band Contributions of N-Methylacetamide Fine Components. ACS Omega 2020, 5, 8572–8578. [Google Scholar] [CrossRef] [PubMed]
- Refat, M.S.; Altalhi, T.; Bakare, S.B.; Al-Hazmi, G.H.; Alam, K. New Cr(III), Mn(II), Fe(III), Co(II), Ni(II), Zn(II), Cd(II), and Hg(II) Gibberellate Complexes: Synthesis, Structure, and Inhibitory Activity Against COVID-19 Protease. Russ. J. Gen. Chem. 2021, 91, 890–896. [Google Scholar] [CrossRef] [PubMed]
- Misawa-Suzuki, T.; Ikeda, R.; Komatsu, R.; Toriba, R.; Miyamoto, R.; Nagao, H. Geometry and electronic structures of cobalt(II) and iron(III) complexes bearing bis(2-pyridylmethyl)ether or alkylbis(2-pyridylmethyl)amine. Polyhedron 2022, 218, 115735. [Google Scholar] [CrossRef]
- Nabil, N.; Adly, O.M.; Shebl, M.; Taha, A.; Samy, F. NiII and CoII binary and ternary complexes of 3-formylchromone: Spectroscopic characterization, antimicrobial activities, docking and modeling studies. RSC Adv. 2022, 12, 29939–29958. [Google Scholar] [CrossRef] [PubMed]
- Aljuhani, E.; Aljohani, M.M.; Alsoliemy, A.; Shah, R.; Abumelha, H.M.; Saad, F.A.; Hossan, A.; Al-Ahmed, Z.A.; Alharbi, A.; El-Metwaly, N.M. Synthesis and characterization of Cu(II)-pyrazole complexes for possible anticancer agents; conformational studies as well as compatible in-silico and in-vitro assays. Heliyon 2021, 7, e08485. [Google Scholar] [CrossRef]
- Drzewiecka-Antonik, A.; Ferenc, W.; Mirosław, B.; Osypiuk, D.; Sarzyński, J. Structure, thermal stability and magnetic behavior of Mn(II) complexes with phenoxyacetic acid herbicides. Polyhedron 2021, 207, 115370. [Google Scholar] [CrossRef]
- Yallur, B.C.; Krishna, P.M.; Challa, M. Bivalent Ni(II), Co(II) and Cu(II) complexes of [(E)-[(2-methyl-1,3-thiazol-5-yl)methylidene]amino]thiourea: Synthesis, spectral characterization, DNA and in-vitro anti-bacterial studies. Heliyon 2021, 7, e06838. [Google Scholar] [CrossRef]
- Arab Ahmadi, R.; Hasanvand, F.; Bruno, G.; Amiri Rudbari, H.; Amani, S. Synthesis, Spectroscopy, and Magnetic Characterization of Copper(II) and Cobalt(II) Complexes with 2-Amino-5-bromopyridine as Ligand. ISRN Inorg. Chem. 2013, 7. [Google Scholar] [CrossRef]
- Comarmond, J.; Plumere, P.; Lehn, J.M.; Agnus, Y.; Louis, R.; Weiss, R.; Kahn, O.; Morgenstern-Badarau, I. Dinuclear copper(II) cryptates of macrocyclic ligands: Synthesis, crystal structure, and magnetic properties. Mechanism of the exchange interaction through bridging azido ligands. J. Am. Chem. Soc. 1982, 23, 6330–6340. [Google Scholar] [CrossRef]
- Hasanvand, F.; Hoseinzadeh, A.; Zolgharnein, J.; Amani, S. Synthesis and characterization of two acetato-bridged dinuclear copper(II) complexes with 4-bromo-2-((4 or 6-methylpyridin-2-ylimino)methyl)phenol as ligand. J. Coord. Chem. 2010, 63, 346–352. [Google Scholar] [CrossRef]
- Komaei, S.A.; Albada, G.A.; Reedijk, J. Synthesis, spectroscopic and magnetic properties of methoxo-bridged copper(II) complexes with 2-amino-4-methylpyridine as the ligand. Transit. Met. Chem. 1999, 24, 104–107. [Google Scholar] [CrossRef]
- Rodríguez, L.; Labisbal, E.; Sousa-Pedrares, A.; García-Vázquez, J.A.; Romero, J.; Durán, M.L.; Real, J.A.; Sousa, A. Coordination chemistry of amine bis(phenolate) cobalt(II), nickel(II), and copper(II) complexes. Inorg. Chem. 2006, 45, 7903–7914. [Google Scholar] [CrossRef]
- Chandra, S.; Gupta, L.K.; Agrawal, S. Synthesis spectroscopic and biological approach in the characterization of novel [N4] macrocyclic ligand and its transition metal complexes. Transit. Met. Chem. 2007, 32, 558–563. [Google Scholar] [CrossRef]
Disclaimer/Publisher’s Note: The statements, opinions and data contained in all publications are solely those of the individual author(s) and contributor(s) and not of MDPI and/or the editor(s). MDPI and/or the editor(s) disclaim responsibility for any injury to people or property resulting from any ideas, methods, instructions or products referred to in the content. |
© 2023 by the authors. Licensee MDPI, Basel, Switzerland. This article is an open access article distributed under the terms and conditions of the Creative Commons Attribution (CC BY) license (https://creativecommons.org/licenses/by/4.0/).



